Artigo
A Praxiologia como resposta a problemas na filosofia da ciência
Praxeology as an answer to problems in the philosophy of science
A Praxiologia como resposta a problemas na filosofia da ciência
MISES: Interdisciplinary Journal of Philosophy Law and Economics, vol. 7, núm. 1, pp. 11-44, 2019
Instituto Ludwig von Mises - Brasil
Recepção: 18 Setembro 2018
Aprovação: 11 Dezembro 2018
Resumo: O objetivo geral deste estudo é examinar como a praxiologia lida com os problemas relacionados ao caráter empirista das formulações do indutivismo, do positivismo lógico e do falsificacionismo na filosofia da ciência. Um objetivo secundário é criticar essas propostas com base na discussão que vem sendo travada na filosofia da ciência há décadas. Outro objetivo secundário é divulgar a proposta metodológica da praxiologia em Economia. Em resposta a problemas diversos na filosofia da ciência que têm inspirado a teorização econômica dominante por muito tempo, a praxiologia apresenta uma alternativa para a Economia. Merece mais consideração por parte dos acadêmicos da área, não porque seja imune a considerações críticas de diversos tipos, mas sim por causa de sua inserção no debate metodológico que demanda atenção mais cuidadosa por parte dos economistas e, principalmente, por causa das novas questões que ela tem estimulado.
Palavras-chave: Praxiologia, metodologia da economia, filosofia da ciência, Ludwig von Mises, empirismo, racionalismo.
Abstract: The general aim of this article is to study how praxeology deals with issues related to the empiricist character of inductivism, logical positivism and falsifiability in the philosophy of Science. A secondary goal is to analyze these approaches based on the discussion that has been taking place in the philosophy of science for decades. Another secondary aim is to popularize the praxeological approach in economics. Praxeology proposes an alternative for economic science - a reply to several problems in the philosophy of science views that have inspired mainstream economics for a long time. It is worthy of consideration on the part of scholars in the field not because it is immune to any kind of criticism, but rather because of its role in the methodological debate, which begs for more careful attention on the part of economists, and, mainly, due to the new issues it has raised.
Keywords: Praxeology, economic methodology, philosophy of science, Ludwig von Mises, empiricism, rationalism.
Introdução
Este estudo procura localizar o objeto de pesquisa da praxiologia no âmbito da pesquisa em metodologia da Economia, tendo em vista a relação dessa área com a área mais ampla da filosofia da ciência. De forma mais exata: a intenção geral é realizar um estudo sobre a relação entre a proposta metodológica da praxiologia para a Economia e três formulações da filosofia da ciência: o indutivismo, o positivismo lógico e o falsificacionismo. O economista mais conhecido ligado à praxiologia é Ludwig von Mises, um dos expoentes da Escola Austríaca.
O indutivismo, o falsificacionismo e o positivismo lógico são propostas da área mais ampla da filosofia da ciência, mas que são adotados - pelo menos retoricamente - por boa parte dos economistas para a justificativa metodológica de seus estudos, bem como critério de demarcação e de honestidade nos debates teóricos em Economia (BLAUG, 1999). Não há muitos filósofos particularmente ligados ao indutivismo, mas esse posicionamento pode ser encontrado nos escritos de vários cientistas como, por exemplo, Isaac Newton (LAKATOS, 1999), ou mesmo de economistas como John Stuart Mill (1961). Já o falsificacionismo liga-se à filosofia de Karl Popper (1999) e o positivismo lógico, aos membros do Círculo de Viena como, por exemplo, Moritz Schlick (1932) e surge como uma alternativa à proposta indutivista. O que se procura argumentar é que o indutivismo, o positivismo lógico e o falsificacionismo apresentam alguns problemas em comum decorrentes de sua adesão tácita ou explícita a uma epistemologia empirista. Em relação a isso, é possível derivar alternativas da proposta da praxiologia que sirvam de resposta a esses problemas, ressaltando-lhe a importância como metodologia da economia, em alternativa a essas matrizes na filosofia da ciência da qual se munem boa parte dos economistas das correntes mainstream no intuito de justificar sua prática acadêmica.
A relevância dos debates metodológicos em economia é perceptível, em termos de história do pensamento econômico, por esclarecer melhor as origens filosóficas das diversas vertentes que compõem as propostas teóricas em Economia. Além disso, as idéias têm impacto significativo na vida social, em se tratando dessa área de estudos. Por isso mesmo, questões de natureza epistemológica ligadas à obtenção do conhecimento, à sua validação e à comparação entre diversas alternativas teóricas são preocupações que ultrapassam o ambiente acadêmico. A escolha de uma explicação (e recomendação de políticas) é sempre permeada de considerações dessa natureza, embora isso não seja tão perceptível para o público em geral. Isso quer dizer que investigações como a proposta aqui têm relevância crucial na Economia ao discutir novamente seus fundamentos.
Meu objetivo geral é examinar como a praxiologia lida com os problemas relacionados ao caráter empirista das formulações do indutivismo, do positivismo lógico e do falsificacionismo na filosofia da ciência. Há dois objetivos de fundo neste estudo, que ficarão claros ao longo de sua leitura. O primeiro deles é criticar essas propostas filosóficas com base na discussão que vem sendo travada na filosofia da ciência há décadas. O intento original dessas abordagens era versar sobre as ciências naturais, contudo, elas têm servido de respaldo retórico para diversos economistas ainda hoje e, embora essas abordagens sejam aqui apresentadas de forma mais “pura”, o leitor familiarizado com a discussão metodológica em Economia perceberá a influência dessas formulações em abordagens metodológicas mais próximas a esse campo de estudos.
O segundo objetivo de fundo é divulgar a proposta metodológica da praxiologia, dada a escassez de traduções dos escritos metodológicos dos austríacos em português. Por essa razão, a parte deste estudo dedicada a expor a praxiologia tem sua estrutura fortemente baseada na argumentação de Mises, com diversas citações, embora também se construa em função do objetivo geral aqui proposto.
A parte subsequente apresenta o indutivismo e o positivismo lógico em linhas gerais, introduzindo alguns dos problemas dessas abordagens. O falsificacionismo tem sido defendido como padrão desejável por alguns estudiosos da metodologia da Economia (por exemplo, Blaug (1999)) e por isso dedico uma porção do estudo à sua exposição. Nela, críticas são feitas à visão falsificacionista sobre a relação entre teoria e dados, e essas críticas podem ser estendidas à formulação indutivista e ao positivismo lógico, ao menos em parte.
Após essas duas partes, fica clara a direção na qual este estudo se move, ao propor que o indutivismo, o positivismo lógico e o falsificacionismo confiam em certos pressupostos empiristas que são problemáticos e que, por isso, falham em justificar suas propostas de critério de demarcação para a ciência e de relacionamento entre teoria e dados.
Logo depois, introduzo a proposta da praxiologia apontando para sua tentativa de resposta que descarta esses pressupostos empiristas e que tenta propor uma demarcação para a Economia (consistindo a boa teoria econômica em uma teoria totalmente deduzida do axioma centra da ação humana), um critério para teste de teorias (consistindo no simples teste de validade lógica de todas as deduções) e uma proposta para lidar com a relação entre teoria e dados (considerando que os dados nas ciências da ação humana são históricos e, por isso, peculiares).
Finalmente, a última parte apresenta as conclusões do estudo.
1. Indutivismo e seus problemas
O objetivo geral desta primeira parte é expor a proposta indutivista, algumas críticas importantes a essa proposta, bem como uma variação dessa formulação da filosofia da ciência, o positivismo lógico. O material-base para esta seção consiste em textos de autores positivistas e falsificacionistas, bem como de comentários ligados a esses posicionamentos. A primeira seção expõe e critica o indutivismo e a segunda seção trata do positivismo lógico. A porção final desta parte ressalta alguns dos principais pontos desta discussão. Note-se que as críticas aqui contidas em relação ao problema da indução concentram-se mais em seus aspectos lógicos que nos psicológicos.
I
Com o pressuposto subjacente de que a ciência se baseia na experiência, os indutivistas procuram responder à questão: como extrair afirmações gerais (conhecimento científico) de afirmações particulares que surgem da observação? (LAKATOS, 1999, p.41). A proposta indutivista é de que, se algumas condições forem satisfeitas, tornar-se-á possível a realização do processo de indução (extração de afirmações gerais a partir de um conjunto de particulares) rumo ao conhecimento científico. A primeira dessas condições enuncia que a quantidade de observações particulares deve ser considerável para prover generalização. A segunda, que essas observações devem ser feitas sob condições diversas. A terceira, que toda e qualquer observação não pode contrariar a lei geral em questão (CHALMERS, 1993, p.26). Basta a noção intuitiva de que “não devemos tirar conclusões precipitadas” (CHALMERS, 1993, p.27) para que o primeiro e o segundo pontos se expliquem. Sobre o terceiro, afirma-se, por definição, que uma lei universal não pode ser contrariada. Caso seja, cessa de ser universal. O indutivismo, portanto, declara que a ciência se assenta sobre a base do princípio de indução, segundo o qual “se um grande número de As foi observado sob uma ampla variedade de condições, e se todos esses As observados possuíam sem exceção a propriedade B, então todos os As têm a propriedade B” (CHALMERS, 1993, p.27).
Uma vez estabelecida a lei geral, utiliza-se a dedução para aplicá-la no intuito de se explicar uma situação e de se realizarem previsões. Pela dedução, parte-se da lei geral rumo a afirmações sobre um determinado objeto particular estabelecido nas condições iniciais. A observação deve ser isenta de quaisquer preconceitos ou juízos prévios do pesquisador e, sendo os sentidos distribuídos de forma mais ou menos uniforme na população, é exequível afirmar que a observação pode ser verificada por qualquer observador e que, de forma semelhante, o raciocínio indutivo também confere à pesquisa caráter objetivo, respeitadas as três condições supracitadas (CHALMERS, 1993, p.31-34)1. Para o indutivista, “a ciência começa com observação, a observação fornece uma base segura sobre a qual o conhecimento científico pode ser construído, e o conhecimento científico é obtido a partir de proposições de observação por indução” (CHALMERS, 1993, p.36).
O processo da indução é nevrálgico na formulação indutivista sobre o funcionamento da ciência. Popper mostra que há uma dependência necessária entre o indutivismo e a indução, por um lado e por outro, da capacidade de esse processo obter generalizações:
Muitas pessoas acreditam, com efeito, que a verdade desses enunciados universais é ‘conhecida através da experiência’; contudo, está claro que a descrição de uma experiência - de uma observação ou do resultado de um experimento - só pode ser um enunciado singular e não um enunciado universal. Nesses termos, as pessoas que dizem que é com base na experiência que conhecemos a verdade de um enunciado universal querem normalmente dizer que a verdade desse enunciado universal pode, de uma forma ou de outra, reduzir-se à verdade de enunciados singulares e que, por experiência, sabe-se serem estes verdadeiros. Equivale isso a dizer que o enunciado universal baseia-se em inferência indutiva. Assim, indagar se há leis naturais sabidamente verdadeiras é apenas outra forma de indagar se as inferências indutivas se justificam logicamente (POPPER, 2004, p.28, [grifo no original]).
Coloca-se, então, a dúvida: será o princípio da indução justificável? Popper (1999, p.15) identifica como o problema lógico da indução - atribuído à elaboração de David Hume2 - o seguinte questionamento: “somos justificados em raciocinar partindo de exemplos (repetidos), dos quais temos experiência, para outros exemplos (conclusões), dos quais não temos experiência?”. Em outra passagem, ele define novamente sua interpretação acerca do problema lógico da indução em Hume:
O problema lógico da indução, de Hume, é o problema de estarmos ou não capacitados a inferir casos não observados de casos observados, sejam quantos forem ou asserções ‘desconhecidas’ (não aceitas) de asserções ‘conhecidas’ (ou aceitas), sejam quantas forem (POPPER, 1999, p.92).
Ainda no mesmo texto, Popper atribui ao componente lógico do problema da indução em Hume a “questão da justificação da validade da alegação de haver estabelecido com certeza, ou pelo menos com probabilidade, a verdade de uma regra ou de uma generalização, ou pelo menos sua provável verdade, a partir de evidência singular” (POPPER, 1999, p.96). Reformulando o problema lógico da indução em Hume para a situação caracterizada pela ciência, Popper (1999, p.18) obtém uma nova pergunta: “pode a alegação de que uma teoria explanativa universal é verdadeira se justificada por ‘razões empíricas’; isto admitindo a verdade de certas asserções de teste ou asserções de observação (que, pode-se dizer, são baseadas em experiência”)? Ou seja, esse problema “também pode ser apresentado como a indagação acerca da validade ou verdade de enunciados universais que encontrem base na experiência, tais como as hipóteses e os sistemas teóricos das ciências empíricas” (POPPER, 2004, p.28).
Seja como for, a forma é comum a essas enunciações do problema da indução. Deseja-se saber se é possível, por algum processo indutivo, extrair conclusões generalizantes a partir de enunciados singulares. Antes de se prosseguir, convém definir inferência indutiva e o princípio da indução. Popper afirma: “é comum dizer-se ‘indutiva’ uma inferência, caso ela conduza de enunciados singulares (...) para enunciados universais” (POPPER, 2004, p.27, [grifos no original]). Keller e Bastos enfatizam uma característica do princípio da indução: a quantidade de enunciados particulares. Segundo esses autores, “o princípio em que [a indução] se pauta pode ser enunciado assim: ‘o que convém a várias partes, suficientemente enumeradas, de um certo universal, convém a este sujeito universal’” (KELLER; BASTOS, 2004, p.44, [grifo no original]).
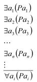
Para que se divise com maior precisão qual o sentido das definições adotadas, considere-se o exemplo genérico da atribuição de propriedades P a objetos a: ∃a(Pa). O observador reúne n objetos a (a1, a2, a3,, ...) e observa se todos eles possuem a propriedade P. Em seguida, após ter observado essa propriedade em vários dos elementos do conjunto, forma a opinião de que, em geral, todos os objetos ai são dotados de P:
Equação:

As etapas de observação abreviadas pelas reticências antes da barra horizontal não significam que o observador verificou P em todo a do conjunto, mas sim, que ele realizou um salto indutivo a partir de uma determinada quantidade n de objetos observados e generalizou, a partir daí, que todos os demais objetos a possuem P.
Keller e Bastos (2004) definem o princípio da indução com um postulado que abrange todo o processo descrito acima. Dadas certas condições, parte-se do início do exemplo e chega-se à conclusão. Popper, por sua vez, refere-se à inferência executada, no exemplo, após a observação de an , que teria levado o observador à conclusão generalizada. Pode-se dizer, assim, que a preocupação de Popper, no caso, diz respeito ao salto indutivo e Keller e Bastos e se referem ao princípio que justificaria esse salto. Isso significa que o problema da indução corresponde à seguinte questão: há um princípio da indução que justifique o salto indutivo, tornando possível a obtenção de generalizações a partir de particulares? O que corresponde a: seria o princípio da indução justificável?3
Em resposta, os indutivistas adotam dois tipos de argumentos: (i) pela lógica; (ii) pela experiência. O primeiro tipo de argumento consiste na tentativa de se justificar o princípio da indução através de indução a partir de diversas premissas verdadeiras (HUME, 1777). O segundo tipo de argumento consiste em se observar o sucesso da indução em um número considerável de ocasiões e, a partir daí, extrair a lei geral de que o conhecimento científico deve ser obtido por indução (LAKATOS, 1999).
Há problemas com ambos os tipos de argumentos. Em primeiro lugar, “é possível que a conclusão de um argumento indutivo se[ja] falsa embora as premissas sejam verdadeiras e, [que], ainda assim, não ha[ja] contradição”. Decorre que “não é o caso de que, se as premissas de uma inferência indutiva são verdadeiras, então a conclusão deve ser verdadeira” (CHALMERS, 1993, p.37).4 Contudo, como afirma Popper (1999, p.91, [grifo no original]), “se a sucessão regular de dois eventos fosse ‘necessária’, então ela teria de verificar-se com certeza, não só entre os exemplos observados mas também entre os não observados”. Ora, é possível que o salto indutivo omita as próprias premissas que anulam a generalização contida na conclusão, e não se pode ter certeza do contrário. Portanto, não é possível estabelecer uma generalização completa a partir do salto indutivo. Colocando de outra forma: basta um caso contrário à generalização para que ela seja refutada, e por mais que uma relação tenha se repetido até o presente momento, nunca se pode saber ao certo se as próximas observações, ou mesmo se as observações omitidas, refutam a generalização alcançada. Para mencionar alguns exemplos de generalizações normalmente tidas como certezas e refutadas por observações omitidas ou posteriores:
O Sol surge todos os dias” queria dizer “para onde quer que fores o sol surge todos os dias [sic.”]. Que este era seu significado de origem, mostra-o o fato de que Pitéias de Marselha, o primeiro viajante que se sabe ter atravessado o círculo polar e descrito “o mar gelado e o sol da meia-noite”, foi tido durante séculos como o paradigma do mentiroso, derivando-se dele a expressão, “história de viajantes”. O destino de todos os homens morrerem inevitavelmente foi derivado por Aristóteles do fato de que tudo quanto é gerado, e especialmente todas as criaturas vivas, devem decair - tese que de modo algum já não é mais aceita geralmente pelos biólogos (que até agora têm conservado um coração de galinha in vitro a bater por mais de meio século). E o exemplo de Hume de que o pão alimenta foi tragicamente refutado quando pão saído do forno do modo costumeiro praticamente exterminou uma aldeia francesa em vista de uma deflagração de ergotismo (POPPER, 1999, p.99).
Portanto, argumentar pela lógica favoravelmente ao indutivismo não consegue responder ao questionamento levantado.
Em segundo lugar, a utilização da indução para justificar o princípio da indução é uma petição de princípio e, por isso, também não responde ao questionamento levantado, o que já tinha sido percebido por Hume (1777)5. “É claro que a ‘indução’ (...) é indutivamente inválida e mesmo paradoxal” (POPPER, 1999, p.22, [grifo no original]). “A indução, mostrara Hume, era inválida porque levava a um regresso infinito” (POPPER, 1999, p.89).
Além disso, esse tipo de argumento não especifica duas das condições vitais para a indução, a saber: (i) o que seria considerado no caso um número grande de observações; e (ii) quais seriam as circunstâncias variadas de experimentação.
Há, ainda, um terceiro tipo de argumentação utilizado pelos indutivistas: o recuo para a probabilidade. Segundo essa posição, “conhecimento científico não é conhecimento comprovado, mas representa conhecimento que é provavelmente verdadeiro” (CHALMERS, 1993, p.41). Pretende-se, com isso, um escape para a necessidade de obtenção de afirmações universais. Entretanto, como afirma Chalmers, as afirmações finais mantêm seu caráter universal, ao implicar, “baseado em um número limitado de eventos, que todas as aplicações do princípio levarão a conclusões provavelmente verdadeiras” (CHALMERS, 1993, p.41, [ênfase nossa]). Há, ainda, outro problema, de ordem matemática: há uma quantidade finita de proposições observadas para uma quantidade infinita de situações e variações possíveis. Assim, a probabilidade de uma determinada relação ocorrer tenderá sempre a zero, por maior que seja a quantidade de observações confirmadas (POPPER, 1999, p.28-31)6.
Qualquer evidência observável vai consistir em um número finito de proposições de observação, enquanto uma afirmação universal reivindica um número infinito de situações possíveis. A probabilidade (...) permanece zero por mais que o número finito de proposições de observação, que constituem a evidência, tenha crescido (CHALMERS, 1993, p.42).
Tentou-se contornar o problema através da atribuição de probabilidades não-zero singulares a afirmações gerais, com o uso de novas linguagens, mas essas são muito restritivas e não comportam generalizações, contradizendo, assim, a afirmação indutivista sobre o caráter da ciência (CHALMERS, 1993, p.42). Mais ainda, procurou-se desviar a atenção para estudos de probabilidades de exatidão para uma previsão determinada. Cai-se, com isso, na mesma contradição, ao se evitar a produção de conhecimento generalizado. Além disso, a estimativa da probabilidade de determinada previsão ter sucesso depende necessariamente da teoria, o que também contraria o indutivismo (pois implica preconceitos na observação dos particulares) (CHALMERS, 1993, p.42). Por fim, afirmar que “é óbvio que a ciência deve ser indutiva” não é justificável, dados (i) todos os problemas apontados acima; e (ii) a relatividade do que é óbvio ao longo da história (CHALMERS, 1993, p.44).
II
A vertente filosófica do positivismo lógico foi desenvolvida no âmbito do Círculo de Viena - ligado a nomes como Rudolf Carnap, Otto Neurath, Moritz Schlick e outros - mas beneficiou-se amplamente de desenvolvimentos na lógica simbólica no começo do século XX através das obras de Ludwig Wittgenstein e de Bertrand Russell (CALDWELL, 1994, p.11). Hacking caracterizou o positivismo, em um sentido mais amplo do termo, como um sistema envolvendo pelo menos seis características:
As idéias chaves são as que seguem: (i) Uma ênfase na verificação (...): Proposições com sentido são aqueles cuja verdade (...) pode ser definida de alguma forma. (ii) Pró-observação: Aquilo que nos podemos ver, sentir, tocar, etc., provê o melhor conteúdo de fundamento para o resto de todo nosso conhecimento não-matemático. (iii) Anti-causa: Não há causalidade na natureza, abaixo e acima da constância com a qual eventos de um tipo são seguidos por eventos de outro tipo. (iv) Explicações des-enfatizadas: explicações podem ajudar a organizar fenômenos, mas não provêem resposta profunda para questões de “por quê?” exceto dizer que o fenômeno regularmente ocorre de uma forma e de outra. (v) Entidades anti-teóricas: positivistas têm a tendência de serem não-realistas, não só porque eles restringem a realidade ao observável, mas também porque eles são contra causas e são dúbios quanto às explicações (...) (vi) Positivistas resumem os itens (i) até (v) sendo contra a metafísica (HACKING, 1983, p.41-42, [grifos no original]).7
E adiciona: “dentre os traços distintivos do positivismo lógico, em adição aos itens (i) ao (vi), há uma ênfase em lógica, significado, e a análise da linguagem” (HACKING, 1983, p.43)8. O positivismo lógico, assim, reuniu alguns elementos do indutivismo, dando-lhe roupagem inédita através de uma redefinição do papel da filosofia em geral: “o objetivo propriamente dito da Filosofia reside em procurar esclarecer o sentido de afirmações e perguntas” (SCHLICK, 1932, p.43, [grifo no original]) e, por trás dessa reorientação do projeto filosófico, estava justamente o objetivo claro de se demarcar o conhecimento de forma a excluir a possibilidade de investigação direta sobre assuntos metafísicos, isto é, assuntos envolvendo perguntas de ordem essencialista. Schlick (1932, p.43) afirma: “pela análise filosófica não logramos decidir se uma coisa é real, mas somente descobrir o que se quer dizer ao afirmar que a coisa é real”. A postura adotada por Hume ilustra uma atitude anti-metafísica:
Quando percorremos as bibliotecas, persuadidos destes princípios, que destruição deveríamos fazer? Se examinarmos, por exemplo, um volume de teologia ou de metafísica escolástica e indagarmos: “contém algum raciocínio abstrato acerca da quantidade ou do número? Não. Contém algum raciocínio experimental a respeito das questões de fato e de existência? Não. Portanto, lançai-o ao fogo, pois não contém senão sofismas e ilusões” (HUME, 1777, p. 12-13).
“Hume, portanto, marca o começo do critério da verificabilidade com a intenção de distinguir elementos sem sentido (metafísica) dos discursos sensíveis (predominantemente ciência)” (HACKING, 1983, p.44)9. Esse critério de verificabilidade acompanha o projeto de se separar a filosofia (e a ciência) orientada para o esclarecimento da linguagem da “especulação metafísica”. “O programa positivista lógico postulava que considerações científicas devem ser dadas somente a enunciados com sentido e que [somente a eles] deve-se atribuir o status de prover conhecimento” (CALDWELL, 1994, p.13).10 O positivismo lógico, portanto, “caracteriza-se pela preocupação com a fundamentação da ciência em uma linguagem lógica e em bases empíricas, eliminando os elementos metafísicos (...) e psicológicos (...), considerados inverificáveis, ou seja, fora do alcance do teste empírico, adotado como critério de validade das teorias científicas” (MARCONDES, 2004, p.12).
A tese subjacente do critério de verificabilidade é de que proposições que não sejam tautológicas ou então empiricamente verificáveis são desprovidas de sentido e, por isso, não devem constar como conhecimento científico. Em outras palavras, no positivismo lógico, “significância (ou significação cognitiva) foi estritamente definida como sendo atribuível somente àqueles enunciados que são ou analíticos (tautológicos ou auto contraditórios) ou sintéticos (enunciados factuais que podem ser verificados ou falsificados pela evidência)” (CALDWELL, 1994, p.13)11. Essa proposta, aplicada à ciência, torna-se uma espécie de critério de demarcação entre essa e a pseudociência, podendo ser decomposto em duas partes, sendo a primeira uma análise da coerência interna do conjunto de postulados propostos e a segunda, uma avaliação experimental sobre as asserções feitas.
Proposições tautológicas devem ser amplamente utilizadas na atividade científica, no intuito de se estabelecerem (i) axiomas básicos aceitos por convenção e (ii) suas implicações.12. Sobre os conceitos, Schlick (1932, p.44) observa: “para encontrar o sentido de uma proposição, é necessário reformulá-la introduzindo definições sucessivas, até que ao final permaneçam apenas palavras que já não são passíveis de definição”. Essas palavras não passíveis de definição caracterizam os dados, “cuja significação só pode ser mostrada diretamente” (SCHLICK, 1932, p.44). A verificação direta é obtida através da denotação das condições de observação. “A indicação das circunstâncias ou condições sob as quais uma proposição é verdadeira, [sic] é o mesmo que a indicação do seu sentido” (SCHLICK, 1932, p.44).
O positivismo lógico sofreu críticas diversas, incluindo a prova de Gödel, que implodiu a noção de que, dados certos axiomas arbitrários iniciais, é possível construir um sistema dedutivo fechado a partir deles e nada mais. Outras críticas decorrem de argumentos contra o empirismo comum ao positivismo lógico, ao falsificacionismo e ao indutivismo, que serão apresentados na próxima parte.
III
O indutivismo fornece um critério simples de demarcação da ciência: é considerada científica a proposição obtida ou de forma empírica, através de um salto indutivo de um número considerável de observações neutras e objetivas para a generalização, ou deduzida a partir de uma generalização já obtida por indução. Há diversas formas de se enunciar o problema lógico da indução mas, em geral, a questão reside na justificação do salto indutivo. Não há qualquer procedimento lógico que permita uma generalização rigorosa a partir da indução. Isso leva ao primeiro ponto principal desta parte do estudo: o indutivismo propõe um critério de demarcação da ciência: é científico o que é extraído dos “fatos”. Contudo, se a indução não se justifica nem logicamente e muito menos indutivamente - por se tratar de uma petição de princípio - então, pouco da produção acadêmica seria considerada científica por um indutivista e, na verdade, ele não estaria logicamente justificado ao fazê-lo. Em outras palavras: se ciência é feita por indução, e se a indução não se justifica rigorosamente, então, por mais que cientistas como Newton tenham alegado que extraíram suas conclusões a partir da observação objetiva e indutiva da realidade, o critério de demarcação indutivista não se sustenta.13
Em segundo lugar, deve-se ressaltar o papel do positivismo lógico na filosofia da ciência. Essa vertente estabeleceu um outro critério de demarcação para a ciência sem, contudo, diferenciar as ciências naturais das ciências sociais. Aliás, as ciências sociais se “contaminam” por um vocabulário metafísico e, por isso, não verificável e nem tautológico e, por conseguinte, não científico. Sendo assim, restam dentro do duplo critério de demarcação lógico-positivista, as ciências naturais. A verificação (para boa parte dos positivistas lógicos) é o procedimento que conecta uma proposição ao mundo exterior. A ponte completa para a realidade, contudo, nunca pode ser completamente construída, sendo que as proposições básicas são tautologias de definições convencionais. O positivismo lógico abandona, então, a pretensão de se conhecer o mundo exterior diretamente e acaba por adotar uma visão relacional das coisas. Os objetos são definidos operacionalmente e sempre em relação a outros objetos, mas nunca com pretensões essencialistas ou metafísicas.
Em terceiro lugar, tanto o positivismo lógico como o indutivismo se caracterizam por alguma forma de empirismo. O primeiro, em tudo o que envolve a extrapolação das tautologias, ou seja, em tudo o que envolve o acréscimo de valor cognitivo aos axiomas convencionalmente definidos. O último, em basicamente toda a argumentação. O ponto comum mais relevante a esta discussão é a adoção, por ambas as vertentes da filosofia da ciência, de uma visão realista “ingênua” sobre a observação, isto é, a crença de que é possível, estabelecidas certas condições, que a experiência seja neutra e que, a partir dela, conclusões sejam tomadas sem a mediação de abstrações teóricas. Esse é um ponto comum às correntes apresentadas que, se for criticado, só deixa margens para alternativas não-empiristas.
Em quarto lugar, não fica claro o uso dessas formulações da filosofia da ciência na Economia. Sabe-se que na prática o indutivismo não pode orientar qualquer atividade científica justificadamente e que, portanto, qualquer defensor de uma metodologia indutivista da Economia necessariamente não cumpre a própria metodologia à exaustão. Mas isso não basta para explicar a baixa incidência de indutivistas coerentes na Economia, especialmente quando essa vertente filosófica passou a ser amplamente difundida por causa da fama das leis de Newton14. Este talvez seja mais um problema para os historiadores do pensamento econômico tratarem, porém, uma hipótese viável é afirmar que os economistas do século XVIII e XIX não viam na Economia o mesmo status de uma ciência natural, por exemplo. Mesmo Mill (1961), defensor e proponente do indutivismo em seu tratado sobre lógica, como economista, buscava construir uma teoria econômica que não era toda produzida por indução. Se é esse o caso, contudo, por que a recorrência hodierna de referências a noções indutivistas em tantos textos de Econometria, por exemplo? Com o positivismo lógico, paradoxalmente, economistas em geral foram bastante receptivos. O mainstream hoje adota várias noções herdadas do positivismo e, mais precisamente, do positivismo lógico. Como ilustração, menciona-se a busca relacional pelo fenômeno, eliminando questões sobre a essência dos objetos, o operacionalismo nas definições, a obsessão dos economistas pelo teste empírico de modelos, a preocupação em explicitar a parte dedutiva (“tautológica” e convencional) do modelo teórico, etc. O positivismo lógico inclusive serve de influência a vários posicionamentos peculiares à Metodologia da Economia como uma área separada da filosofia da ciência, se bem que ainda em interação com ela, revisitando-a de quando em quando, como é o caso do instrumentalismo metodológico e de outras propostas que foram feitas tendo-se em vista não a ciência como um todo - ao contrário do indutivismo e do positivismo lógico - mas sim a Economia.
Por isso, é de suma importância que a influência dessas vertentes na Economia, mesmo que seus propositores não tivessem a intenção original de aplicá-las a essa ciência especial, seja apontada. Por consequência, também as críticas aqui levantadas se voltariam contra as aplicações dessas formulações em filosofia da ciência na condição de metodologias da Economia e propostas alternativas teriam que ser analisadas a fim de preencher o vácuo restante que talvez se mostre considerável, a depender do resultado da análise da influência dessas vertentes na Economia.
2. Falsificacionismo e problemas na relação entre teoria e dados
Esta parte do estudo tem o objetivo de expor a alternativa falsificacionista, que surge como uma importante contraposição ao indutivismo. O maior nome ligado ao posicionamento falsificacionista é o de Karl Popper, que recebe maior destaque aqui. A primeira seção reúne alguns elementos relevantes na proposta falsificacionista e a seção subsequente expõe uma crítica que diz respeito à dependência que a observação tem em relação à teoria, sendo aplicável por extensão às modalidades de empirismo a que se fez alusão anteriormente, o indutivismo e o positivismo lógico com seu critério de verificação empírica.
I
Popper, anteriormente um positivista lógico, atentou para uma inversão no critério de verificação que se mostrou razoável como alternativa ao positivismo lógico. A ciência permanece demarcada pela necessidade de um tipo de teste empírico, mas ele se dá indiretamente. Hipóteses devem consideradas sempre provisórias. O teste empírico de hipóteses revela apenas isto com certeza: se as hipóteses são falsas. Isso quer dizer que a posição proposta pelo autor se mune do modus tollens como um instrumento útil para a pesquisa científica. Não se pode ter certeza sobre a verdade de uma hipótese, mas sim sobre sua falsidade. Assim, uma vez falsificada a hipótese, ela é automaticamente abandonada e substituída por outra hipótese.
Indo além da implosão do positivismo lógico, mencionada na parte anterior deste estudo ao criticar essa vertente, Popper (1994, p.70) mostra sua insatisfação com o critério de verificabilidade proposto pelos positivistas com base no critério de significação. Trata-se de um critério insatisfatório, porque “exclui da ciência praticamente tudo o que a caracteriza, ao mesmo tempo [em] que deixa de excluir a astrologia. Nenhuma teoria científica pode ser deduzida de afirmações derivadas da observação”. A proximidade do critério de demarcação proposto pelos positivistas lógicos em relação ao indutivismo, também criticado pelo autor, é outro motivo de rejeição a esse critério:
[Os positivistas lógicos] desejam admitir como científicos, ou legítimos, tão-somente os enunciados reduzíveis a enunciados elementares (ou “atômicos”) da experiência - a “juízos de percepção”, ou “proposições atômicas”, ou “sentenças protocolares” (e que mais?). Claro está que o critério implícito de demarcação é idêntico à exigência de uma Lógica Indutiva. (...) Já que rejeito uma Lógica Indutiva devo também rejeitar todas essas tentativas de resolver o problema de demarcação. (POPPER, 2004, p.35-36).
Além disso, a verificação ou a confirmação de teorias não podem distinguir o conhecimento científico porque, nesse caso, qualquer teoria auto-imune deveria ser considerada científica15. Popper (1999, p.40) procurou “uma abordagem que evitasse a política de imunizar nossas teorias contra a refutação”. Confirmar ou verificar teorias é fácil. O que se precisa é denotar testes empíricos que teriam o potencial de refutar a teoria em questão (POPPER, 1994, p.66). Popper, então, propõe outro critério que, embora guarde alguma semelhança com a proposta do positivismo lógico, apresenta uma importante ruptura, ao atribuir centralidade à refutação de teorias (no lugar de sua verificação). Ele propõe que “a teoria que não for refutada por qualquer acontecimento concebível não é científica” e “todo teste genuíno de uma teoria é uma tentativa de refutá-la. A possibilidade de testar uma teoria implica igual possibilidade de demonstrar que é falsa”. O critério de demarcação falsificacionista que “define o status científico de uma teoria” consiste, em suma, na “sua capacidade de ser refutada ou testada” (POPPER, 1994, p.66, [grifos no original para todas as citações]). Ou, como Lakatos (1970a, p.96, [grifos no original]) enuncia, para o falsificacionista, “a honestidade científica consiste em especificar, de antemão, de um experimento tal que, se o resultado contradiz a teoria, a teoria deve ser descartada”.16
Em outras palavras, a cientificidade de uma teoria se liga fortemente ao papel do teste na formulação popperiana, principalmente à sua orientação para o falseamento de teorias. Watkins (2000, p.343) resume essa visão sobre a ciência:
A ciência desenvolve teorias não-verificáveis e as tenta falsificar ao deduzir conseqüências preditivas e ao testar experimentalmente as mais improváveis dessas conseqüências. Sobreviver a testes severos não proporciona apoio indutivo algum para a teoria, que permanece uma conjectura e que pode ser derrubada posteriormente.17
Para mostrar a obtenção de conhecimento científico, Popper (1999, p.18) reformula o problema da indução com a seguinte pergunta:
Pode a alegação de que uma teoria explanativa universal é verdadeira, ou é falsa, ser justificada por “razões empíricas”; isto é, pode a admissão da verdade de asserções de teste justificar a alegação de que uma teoria universal é verdadeira, ou a alegação de que é falsa?
Em resposta, o autor afirma que “a admissão da verdade de asserções de teste às vezes nos permite justificar a alegação de que uma teoria explanativa universal é falsa” (POPPER, 1999, p.18, grifo no original). Uma teoria cuja falsidade não foi estabelecida é preferível àquela já falsificada. “O teórico (...) interessar-se-á por teorias não refutadas, especialmente porque algumas delas podem ser verdadeiras” (POPPER, 1999, p.25, [grifo no original]).18
O cientista mune-se, para testar as teorias, resumidamente, dos seguintes procedimentos:
Com o auxílio de outros enunciados previamente aceitos, certos enunciados singulares - que poderíamos denominar “predições” - são deduzidos da teoria; especialmente predições suscetíveis de serem submetidas facilmente a prova ou predições aplicáveis na prática. Dentre os enunciados referidos, selecionam-se os que não sejam deduzíveis [sic, dedutíveis] da teoria vigente e, em particular, os que essa teoria contradiga. A seguir, procura-se chegar a uma decisão quanto a esses (e outros) enunciados deduzidos, confrontando-os com os resultados das aplicações práticas e dos experimentos. Se a decisão for positiva, isto é, se as conclusões singulares se mostrarem aceitáveis ou comprovadas, a teoria terá, pelo menos provisoriamente, passado pela prova: não se descobriu motivo para rejeitá-la. Contudo, se a decisão for negativa, ou, em outras palavras, se as conclusões tiverem sido falseadas, esse resultado falseará também a teoria da qual as conclusões foram logicamente deduzidas (POPPER, 2004, p.33-34).
Watkins (2000, p.344) formula genericamente o teste. Uma proposição universal da teoria seria do tipo “todos os F são G” [(x)(Fx→Gx)] e um enunciado singular ou predição com o papel de falsificador potencial seria (por exemplo) do tipo “o objeto a é F e não-G” [Fa˄¬Ga], proibindo, então, a ocorrência da propriedade G no objeto19. O enunciado singular, observe-se, nega em um aspecto a proposição universal. A verificação empírica adota o sentido, assim, de se verificar algo que contraria a proposição geral. Se não for o caso, empiricamente, que Fa˄¬Ga (de alguma forma), então não se contraria, para a situação observada, a proposição geral. Isso, tal como Popper propõe, não acrescenta muito conteúdo à discussão, uma vez que verificar F ou G em vários objetos a, b, c, etc. não quer dizer que todos os objetos sejam assim porque um salto indutivo não se justifica logicamente.
A teoria se mantém provisoriamente enquanto não é contrariada. Por outro lado, se Fa˄¬Ga, então a proposição geral é contrariada pelo enunciado singular e passa-se a ter a certeza de sua falsidade. O pesquisador, tomando conhecimento de que seu enunciado geral foi refutado, deve trabalhar com outras possibilidades.
O máximo que se obtém, portanto, de uma confirmação da teoria é que ela ainda não foi falsificada. Por isso, “devemos encarar todas as leis ou teorias como hipotéticas ou conjecturais; isto é, como suposições” (POPPER, 1999, p.20, [grifo no original]), sabendo que “todas as teorias são hipóteses; todas podem ser derrubadas” (POPPER, 1999, p.39, [grifos no original]). “Sempre é possível, sem dúvida, que a teoria possa ser falsa, mesmo que passe por todos os testes” (POPPER, 1999, p.85). Popper (1999, p.84-85) afirma que as confirmações experimentais das teorias têm no máximo o papel de mostrar uma verdade provisória, talvez uma aproximação maior da verdade do que uma teoria já refutada no mesmo teste.
Em suma: nos critérios falsificacionistas, positivamente falando, a verdade científica é sempre provisória. Negativamente falando, a falsidade de uma proposição universal é conclusiva caso essa proposição seja refutada empiricamente por um enunciado singular verificado que a contrarie. A formulação falsificacionista propõe, com isso, um critério alternativo de demarcação para a prática científica madura (uma “boa” teoria seria uma teoria falsificável) e critérios para teste de teorias considerados conclusivos no caso da refutação de uma conjectura.
II
Um exame mais detido sobre a formulação falsificacionista acerca do teste de teorias indica que ela enfrenta a possibilidade ou de recorrer ao empirismo ingênuo (também presente no indutivismo e no positivismo lógico) ou de cair em uma espiral infinita de teorias orientadoras dos testes. Para que se realize um teste de teorias nos moldes falsificacionistas são possíveis dois pressupostos mutuamente excludentes, que serão considerados abaixo: o primeiro consiste na possibilidade de se conhecer a evidência empírica por apreensão ou acesso direto ao objeto.20 O segundo, pelo contrário, postula a necessidade que qualquer observação tem de considerações prévias que a orientem.
O próprio Popper (1970) rejeita a primeira possibilidade, ao criticar a “teoria do balde mental”, na verdade, uma formulação considerada de senso comum, que postula o seguinte:
Se você ou eu quisermos conhecer alguma coisa não conhecida a respeito do mundo, temos de abrir os olhos e olhar em redor (...) A tese importante da teoria do balde é que aprendemos a maior parte, se não tudo, de quanto aprendemos por meio da entrada da experiência pelas aberturas dos nossos sentidos, de modo que toda experiência consiste de informação recebida através de nossos sentidos (POPPER, 1999, p.66-67).
O autor rejeita esse empirismo ingênuo, que se parece com a formulação de Hume e de “numerosos positivistas e empiristas modernos” (POPPER, 1999, p.68) afirmando “a existência de algum conhecimento em forma de disposições e expectativas” que antecede a observação e que está presente “em cada etapa da evolução da vida” (POPPER, 1999, p.75). Lakatos (1970a, p.99) concorda, ao afirmar que “não há nem pode haver quaisquer sensações [que] não [sejam] impregnadas por expectativas”21. Por isso, “não há observação que não se relacione com um conjunto de situações típicas - regularidades - entre as quais ela tenta encontrar uma decisão” (POPPER, 1999, p.76). “Teoria e fatos não são categoricamente separáveis” (KUHN, 2003, p.26).
Essas expectativas podem ser de cunho teórico, cultural ou metafísico, mas compõem o que Popper genericamente chama de teorias de fundo (WATKINS, 2000, p.346). Ao discorrer sobre a História Natural, considerando um exemplo de tentativa empirista ingênua de se obter conhecimento teórico a partir da observação neutra e direta dos “fatos”, Kuhn (2003, p.37, [grifos acrescentados]) aponta a dependência que a observação tem daquilo chamado por Popper de teorias de fundo:
Nenhuma História Natural pode ser interpretada na ausência de pelo menos algum corpo implícito de crenças metodológicas e teóricas interligadas que permita a seleção, a avaliação e a crítica. Se esse corpo de crenças já não está implícito na coleção de fatos - quando então temos à disposição mais do que “meros fatos” - precisa ser suprido externamente, talvez por uma metafísica em voga, por outra ciência ou por um acidente pessoal e histórico.
Deve-se ressaltar que pode, contudo, haver significativa convergência entre as interpretações das observações entre várias pessoas. Isso, porém, não garante a objetividade, ou melhor, a neutralidade do processo. Não passa de uma interpretação compartilhada, o que pode ser facilitado pelo compartilhamento de crenças que recortam a experiência e que lhe atribuem sentido, incluindo teorias científicas que se tornam populares na comunidade.
Não é de admirar que nos primeiros estágios do desenvolvimento de qualquer ciência, homens diferentes confrontados com a mesma gama de fenômenos - mas em geral não com os mesmos fenômenos particulares - os descrevem22 e interpretem de maneiras diversas. É surpreendente (e talvez também único, dada a proporção em que ocorrem) que tais divergências iniciais possam em grande parte desaparecer nas áreas que chamamos de ciência (KUHN, 2003, p.37).
Lakatos (1970a, p.97-100) aponta dois pressupostos que considera falsos na visão falsificacionista. Primeiramente, o falsificacionismo pressupõe uma ponte inexistente entre observação e proposições. Entretanto, “proposições só podem ser derivadas de outras proposições. Elas não podem ser derivadas de fatos (...). Este é um dos pontos básicos da lógica elementar, mas que ainda hoje é entendido por poucos” (LAKATOS, 1970a, p. 99)23. Alhures, Lakatos (1999, p.41) atribui esse mesmo pressuposto ao indutivismo (mencionando a tentativa proposta por Leibniz de se construir uma máquina que julgasse sobre a verdade e a falsidade de proposições empíricas) e deixa mais clara a sua crítica a esse pressuposto:
Então, se eu quero perguntar à máquina: “é verdade que todos os planetas se movem em elipses?” eu preciso colocar na máquina não só a pergunta, mas também todo o sistema planetário. O interessante é que Leibniz não era burro, mas nunca lhe ocorreu que, se ele quisesse construir tal máquina, ela teria que se maior que todo o Universo. É curioso, na história das idéias, que se tenha demorado tanto tempo para que se descobrisse a distância [insuperável] entre fatos e proposições factuais. (POPPER, 2004, p.483-484)24
Portanto, “o valor-verdade de proposições ‘observacionais’ não pode ser indubitavelmente decidido: nenhuma proposição factual pode ser provada a partir de um experimento” e, por isso, “não podemos provar teorias nem podemos desaprová-las também” (LAKATOS, 1970a, p.99-100, [grifos no original]).25
Em segundo lugar, afirma Lakatos, o falsificacionismo depende de uma divisão entre proposições básicas (acessadas diretamente pelo sujeito no ato de observação) e proposições teóricas. Tal distinção não se sustenta por causa do próprio argumento popperiano contra a teoria do balde e porque a relação entre teoria e observação é na verdade uma relação entre teoria e observação orientada por teoria, em aproximação àquilo afirmado por Kuhn (2003). Por exemplo:
[As] “observações” [de Galileu] não eram “observacionais” no sentido de serem observadas pelos sentidos desprovidos de auxílio: sua confiabilidade dependia da confiabilidade de seu telescópio - e da teoria ótica do telescópio - que foi violentamente questionada por seus contemporâneos. Não foram as observações puras e não-teóricas de Galileu que confrontaram a teoria Aristotélica, e sim as “observações” de Galileu à luz de sua teoria ótica que confrontaram as “observações” dos aristotélicos à luz de sua teoria do firmamento (LAKATOS, 1970a, p.98, [grifos no original]).26
Uma divisão natural entre proposições básicas e teóricas, por isso, não se mantém (LAKATOS, 1970a, p.99), o que soma o argumento de Lakatos ao de Kuhn e ao do próprio Popper em sua rejeição ao empirismo ingênuo.
Aceitar que a observação depende da teoria, descartando o empirismo ingênuo, leva à segunda possibilidade de relacionamento entre teoria e dados. Nesse caso, a teoria a orientar a observação tem que ser diferente, ao menos em parte, daquela que está sob teste nesse procedimento. Caso contrário, a teoria testada seria assumida no teste, o que caracteriza uma petição de princípio. Assim como o indutivista não pode confiar na validade da indução para estabelecer a validade da indução indutivamente, o pesquisador não pode supor que o enunciado em teste já foi testado e se manteve, com a finalidade de testá-lo. Contra essa conclusão, os falsificacionistas não levantam objeções, uma vez que a formulação original de Popper propõe que se coloque sob teste um enunciado singular tirado de um conjunto maior de postulados. Esse enunciado é tão simples que os conceitos e as demais considerações que em geral orientam uma observação se definem, não nele, mas em outras proposições teóricas de fundo.
Adotando-se, então, a necessidade de que considerações teóricas distintas daquelas a serem testadas orientem a observação, há três características que essas teorias podem ter que são de importância crucial para que se defina a relação entre teoria e observação proposta no falsificacionismo: as considerações teóricas orientadoras do experimento em questão podem ter sido testadas por outro processo, ou assumidas ou, então, não testadas. No primeiro caso, se for aceito pela formulação falsificacionista que há pelo menos um outro processo de teste de teorias diferente do proposto por ela mesma que é digno de consideração, então a questão do teste falsificacionista de teorias nem precisaria ter sido abordada. Havendo outro teste assumidamente válido, útil e seguro, por que não utilizá-lo no lugar da refutação popperiana de conjecturas?
No segundo caso, se for admitido por um popperiano que há certas teorias que não carecem de teste e que podem ser simplesmente assumidas, mesmo que com finalidade instrumentalista (finalidade essa que Popper pensa ser bastante discutível27), então, por outro motivo, a questão do teste falsificacionista de teorias nem precisaria ter sido abordada. Se a teoria orientadora da observação pode ser simplesmente assumida, por que não adotar a mesma postura em relação à teoria a ser testada? Ou, pelo menos, outra questão a precederia: o que na teoria a ser testada torna desejável que o teste seja levado a cabo, ao passo que outras considerações teóricas tais como aquelas a orientarem o teste em questão podem ser simplesmente assumidas sem que seja necessário testá-las também? Uma possível resposta é que essas teorias orientadoras talvez sejam mais básicas que aquelas a serem testadas, o que foi sugerido por Popper, conforme Watkins (2000, p.346) relata: “Popper disse que testamos uma proposição básica deduzindo dela outras proposições básicas ainda mais facilmente testáveis (com o auxílio de teorias de fundo)”28. Todavia, nesse caso, pode-se inferir que “isso significa que as proposições onde eventualmente paramos não foram, ao cabo, testadas: tudo o que obtemos é uma corrente sem fim de derivações” (WATKINS, 2000, p. 346)29.
Essa crítica já aponta para o terceiro caso, o de que as considerações que orientarão o teste ainda não foram testadas. A crítica de Watkins aponta a espiral infinita de testes requeridos. Tal como um sistema de n equações que contém (n+1) incógnitas é impossível de ser resolvido completamente, o teste de uma teoria que confie em outras teorias não testadas e que se oriente pela necessidade de testá-las também não poderá ser executado com justificação lógica. Por outro lado, simplesmente pressupor essas teorias leva o pesquisador de volta ao segundo caso.
Resumindo, a formulação falsificacionista sobre a relação entre teoria e dados não se sustenta nas diversas possibilidades analisadas, isto é, na adoção de uma postura empirista ingênua ou na adesão ao papel orientador que a teoria tem sobre a observação (incluindo os diversos casos analisados para o status das teorias de fundo). Essa conclusão tem implicações fortes para a proposta popperiana de solução do problema da demarcação, uma vez que o critério de demarcação proposto se liga diretamente à formulação falsificacionista sobre a relação entre teoria e dados. A objeção que se pode fazer, após toda a argumentação acima, é que, se teorias não podem ser provadas nem desaprovadas pelos dados, então não faz sentido exigir do cientista que ele inclua em sua atividade a produção de considerações sobre qual tipo de observação refutaria sua proposta teórica. Com efeito, ao analisar episódios na história da ciência, Lakatos (1970a, p.100, [grifos no original]) conclui que, “mesmo que experimentos pudessem provar relatórios experimentais, seu poder de desaprovação seria ainda miseravelmente restrito”, uma vez que “as teorias científicas mais admiradas simplesmente não cuidam de proibir qualquer [evento] observável [que as falsificaria cabalmente]”30.
III
O falsificacionismo tenta manter um critério de demarcação empírico para a ciência. As proposições científicas devem ser especificadas de tal forma que seja possível conceber um experimento que as falsificaria. Popper (1999, p.23) reconhece que isso pressupõe uma ligação entre a observação e as proposições e que, por isso, sua formulação compartilha o empirismo presente, por exemplo, em parte da formulação do positivismo lógico. Afirma ele: “minha resposta [ao problema da indução] está de acordo com a seguinte forma, um tanto fraca, do princípio do empirismo: só a ‘experiência’ nos pode ajudar a decidir sobre a verdade ou falsidade de asserções factuais”.
Lakatos (1970a; 1999) apontou as dificuldades de ordem lógica na manutenção desse pressuposto. O próprio Popper (1999) abre espaço para que se critique qualquer noção empirista ingênua no que tange à relação entre teoria e dados, incluindo a distinção entre proposições básicas e proposições teóricas. Ao requerer que justamente essa noção seja pressuposta nas considerações acerca do teste de teorias, o falsificacionismo se aproxima de outras abordagens ingenuamente empiristas como, por exemplo, o indutivismo (LAKATOS, 1970b, p.97), criticado pelos falsificacionistas. Teoria precede observação. Desconsiderar isso é um problema comum às abordagens consideradas até agora.
Alternativamente, há a possibilidade de se aceitar a possibilidade de outras teorias mediando a relação entre o sujeito e a observação. Essas teorias podem ser simplesmente pressupostas, ou testadas por processo diferente do falsificacionista, ou ainda não testadas no momento do teste. Em todas as possibilidades o pesquisador sequer iniciaria o teste, caso procurasse uma justificativa lógica para o seu procedimento. Aponta-se que, em última análise, a proposta popperiana sobre teste de teorias leva a uma espiral infinita de teorias a serem testadas.
Apesar desses problemas discutidos ao longo das últimas décadas na filosofia da ciência, permanece a influência do empirismo sob várias formas nas propostas metodológicas no campo da Economia. Blaug (1999), por exemplo, critica boa parte dos economistas por defenderem uma visão popperiana do progresso científico na área, mas não a praticarem. Apesar de considerar algumas peculiaridades nas propostas dos metodólogos da economia, esse autor faz uma convocação geral a uma adesão plena ao falsificacionismo, com seus critérios de teste e de demarcação. Embora a proposta empirista para o relacionamento entre teoria e dados prevaleça nas correntes dominantes sob diversas variações, outras vertentes do pensamento econômico têm buscado alternativas. A próxima parte deste estudo aponta especificamente para a formulação metodológica de alguns membros da escola austríaca que busca uma outra via para estabelecer os critérios de demarcação e de teste para a teoria econômica.
3. A Proposta Metodológica da Praxiologia31
Em 1871, com o lançamento da obra Princípios de Economia, Carl Menger deu início à tradição que se tornou conhecida como Escola Austríaca de Economia. Embora esse autor já tivesse publicado outros trabalhos, seu tratado é geralmente considerado o marco inicial da escola austríaca. Em uma fase inicial, essa escola de pensamento econômico, devido à ausência de traduções da produção acadêmica feita nessa tradição, se restringiu à Europa de fala alemã. Acontecimentos históricos levaram à dispersão dos economistas austríacos por todo o mundo, de modo que, atualmente, o termo “escola austríaca” se refere à supracitada tradição de pensamento econômico, não importando para essa nomenclatura a proveniência dos economistas que seguem essa tradição.
Menger, já em 1871, desenvolvera alguns estudos epistemológicos e iniciara um debate com os historicistas alemães. Eugen von Böhm-Bawerk, um de seus alunos, levou adiante a teoria desenvolvida por Menger, seguido por Friedrich von Wieser. Entretanto, foi um dos alunos de Böhm-Bawerk, Ludwig von Mises, quem edificou sobre o alicerce teórico de sua época uma base epistemológica e metodológica que fundamentou as propostas austríacas subsequentes.
Pode-se afirmar que, antes de Mises, não havia uma epistemologia austríaca sistematizada, e que, depois dele, os estudos feitos por economistas que seguiram sua metodologia são, no contexto dos austríacos, marcados por uma coerência rara de se encontrar na Economia. Acrescente-se a isso o fato notável que precursores da escola austríaca que utilizaram certas partes do método posteriormente sistematizado por Mises já haviam chegado a conclusões semelhantes às dos austríacos, mas estes últimos, por construírem suas teorias com base em um método sistematizado, apresentaram nelas mais coerência interna e conclusões ainda mais abrangentes. Rothbard afirma que, antes de Mises, “os economistas clássicos e os primeiros ‘austríacos’32 tinham erguido a Ciência Econômica com base numa metodologia apropriada; mas suas descobertas específicas no plano metodológico tinham sido freqüentemente fortuitas e esporádicas” (ROTHBARD, 1988, p.34).
Esta seção trata da metodologia da escola austríaca desenvolvida, principalmente, por Mises, chamada de Praxiologia33. A sistematização dos métodos da escola austríaca surgiu primeiramente em alemão, em 1933. Essa obra34 foi traduzida em 1960 para o inglês e critica as propostas metodológicas historicistas e positivistas. A próxima parte apresenta conceitos fundamentais e algumas implicações a eles relacionadas. A parte subsequente analisa o fundamento da teorização praxeológica e algumas das contribuições de Mises para o debate filosófico. Essas contribuições relacionam-se diretamente à conclusão de que há uma diferença importante entre as ciências sociais e as ciências naturais e que tal diferença leva necessariamente ao uso de métodos distintos para a pesquisa em cada um desses ramos científicos. A experiência ligada à ação humana é de caráter histórico e, por isso, difere qualitativamente dos experimentos laboratoriais. A história também não pode refutar nem verificar ou confirmar uma teoria praxeológica. Em vez disso, a história só é observada pela mediação de uma teoria praxeológica. A parte final da seção capítulo retoma o argumento da praxiologia, destacando brevemente os seus passos mais relevantes para a discussão deste estudo.
O material-base para a exposição da formulação metodológica da praxiologia é composto, na maior parte, por textos de Mises relacionados diretamente ao assunto, bem como por textos de comentadores diversos. Em geral, maior peso é atribuído aqui às citações de Mises em relação aos comentários. Isso cumpre a dupla função de diminuir o impacto de possíveis interpretações ousadas por parte dos comentaristas que eventualmente prejudiquem a discussão proposta e de colocar o leitor em maior contato com a argumentação miseana em primeira mão.
I
Mises definiu a praxiologia como uma ciência geral da ação humana, à qual a Economia está subordinada. Praxiologia é a ciência que estuda a ação humana do ponto de vista das implicações formais do axioma central (ZANOTTI, 1998, p.63). Esse axioma central, a ser analisado de forma mais detida adiante neste estudo, é a proposição de que “os seres humanos agem propositadamente”. Partindo do axioma central da ação humana, o teórico executa deduções diversas, que passam a compor o corpo teórico da praxiologia. “A teoria”, afirma Feijó (2000, p.105), “é um agrupamento de conceitos categóricos que se desdobram logicamente em outros conceitos. A partir da identificação lógica dos predicados derivados de conceitos, o conjunto das proposições teóricas é estabelecido”. A “economia praxeológica”, tal como Rothbard (1997, p.58-59) sintetiza, “é a estrutura de implicações lógicas do fato de que indivíduos agem”35. Por isso, é vital que as noções de ação humana e de categorias lógicas em jogo na demarcação da praxiologia sejam esclarecidas.
Mises (2006, p.2) afirma que “o homem age porque lhe falta o poder de criar condições totalmente satisfatórias e deve recorrer aos meios adequados visando a torná-las menos insatisfatórias”36. O ser humano se vê constrangido pelo “mundo externo” e, por isso, não pode realizar todos seus desejos. O mundo externo é “the totality of all those things and events that determine the feasibility or unfeasibility, the success or failure, of human action” (MISES, 2006, p.5). A ação é uma maneira de se intervir em alguma situação no mundo externo. Ela “(...) visa a alcançar fins escolhidos. O homem que atua está determinado a tirar, através de conduta propositada, os eventos do rumo que eles tomariam, se ele não interferisse” (MISES, 2002)37. De forma mais clara, o que caracteriza a ação humana é que ela é “uma tentativa propositada de se substituir uma situação menos satisfatória por uma mais satisfatória” (ZANOTTI, 1998, p.61, [grifo no original])38. A mudança - ou melhor, a tentativa de se mudar para melhor - é, então, uma característica que marca a ação. Mises (2006, p.39) afirma que “cada ação é uma tentativa de se substituir uma situação por outra”.39 Essa mudança, frisa-se novamente, é imaginada pelo agente em questão como interventora no estado em que esse agente se encontra, pensando ser ela necessária para que a situação de alguma forma se torne mais confortável. “O homem age porque está insatisfeito com a situação que prevalece sem sua intervenção” (MISES, 2006, p.2)40. A definição de ação tem, então, a ver com a situação de partida, com uma intervenção e com o ponto de chegada desejado. “Agir significa esforçar-se para atingir certos fins, ou seja, escolher um objetivo e recorrer a meios visando à obtenção do objetivo buscado” (MISES, 2006, p.4)41. Ação, por isso, não equivale à simples conduta, mas sim, ao comportamento propositado (MISES, 2006, p.30-31)42.
Para Mises, caracteriza o ser humano o fato de que indivíduos agem e utilizam meios escassos para atingir seus objetivos. Essa espécie de ação coloca o homem em melhores condições de sobrevivência e ele, assim, prepondera sobre os animais. Daí pode-se afirmar que, para o estudo das ciências sociais, essa maneira de agir é de grande importância. Contrapondo-se à visão dos neoclássicos, os austríacos defendem uma metodologia peculiar. Afirma-se que “há claramente uma filosofia de práxis sendo usada na Economia Austríaca que não tem correspondente na teoria mainstream” (PRYCHITKO, 1994, p.78)43 e diz-se que a praxiologia se baseia numa epistemologia apoiada em duas colunas permanentes, a saber, a estrutura lógica e a estrutura praxeológica da mente humana (MISES, 2006, p.1). Essa última dimensão, Mises afirma, era negligenciada pelos epistemólogos em geral, resultando em negligência em relação à Economia (MISES, 2006, p.2-3). Contudo, quando o foco recai sobre as ciências sociais, a ação humana não pode ser desprezada e tem importância similar e interligada à do raciocínio lógico.
Tanto o pensamento e o raciocínio a priori, por um lado, como a ação humana, por outro, são manifestações da mente humana. A estrutura lógica da mente humana cria a realidade da ação. Raciocínio e ação são congêneres e homogêneos, dois aspectos do mesmo fenômeno (MISES, 2006, p.37).44
Essa conexão entre o raciocínio e a ação é remetida de volta para o raciocínio - agora, teórico - do economista. Em outras palavras, se a mente humana, por um lado, utiliza o raciocínio lógico no intuito de orientar a ação do indivíduo, por outro, justamente por isso, consegue captar, pelo mesmo instrumento da razão, uma teoria geral aplicável ao objeto da ação humana. Há, pelo menos, duas formas de se destacar, no pensamento de Mises, a importância dessa consideração para o estudo da economia. Em primeiro lugar, viabiliza, ao mesmo tempo, um reforço à “fundação última da ciência econômica” - para utilizar um termo do miseano - e uma contribuição filosófica que possibilite uma conexão, através da ação humana, entre o raciocínio e o mundo externo, tornando exeqüível a manutenção de um realismo epistemológico ainda que concomitante à afirmação de que o axioma central da ação humana é sintético e a priori. Em segundo lugar, serve de base para que se afirme uma distinção fundamental entre o objeto de estudo das ciências sociais e o das ciências naturais e, por implicação, uma distinção entre o método compreensivo daquela, em contraste com o método desta.
II
Yates (2005, p.42) afirma que uma das principais características da praxiologia é o seu apriorismo, isto é, a consideração de que há “proposições cuja verdade é apreendida intelectualmente e não empiricamente, e dentre elas se encontram as verdades fundamentais da praxiologia tal como o princípio da ação humana”45. Como se afirmou, a proposição “seres humanos agem” é tida por Mises como o ponto de partida da praxiologia. Como a teorização no âmbito da praxiologia - deduções desse axioma de partida - é análoga a um prédio que se ergue sobre um alicerce determinado, é de importância central que se obtenha segurança sobre a capacidade de esse alicerce teórico sustentar a teoria econômica.
Os austríacos postulam que o axioma da ação é universalmente verdadeiro e que se auto valida. Se alguém quiser argumentar que não existe esse tipo de ação (conforme definido acima), estará escolhendo meio (argumentação) para atingir um fim (tentar demonstrar a alegada falsidade do axioma) e, assim, estará tomando uma ação na tentativa de refutar a existência de ação.
Negar a validade empírica do axioma envolve uma ação propositada por parte dos céticos. Isso, portanto, os confronta com a escolha desconfortável de ou ceder na discussão ou de dizer que sua própria discórdia é desprovida de propósito. Assim, qualquer negação do axioma da ação é auto-contraditório (SELGIN, 1988, p.22).46
Basta apenas a lei lógica básica da não-contradição, de um lado, e a auto-aplicação do argumento contrário ao axioma básico da ação humana, de outro, para que isso fique mais claro do ponto de vista formal. Yates conceitua o tipo de auto contradição envolvido na negação desse axioma como uma contradição de ordem performativa. Para ele, “teses gerais envolvendo a experiência humana, o conhecimento humano, a razão humana e também a ação humana são invariavelmente auto-aplicáveis” (YATES, 2005, p.51).47 Negar algumas dessas teses gerais é uma conduta classificada como auto referencialmente inconsistente, ou seja, é incorrer de alguma forma na confirmação do contrário do que se pretende negar. A contradição performativa é um tipo de inconsistência auto referencial e consiste em se impossibilitar, no ato de argumentar, a própria argumentação sendo feita. Pelo menos outros dois exemplos relevantes de contradição performativa podem ser mencionados. O primeiro exemplo é a tentativa feita por Hoppe (1993) de estabelecer uma ética do discurso com base na propriedade privada, mostrando que argumentar contra a necessidade da propriedade privada necessariamente envolve admitir essa necessidade para que se execute o próprio ato de argumentação. Ou seja, ele procura indicar como a negação da propriedade privada é performativamente contraditória. Em segundo lugar, um argumento clássico em defesa das leis da lógica aristotélica mostra que qualquer argumentação que procure contestar, por exemplo, a lei da não contradição, ou a supõe - o que, no caso, é performativamente contraditório -, ou abre mão de qualquer tentativa de comunicar suas objeções à lógica (YATES, 2005, p.53)48. A relevância de se explicitar a forma desse tipo de inconsistência auto referencial é que, tendo-a em consideração, conclui-se que é impossível afirmar o contrário do axioma da ação humana e que, por isso, “seres humanos agem com propósito” pode ser tomado como um fundamento verdadeiro.49
Feijó (2000, p.112-113) comenta que, “quando Mises define a ação racional como verdade apodíctica temos um ardil kantiano”. Esse passo pode ser entendido partindo-se do estabelecimento do axioma da ação humana sem recurso à experiência. O projeto do economista austríaco é análogo50 ao de Immanuel Kant, que procurou mostrar a possibilidade de juízos sintéticos a priori (aqueles cujo predicado se separa totalmente do sujeito e que, não obstante, são apreendidos somente com o uso da razão, e não com a experiência). Kant (1787) chamou de a priori todo “conhecimento tal, independente da experiência e de todas as impressões dos sentidos”51. Para o filósofo prussiano, os juízos, além de se dividirem em a priori e a posteriori (obtidos empiricamente), também podem ser categorizados como analíticos ou sintéticos:
Ou o predicado B pertence ao sujeito A como algo contido de forma tácita nesse conceito A, ou B se encontra todo externo ao conceito A, ainda que ligado a ele. Chamo o primeiro caso de juízo analítico. O segundo, de sintético (KANT, 1787).52
No caso da praxiologia, o axioma da ação humana é considerado uma proposição (ou categoria / juízo, na linguagem usada por Mises sob influência de Kant) sintética a priori. Se a proposição “o ser humano age” é classificada como sintética a priori, então, ela pode ser conhecida independentemente da experiência empírica e, além disso, pode-se por substituição atribuir um predicado (“agir”) externo ao sujeito (o “ser humano”). Para executar sua proposta de mostrar como é possível a existência de juízos sintéticos a priori, Kant recorreu a uma espécie de “imposicionismo” segundo o qual “categorias fundamentais (...) não são apreendidas na realidade em suas diversas instâncias concretas, mas são impostas pela mente humana” (YATES, 2005, p.46)53. Mises, por sua vez, procurou mostrar que, através da ação humana, os juízos básicos (de causalidade, por exemplo) se aplicam a uma realidade externa54. Em outras palavras, fundamentos da lógica, tais como a identidade, a causalidade e a contradição são, além de leis do pensamento, partes da realidade (YATES, 2005, p.43). Com isso, Mises quer consolidar a base de sua proposta epistemológica na possibilidade de se obter conhecimento necessário de cunho dedutivo e que, ao mesmo tempo, seja informativo.55
Como, exatamente, Mises argumenta a favor da possibilidade de uma teoria da ação humana que seja totalmente dedutiva e, não obstante, sintética? Neste ponto, uma importante contribuição do economista austríaco à filosofia pode ser identificada. É justamente na dimensão prática que o homem pontifica entre o “mundo externo” e o raciocínio. Mises (2006, p.7) afirma que “todos os elementos das ciências teóricas da ação humana já estão implícitos na categoria da ação”56. Ilustra-se:
A própria categoria ou conceito de ação engloba os conceitos de meios e fins, de preferir e deixar de lado, ou seja, de avaliação, de sucesso e fracasso, de lucro e prejuízo, de custos. E como nenhuma ação poderia ser pensada e arriscada sem uma idéia definida sobre as relações de causa e efeito, teleologia pressupõe causalidade (...). Não podemos pensar em um agente que não iria in concreto distinguir o que seriam os fins e o que seriam os meios, o que seria sucesso e o que seria fracasso, o que ele gosta mais e o que ele gosta menos, qual é o seu lucro ou a sua perda derivada daquela ação e quais são seus custos. Ao juntar todos esses elementos, ele pode, obviamente, errar em seu julgamento no que diz respeito ao papel que vários eventos e materiais externos têm na estrutura de sua ação.(...) Um modo definido de comportamento é uma ação só se essas distinções se fazem presentes na mente no homem em questão (MISES, 2006, p.7, [grifo no original]).57
Através dessas escolhas, os agentes tentam lidar com os constrangimentos diversos do mundo externo, sendo que eles percebem, através da correlação, que alguns meios escolhidos lhes trazem resultados mais satisfatórios do que aqueles obtidos por outros meios. A observação que o homem faz desse mundo externo é sempre mediada pelo raciocínio, que serve como filtro da realidade (MISES, 2006, p.16), atribuindo causa e efeito a essas correlações.
Para Mises (2006, p.16-17), a razão recorre a categorias de causalidade, derivadas do próprio caráter ordenado do cosmos. O autor argumenta pela regularidade do universo através da impossibilidade intelectual e prática do contrário, da seguinte forma: se o universo fosse caótico, tanto o raciocínio como a ação propositada seriam impossibilitados. O homem poderia, no máximo, “ser um espectador passivo e não teria como fazer quaisquer planos para o futuro” (MISES, 2006, p.17)58. A categoria da causalidade é um desses “elementos teóricos da ciência teórica da ação humana” e é por isso que a categoria da ação tem considerável importância na epistemologia (MISES, 2006, p.7). Não há possibilidade de ação, e muito menos de raciocínio, sem a noção de causalidade.
A seguinte questão ocorre ao homem ansioso para remover através de conduta propositada um desconforto presente: “onde, como, e quando seria necessário interferir para poder obter um resultado definido?” Conhecimento da relação entre a causa e seus efeitos é o primeiro passo no sentido de orientação humana no mundo assim como a condição intelectual de qualquer atividade que tenha sucesso (MISES, 2006, p.17).59
“Tudo o que se pode dizer acerca da causalidade”, continua Mises (2006, p.17), “é que ela é a priori não apenas para o pensamento humano, mas também para a ação humana”60. É, então, através dessa tese que o economista austríaco conecta o raciocínio lógico ao mundo externo, podendo-se interpretar, assim, seu desvio do idealismo transcendental kantiano e sua aproximação a um tipo extremo de realismo fundacionista (YATES, 2005, p.45).
O verdadeiro assunto estudado pela praxiologia, a ação humana, vem da mesma fonte da razão humana. Ação e razão são congêneres e homogêneas; elas podem até ser consideradas dois aspectos diferentes da mesma coisa. Que a razão tem o poder de esclarecer através do raciocínio puro os atributos essenciais da ação é conseqüência do fato que a ação é um descendente da razão. O teoremas obtidos pelo raciocínio praxeológico correto não são só perfeitamente precisos e incontestáveis, como os teoremas matemáticos corretos. Eles se referem, adicionalmente, com a total rigidez de suas certezas apodícticas naturais e de sua incontestabilidade, à realidade da ação como ela aparece na vida e na história. Praxiologia proporciona o conhecimento exato e preciso de coisas reais (MISES, 2002, p. 3).61
III
Reconhecer que a estrutura lógica da mente serve tanto para orientar a ação humana quanto para orientar a investigação teórica praxeológica leva Mises a enfatizar distinções básicas entre as ciências naturais e as ciências sociais. Por mais semelhanças que possam existir entre ambos os tipos de ciências, a distinção fundamental dos estudos da ação humana é a própria categoria da ação:
Ação é uma categoria ignorada pelas ciências naturais. O cientista age quando embarca no seu trabalho de pesquisa, mas na órbita dos eventos naturais do mundo exterior que ele explora não há algo como a ação. Existe a agitação, existem o estimulo e a resposta e, apesar da objeção de alguns filósofos, há causa e efeito. Existe o que aparenta ser uma regularidade inexorável na concatenação e seqüência dos fenômenos. Há relações constantes entre entidades que capacitam o cientista a estabelecer medição. Mas não há nada que poderia sugerir busca de certos fins (MISES, 2006, p.6).62
Infere-se, então, que, uma vez que as ciências da ação humana se concentram nos meios utilizados pelos indivíduos em busca de determinados fins, as pesquisas no ramo social das ciências primam pela teleologia.63 As ciências naturais, por sua vez, restringem-se à pesquisa centrada na causalidade.
Os métodos empregados nas ciências naturais, por conseguinte, nem sempre se ajustam ao estudo da ação humana. Eis, por exemplo, o que Mises comenta sobre aqueles pesquisadores que aplicam os métodos estatísticos para estudar a ação humana:
Eles não consideram que todos os números estatísticos sempre mudam, algumas vezes mais, outras menos rapidamente. Não há em avaliações humanas e, conseqüentemente, em ações humanas tal regularidade como há no campo investigado pelas ciências naturais. O comportamento humano é guiado por motivos e tanto o historiador que estuda o passado como o homem de negócios que visa a antecipar o futuro devem tentar “compreender” esse comportamento (MISES, 2006, p.23).64
E, explicando de forma mais generalizada:
A órbita das ciências naturais é o campo em que a mente humana é capaz de descobrir relações constantes entre vários elementos. O que caracteriza o campo das ciências da ação humana é a ausência das relações constantes aparte daquelas tratadas pela praxiologia. No grupo anterior de ciências há leis (da natureza) e de medição. No ultimo não há medição e - exceto na praxiologia - não há leis; existe somente a história, inclusive na estatística (MISES, 2006, p.51).65
Assim, a experiência no âmbito do estudo da ação humana é de caráter histórico e único, não podendo constituir o mesmo tipo de regularidade refletido nos experimentos de laboratório amplamente empregados nas ciências naturais. Embora a experiência em ambas as áreas seja um só tipo de “atividade mental”, o que é procurado nas ciências sociais se liga diretamente ao conceito de ação e à categoria de finalidade, ao passo que o cientista natural, como visto, procura causalidades. “O que distingue a experiência do historiador da do naturalista e do físico é que ele procura pelo sentido que o evento teve ou tem para aqueles que foram ou instrumentos para sua ocorrência ou afetados pelo acontecimento” (MISES, 2006, p.39)66.
O método da compreensão (Verstehen) é, por isso, necessariamente peculiar ao estudo da ação humana. O sentido definido de ação não se aplica ao comportamento dos animais. Tampouco a outros objetos das ciências naturais que sequer apresentam comportamento, muito menos ação, como, por exemplo, os minerais ou os elementos químicos. Por outro lado, ação se manifesta pelo ser humano. O fato de o pesquisador social ser um humano e compartilhar as categorias básicas da ação com seu próprio objeto de estudo leva à viabilidade de se tentar compreender a situação do indivíduo em questão e a sua estratégia para intervir na situação através da ação tomada. Mais ainda, se a observação depende da teoria, e se o objeto observado em questão é a ação humana, então a teoria utilizada na avaliação de dados históricos é, na formulação miseana, uma teoria de caráter praxeológico. Assim, o historiador orienta sua pesquisa pelas seguintes perguntas: “qual foi o sentido que os atores atribuíam à situação em que se encontravam e qual foi o sentido de sua reação e, finalmente, o que resultou dessas ações?” (MISES, 2006, p.39)67. Percebe-se, então, que essas perguntas constituem uma formulação teórica praxeológica que antecede a observação e que é compreensiva68. Isso corresponde a dizer que a experiência diretamente relacionada à ação humana não pode ser estudada pelo mesmo método que a experiência nas ciências naturais.
Experiência sobre a ação humana pressupõe a categoria de ação humana e tudo que dela deriva. Se alguém não se refere ao sistema da praxiologia a priori, não pode nem consegue falar de ação, mas somente de eventos que devem ser descritos em termos das ciências naturais. A consciência dos problemas com os quais as ciências da ação humana estão preocupadas é condicionada pela familiaridade com as categorias a priori da praxiologia. Incidentalmente, pode-se também alegar que qualquer experiência no campo da ação humana é especificamente experiência histórica, a experiência do fenômeno complexo, que nunca pode falsear nenhum teorema na maneira que um experimento de laboratório pode fazer em relação aos enunciados das ciências naturais (MISES, 2006, p.38).69
Também se afirma que a experiência na dimensão da ação humana não pode pressupor a ergodicidade do mundo, isto é, não pode assumir que o futuro se assemelhará ao passado.
Eventos históricos são sempre o efeito conjunto da cooperação de vários fatores e de correntes causais. Em termos de ação humana não se podem realizar experimentos (...). Isso também é válido para o campo da ação econômica. A experiência à qual a economia e as estatísticas econômicas dizem respeito sempre se refere ao passado. É história, e, como tal, não apresenta conhecimento sobre uma regularidade que se manifestará também no futuro (MISES, 2002, s/p).70
No pensamento de Mises que, como se viu, supõe uma cosmologia ordenada, isso não pode coerentemente resultar de um pressuposto contrário (ie, de que o mundo seria caótico). A explicação provida pelos austríacos se concentra no caráter complexo da experiência histórica. Para começar, é praticamente impossível que as condições de observação em uma determinada experiência histórica sejam estritamente idênticas às de outra experiência histórica. Além disso, a complexidade dos fenômenos sociais obriga as tentativas de mensuração à moda das ciências naturais serem por demais simplistas:
É óbvio que existem, em relação ao mercado e a outras estruturas sociais similares, muitos fatos que não podemos medir e sobre os quais temos, na verdade, apenas algumas informações muito imprecisas e genéricas. Como os efeitos desses fatos não são passíveis de confirmação através de provas quantitativas em um momento específico qualquer, eles são simplesmente ignorados por aqueles que se comprometeram a aceitar apenas aquilo que lhes parecesse ser evidência científica. E, assim, eles vão em frente, na ilusão de que os fatos que podem ser medidos são os únicos que têm relevância (HAYEK, 1985, p.57).
A insistência nas técnicas “cientificistas” resulta ocasionalmente em diversos problemas de cunho metodológico. Por exemplo, “nenhum matemático competente deixa de perceber as falácias fundamentais da chamada Economia Matemática e especialmente da Econometria” (MISES, 2006, p.3)71. Os austríacos afirmam que a utilização de uma epistemologia empirista combinada com métodos cientificistas na Economia pode levar a graves erros teóricos, por uma teoria “obtida” a partir desse processo, “por sua própria natureza, [não poder] ser avaliada estatisticamente” (HAYEK, 1985, p.31). “O estudo da economia”, lamenta-se Mises (2006, p.3), “tem sido repetidamente atrapalhado pela ideia equivocada de que a Economia tem que proceder conforme padrões de outras ciências”72. Há, portanto, um método diferenciado para as ciências sociais e, por isso, da Economia, que se baseia na compreensão e no foco sobre as finalidades da ação e a aplicação de métodos cientificistas incompatíveis com a categoria da ação humana é deveras prejudicial à Economia, sendo, por isso, rejeitada pela formulação da praxiologia.
Chega-se, com isso, a um dos pontos mais discutidos da epistemologia austríaca. Alguns de seus críticos defendem que uma teoria só pode ser verificada se for contrastada com dados. Outros indicam até mesmo que é possível a extração de leis gerais a partir da observação dos eventos (desde que algumas regras de “objetividade” sejam respeitadas). Há réplicas dos austríacos a essas visões. Para Hayek, a extração da teoria a partir dos fatos não pode ser aplicada ao estudo da ação humana porque essa gera fenômenos que são essencialmente complexos, sendo impossível controlar as condições de experimento desses eventos. Pode-se afirmar que o contraste entre teoria e história não serve para verificação - nem falsificação - de teoria alguma, uma vez que os fatos não são auto explicativos para que possam ser contrastados com a teoria. A mera observação dos eventos não é capaz de identificar relações de causa e efeito entre eles: isso é obtido através de uma teoria. A experiência da ação humana, enquadrando-se como história, não constitui observação neutra nem mesmo para a realização de um teste de teorias. “A história deve ser interpretada através de uma visão teórica adquirida previamente de outras fontes” (MISES, 2002, s/p)73. Assim, o contraste entre teoria e dados necessita sempre de uma teoria para interpretar os próprios dados.
A escola austríaca defende, portanto, que “as leis econômicas obtidas do esquema de raciocínio a priori não podem ser refutadas pela história, permanecendo válidas sem exceção. A investigação histórica não poderia provar que a estrutura lógica da ação varia em função do contexto” (FEIJÓ, 2000, p.109). Dessa forma, não é necessário que a economia praxeológica seja testada por evidência empírica, mesmo porque, se a observação dos fatos afirmasse ou negasse algo, a posição empirista seria aplicável. Como, então, avaliar uma teoria praxeológica?
Alguns autores levantaram a pergunta bastante superficial de como um praxeologista iria reagir a um experimento que contradissesse teoremas de sua doutrina apriorística. A resposta é: na mesma forma um matemático reagiria a uma “experiência” que não identifica diferença entre duas maçãs e sete maçãs ou a um lógico a uma “experiência” que mostre que A e não-A são idênticos. (MISES, 2006, p.37-28)74
Sabe-se que “todo teorema da praxiologia é deduzido por raciocínio lógico da categoria da ação. É parte da certeza apodíctica provida pelo raciocínio que começa de uma cateria a priori” (MISES, 2006, p.40)75. Se o axioma central da ação humana é válido a priori, então todas as proposições que podem ser deduzidas a partir dele (respeitando-se as regras da lógica) também são válidas. Se o axioma da ação humana é universalmente válido, e, se, no sistema praxeológico, o instrumental teórico é totalmente construído a partir de deduções lógicas desse axioma, então, a única possibilidade que resta para a rejeição de algum ponto da teoria austríaca é a descoberta de um erro de lógica. Isso quer dizer que as conclusões tiradas de um axioma universalmente válido, respeitando-se regras universais de lógica, também são universalmente válidas76. Por contraste, um erro na teorização praxeológica pode ser identificado formalmente.
IV
Mises e os austríacos procuraram levar a cabo o projeto de mostrar a possibilidade de se obter teoria econômica. O primeiro ponto relevante é que a proposta metodológica austríaca rejeita o empirismo, que tem grande influência, tanto na metodologia da Economia, como na prática dos economistas. Em contrapartida ao empirismo contido, por exemplo, no indutivismo, no positivismo lógico e no falsificacionismo, a proposta da escola austríaca se baseia em uma epistemologia radicalmente racionalista e que, apesar disso, se diz capaz de estabelecer uma ligação entre a razão e o mundo externo. A solução adotada por Mises não seguiu a proposta idealista de Kant, mas, pelo contrário, encontrou na ação humana a ponte buscada. Com isso, foi possível estabelecer a “fundação última” da Economia através do axioma de que “seres humanos agem (propositadamente)”.
O segundo ponto que merece destaque trata das propriedades do axioma central da ação humana. Esse axioma é dotado de validade necessária, uma vez que negá-lo é auto referencialmente inconsistente, sob a forma de uma contradição performativa. Além disso, esse axioma é um juízo presente na estrutura mental tanto do objeto de pesquisa - indivíduo agindo - como do sujeito - indivíduo pesquisando. É essa manobra miseana que possibilita, primeiramente, a robustez formal do ponto de partida da praxiologia (que não é arbitrário ou convencional como os axiomas da geometria euclidiana, por exemplo) e, em segundo lugar, a diferenciação entre o tipo de experimento que é feito no escopo das ciências naturais e aquilo que é realizado tendo-se em vista a ação humana.
Essa última forma de experiência é necessariamente histórica e, por isso mesmo, por um lado, possui peculiaridades que dificultam o estabelecimento de controle experimental para que o método cientificista seja aplicado ao estudo da ação humana; e, por outro lado, é embebida da categoria da ação humana, o que permite ao pesquisador considerações interpretativas sobre o propósito e a finalidade da ação. Essa última observação acaba por levar a praxiologia a uma rejeição do monismo metodológico em prol da adoção de um método compreensivo para o estudo da ação humana, o que é o terceiro ponto a ser frisado.
Em quarto lugar, e remetendo essas conclusões da praxiologia de volta ao plano meta-teórico, lida-se com a questão da segurança que se pode ter acerca das conclusões obtidas. Um teste de teorias que contraste experiência com teoria está fora de ordem porque, basicamente, seria um retorno ao empirismo e aos seus problemas formais e práticos. Em vez disso, sabendo-se que uma negação dotada de significado da lógica clássica é impossível, por se tratar de uma contradição performativa e, estabelecendo-se a dedução como a heurística da praxiologia, então se segue que as deduções obtidas sem erro formal a partir do axioma praxeológico central auto verificado são igualmente válidas. O teste de teorias praxeológicas é, portanto, um teste interno.
Restam, ainda, questões que devem ser tratadas com diálogo direto entre os austríacos e seus críticos. Em primeiro lugar, sabe-se que os positivistas lógicos dividiam as proposições em sintéticas e analíticas, sendo que as sintéticas devem ser empiricamente verificáveis (ou confirmáveis) para que a informação científica seja acrescentada, e as analíticas, por se tratarem de supostas tautologias, nada que não esteja contido nas premissas podem acrescentar. A praxiologia nasce, também, como uma réplica, procurando retomar aspectos da filosofia kantiana para mostrar a possibilidade de juízos sintéticos a priori. Contudo, o positivismo lógico foi amplamente criticado internamente de outra forma. Os teoremas da incompletude de Gödel mostraram a impossibilidade de um conjunto finito de proposições, com base em axiomas definidos por convenção, se bastar para a obtenção de teoremas. Em contrapartida, deve-se mostrar como peculiaridades da praxiologia a protegem de crítica semelhante. A segunda questão é mais abrangente e lida com outro contraste entre a praxiologia e propostas empiristas. Se as formulações tão criticadas do indutivismo, do positivismo lógico e do falsificacionismo em filosofia da ciência são encontradas faltosas, teria a praxiologia um alcance tão abrangente como essas propostas empiristas rivais? Em outras palavras, embora essas formulações sejam amplamente insatisfatórias, pode a praxiologia prover elementos em filosofia da ciência tais como: critério de demarcação, teste de teorias, crescimento da ciência, comparação entre teorias rivais, etc? A resposta a esse questionamento deve, antes de tudo, contestar o alegado sucesso das propostas empiristas mencionadas, mesmo com problemas, em ter toda a abrangência afirmada. Depois, devem-se estabelecer os limites do enfoque da praxiologia. Ela tem, por exemplo, pouco a contribuir de forma sistemática para as ciências naturais. Por fim, cada um dos elementos em filosofia da ciência mencionados devem ser apontados, tanto na praxiologia quanto nas abordagens rivais, com vistas à comparação entre as diferentes contribuições.
Considerações finais
Este estudo apontou problemas comuns a três formulações de caráter mais geral na filosofia da ciência. O indutivismo, o positivismo lógico e o falsificacionismo, bem como a confiança dessas vertentes em um relacionamento conclusivo entre teoria e dados (que supõe uma separação estrita entre ambos), têm servido de fonte de argumentos metodológicos por diversos economistas que aderem às abordagens mainstream na Economia.
Ressaltou-se que o indutivismo se encontra envolto por problemas de ordem lógica e epistemológica. Ao defender a possibilidade de conhecimento justificado por indução, o indutivista precisa lidar com o problema da indução, que aponta a ausência de justificativa lógica para o salto indutivo. Além disso, o indutivismo confia em um acesso direto do sujeito ao objeto, sendo essa forma ingênua de empirismo uma abordagem epistemológica inadequada, dada a existência natural e também adquirida de “filtros” teóricos que processam a observação.
Isso também se aplica ao critério de verificação proposto pelo positivismo lógico. Os fatos não provam uma proposição porque são sempre acessados como fatos “filtrados” por considerações prévias. Além disso, confia-se em um salto não resolvido entre proposições e a experiência. Por isso, proposições não podem ser provadas ou verificadas. É curioso notar que uma proposição do tipo “todo homem é mortal” seria considerada sem sentido por um positivista lógico tradicional, uma vez que não é possível verificar essa proposição empiricamente em todos os homens do passado e do futuro (LAKATOS, 1999).
Karl Popper, com sua proposta falsificacionista, critica o empirismo ingênuo presente no indutivismo, mostrando a dependência que a observação tem da teoria. Sua proposta, todavia, ao evitar incorrer no mesmo problema apontado no indutivismo, permanece com questões não resolvidas. A primeira delas, já mencionada, é que a barreira entre a experiência e uma proposição factual não pode ser superada nos moldes empiristas. A segunda diz respeito ao emaranhado ad infinitum de teorias a serem testadas para que se realize o teste de uma outra teoria.
As propostas estudadas defendem critérios de demarcação para delimitar a boa prática científica com base em pressupostos empiristas. O indutivismo proíbe que a ciência englobe proposições que não foram extraídas diretamente da observação; o positivismo lógico reconhece o valor da dedução ao dividir as proposições dotadas de sentido como tautológicas, mas ainda se apoia em critérios empíricos ao demandar das proposições básicas e das não-tautológicas que elas sejam verificadas; o falsificacionismo popperiano, por fim, atribui cientificidade àquelas proposições testáveis e falsificáveis. A consideração de que uma proposição não pode ser verificada mas também não pode ser falsificada somente pela experiência põe sob questionamento essas três vertentes filosóficas, que influenciaram e influenciam o trabalho de diversos economistas.
O trabalho dos economistas austríacos com a praxiologia, com ênfase nos escritos de Ludwig von Mises, foi exposto em torno das questões do critério de demarcação, do teste de teorias e da relação entre teoria e dados. Os que utilizam essa metodologia demarcam a Economia como uma das ciências da ação humana, que são radicalmente dedutivas e partem do axioma inicial de que os seres humanos agem. Esse critério de demarcação, além de servir de heurística positiva (LAKATOS, 1970a; 1970b) para orientar desenvolvimentos teóricos na Economia praxeológica, também abre a possibilidade de uma historiografia do pensamento econômico que separe os desenvolvimentos teóricos praxeológicos (isto é, aqueles totalmente deduzidos do axioma central da ação humana) dos não-praxeológicos na obra de diversos economistas. Para um economista austríaco que use esse método, narrar a história do pensamento econômico seria narrar a história desses desenvolvimentos praxeológicos, uma vez que a praxiologia oferece esse critério de demarcação para a Economia.
O teste de uma teoria praxeológica é a maneira de criticá-la que um economista que utilize esse método aceitaria. Trata-se de identificar erros de dedução nas teorias. A agenda de investigação que se abre, nesse sentido, aponta para a importância considerável da especialização na obra de determinados autores a fim de que um exame mais detido desses escritos indique as inconsistências formais desses trabalhos. Isso é especialmente desejável no caso em que duas cadeias de dedução a partir de um axioma comum levam a conclusões excludentes entre si (PRYCHITKO, 1994). Nesse mesmo sentido, um procedimento que se pode sugerir é o da simbolização lógica dos principais tratados escritos pelos economistas austríacos orientados pela praxiologia.
Sobre a relação entre teoria e dados, os austríacos tentam alertar os demais economistas para as especificidades das ciências sociais. Sem adotar uma postura cética sobre a possibilidade de teorizar a economia, Mises mostra que a abordagem indutivista, positivista e falsificacionista na ciência falham para a Economia por causa da relação entre o sujeito e o objeto. O economista é parte da sociedade e da vida social que estuda. A ação humana é pautada por finalidade. Pode-se tentar interpretar as condições e os efeitos da ação humana. As conclusões obtidas sobre as formulações da filosofia da ciência aqui analisadas se contrapõem à concessão de Mises e de Hayek sobre a aplicabilidade dessas abordagens às ciências naturais. Se, por um lado, esses autores apontam que o objeto de estudo das ciências sociais é diferenciado e demanda métodos diferenciados, por outro, essas propostas empiristas na filosofia da ciência são suficientemente problemáticas para serem adotadas nas ciências naturais acriticamente.
Este estudo realiza um esforço de aproximar os economistas às discussões em filosofia da ciência para que a defasagem entre o debate em uma área e em outra seja diminuída. Por outro lado, o desenvolvimento ligeiramente autônomo da Metodologia da Economia pode periodicamente propor alternativas relativamente surpreendentes a diversas questões relevantes na filosofia da ciência. Pontuam-se pelo menos dois potenciais da praxiologia ao debate mais amplo. Primeiro, a ponte que Mises tenta construir entre a realidade e as categorias do raciocínio, rompendo com Kant mas mantendo uma abordagem apriorista ainda que pouco explorada filosoficamente (GORDON, 1994). Segundo, resta investigar formalmente se a auto validação do axioma central da ação humana imuniza a praxiologia das conclusões obtidas por Gödel sobre os sistemas dedutivos fechados.
A proposta da praxiologia, em resposta a problemas diversos na filosofia da ciência que tem inspirado a teorização econômica dominante por muito tempo, apresenta uma alternativa dentro da Economia com promessa de expansão por outras áreas das ciências sociais. É uma proposta que merece mais consideração por parte dos acadêmicos da área, não porque seja imune a considerações críticas de diversos tipos, mas sim por causa de sua inserção no debate metodológico que demanda atenção mais cuidadosa por parte dos economistas e, principalmente, por causa das novas questões que ela tem estimulado.
Referências
BLAUG, Mark. Metodologia da Economia: ou como os economistas explicam. 2. ed. São Paulo: Edusp, 1999. 385p.
CALDWELL, Bruce J. Beyond Positivism: economic methodology in the twentieth century. 2. ed. London: Routledge, 1994 [1982]. 279p.
CHALMERS, Alan F. O que é Ciência, Afinal? São Paulo: Brasiliense, 1993.
FEIJÓ, Ricardo. Economia e Filosofia na Escola Austríaca: Menger, Mises e Hayek. 1. ed. São Paulo: Nobel, 2000. 216p.
FREIRE, Lucas G. A praxeologia e a escola austríaca: uma análise introdutória, Revista Multiface, n. 1, p. 15-19, 2007.
GORDON, David. The philosophical contributions of Ludwig von Mises, The Review of Austrian Economics, v. 7, n. 1, p. 95-106, 1994.
HACKING, Ian. Positivism. In: HACKING, Ian. Representing and Intervening: introductory topics in the philosophy of natural science. 1. ed. Cambridge: Cambridge University Press, 1983.
HAYEK, Friedrich August von. Desemprego e Política Monetária. 1.ed. Rio de Janeiro: Instituto Liberal, 1985. 80p.
HOPPE, Hans-Hermann. On the ultimate justification of the ethics of private property. In: HOPPE, Hans-Hermann. The Economics and Ethics of Private Property: studies in political economy and philosophy. 1. ed. [s.l.]: Kluwer, 1993.
HUME, David. Investigação Sobre o Conhecimento Humano. São Paulo: Abril Cultural, 1996 [1777].
KANT, Immanuel. Kritik der Reinen Vernunft. 2. ed. Königsberg: [s.n.], 1787. Disponível em: Disponível em: http://gutenberg.spiegel.de/kant/krvb/krvb.htm. Acesso em: 4 dez 2006.
KELLER, Vicente; BASTOS, Cleverson L. Aprendendo Lógica. 13.ed. Petrópolis: Vozes, 2004. 179p.
KUHN, Thomas S. A Estrutura das Revoluções Científicas. 7. ed. São Paulo: Perspectiva, 2003. 257 p.
LAKATOS, Imre. Falsification and the methodology of scientific research programmes. In: LAKATOS, Imre; MUSGRAVE, Alan. Criticism and the Growth of Knowledge. 1. ed. Cambridge: Cambridge University Press , 1970a.
LAKATOS, Imre. History of science and its rational reconstructions. Boston Studies in the Philosophy of Science, n. 8, p. 91-136, 1970b.
LAKATOS, Imre. Lectures on scientific method. [1973]. In: LAKATOS, I.; FEYERABEND, P. K.; MOTTERLINI, M. (eds.) For and Against Method. 1. ed. Chicago: The University of Chicago Press, 1999.
MARCONDES, Danilo. Filosofia Analítica. 1.ed. Rio de Janeiro: Jorge Zahar, 2004. 68p.
MILL, John Stuart. A System of Logic. Londres: Longman, 1961.
MISES, Ludwig von. Epistemological Problems of Economics. 4.ed. Auburn: Ludwig von Mises Institute, 2002a. Disponível em: Disponível em: http://www.mises.org/epofe.asp. Acesso em: 4 dez 2006.
MISES, Ludwig von. The Ultimate Foundation of Economic Science: an essay on method. 2.ed. Indianapolis: Liberty Fund, 2006. 124 p.
POPPER, Karl R. A Lógica da Pesquisa Científica. 17. ed. São Paulo: Cultrix, 2004 [1972a]. 567p.
POPPER, Karl R. Conhecimento conjectural: minha solução para o problema da indução [1972c]. In: POPPER, Karl R. Conhecimento Objetivo: uma abordagem evolucionária. Belo Horizonte: Itatiaia, 1999 [1972b].
POPPER, Karl R. Ciência: conjecturas e refutações. In: POPPER, Karl R. Conjecturas e Refutações: pensamento científico. 1. ed. Brasília: UnB, 1994 [1963].
POPPER, Karl R. Duas faces do senso comum: argumento a favor do realismo de senso comum e contra a teoria de senso comum do conhecimento [1970]. In: POPPER, Karl R. Conhecimento Objetivo: uma abordagem evolucionária . Belo Horizonte: Itatiaia , 1999 [1972b].
PRYCHITKO, David L. Praxeology. In: BOETTKE, Peter J. The Elgar Companion to Austrian Economics. 1. ed. Aldershot (UK): Edward Elgar Publishing Company, 1994.
ROTHBARD, Murray Newton. O Essencial von Mises. 2.ed. Rio de Janeiro: Instituto Liberal , 1988. 54p.
ROTHBARD, Murray Newton. Praxeology: the methodology of Austrian economics. [1976] . In: ROTHBARD, Murray Newton. The Logic of Action One: method, money, and the Austrian school. Cheltenham: Edward Elgar, 1997.
SCHAEFFER, Francis. A Morte da Razão. São Paulo: Cultura Cristã, 2002. 111p.
SCHLICK, Moritz. Positivismo e Realismo. [1932]. In: MARICONDA, P. R. (org.) Coletânea de Textos / Moritz Schlick, Rudolf Carnap. 3.ed. São Paulo: Nova Cultural, 1988.
SELGIN, George A. Praxeology and understanding: an analysis of the controversy in Austrian economics. The Review of Austrian Economics, v.2, n.1, p.19-58, 1988.
WATKINS, John. Popper. In: NEWTON-SMITH, W. H. (ed.). A Companion to the Philosophy of Science. Oxford: Blackwell, 2000.
YATES, Steven. What Austrian scholars should know about Logic (and why). Quarterly Journal of Austrian Economics, v.8, n.3, p.39-57, fall 2005.
ZANOTTI, Gabriel J. Misesian praxeology and Christian philosophy. The Journal of Markets & Morality, v.1, n.1, p.60-66, spring 1998.
Notas
Autor notes
* Lucas G. Freire (PhD, Exeter) é pesquisador do Centro Mackenzie de Liberdade Econômica e vencedor do Michael Novak Award. E-mail: lucas.freire@mackenzie.br