Resumen: Este trabajo sobre la incidencia de la banca pública en el desarrollo microempresarial con énfasis en el cantón Portoviejo en Ecuador, tiene como objetivo analizar la contribución que ejerce la banca pública al desarrollo microempresarial, a partir de la concesión del crédito durante 2007- 2017. Parte de la premisa que, “el financiamiento del crédito es una herramienta que ayuda a las microempresas, no solo a su desarrollo, sino que contribuye al crecimiento económico del país”. Reconoce que, el racionamiento del crédito, obedece a factores como tasa de interés, plazo, garantías, entre otros. Para alcanzar el objetivo propuesto, se aplicó el método cuali- cuantitativo, lo que permitió fundamentar el objeto de análisis, definiendo otras realidades que inciden en el otorgamiento de créditos bancarios. Los datos son analizados estadísticamente con información primaria, que, expresados en la varianza, responden a la pregunta de investigación: ¿De qué forma, la banca pública incide en el desarrollo microempresarial del cantón Portoviejo?el periodo
Palabras clave: macroeconomía y economía monetaria, oferta monetaria, instituciones y servicios.
Abstract: This research paper analyzed the impact of public banking on micro-enterprise development with an emphasis on Portoviejo Canton in Ecuador, hence its objective is to analyze the contribution of public banking to micro-enterprise development, starting with the granting of credit during the period 2007-2017. Part of the premise that, “credit financing is a tool that helps micro-enterprises, not only their development, but contributes to the country’s economic growth.” It recognizes that credit rationing is due to factors such as interest rate, term, guarantees, among others. To achieve the proposed objective, the qualitative and quantitative method was applied, which allowed to substantiate the object of analysis, defining other realities that affect the granting of bank loans. The data are statistically analyzed with primary information, which, expressed in the variance, answer the research question: ¿How public banking affects the micro-enterprise development of the canton of Portoviejo?
Keywords: macroeconomics and monetary economics, money supply, financial institutions and services, banks, government and financing of the company, public policy and regulation.
Artículos
La banca pública y su aporte al desarrollo. Microempresarial del cantón Portoviejo
Recepción: 17 Abril 2020
Aprobación: 04 Junio 2020
A lo largo de la historia, muchos han sido los países que se han visto enfrentadas a problemas de crisis financiera, situación que muchos la atribuyen a un cierto grado de centralidad del crédito, en un escenario en el que ha prevalecido la acumulación de riquezas, propio del sistema capitalista, en el que juega papel importante la gestión de la banca privada. Las instituciones financieras, históricamente “encargadas” de canalizar los ahorros de un segmento de los agentes económicos, hacia otros, que, al no tener capacidad de ahorro, requiere financiar determinadas necesidades, sean estas de inversión o de consumo entre sectores productivos.
La banca pública, como institución crediticia, reviste connotaciones de relevancia para la economía de todo país, y de manera especial, para aquellos que atraviesan por situaciones de crisis financiera y económica. Significa, entonces, que a la banca pública le asiste la responsabilidad de plantear soluciones a problemas derivados de la paralización del crédito en el resto de la economía. Todo lo anterior ha abierto un debate que parecía clausurado: la importancia de una banca pública capaz de competir con la privada en determinados sectores de negocios, pero; sobre todo, de mantener el crédito hacia la economía privada que permita dinamizar el desarrollo cotidiano de su actividad.
Dadas las condiciones que anteceden, al recapitular sobre el proceso histórico de la banca como agente dinamizador de la economía, encontramos que, durante la década de los ochenta y noventa, la ofensiva neoliberal tomó importante posición en la mayor parte de los países del mundo, por lo que la banca pública allí donde existía, fue masivamente privatizada, situación que no excluyó a la realidad ecuatoriana. En este sentido, el circuito del crédito quedó en manos del sector privado, y, por tanto, al servicio de sus propios intereses y de procesos de desregulación financiera, dando paso a la especulación en los mercados financieros internacionales.
Significa, entonces, que la crisis financiera de varios países no solo puso en evidencia los excesos del sistema financiero, sino también las carencias de los poderes públicos para el control de este sector. En este sentido, las capacidades supervisoras propuestas por varios países fueron desbordadas por las dinámicas de innovación financiera que, desarrolladas por los bancos y otros agentes financieros privados, se presentaron como aspectos contrapuestos al proceso de reactivación, relegado a un segundo plano, el objetivo central de ayuda financiera, a la vez que se propiciaban prácticas especulativas, contrarias al proceso de desarrollo.
Ante este panorama, la presente investigación encuentra justificación, toda vez que surge la impostergable necesidad de recuperar la pertinencia de la banca pública, como medida coyuntural para hacer frente a problemas de crisis financiera, especialmente en empresas y familias, evitando que en el futuro se repitan situaciones de inequidades en el otorgamiento de créditos, a la vez que permita dar impulso al desarrollo microempresarial (motor de la economía) en economías especialmente emergentes.
Un acercamiento a lo manifestado constituye la experiencia de determinados países, al existir una fuerte presencia de banca pública, se ha evidenciado un importante desarrollo económico, así como estabilidad financiera en sus economías. En esta referencia, se pueden citar varios ejemplos, entre los que destacan los llamados BRIC (Brasil, Rusia, India y China), estos países también conocidos como potencias emergentes, han dado cuenta que, el 75% del sistema bancario indio es público, siendo en los otros países, el 69%, 45% y el 60% en China, Brasil y Rusia, respectivamente. En este sentido, las estadísticas internacionales han demostrado que, en los países donde ha existido mayoritaria presencia de la banca pública por sobre la privada, sus economías se han visto fortalecidas, tal es el caso, que para el período 2000 – 2010, el PIB en los países arriba citados creció en un 92,7% frente al crecimiento promedio mundial del 32% y el de las economías industrializadas del 15,5% (Rodríguez-León, 2019).
Este trabajo es pertinente, puesto que profundiza en aquellos aspectos poco tratados (Plataforma por la Nacionalización de las cajas de Ahorros, 2015), adquiriendo así relevancia y actualidad, al presentar evidencia empírica sobre temas que inciden en el desarrollo microempresarial, a partir de la influencia de la banca pública.
Para el desarrollo de este trabajo, se ha considerado en primer lugar, una revisión teórica de la literatura relevante, así como la aplicación de un modelo de ecuaciones estructuradas que toma en primer término aspectos de la varianza, contrastando empíricamente la relación entre el crédito otorgado por la banca pública en Portoviejo y el desarrollo microempresarial, para finalmente, analizar los resultados, en la que se consideran sus implicaciones teóricas y prácticas.
Dadas las condiciones que anteceden, este trabajo centra su análisis en la relación banca pública y desarrollo microempresarial en la ciudad de Portoviejo en Ecuador, por lo que plantea básicamente dos escenarios: el primero, considera el desarrollo microempresarial sin apoyo de la banca pública, y, el segundo, el desarrollo de este sector con apoyo de la banca pública.
En el primer escenario se incluye la identificación de las características del sistema financiero que, asociado a un sistema capitalista, denota escasez de fluidez en la circulación del dinero, con lo cual se vería afectada la producción de bienes y servicios. El segundo escenario revela la importancia de la ayuda financiera que proviene de la banca pública para el desarrollo microempresarial, particularmente en la ciudad de Portoviejo.
En estos escenarios, al considerar desarrollo como un aspecto multidimensional y multicausal, este es asumido como la evolución integral de mejoras sociales y económicas, por lo que el objetivo que subyace es el de conciliar la magnitud de bienes y servicios producidos, frente a las necesidades de la población.
Miró (2006) citado por (Tello-Cabello, 2019) en su publicación refiere que el desarrollo al ser asumido en su multidimensionalidad, es aplicable a todo tipo de sociedad, por lo que puede ajustarse a permanentes cambios y estados de movimiento, adquiriendo así la condición de multicausalidad; esto significa que posee la capacidad de promover y mantener la prosperidad o bienestar económico y social de los habitantes de un país.
Así también, Schumpeter (1963), citado por (Fernández-Sánchez, L. y Manjarrez-Fuentes, N., 2014) establece que, “son los mercados los que dan origen a la riqueza de un país y a su desarrollo”; tras este pensamiento, habría de comprender que este autor se refiere a la dicotomía existente entre economía al servicio de la sociedad y la afirmación de que esto es propio de las sociedades comunistas. Sobre la base de esta conjetura, al asociar el pensamiento de Schumpeter con las políticas del Banco Interamericano de Desarrollo (BID, 2020), se puede inferir que los agentes financieros (mercado financiero) de un país y sus actividades, son consecuencia del entorno macroeconómico del país. A los efectos de este se puede deducir que los mercados, al ser impulsadores del desarrollo, el mercado financiero también lo es, en tal virtud los agentes económicos podrían invertir de manera más frecuente con financiamiento que con recursos propios.
Según el (BID, 2017), el desarrollo empresarial depende del financiamiento que propende a mejorar infraestructuras deficientes, capital de trabajo y búsqueda de segmentos de mercado. Solo superando obstáculos como los bajos niveles de productividad laboral e hipertrofia de las empresas, se pueden promover el desarrollo; así sugiere alternativas como la innovación para impulsar el desarrollo económico y mejorar la productividad empresarial.
Sin embargo, el informe del (Banco Mundial, 2019), denota que la modesta recuperación de las economías en desarrollo sigue siendo limitada debido a las escasas inversiones, lo que empaña las perspectivas e impide avanzar en la consecución de objetivos de desarrollo cruciales. Los riesgos de deterioro de las perspectivas se mantuvieron en un nivel elevado, mientras los responsables de formular las políticas seguían enfrentando graves desafíos para aumentar la resiliencia y promover el crecimiento a largo plazo.
(Rodríguez-Ferrer, Y. y Páez-Peredes, M., 2016), consideran que el desarrollo económico es: “la condición de vida de una sociedad en la cual las necesidades auténticas de los grupos y/o individuos se satisfacen mediante la utilización racional, es decir sostenida, de los recursos y los sistemas naturales”. En este sentido, el desarrollo es un término amplio y profundo a su vez, que es responsabilidad directa de todos los ciudadanos representados por los poderes de un estado, que la sociedad misma les ha conferido, atendiendo a la legislación vigente y de manera organizada, por tanto, es un concepto que debiera ser objeto de análisis de la política económica del país.
La modesta recuperación de las economías en desarrollo sigue siendo limitada debido a las escasas inversiones, lo que empaña las perspectivas e impide avanzar en la consecución de objetivos de desarrollo cruciales. Los riesgos de deterioro de las perspectivas se mantuvieron en un nivel elevado, mientras los responsables de formular las políticas seguían enfrentando graves desafíos para aumentar la resiliencia y promover el crecimiento a largo plazo.
Una microempresa “precisa proveerse de fondos financieros propios o ajenos, a corto y a largo plazo. De la combinación de los mismos va a depender tanto su influencia en la rentabilidad de los recursos propios como en su estabilidad y viabilidad futuras” (Delfín-Pozo. F. y Acosta-Márquez, M., 2016). Es importante considerar que la sostenibilidad financiera de una microempresa precisa de la disponibilidad de recursos financieros en el momento cuando se los necesite, durante su actividad productiva, teniendo en cuenta que representen además, un costo ínfimo.
Kampel y Rojze (2004) citado por (Villar, L.; Briozzo, A., Pesce, G. y Fernández, A., 2016) acerca del papel que juegan las entidades financieras públicas, conocidas también como la banca pública, refieren:
Contrarrestar fallas de mercado y servir como instrumento de desarrollo. En cuanto a las fallas de mercado, consecuencia de las asimetrías de información, el problema se centra en el racionamiento crediticio y la segmentación de los mercados financieros, que afecta particularmente a las PYMES. Estas imperfecciones, que tienden a ser más pronunciadas cuanto menos diversificados y maduros sean dichos mercados, dan fundamento a la intervención gubernamental y al diseño de instituciones y regulaciones para minimizarlas. Un Gobierno puede involucrarse en forma directa en el proceso de intermediación, a través del establecimiento de instituciones financieras que cubran las brechas en la clase de créditos otorgados por la banca privada o cuando los retornos sociales de la actividad o grupo que se va a financiar son mucho más elevados que los rendimientos para las entidades financieras del sector privado. Los bancos públicos también pueden contribuir a la recuperación de la actividad económica, ya que pueden contrarrestar la aversión al riesgo que tiende a exhibir la banca privada en las fases recesivas del ciclo económico (pp. 212-213).
(Sammarco, T.; Bruscato, A. y Giovanetti, S. , 2014) en su trabajo denotan como la política tergiversada de los países menos adelantados o pobres y en vías de desarrollo utiliza la banca pública para sus propios fines, concluyendo que esta penosa situación hace que no contribuyan al desarrollo del sistema financiero e institucional. Así mismo (Villar, et al. 2016) establece que “los bancos de propiedad estatal apuntan a objetivos sociales y a asignar los recursos donde los mercados privados fallan. Sin embargo, los gestores públicos de los bancos estatales se esfuerzan poco o desvían recursos para beneficios personales” (p.41).
(Saavedra, M. L. y León, E. L. , 2014) en los resultados de su investigación demuestran “el rol fundamental de la banca pública como atenuante de las fallas de mercado crediticio y del financiamiento público como instrumento de desarrollo de regiones socioeconómicas más deprimidas”.
En el estudio de la (OCDE, 2016) se establece el hecho de poder “garantizar la eficiencia del sistema financiero es otro pilar fundamental del proceso encaminado al establecimiento de un entorno favorable para la financiación de la actividad económica”. Esto involucra, en contraposición a lo citado, que las políticas regulatorias que rigen a la actividad bancaria nacional pudieran restringir la competencia activa en el mercado financiero interno, cuando la accesibilidad al crédito en sus diversas presentaciones, también presenta limitaciones.
Así también, los estados promulgan políticas encaminadas a la responsabilidad social de las empresas como tal, dentro de las cuales se aplican legislaciones en defensa del interés público y respaldo del comportamiento responsable esperado de las empresas y el cumplimiento de sus obligaciones, reconocimiento y apoyo de su conducta empresarial cuando contribuyen al progreso económico, medioambiental y social del entorno nacional. Debiendo el estado además, dar ejemplo de un comportamiento empresarialmente responsable en el desempeño de su papel en la economía, cooperando interna y externamente, con partes interesadas y gobiernos extranjeros, a fin de garantizar la coherencia de las políticas en materia de comportamiento responsable de las empresas y de secundarlas (OCDE, 2016).
En esta línea, el (Banco Mundial, 2020) establece que:
Un buen acceso a financiamiento mejora el bienestar general de un país, ya que permite que la población prospere y maneje mejor sus necesidades, amplíe sus oportunidades y mejore sus niveles de vida. Cuando las personas son incluidas en el sistema financiero, es más fácil administrar el consumo, los pagos y el ahorro; tener mayor acceso a vivienda, atención de salud y educación; iniciar un pequeño negocio, y usar mecanismos de seguros frente a las crisis. El financiamiento también ayuda a tener condiciones equitativas, haciendo que la riqueza y las conexiones revistan menos importancia.
(García T., Galo H.; Villafuerte O. y Marcelo F. , 2015), en su publicación refieren a Carbó (2007) que expresa que “el sistema financiero constituye un pilar fundamental del crecimiento económico de cualquier país”, definición que es compartida por Pereira (2010), al considerar que la importancia de la actividad bancaria – financiera y la influencia del entorno, promueven el crecimiento.
En el Ecuador, el Sistema Financiero Nacional (SFN) está conformado por “instituciones financieras reguladas por la Superintendencia de Bancos y por la Superintendencia de Economía Popular y Solidaria” (BANECUADOR, 2018). Es mediante el sistema financiero nacional que las Mipymes (micro, pequeñas y medianas empresas), personas naturales y organizaciones sin fines de lucro (ONG´s) pueden acceder a los diversos mecanismos de financiamiento de las necesidades de inversión, contribuyendo de esta forma a promover la inversión y el desarrollo socio económico del país.
El desarrollo del sector productivo ha sido un pilar importante del crédito bancario ecuatoriano y la expansión que ha experimentado el crédito productivo en los últimos años ha aportado considerablemente al buen desempeño de la economía nacional. De esta manera, aproximadamente 70% de las colocaciones bancarias han sido destinadas al crédito productivo, dejando el monto restante a actividades de consumo (Asociación de bancos del Ecuador, 2015).
En el contexto ecuatoriano la (ASOBANCA, 2019) precisa que:
Avanzar hacia la normativa internacional implicará modificar la actual estructura de gobernanza monetaria y financiera, se requieren entes de supervisión y regulación técnicos y no políticos, que definan las directrices monetarias y financieras de manera transparente y brindando seguridad jurídica a todos los actores. Como en todos los países que se aplica normativa internacional, se debe permitir que grupos financieros estén conformados por actividades afines como intermediación, seguros y casas de valores, y además que se transite ordenadamente hacia requerimientos de solvencia y liquidez que sean comparables y estandarizados con la normativa financiera internacional (p.55).
(Casilda-Béjar, 2012) desde su experiencia como directivo bancario y profesor universitario, sostiene que los bancos tienen un propósito específico, se constituyen en intermediarios financieros en una economía de libre mercado compuesta por la oferta y demanda del recurso dinero, de tal forma que por una parte “tienen la capacidad de estimular y recibir el ahorro de una sociedad, y por otro, distribuirlo entre los agentes económicos que lo necesitan para llevar a cabo sus actividades de consumo e inversión”, lo cual es concordante con la óptica de Schumpeter referente a que la riqueza de los pueblos estaría dada por el dinamismo del mercado.
La (CEPAL, 2018), en su estudio económico para América Latina y el Caribe refleja que las políticas adoptadas por los Estados Unidos de retirar los estímulos monetarios provocaron “una elevación brusca de los niveles de volatilidad financiera” (p. 34), lo cual hace reflexionar en la importancia que adquiere la inyección de capitales en mercados económicos como el Ecuador, donde las formas de financiamiento o créditos se constituyen en el producto principal del sistema financiero. Así también se expresa en este estudio el aumento de la tasa de interés de política, lo cual conlleva un “encarecimiento de los flujos financieros disponibles para las economías emergentes… podrían observarse limitaciones al financiamiento disponible para los mercados emergentes, entre ellos los de América Latina, a raíz de la potencial fuga hacia inversiones de alta calidad.
(Padilla, 2018) al analizar la relación entre crecimiento económico y crédito bancario a través de la escuela austriaca “Teoría Austriaca del Ciclo Económico”, sostiene que, un aumento en el crédito sin el suficiente respaldo de ahorro, en el que además se dé un proceso de intervención estatal, a partir de la regulación en las tasas de interés, conlleva a un falso crecimiento económico, esto a la vez, ´provocaría un aumento artificial de la inversión, dando paso a la creación de dinero “artificial”, y con ello, a una distorsión de los precios relativos, así como a la sobreutilización de los activos hacia actividades no productivas y con mayor riesgo, para finalmente provocar una burbuja económica con efectos de recesión económica.
Por su parte, (Zelmanovitz, 2017), en su investigación sustenta que “la teoría Austríaca del ciclo económico está desactualizada en su descripción de cómo los efectos del fenómeno monetario son transmitidos al sector real y generan ciclos de negocio”, de lo cual se deduce una respuesta de las autoridades monetarias a nivel mundial relacionada con la banca nacional compitiendo en un mercado libre donde la inversión de la banca extranjera puede operar según los acuerdos monetarios internacionales-
(Pampillón, 2016), en su publicación basada en la investigación de (Pelejero, 2011) refiere que “La mayoría de las actividades de los bancos están relacionadas con la distribución eficiente de los recursos financieros, función esencial para el desarrollo económico. Los bancos son agentes fundamentales en la financiación del capital y, por tanto, favorecen el desarrollo económico”; todo esto, siempre que se considere que existe una estrecha relación entre el crédito bancario y el Producto Interno Bruto per cápita. Bajo este supuesto, los mercados financieros “tienen mayor incidencia en países en vías de desarrollo y, especialmente en el Ecuador, según el informe del Banco Interamericano de Desarrollo (2004), donde no existen fuentes de financiamiento alternativas como bonos, emisión de acciones, entre otros” (Fernández, 2019).
(Schachter, 2016) sostiene que, para promover el desarrollo de la banca pública en el contexto latinoamericano, es necesario reflexionar sobre la presunta extinción de la “Teoría del Desarrollo”, en la que, las nuevas teorías del crecimiento económico tomaron mayor relevancia al reconsiderar algunos supuestos claves de las teorías neoclásicas, siendo una de las principales novedades, la incorporación de la variable “progreso técnico” dentro de la función de producción, adjudicándole un impacto en el crecimiento del producto, con lo cual, se presenta un quiebre con respecto a los modelos neoclásicos, que trabajan el progreso técnico como variable exógena. Sobre el aporte de Schachter es posible distinguir dos visiones diferenciadas sobre el rol de la banca pública; la primera que defiende las políticas de “liberalización financiera”, y con ella, una intervención mínima del Estado, basada en el principio de “mercados financieros”. Por otra parte, la segunda visión de corte keynesiano, justifica la intervención estatal en el sistema financiero, en la que incluye la actuación de los bancos de desarrollo. En esta segunda visión, resalta el carácter “incompleto” de los mercados financieros, toda vez que aquí se resaltan sus falencias para impulsar los procesos de desarrollo económico con expectativas de “rentabilidad social”.
(Mantilla, M. y Pesantez, D., 2016), en su trabajo revelan que “el nivel de recursos que otorga el Estado a los sectores económicos del país es escaso debido a la crisis económica actual… La banca pública ha sido un motor para los sectores estratégicos y también para el comercio”. Bajo esta consideración, es el estado responsable por la reorganización de los programas de crédito a nivel nacional, priorizando aquellos sectores que directamente promueven el crecimiento y desarrollo socio económico, promoviendo consecuentemente la generación de fuentes de empleo y nuevas oportunidades de trabajo.
Frente a este pronunciamiento, la realidad ecuatoriana y particularmente de Portoviejo en términos de desarrollo microempresarial, es que, la banca pública ha estado orientada a financiar el desarrollo desde dos vertientes, una como mera institución financiera con una postura pasiva, en la que responde a la demanda del crédito generada espontáneamente por inversiones que ya se encuentran en curso y no pueden ser asumidas por el resto del sistema financiero, lo cual pone en evidencia las fallas del mercado. Por otra parte, otra forma de actuación de la banca pública, ha sido la intervención activa en el proceso de desarrollo; esto es, anticiparse a la demanda, identificando las necesidades por sectores, lo cual reviste la implementación de tareas de investigación, apoyo técnico y capacitación.
Este trabajo, comparte la idea citada por (Solórzano, 2018) “el crédito no es la única política que contribuye a la reducción de la pobreza”; sin embargo, se coincide en que constituye un mecanismo que permite superar algunas limitaciones económicas y de calidad de vida de las personas, por lo que, la dinamización del crédito hacia la compra de insumos para la producción, más allá de garantizar niveles de consumo frente a problemas de volatilidad de los ingresos, ayuda a la conformación de grupos solidarios y redes que coadyuvan a la conformación del capital social, fortaleciendo de esta manera, el historial crediticio y financiero del grupo social que realiza esta práctica.
Por las consideraciones anteriores, este trabajo plantea la siguiente hipótesis de trabajo “El desarrollo y dinamismo del sector microempresarial dependerá en gran medida del apoyo financiero vía crédito que otorgue la banca pública”.
El objetivo de esta investigación se centra en analizar la contribución de la banca pública al desarrollo microempresarial, con énfasis en la ciudad de Portoviejo. Para lograr el objetivo propuesto, así como para validar o rechazar la hipótesis de trabajo, este trabajo plantea:
El presente trabajo consideró, en primer término, la revisión teórica de la literatura relevante, así como la aplicación de un modelo de ecuaciones estructuradas que contrasta empíricamente la relación entre el crédito otorgado por la banca pública en Portoviejo y el desarrollo microempresarial, estos resultados al ser comparados con evidencias teóricas, permite presentar un informe, aunque no acabado, constituye una postura para futuros análisis.
Según Hernández, Fernández y Baptista (2010), “La investigación es un conjunto de procesos sistemáticos, críticos y empíricos que se aplican al estudio de un fenómeno”, por lo que existen varios tipos de metodología de investigación, entre ellos: exploratorios, correlacionales, descriptivos, explicativos. En este sentido, la presente investigación aplicó la metodología descriptiva y correlacional. A partir de esta selección metodológica, Hernández, Fernández y Baptista (2010) han sostenido que, al aplicar un proceso descriptivo, se estarían especificando las propiedades, características y perfiles de personas, grupos, comunidades, procesos, objetos o cualquier otro fenómeno que se someta a un análisis. Significa entonces, que al escoger este método se pretende medir o recopilar información de forma independiente o conjunta sobre las categorías, conceptos o variables de nuestro objeto de estudio. En esta misma línea y dirección, los autores arriba citados, han sostenido que, al aplicar estudios correlacionales, estos apuntan a “responder a preguntas de investigación”, es decir, su finalidad es la de llegar a conocer la relación entre dos o más variables en un contexto particular.
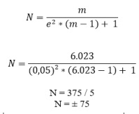
Por todo lo anterior, este trabajo aplicó la siguiente fórmula, para identificar la muestra que sirvió de análisis del estudio que aquí se presenta.

Este trabajo generó 75 entrevistas, considerando que, por cada microempresa visitada hay un promedio de 5 personas, es por este motivo que se aplicó la reducción de 375 informantes inicialmente considerados.
Donde:
N = muestra
e = error admisible
m = población
Para confirmar o rechazar la hipótesis planteada, constituye variable independiente “la banca pública”, y como variable dependiente el “desarrollo microempresarial”, a la que asisten otros indicadores como son la tasa de interés, el sistema de garantías, costo de transacción, entorno macroeconómico, entre otros.
De conformidad con la información proporcionada, estas se presentan en series de tiempo para el período 2007 – 2017, mismas que se ajustan a las características de la Administración Política en Ecuador, permitiendo la aplicación de estadística básica, acompañada de herramientas tales como Excel y E- Views para la elaboración de gráficos.
De la información obtenida, se conoció que el desarrollo y fortalecimiento del sector microempresarial depende en gran medida del sector financiero, destacando en este último, el otorgamiento de créditos que la banca pública ponga a disposición de la microempresa, con lo cual las políticas y estrategias que tributan al desarrollo local y nacional se verían fortalecidas. Esto significa que al dinamizar la microempresa se estarían impulsando un conjunto de encadenamientos productivos, cuyos resultados se verían plasmados en una mayor oferta laboral producto del incremento en la producción y con ello, la inserción de este sector en nuevos mercados nacionales e internacionales.
No obstante, del dinamismo que logre el sector microempresarial por lo arriba indicado, habrá de considerar que la supervivencia de las microempresas en Ecuador y particularmente en Portoviejo, se ve enfrentada a niveles de competencia abismales frente al desarrollo de la gran industria, así como del producto importado que participa en los mercados, por lo que, una alternativa a esta problemática, será ofrecer productos con mayor calidad, a la que deberá agregársele otro factor como es la capacidad de negociación que las microempresas tengan en el mercado interno y externo.
Frente a la realidad ecuatoriana, el sector microempresarial, durante el período 2018-2019 evidenció un leve crecimiento, especialmente en las provincias de Pichincha y Guayas, no así en Manabí y particularmente en Portoviejo; sin embargo, autoridades y funcionarios de la Cámara de la Pequeña y Mediana Empresa de Pichincha (Carpeipi), han pronosticado que frente a las actuales situaciones económicas del país, este sector a nivel nacional presentará un crecimiento sostenido en ventas y en producción en distintos sectores, especialmente, en alimentos y metalmecánica, afirmación que se sustenta al considerar que frente a los problemas económicos que enfrenta el país, son más los microempresarios que obtienen personería jurídica, a la que se suma un hecho favorable como es la sustitución de importaciones.
Según datos de la fuente arriba indicada, se conoció que durante el período 2013 – 2017, se consultaron a nivel nacional a 1.367 empresas pequeñas y medianas, cuyos resultados pusieron en evidencia, que aproximadamente el 30% de este sector logró elevar su producción, mientras que, un 45% mantuvo los niveles del año 2012. Entre las fortalezas que presentó este sector, está la capacidad de adaptarse a escenarios adversos, mientras que los desafíos estuvieron dados por la dificultad de acceder al crédito, a las tecnologías y a la falta de planificación para insertarse en los mercados externos.
En este mismo orden y dirección, la Novena Encuesta de Coyuntura de la Pequeña y Mediana Industria del Ecuador, presentada por el Observatorio de la Pequeña y Mediana Empresa de la Universidad Andina Simón Bolívar (UASB), hace conocer que las pymes que participan en mercados internacionales son las que, por lo general, se dedican a la elaboración de alimentos, vestido, calzado y construcciones metalmecánico, de allí, que la Federación Ecuatoriana de Exportadores (Fedexpor) ha señalado que en el período 2004-2012, las mipymes exportadoras crecieron, pasando de 676 a casi 2.000 demostrando así su aporte significativo a la economía nacional.
En este mismo orden y dirección, el Instituto Ecuatoriano de Estadística y Censos (INEC), ha sostenido que, tres de cada cuatro empleos son generados por pequeñas y medianas empresas; esto significa que, a escala nacional, aproximadamente el 75% de las plazas laborales las genera el sector de la microempresa; realidad que, no es del todo diferente para el caso del cantón Portoviejo, en la que, como se mencionara en líneas anteriores, este cantón es eminentemente agrícola, pecuario, y artesanal, por lo que su producción, mayoritariamente es ofertada en estado natural o semielaborada, contribuyendo de esta manera con el fortalecimiento de cadenas productivas y con ello a una mayor participación del sector microempresarial.
No obstante, de la importancia de las pymes en la economía ecuatoriana, existen otros desafíos que se suman a los ya indicados anteriormente, esto es la deficiente articulación en la cadena de valor de los negocios, la excesiva intermediación y la poca participación en negocios inclusivos con empresas ancla, por todo esto, es necesario diseñar estrategias para que pequeños y medianos empresarios puedan acceder a capacitaciones continuas, acompañamiento y acceso al crédito financiero, además del fortalecimiento en la relación Ministerio de Industrias (Mipro) y las pequeñas y medianas empresas (Pymes), a la que deberán sumarse otros organismos como el Ministerio del Trabajo, ProEcuador, o el Ministerio de Inclusión Económica y Social (MIES), logrando así una mayor interacción con empresas e instituciones de mayor tamaño.
Tabla 1. Características principales de la microempresa

De conformidad con los datos que se expresan en la tabla N° 1, se confirma la hipótesis, toda vez que la estructura de las PYMES y su volatilidad en el mercado no le han permitido consolidar un historial crediticio que asegure a las entidades financieras la recuperación del crédito bajo parámetros de certeza. Dadas estas características, la microempresa no ha podido implementar suficientes estrategias que aseguren su inserción en el mercado internacional, por lo que denota limitado apoyo financiero y escasez de recursos para capacitación y acceso a la tecnología.
Otro aspecto a considerar, es que al no existir un marco regulatorio que se corresponda con las reales necesidades del sector microempresarial, los productos que este sector genera están orientados en su gran mayoría al consumo interno, con características poco competitivas que derivan del uso de una mano de obra poco calificada. (Montoya. 2011, p. 227).
Tabla 2. Estructura de las empresas según su tamaño en Ecuador

De la información contenida en la tabla N° 2, se establece que, de un total de 842.770 empresas a nivel nacional, la microempresa representa el 90,86%, seguido de la pequeña empresa; esto ratifica lo enunciado en líneas anteriores, que son estos emprendimientos, los que aportan de manera significativa a la economía nacional; sin embargo, dado su tamaño y el número de personas que laboran en ella, dificulta su acceso al crédito.
Tabla 3. Empresas según su tamaño en el cantón Portoviejo

Los datos expresados en la tabla N° 3 indican que las microempresas constituyen el grupo más numeroso, seguido de la pequeña empresa. Sin embargo, llama la atención que Portoviejo siendo una ciudad eminentemente comercial, no cuenta con empresas grandes, esta situación puede encontrar explicación en función del número de habitantes que posee el cantón, lo cual no resulta atractivo al empresario.
Otro aspecto a destacar, es que las microempresas generalmente no son permanentes, toda vez que abren y cierran constantemente su actividad comercial dado su alto componente de informalidad. No obstante, de su contribución significativa a la economía local y nacional, las microempresas no han logrado consolidarse a nivel competitivo de tal forma que puedan posicionarse en el mercado global, por lo que no siempre son consideradas proveedoras de grandes empresas (Tan, López- Acevedo y otros, 2007 y Gómez, 2006).
Tabla 4. La microempresa por actividad económica

La información contenida en la tabla N° 4 revela la importancia de ciertos sectores productivos, que para el caso de Portoviejo, la agricultura, ganadería, silvicultura y pesca, ocupa el primer renglón productivo a nivel de microempresa, seguido de la manufactura con el 27,41%. Esto tiene su razón de ser toda vez que Portoviejo se caracteriza por ser un cantón agropecuario y manufacturero, pero carente de empresas grandes, por lo que su producción es semiprocesada o vendida en estado natural.
Tabla 5. Microempresas por tamaño y número de empleados

Al analizar la relación número de empleados/microempresas, se puede observar que la mayoría de microempresas tienen entre 1 y 4 empleados, situación que presenta varias lecturas: por una parte, se puede suponer que la actividad que realizan estas microempresas no denotan gran volumen de demanda; otro aspecto pudiera ser que el producto que se genera no representa mayor valor agregado y, por tanto, no justifica el incremento de personal y, finalmente, que el reducido número de empleados pudiera significar un obstáculo al momento de acceder a un crédito.
BanEcuador, también conocido como el banco del pueblo, constituye uno de los principales referentes entre las instituciones financieras de apoyo al sector microempresarial; en este sentido, oferta créditos que van desde USD 50 hasta USD 150.000 con tasas de interés reajustables que fluctúan entre el 9,8% hasta el 15,30%, siendo su política de recuperación de cartera ajustables al flujo de caja del proyecto (mensual, bimensual, trimestral, semestral, anual o al vencimiento). En cuanto a los plazos, estos varían, siendo para activo fijo hasta 15 años, mientras que para capital de trabajo hasta tres años. Cuando el crédito es canalizado hacia activo fijo, puede el deudor acogerse a un período de gracia de hasta cinco años, no así para capital de trabajo, en la que es de un año.
Entre los productos que oferta BanEcuador constan: Cuentas de ahorro, depósito a plazo fijo, cuenta corriente, ahorro programado, Bantransporte, Para emprendimientos, Impulso cultura, Fortalecer, Impulso joven, Artesanos, Turismo, Ahorro multiplicado, Agropecuario, Agroplus, Mujer emprendedora, Pymes, Microempresas, de consumo, Palma, Bananero, Personas con discapacidad, Migrantes, Desarrollo humano 1-2-3.
Dentro del período de análisis desarrollado en este trabajo, destaca la presencia de un fenómeno natural (terremoto en Manabí) que modificó los principales indicadores de actividad financiera, por lo que los cantones Portoviejo, Manta y Pedernales fueron los que presentaron mayores reducciones en la actividad crediticia, disminuyendo en aproximadamente 7,7%. A este fenómeno habría de agregársele otros aspectos como fue la recesión económica que soportaba la economía ecuatoriana desde el año 2015, por lo que, los niveles de riesgo del mercado se vieron incrementados hasta finales del 2016.
Tanto el número de operaciones de crédito, así como el nivel de riesgo en la provincia de Manabí, evidenciaron una leve recuperación para el segundo semestre de 2017, situación que se vio reflejada en la calidad de vida de los habitantes, aunque se reconoce que aún queda mucho por hacer.
En este proceso de recuperación económica han sido varios los funcionarios que han coincidido en opinar que la cartera de créditos de las instituciones financieras ha mostrado un ligero crecimiento, lo cual pone en evidencia, no solo el endeudamiento, sino la creación de puestos laborales y con ello una mayor participación de la microempresa en el desarrollo económico-social.
De aquí, se obtuvieron los siguientes resultados:
La banca pública y el desarrollo microempresarial por productos ofertados
Opinión microempresarial

Para el caso ecuatoriano, el sistema financiero está compuesto por la presencia de dos sistemas; el formal y el informal. En el primero, se encuentran un conjunto de instituciones financieras tanto públicas como privadas, siendo estas reguladas y supervisadas por una institución gubernamental (Superintendencia de Bancos y Seguros). En el segundo grupo, está el sistema financiero informal, que actúa bajo la figura de sociedades anónimas y por tanto no existe mayor rigurosidad para su control.
El sistema financiero, al ser un sector estratégico en la economía de todo país, en Ecuador es regulado y supervisado por la Superintendencia de Bancos y Seguros, de allí que este es definido como el conjunto de entidades que tiene por objetivo canalizar el ahorro de los agentes económicos hacia el desarrollo de las actividades económicas. De esta manera, la eficiencia con que actúe este sector puede contribuir a incrementar el crecimiento económico y el bienestar de la población o, en su defecto, a estancar la economía.
Según Mishkin (2008), al referirse a los intermediarios financieros, sostiene que estos “desarrollan un papel fundamental en la economía, debido a que bridan servicios de liquidez, promueven el comportamiento de riesgos y resuelven los problemas de información”, agrega este autor, que tanto los intermediarios financieros como los ahorradores y pequeños prestatarios, resultan favorecidos en este proceso, haciendo que los intermediarios canalicen sus fondos hacia los prestamistas, y estos a su vez hacia las personas que tienen oportunidades de inversión productivas.
Este trabajo sostiene que, el sector financiero privado al ser el intermediario más conocido del sistema financiero, ofrece sus servicios directos a partir de la captación de los recursos de los agentes económicos, ofertándolo vía préstamo a otros agentes económicos; por lo que no solo genera beneficios para el ahorrador y el sistema económico en general, sino que también genera beneficios económicos a los dueños del negocio (la banca privada).
Según datos proporcionados por la Superintendencia de Bancos y Seguros (2017), se conoce que el rubro crédito comercial es el de mayor relevancia en el sistema financiero privado, pasando de 6,92 millones de dólares en 2007, a 18,92 millones de dólares en 2017; a este rubro le sigue en importancia los créditos de consumo, con una evolución de 0,76 millones de dólares en 2007, para situarse en 2,53 millones en 2017; el microcrédito ocupa el tercer lugar, pasando de 0,53 millones de dólares en 2007, para ubicarse en 1,3 millones de dólares en 2017; finalmente, el crédito orientado a vivienda, ha demostrado poca evolución, con un promedio intertemporales de 0,35 millones de dólares en el período antes señalado.
Como puede observarse, la incidencia del crédito para el sector microempresarial, es poco significativo si lo relacionamos con el comercial y el de consumo, de allí que, pese a la importancia de este sector, el apoyo recibido no es suficiente para impulsar su dinamismo, lo cual nos hace pensar que, aspectos de inequidad, desigualdad y pobreza están presentes en una sociedad, donde no todos tienen la oportunidad de ser parte de la gran empresa.
Entre las entidades públicas, destaca la presencia del Banco del Estado, institución financiera que orienta sus actividades a financiar los servicios públicos, proyectos de inversión e infraestructura a través de préstamos a gobiernos seccionales. En este propósito, es objetivo del Banco del Estado financiar programas, proyectos, obras y servicios del sector público, ser depositario de los fondos públicos y prestar servicios bancarios y financieros destinados a favorecer el desarrollo económico del país.
De conformidad con los datos publicados por el Banco del Estado, se ha podido conocer que a nivel nacional esta institución desembolsó en 2010 USD 381.488.397,31 para el segmento productivo de los servicios públicos; sin embargo, para el 2011, este monto disminuyó en aproximadamente 12.72%. El Banco del Estado para el período de análisis, no registra créditos otorgados a los segmentos de consumo, vivienda y microcrédito, a lo que habría de sumársele el decrecimiento de la cartera de crédito productivo, en el 2013 – 2014, por lo que, sus colocaciones fueron de USD 25.513.488,85 en promedio; para el 2015 esta institución otorgó USD 27.90 millones, con lo cual se vio incrementado la cartera de crédito productivo en 17%.
Como se manifestara en líneas anteriores, un indicador que estimula o frena el crédito, es la tasa de interés, por lo que, durante el período 2007-2017, las variaciones de este indicador fueron en promedio hacia la baja, lo cual hizo que, especialmente en el segmento consumo estas instituciones sean menos restrictivas, por lo que, estaban dispuestas a prestar un monto mayor de la cartera concedida, situación que no ocurrió, y más por el contrario, lo que se puso en evidencia fue que, para inicios del primer trimestre de 2011 las colocaciones fuesen de -15%. Para el 2013, pese a mantenerse el estímulo al crédito, el segmento que evidenció un incremento fue el de vivienda con el 2%, mientras que el de consumo reflejó -10%. Ya para el 2015, los microcréditos alcanzaron un leve repunte con un 2% superior a los años anteriores, no así, el segmento de consumo que seguía presentando una evolución negativa de -3%. Durante los años 2016 y 2017, el sector microempresarial se vio estimulado con la reducción de la tasa de interés y la conformación de unidades productivas, alcanzando un crecimiento en la oferta de crédito de hasta 4% con respecto a los períodos anteriores.
En cuanto al plazo del crédito, este constituye otro indicador de estímulo al endeudamiento, por lo que coincidente con el terremoto que azotara a Manabí en el 2016, los plazos y condonaciones de deuda motivaron al sector microempresarial a iniciar nuevos emprendimientos con apoyo de la banca pública, así, el microcrédito obtuvo un crecimiento del 30%, con lo cual se buscaba reactivar el aparato productivo luego del desastre natural.
Hechas las observaciones anteriores, si bien la demanda del crédito puede ser considerado un termómetro que mide el nivel de desarrollo, bienestar o dinamismo del ciclo económico, también puede ser síntoma de problemas económicos. Significa entonces que, a una mayor demanda nominal de crédito podría estarse reflejando un estado de reactivación y auge económico, pero también podría ser la base de posibles efectos inflacionarios, en cuyo caso los resultados serían nocivos al sistema económico.
Frente a esta evolución del sector financiero y particularmente de la banca pública para el desarrollo microempresarial, se han puesto en práctica diversas acciones que buscan apoyar el sector microempresarial, una de ellas es la promulgación de la Ley de Economía Popular y Solidaria, siendo su principal objetivo el desarrollo social y por tanto centrado en el ser humano.
De lo arriba indicado, los principios de la Economía Popular y Solidaria son establecidos en la ley, entre los que destacan: a) La búsqueda del Buen Vivir y el bienestar común; b) La prelación del trabajo sobre el capital y de los intereses colectivos sobre los individuales; c) El comercio justo y el comercio ético y responsable; d) La equidad de género; e) El respeto a la identidad cultural; f) La autogestión; g) La responsabilidad social y ambiental; h) La solidaridad y rendición de cuentas; i) La distribución equitativa y solidaria de los excedentes.
Es evidente, entonces, que la Economía Popular y Solidaria denota su importancia cuando observamos que aproximadamente el 50% del empleo nacional es generado por microempresas, de las cuales el 46% es propiedad de mujeres, que generan alrededor del 25,7% del PIB. Por lo ya citado, la División de Comercio Internacional e Integración de la CEPAL, junto con ProEcuador, han implementado estrategias para internacionalizar a las pequeñas y medianas empresas (PYMES). Esta estrategia busca incorporar políticas públicas para el fortalecimiento del sector microempresarial.
El proyecto al que se hace alusión en el párrafo anterior, se encuentra dividido en tres secciones: primero, la medición del proceso de internacionalización de las Pymes; en esta etapa, se busca identificar los aspectos relevantes de las estadísticas nacionales para caracterizar a las pymes exportadoras, definiendo para ello, la metodología de trabajo respecto del tamaño de las empresas y la aplicación de las políticas públicas que se adecuen a dichas características; la segunda sección se refiere a la inserción de indicadores que den cuenta del proceso innovador para la obtención de un producto mejorado, con lo cual, se estaría contribuyendo al fortalecimiento de la comercialización. Finalmente, la tercera sección hace referencia a los canales de financiamiento en un sentido amplio pero limitado a sus objetivos, en la que pudieran participar no solo la banca pública, sino también la privada.
Existen evidencias empíricas que en la contemporaneidad justifican la presencia del sistema bancario público con el propósito de promover un crecimiento económico más estable desde las microempresas; en este sentido, el sector financiero al ofertar servicios que son esenciales para el fortalecimiento de la economía, debe promover el estímulo a la microempresa para el fortalecimiento del PIB nacional y la generación de empleo productivo. Por lo cual, es necesario evaluar las experiencias de Economía Popular y Solidaria desarrolladas en otros países para extraer de ellas los mecanismos más idóneos que tributen al fortalecimiento del marco normativo, a fin de afianzar la presencia de la microempresa en el territorio nacional ecuatoriano. Por lo expuesto, es necesario indagar sobre las bondades de los convenios de cooperación horizontal que permitan crear emprendimientos sobre la potencialidad endógena de Ecuador, revisando para ello el marco legal ecuatoriano que impulse la puesta en marcha de nuevos y mejores convenios de carácter multilateral para la inserción de microempresarios en la economía global. En este propósito, se deberán construir propuestas para la implementación de políticas de generación de empleo productivo desde la microempresa, diseñando para ello estrategias que incorporen ejes focalizados en sectores productivos tales como la agricultura, manufactura, construcción, turismo y servicios, proveyendo para ello la accesibilidad a los avances tecnológicos del mundo globalizado, con la participación de las universidades, en pro de un desarrollo local.






