Artículos de Investigación
Descuento temporal de recompensas y demoras reales e hipotéticas mediante un videojuego
Delay discounting of hypothetical and real delays and rewards through a video game
Descuento temporal de recompensas y demoras reales e hipotéticas mediante un videojuego
Revista Mexicana de Análisis de la Conducta, vol. 45, núm. 1, pp. 66-89, 2019
Sociedad Mexicana de Análisis de la Conducta
Recepción: 16 Enero 2019
Aprobación: 19 Junio 2019
Financiamiento
Fuente: UNAM-PAPIIT
Nº de contrato: IN304418
Beneficiario: Silvia Morales Chainé
Resumen: Hallazgos mixtos en descuento temporal son la diferencia o similitud del grado de descuento entre recompensas hipotéticas y reales. Una forma de exponer al participante a elecciones con recompensas y demoras reales es mediante videojuegos. Se examinó el efecto de presentar tareas de descuento temporal con recompensas y demoras hipotéticas (tarea tradicional) y reales (videojuego) con 19 adolescentes. Diseño intra sujeto, donde el orden de presentación de las tareas fue aleatorio. Para ambas tareas se utilizó el procedimiento de ajuste de la cantidad con cuatro ensayos (cantidad estándar = 16). A diferencia de la tarea tradicional, en el videojuego se presentaron contingentemente las demoras y número de recompensas elegidas en cada ensayo. Los resultados muestran un mayor ajuste al modelo hiperboloide con el videojuego. El ANOVA de medidas repetidas bayesiano confirma el efecto del tipo de tarea. No hubo efecto entre la interacción del tipo de recompensa y orden de presentación. Los hallazgos sugieren que manteniendo constante los valores de demoras, cantidad estándar y número de ensayos, se aprecian diferencias en el patrón y grado de descuento temporal entre recompensas y demoras reales vs. hipotéticas, así como apoyo a la fiabilidad del videojuego para evaluar descuento temporal (R. > 0.90).
Palabras clave: descuento temporal, recompensas hipotéticas, recompensas reales, videojuego, adolescentes.
Abstract: Mixed results in delay discounting are the differences or similarities of the discounting degree between hypothetical and real rewards. One way to expose the participant to choices with real rewards and delays is through video games. The effect of presenting delay discounting tasks with hypothetical (traditional task) and real (video game) rewards and delays with 19 adolescents were examined. Within-subject design, with a randomized order of presentation of the tasks. For both tasks, the adjustment amount procedure was used with four trials (standard amount = 16). Unlike the traditional task, in the video game, the delays and number of rewards chosen were presented contingently in each trial. The results show a higher fit to the hyperboloid model with the video game. The Bayesian repeated measures ANOVA confirms the effect of the type of task. There was no effect between the interaction of the type of reward and the order of presentation. Maintaining constant values of delays, standard quantity and number of trials, the findings suggest that there were differences in choice pattern and degree of delay discounting between hypothetical and real rewards and delays. Furthermore, there was support for the reliability of the video game to evaluate delay discounting (R. > 0.90).
Keywords: delay discounting, hypothetical rewards, real rewards, video game, adolescents.
Introducción
En el Análisis de la Conducta, se ha definido a la elección impulsiva como un patrón de preferencia por recompensas pequeñas e inmediatas en lugar de recompensas grandes demoradas, mientras que el autocontrol se ha denominado la preferencia por recompensas grandes demoradas en lugar de recompensas pequeñas inmediatas (Ainslie, 1974; Rachlin, & Green, 1972). La preferencia por recompensas pequeñas e inmediatas en lugar de recompensas grandes demoradas puede ser resultado del descuento temporal, en el cual asume que el valor subjetivo de una recompensa disminuye conforme aumentan las demoras para recibirla (Odum, 2011; Rachlin, Raineri, & Cross, 1991).
La evidencia general sugiere que el descuento temporal se relaciona al desarrollo de diferentes problemas en la salud (Bickel, Jarmolowicz, Mueller, Koffarnus, & Gatchalian, 2012; Madden & Bickel, 2010). Se ha observado mayor descuento de recompensas demoradas por personas que consumen cocaína (e.g., Heil, Johnson, Higgings, & Bickel, 2006), heroína (e.g., Kirby, Petry, & Bickel, 1999; Odum, Madden, Badger, & Bickel, 2000), alcohol (e.g., Petry, 2001), así como en individuos que padecen obesidad (e.g., Hendrickson & Rasmussen, 2013).
En aras de comprender y describir matemáticamente el grado en que una recompensa pierde su valor en función del aumento en las demoras para recibirla, Green, Fry y Myerson (1994) y Myerson y Green (1995) propusieron el modelo hiperboloidedonde . representa el valor subjetivo de una recompensa, . se refiere la magnitud de la recompensa, . son las diferentes demoras, . es un parámetro libre utilizado como variable dependiente que expresa la tasa de descuento y s, es un segundo parámetro libre que expresa la sensibilidad a las diferencias entre demoras y la escala no lineal de la cantidad y/o la demora. Mayores valores de s indican mayor sensibilidad a las diferencias entre demoras largas, mientras que menores valores de s sugieren mayor sensibilidad a las diferencias entre demoras cortas. Además, cuando s es menor que 1.0, la curva se aplana haciendo que se nivele a medida que D aumenta (Green et al., 1994).
V = A / (1 + k D)s
El procedimiento mayormente utilizado en tareas de descuento temporal con humanos es el propuesto por Rachlin et al. (1991), el cual implica presentar una serie de elecciones entre recompensas monetarias hipotéticas –una pequeña e inmediata y otra grande demorada–. Los pares de elecciones son presentados como dos alternativas, A y B, una representa la cantidad estándar (fija), mientras que la otra expresa la cantidad ajustable (e.g., Mazur, 1987). Por ejemplo, (A) $50 ahora o (B) $100 en 1 semana. Si el individuo elige la opción inmediata, en el siguiente ensayo, al valor de la recompensa inmediata se le restará la mitad de la cantidad inmediata anterior (i.e., $25). Si, por el contrario, elige la opción demorada, a la cantidad de la recompensa inmediata se le sumará la mitad de la cantidad inmediata previa (i.e., 75). La variable dependiente en estos procedimientos es el punto de indiferencia, el cual refleja en qué momento el valor de la alternativa demorada y la inmediata es igualmente elegida.
Debido al gran número de elecciones realizadas en cada sesión (e.g., en ocasiones más de 200), a las magnitudes de las recompensas (e.g., $10,000) y a los rangos de demoras (e.g., desde 1 día hasta 10 años), la mayoría de los estudios de descuento temporal emplean recompensas y demoras hipotéticas (e.g., Madden, Begotka, Raiff, & Kastern, 2003), es decir, a los participantes se les indica, antes de responder a las tareas de elección, que no recibirán las recompensas al final del estudio ni experimentarán las demoras asociadas a sus elecciones, pero se les instruye a elegir como si las fueran a experimentar (e.g., Madden et al., 2003; Madden et al., 2004; Odum, Baumann, & Rimington, 2006).
Es posible considerar ventajas al utilizar tareas de descuento temporal con recompensas y demoras hipotéticas, por ejemplo, exponer a los participantes a demoras largas (i.e., de meses hasta años), que dentro del laboratorio serían imposibles de manipular, así como utilizar diferentes tipos de recompensas que, por consideraciones prácticas y éticas, no podrían aplicarse en tareas con población objetivo (e.g., dinero y sustancias adictivas; Madden, Petry, Badger, & Bickel, 1997). A pesar de dichas bondades, es de esperarse que en el área del Análisis de la Conducta surjan preocupaciones acerca de la naturaleza de estos arreglos, debido a que los participantes no se exponen a las contingencias de sus elecciones (Johnson & Bickel, 2002; Madden et al., 2003). Por lo cual, se han realizado diferentes estudios para evaluar el efecto de presentar recompensas y demoras reales e hipotéticas en las tasas de descuento temporal, así como el ajuste de datos con ambos procedimientos a las funciones matemáticas. No obstante, debe señalarse una aclaración de los diferentes procedimientos empleados antes de mostrar la evidencia empírica.
Las tareas de descuento temporal con recompensas y demoras reales implican que el participante es expuesto a las contingencias (i.e., demoras) y recibe las recompensas asociadas a su elección en cada ensayo (e.g., Jimura et al., 2011; Jimura, Myerson, Hilgard, Braver, & Green, 2009; Lane, Cherek, Pietras, & Tcheremissine, 2003; Mitchell & Wilson, 2012). Un posible inconveniente en estos arreglos experimentales con recompensas consumibles reales (e.g., comida o bebida) es que en cada recepción de la recompensa se altera la operación de establecimiento (i.e., saciedad; e.g., Michael, 1982), lo que pudiera confundir el efecto de las variables manipuladas (Robertson & Rasmussen, 2018).
Ciertas limitaciones surgen de los procedimientos anteriores. Por ejemplo, el empleo de diferentes rangos de demora y diferentes tipos de recompensas (e.g., líquidos y dinero) para comparar recompensas y demoras reales e hipotéticas (e.g., Jimura et al., 2011); lo que podría influir en la elección de recompensas pequeñas inmediatas no sólo por el tipo de la recompensa, sino también por los diferentes parámetros de demora utilizados.
Se han realizado estudios que incorporan el uso de tecnologías para evaluar el efecto de exponer al participante a las consecuencias reales de su elección, tanto a la recepción de la recompensa como a las demoras asociadas a su elección mediante videojuegos (e.g., Rung & Young, 2015; Scheres, Tontsch, Thoeny, & Sumiya, 2014; Young, Webb, & Jacobs, 2011). Las ventajas de incorporar una interfaz de videojuego a las tareas de descuento serían que permiten evaluar la elección en tiempo real del participante, exposición real a las demoras, entrega de recompensas contingentes a la elección, acondicionar la temática del juego acorde a la población de interés, así como tener un control estricto en la programación de las demoras y en la entrega de las recompensas, sin dificultades logísticas por el uso de recompensas reales.
Aunque en estudios previos (e.g., Rung & Young, 2015; Scheres et al., 2014; Young et al., 2011) el uso de videojuegos permitió la evaluación de patrones de elección impaciente, el tipo de narrativa (i.e., conflicto) dificulta su aplicación en poblaciones más jóvenes (i.e., niños y adolescentes). Asimismo, las variables manipuladas (i.e., reforzadores condicionados; Scheres et al., 2014) pueden confundir el efecto de las variables manipuladas en el patrón elección por recompensas pequeñas e inmediatas reales.
Considerando las limitaciones procedimentales anteriores y reconociendo que es posible acondicionar las tareas de descuento temporal a poblaciones de interés (i.e., creación de videojuegos), las cuales permitan la evaluación de patrones de elección impaciente en tiempo real y con contingencias reales, surgen dos preguntas de investigación medulares: ¿el grado de descuento temporal será diferente si se mantienen los mismos parámetros de demora, cantidad estándar y número de ensayos en dos tareas que difieren en la presentación de demoras y recompensas reales e hipotéticas? y ¿la implementación de un video juego, como parte de una herramienta tecnológica, podrá dar cuenta del grado de descuento en una tarea que presente recompensas y demoras reales? Por lo tanto, el objetivo del presente estudio fue comparar el grado de descuento temporal, en función de recompensas-demoras reales virtuales (videojuego; exposición a demoras y ganancias en cada ensayo) y recompensas-demoras hipotéticas (tarea tradicional), manteniendo en ambas tareas los mismos niveles de demora, número de ensayos, cantidad estándar y tipo de ganancia (i.e., premios) en adolescentes.
Método
Participantes
Participaron 32 adolescentes entre 12 y 15 años (. = 13.19; DE = 1.06), 17 mujeres y 15 hombres, considerando los criterios de inclusión (descritos más adelante), con nivel de estudios de secundaria. Los participantes firmaron el consentimiento informado con autorización del padre (adaptado según las normas de la Sociedad Mexicana de Psicología, 2009), en el cual se incluyó una descripción breve del procedimiento del estudio, especificación de los criterios para la participación del menor y la confidencialidad de los datos con fines únicos de divulgación científica. El proyecto fue aprobado por un Comité de Ética.
Se consideró como criterios de inclusión que los participantes presentaran riesgo nulo o bajo de consumo de sustancias psicoactivas evaluado mediante la Prueba de Detección de Consumo de Alcohol, Tabaco y Drogas (ASSIST, por sus siglas en inglés; WHO ASSIST Working Group, 2002; Linage & Lucio, 2013) y que presentaran un Índice de Masa Corporal (IMC)normal (considerando sexo, edad talla y peso) según las Tablas de valores de referencia del IMC del Instituto Mexicano del Seguro Social (IMSS, 2018). Los criterios de inclusión y exclusión derivan de literatura previa en la que se ha reportado una relación entre las variables IMC y uso de sustancias adictivas con un mayor grado de descuento (e.g., Hendrickson & Rasmussen, 2013; Petry, 2001).
Aparatos e Instrumentos
Ficha demográfica. Cuestionario de lápiz y papel para obtener información de las variables edad, sexo, nivel socioeconómico y nivel educativo.
Prueba de Detección de Consumo de Alcohol, Tabaco y Drogas. Se aplicó la prueba ASSIST (por sus siglas en inglés; WHO ASSIST Working Group, 2002; Linage & Lucio, 2013) para detectar el riesgo de consumo de sustancias psicoactivas. El ASSIST cuenta con 8 reactivos de sondeo para 10 tipos de sustancias. Validada en población mexicana, con validez concurrente estadísticamente significativa con el AUDIT (r=.50), y con coeficientes de correlación intraclase estadísticamente significativos en un rango de 0.20 al 0.84 (Linage & Lucio, 2013). El nivel de riesgo bajo de consumo de sustancia psicoactivas se consideró con un puntaje inferior a 10 en el caso de alcohol e inferior a 3 para el resto de las sustancias.
La sesión experimental se condujo de manera individual en cubículos de 3x3m aprox. El espacio contaba con iluminación natural y artificial, ventilación, un escritorio y dos sillas. Se emplearon 18 laptops equipadas con un procesador mínimo Celeron hasta COREi5, con sistema operativo de Windows 7 hasta Windows 10. El tamaño de la pantalla de las laptops varió entre 13.3’ y 15.4’. Los participantes utilizaron un ratón periférico a la laptop para responder en las tareas experimentales.
La tarea con recompensas hipotéticas se programó con el software JAVA®, la cual ha sido validada en población mexicana (e.g., Mejía, 2016). La tarea con recompensas reales se programó en lenguaje .NET con el software Visual Basic® 10 Express. Se compró una licencia de Vyond® para crear un avatar, así como una licencia de DL Sounds® para los soundtracks. El diseño se realizó con base en estándares del Centro de Cultura Digital (Quesnel, Guerrero, & Ávila, 2017).
Procedimiento
Se utilizó un diseño intra sujeto con dos tareas de descuento temporal: tarea tradicional con recompensas hipotéticas y tarea con recompensas reales mediante un videojuego. La asignación de presentación a cada una de las tareas fue aleatoria para cada participante con la finalidad de evitar un efecto de orden. La sesión experimental tuvo una duración máxima de 30 minutos.
Se empleó el procedimiento de ajuste de la cantidad inmediata (Du, Green, & Myerson, 2002) con ambas tareas experimentales. Las recompensas eran premios para ganar, como trofeos y medallas. La cantidad estándar (i.e., la magnitud de la recompensa grande) fue de 16 (e.g., Jimura et al., 2011). Se utilizaron cinco demoras (5, 10, 20, 30 y 60 segundos), presentadas en orden aleatorio para obtener los puntos de indiferencia. En cada nivel de demora se presentaron cuatro ensayos. Las razones de emplear cuatro ensayos, obedecen a su vínculo con el estudio de Jimura et al. (2011), en el que también evaluaron el efecto de recompensas reales en la tasa de descuento, donde encontraron valores adecuados al modelo hiperboloide. Asimismo, el procedimiento de ajuste permite que con pocos ensayos se puedan obtener puntos de indiferencia para las curvas de descuento.
El ajuste de la cantidad consistió en presentar en cada ensayo dos opciones de elección: recompensa pequeña inmediata y recompensa grande demorada. A lo largo de los cuatro ensayos, la cantidad de la recompensa pequeña inmediata se ajustó en función de la elección del participante en el ensayo previo (i.e., aumentaba o disminuía), mientras que la cantidad de la recompensa grande demorada se mantuvo constante. En el primer ensayo, la cantidad de la recompensa pequeña inmediata fue la mitad de la cantidad de la recompensa grande demorada (i.e., 8 y 16). Si el participante elegía la recompensa grande demorada, la cantidad de la recompensa inmediata aumentaba la mitad de la cantidad inmediata anterior (i.e., 12 y 16). Mientras que, si elegía la recompensa pequeña, la recompensa pequeña inmediata disminuía la mitad de la cantidad inmediata anterior (i.e., 4 y 16). Se continuó esta lógica hasta terminar los cuatro ensayos en cada nivel de demora. Los puntos de indiferencia se calcularon promediando el último valor aceptado y el último valor rechazado en la recompensa pequeña inmediata, para cada nivel de demora (Du et al., 2002). Por ejemplo, al considerar los cuatro ensayos para un nivel de demora, el participante en el primer ensayo (8 vs. 16) elige 16, en el segundo (12 vs. 16) 16, en el tercero (14 vs 16) 14 y en el cuarto (13 vs. 16) 13, entonces el último valor de la cantidad inmediata aceptado es 13 y el último rechazado es 12, por lo que el promedio 12.5 se considera el punto de indiferencia en ese nivel de demora.
En la tarea con recompensas hipotéticas, inicialmente se presentaron las siguientes instrucciones:
En la siguiente tarea se te presentarán una serie de alternativas, donde deberás elegir la opción que más prefieras para ganar premios. Se te preguntará, por ejemplo, “¿Qué prefieres?, Ganar 8 premios ahora o Ganar 16 premios en 60 segundos”. Las ganancias en la tarea son hipotéticas (imaginarias), por lo que no recibirás ninguna de ellas al final de la sesión. Sin embargo, te pedimos que respondas como si fueras a recibirlas. Debes elegir la opción que más prefieras y no la que otra persona elegiría. No hay respuestas correctas o incorrectas, sólo nos interesa saber qué elecciones haces. Para responder, podrás utilizar el mouse. Responde conforme a tus preferencias en este momento; evita responder pensando en elecciones pasadas o futuras. Si tienes alguna duda, por favor hazla en este momento al aplicador. Te agradecemos tu participación.
Después de las instrucciones se presentaron los ensayos de elección según el procedimiento de ajuste de la cantidad, en el que el participante elegía entre dos opciones: “Ganar [Cantidad pequeña] premios ahora” o “Ganar [Cantidad estándar] premios en [demora] segundos” (e.g., 8 premios ahora o 16 premios en 10 segundos). El participante elegía una opción dando click en un botón debajo de cada alternativa para pasar al siguiente ensayo. Los ensayos se presentaron de forma consecutiva, sin exponer al participante a las demoras ni a la entrega de premios. Para evitar un efecto de lateralidad, se aleatorizó el orden izquierda-derecha de las opciones en cada ensayo. Una vez respondidos los 20 ensayos en esta condición, concluyó la tarea con recompensas hipotéticas.
En la tarea con recompensas reales, inicialmente se presentó un video introductorio al videojuego, en el que un avatar presentaba las siguientes instrucciones: Bienvenido a Rabbat. En este juego avanzas automáticamente, viajando en una nave. En Rabbat podrás elegir para ganar premios que más te gusten; como trofeos y medallas. No hay respuestas correctas o incorrectas.
Al concluir el video introductorio, el participante ingresó su nombre y posteriormente se presentó un video Demo con el Avatar para ejemplificar cómo serían presentadas las elecciones durante la tarea:
Antes de jugar, mira el Demo. En Rabbat podrás elegir entre dos opciones para ganar premios. Podrás elegir la opción que más te guste. Usarás el mouse para hacer tu elección. Mira el ejemplo. Podrás elegir la opción que más te guste. “Ganar 1 premio ahora. Ganar 3 premios en 3 segundos.” … “Elegiste Ganar 1 premio ahora” ... “Ganaste 1 premio”. Mira otro ejemplo. Podrás elegir la opción que más te guste. Usarás el mouse para hacer tu elección. “Ganar 1 premio ahora. Ganar 3 premios en 3 segundos.” … “Elegiste Ganar 3 premios en 3 segundos … “Tendrás que esperar 3 segundos” ... “Ganaste 3 premios”. Ahora podrás jugar tú.
Una vez concluido el video Demo, se presentó una pantalla con la instrucción “¿Tienes alguna duda? Pregunta a tu instructor”. Si el participante tenía dudas presionaba el botón “Preguntar” y aparecía una barra de progreso con duración de 30 segundos, periodo en el que podía haber una interacción entre el instructor y el participante. Si no había dudas, el participante daba clic en el botón “Avanzar”.Posteriormente se realizó una prueba de preferencias (e.g., Manwaring, Green, Myerson, Strube, & Wilfley, 2011) en la que el participante elegía un premio de entre ocho premios diferentes (cuatro medallas y cuatro trofeos). La localización de los premios en la pantalla se aleatorizó entre participantes. Una vez seleccionado el premio de su preferencia, se expuso al participante a dos ensayos forzados (e.g., Jimura et al., 2011) en los que elegía entre dos opciones: Ganar 1 premio ahora o ganar 10 premios en 3 segundos. Los ensayos forzados se condujeron con la finalidad de que el participante hiciera contacto con las contingencias programadas en ambas opciones, antes de responder a los ensayos de elección. En el primer ensayo forzado se señaló que eligiera la opción “Ganar 1 premio ahora” (i.e., recompensa de menor magnitud inmediata). Al elegirla, se entregaba una recompensa inmediatamente (aparecía en la pantalla una imagen de 1 premio). En el segundo ensayo forzado se señaló que eligiera la opción “Ganar 10 premios en 3 segundos” (i.e., recompensa de mayor magnitud demorada), al elegirla se presentaba una demora de 3 segundos y posteriormente la entrega de la recompensa grande (i.e., aparecía una imagen con 10 premios).
Seguido a los ensayos forzados, se presentó una prueba de magnitud y una prueba de demora (e.g., Vessells, Sy, Wilson, & Green, 2018), cuya finalidad era evaluar la sensibilidad a la magnitud y a la demora de reforzamiento. Ambas pruebas constaron de dos ensayos. En la prueba de magnitud el participante eligió entre dos opciones con misma demora y diferente magnitud (e.g., “Ganar 6 premios ahora o Ganar 12 premios ahora.; “Ganar 12 premios en 8 segundos o Ganar 6 premios en 8 segundos.). En la prueba de demora, el participante eligió entre dos opciones con misma magnitud, pero diferente demora (e.g., “Ganar 15 premios en 10 segundos o Ganar 15 premios ahora.; .Ganar 10 premios en 8 segundos o Ganar 10 premios ahora.).
Posteriormente, se expuso al participante a los ensayos de elección siguiendo el procedimiento de ajuste de la cantidad. En cada ensayo se presentaron dos opciones de elección: “Ganar [cantidad pequeña] premios ahora” o “Ganar [cantidad estándar] premios en [demora] segundos” (e.g., Ganar 8 premios ahora o 16 premios en 30 segundos). Para evitar un efecto de lateralidad, se aleatorizó el orden izquierda-derecha de las opciones en cada ensayo. A diferencia de la tarea con recompensas hipotéticas, en la condición con recompensas reales, si el participante elegía la recompensa pequeña inmediata, aparecía de manera inmediata una imagen con la cantidad de premios elegidos en otra ventana. Por el contrario, si el participante elegía la recompensa grande demorada, se le presentaba la demora real de acuerdo con la opción elegida (que se caracterizó por una pantalla con el avance automático en pausa y un efecto blur). Cabe señalar que durante la demora no se señaló la duración de esta en la pantalla. Una vez transcurrida la demora correspondiente, se presentaba una imagen con el número de premios elegidos (ver Figura 1). Durante la presentación de las dos alternativas de elección, se reproducía un soundtrack que era repetido en cada ensayo. En la demora, el soundtrack se detenía.

Contingencias programadas en cada una de las opciones de los ensayos de elección. En el panel A se muestran las consecuencias de la opción de mayor magnitud demorada. En el panel B se muestran las consecuencias de la opción de menor magnitud inmediata. Las demoras y número de premios correspondían con la elección vigente de cada ensayo.
Finalmente, el videojuego terminaba después de 20 ensayos (i.e., 4 ensayos x 5 niveles de demora) y el participante debía seleccionar un botón con la etiqueta “Finalizar”. Los créditos de derechos de autor, la información sobre el nombre de las imágenes y soundtracks sin copyright se incluyeron al final de los ensayos.
Análisis de datos
Una vez obtenidos los puntos de indiferencia de cada participante de cada nivel de demora con ambas tareas, se revisaron los patrones de elección en función de los criterios de Johnson y Bickel (2008) para identificar los datos no sistemáticos: (a) si cualquier punto de indiferencia, a partir del segundo nivel de demora (i.e., 10 segundos) es mayor que cualquiera de su precursores por 20% del valor de la recompensa estándar (i.e., 16 premios); (b) si el punto de indiferencia en la última demora (i.e., 60 segundos) no fue menos que el primero (i.e., 5 segundos) por al menos 10% del valor de la recompensa estándar. Siguiendo estos criterios, se identificaron 19 datos sistemáticos con los cuales se realizaron los análisis que se describen a continuación.
Se calcularon las medianas de los puntos de indiferencia para cada nivel de demora, las cuales se convirtieron a proporción en función la cantidad estándar (i.e., 16). Para evaluar el ajuste de las medianas normalizadas al modelo hiperboloide, se obtuvieron los valores k, s y R., mediante la librería “nlmrt” de RStudio® para regresiones no lineales (e.g., Frye, Galizio, Friedel, DeHart, & Odum, 2016).
Con el propósito de identificar el grado de descuento sin apelar a un modelo teórico de elección, se transformaron los puntos de indiferencia a Áreas bajo la Curva (AUC por sus siglas en inglés) con el método de los trapezoides (Myerson, Green, & Warusawitharana, 2001) para ambas tareas de elección (e.g., Madden et al., 2003) donde se suman los trapezoides trazados por la distancia entre Xi-1 y Xi, como base, y .j y .j-1, como altura, en donde . y .se refieren a un valor especifico de la duración de demora y el valor subjetivo de la recompensa para ese valor de demora, respectivamente, mientras que i-1 . j-1, se refieren al valor de la demora anterior y el respectivo valor subjetivo de la recompensa. Debido a que la representación de AUC no asume ningún supuesto teórico, los valores cercanos a 1 indican menor grado de descuento y valores cercanos a 0 indican mayor grado de descuento.
(Xi – Xi-1) [(Yj + Yj-1) / 2]
Finalmente, para los análisis estadísticos complementarios se utilizó el software JASP 0.9.2.0. Caben resaltar las principales ventajas de usar JASP, la primera es que es de dominio público, es compatible con diferentes sistemas operativos, ha sido utilizado en otros estudios del área de descuento y permite realizar análisis con inferencia bayesiana, lo cual podría ser complejo si se carece de la infraestructura de software (Vincent, 2016). Como prueba no paramétrica, se empleó una chi-cuadrada para descartar la dependencia entre el sexo y orden de las tareas. Se aplicó un ANOVA de medidas repetidas bayesiano con los valores del AUC para probar el efecto intra sujeto del tipo de recompensa real e hipotética, así como el efecto inter-sujetos del orden de presentación de las tareas.
Se decidió utilizar enfoque bayesiano por su nivel de inferencia acerca de cómo interpretar parámetros, hipótesis y modelos con valores aleatorios, en función de la probabilidad para expresar el nivel de incertidumbre de apoyar tanto a la hipótesis alterna como la nula, con base en creencias anteriores (a priori) y de los datos observados (a posteriori), a diferencia del enfoque tradicional frecuentista (valores .) que restringen la interpretación de la probabilidad de aceptar o rechazar la hipótesis nula en función de solo los datos obtenidos (ver Franck, Koffarnus, McKerchar, & Bickel, 2019). En segunda instancia, como es sabido, una de las preocupaciones de los analistas de la conducta sobre el enfoque tradicional de resultados significativos o no significativos, radica en que, para tomar decisiones sobre el efecto de las variables independientes sobre las dependientes, se utiliza un estándar rígido (e.g., resultado significativo . < 0.05). Por otro lado, el enfoque bayesiano enfatiza el tamaño de la evidencia para la hipótesis alterna y nula, en lugar de tomar decisiones rígidas y dicotómicas (ver Young, 2019).
Resultados
Se presentan los resultados de los 19 datos sistemáticos identificados mediante los criterios de Johnson y Bickel (2008). En la Figura 2, se presentan las medianas del valor subjetivo de la recompensa en función de las demoras para su obtención en ambas tareas, así como los valores de k, s y R. para la Ecuación 1. El ajuste fue más alto con las recompensas reales que con las hipotéticas (R. > .90).

Mediana normalizada de los puntos de indiferencia (valor subjetivo) en función de cada una de las demoras para la tarea con recompensas reales e hipotéticas. La línea punteada señala el ajuste al modelo hiperboloide de la tarea con hipotéticas y la línea continua el ajuste de la tarea con reales.
En la Figura 2 se observa un mayor decaimiento de la curva para la condición con demoras y recompensas reales que hipotéticas. Se observan un aplanamiento de la curva conforme aumentan las demoras con recompensas reales no así con hipotéticas. En cuanto a las demoras y recompensas reales, el valor de . (tasa de descuento) fue mayor que en la condición con recompensas hipotéticas. El parámetro . fue mayor en la condición de recompensas hipotéticas que con recompensas reales. La curva para la tarea con recompensas reales fue más sistemática que con las recompensas hipotéticas, ya que, en esta última, durante los primeros tres niveles de demoras no se aprecia descuento, sino hasta las últimas dos demoras.
En la Tabla 1 se muestran las medianas y rangos intercuartiles normalizados en cada nivel de demora para ambas tareas con recompensas y demoras reales o con hipotéticas. Considerando los rangos intercuartiles, se observa menor dispersión de los datos en la tarea con reales que con hipotéticas.

Medianas (rango intercuartil) normalizadas de los puntos de indiferencia de cada una de las demoras para la tarea con recompensas y demoras reales e hipotéticas
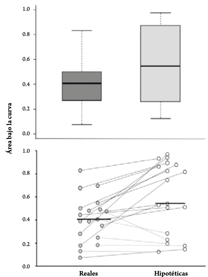
En la Figura 3 (panel superior) se presentan las medianas de AUC de la tarea con recompensas reales y con recompensas hipotéticas. Se aprecia una AUC menor para la condición con recompensas reales que con hipotéticas. En ambas tareas, se observa una dispersión sesgada de los datos, considerando el nivel de la mediana.

Medianas normalizadas del Área Bajo la Curva. En el panel superior se presentan los boxplot en ambas tareas con recompensas y demoras reales e hipotéticas. Las líneas inferiores y superiores de la caja representan el percentil 25º y 75º, respectivamente, y la línea horizontal dentro de cada caja representa el percentil 50º (mediana grupal). Las líneas verticales extendidas de la caja representan los valores mínimos y máximos que no son outliers. En el panel inferior se muestran los valores individuales en ambas tareas. Los círculos grises representan los valores en la tarea con recompensas y demoras reales y los círculos blancos los valores en la tarea con hipotéticas. Las líneas sólidas que conectan los puntos, indican que el valor del AUC fue menor en reales que en hipotéticas (73% de los participantes). Las líneas punteadas indican que el valor del AUC fue menor en hipotéticas que en reales (27% de los participantes)
Se observa que el tercer cuartil de la condición con recompensas reales es más bajo que la mediana de la tarea con recompensas hipotéticas. Asimismo, en la Figura 3 (panel inferior) se presentan las medianas normalizadas del AUC de cada participante en la tarea con recompensas reales y con recompensas hipotéticas, así como la mediana grupal en cada tarea. El 73% de los participantes (línea sólida) presenta menor AUC en la tarea de recompensas y demoras reales, que en la tarea con recompensas y demoras hipotéticas.
Usando los valores del AUC, se calculó el ANOVA de medidas repetidas bayesiano (Tabla 2), donde se obtuvo un BF₁₀ 8.043 para el tipo de tarea, el cual indica la probabilidad de apoyar la hipótesis alterna, comparado con la hipótesis nula BF₁₀ 1.000. En función de los rangos para la interpretación de BF₁₀ (Bayes Factor; Wagenmakers et al., 2018), se puede decir que la evidencia acerca de un efecto del tipo de tarea es moderada, a comparación del nivel nulo de evidencia de que no haya efecto. Asimismo, se calculó el efecto de interacción entre el tipo de tarea y el orden de presentación (i.e., hipotéticas-real vs. real-hipotéticas). Para ello se dividió el valor BF₁₀ del modelo con la interacción (1.869) y el BF₁₀ del modelo con los dos efectos principales, sin la interacción (3.919), resultando en 1.869 / 3.919 = 0.476. Lo anterior indica que hay mayor evidencia en contra de la interacción que a favor de ella.

Finalmente, se realizó una prueba Post-Hoc bayesiana para evaluar las diferencias entre el tipo de tarea. La prueba reveló un BF₁₀ de 8.203 a favor de la hipótesis alternativa respecto a un BF₁₀ de 0.122 a favor de la hipótesis nula, acerca de las diferencias entre tareas. La mediana de 0.861 cae dentro del intervalo de confianza del 95% con un rango de 0.221 a 1.557. La razón de la densidad entre el valor a priori y a posteriori se muestra entre los puntos grises en la Figura 4.

Post-hoc bayesiana del parámetro δ. La rueda de probabilidad de arriba muestra los datos de la hipótesis alternativa (H1) y nula (H0). Los puntos grises indican el valor de la prueba de densidad a priori y a posteriori. La mediana se encuentra dentro del intervalo del 95% de confianza.
Finalmente, aunque la cantidad del número de adolescentes no fue igual por sexo (12 mujeres y 7 hombres), una chi-cuadrada mostró la independencia significativa entre el orden de presentación de las tareas y el sexo, χ.(1) = 0.172, . = 0.678.
Discusión
El objetivo del presente estudio fue comparar la elección por recompensas pequeñas inmediatas o recompensas grandes demoradas cuando éstas se presentan en una tarea de descuento temporal tradicional (con recompensas y demoras hipotéticas) y cuando se presentan con una tarea programada en un videojuego (con recompensas y demoras reales).
Con la finalidad de tener comparaciones más claras entre condiciones, así como responder a la primera pregunta de investigación, en este estudio se empleó el mismo tipo de recompensas (i.e., premios), cantidad estándar (i.e., 16) y demoras (i.e., 5, 10, 20, 30 y 60 segundos) en ambas tareas. Lo hallazgos pudieran sugerir que en tareas en las que se evalúan parámetros similares, pero que difieren en la presentación hipotética o real de las recompensas y demoras, se encuentran curvas de descuento (ver Figura 2) con mayor decaimiento en función de las demoras y recompensas reales que con las hipotéticas.
En cuanto a las demoras y recompensas reales, el valor del parámetro . sugiere una mayor tasa de descuento, es decir, mayor preferencia por recompensas de menor magnitud e inmediatas, a comparación de la tarea con recompensas y demoras hipotéticas. Al observar tanto el patrón de datos empíricos para ambas condiciones, como los valores del parámetro .(ver Figura 2), se identifica una correspondencia con lo que indicaban (Green et al., 1994) acerca de la interpretación de este parámetro, ya que el valor de . es más grande para la tarea con recompensas y demoras hipotéticas que con las reales, lo que sugiere que hay mayor sensibilidad a las diferencias entre demoras grandes que a demoras cortas (e.g., 30 y 60 segundos). Por el contrario, al ser el valor de . más pequeño en la tarea con recompensas y demoras reales, se sugiere mayor sensibilidad a las diferencias entre demoras cortas (e.g., 5, 10 y 20 segundos). Esta discrepancia en el patrón de elección y en los valores de ., sugieren diferencias en la sensibilidad a las demoras en función del tipo de tarea.
Debido al nivel de ajuste de los datos al modelo hiperboloide con demoras y recompensas reales respecto a las hipotéticas, siendo esta última presentada mediante una tarea validada en México (e.g., Mejía, Morales, & Nieto, 2015), se puede señalar que con esta población (i.e., adolescentes) y parámetros (demoras, magnitud y premios), la tarea con recompensas reales mediante el uso de un videojuego, permite una evaluación más precisa (R. > 0.90), del patrón de elección por recompensas pequeñas inmediatas en lugar de las grandes demoradas, a diferencia de la tarea con recompensas hipotéticas. Esta evidencia parece atender a la segunda pregunta de investigación del presente estudio.
Si bien el número de recompensas se presentaron contingente a cada elección por ensayo, la presentación de éstas fue de manera virtual y no hubo intercambio de recompensas tangibles al finalizar la tarea. La razón que subyace a esta decisión es tanto por cuestiones prácticas como éticas. En relación con cuestiones prácticas, el uso de recompensas tangibles requiere de una precisión respecto a su entrega ya sea por cantidad (e.g., gramos o mililitros de un comestible) o duración (e.g., segundos de acceso a una actividad favorita) de la recompensa. Asimismo, se requiere de pruebas adicionales para garantizar la preferencia por dichos estímulos intercambiables al final de la tarea. Considerando cuestiones éticas, el uso de dinero como recompensa intercambiable al finalizar la tarea, pudiera considerarse problemático en población objetivo como niños y adolescentes, ya que serían los tutores quienes deben recibir dicho dinero (por ser menores de edad; i.e., la recompensa no se entregaría al participante en cuestión). Es por esto, que el uso de trofeos (que han sido asociados como premios) se eligieron recompensas virtuales dentro del videojuego.
El análisis de las AUC con boxplot brindó información adicional acerca del grado de descuento entre ambas tareas. A diferencia de otros estudios donde sólo se reporta el grado de descuento con un gráfico de barras y el error típico (e.g., Jimura et al., 2011; Madden et al., 2003), en el cual si bien es posible apreciar dónde hay menor o mayor AUC para cada tipo de tarea, quedan limitaciones sobre el conocimiento de la dispersión de los datos. En la Figura 3, por ejemplo, además de observar el grado de descuento para ambas condiciones, la dispersión de los datos sugiere que, en la condición con recompensas y demoras reales, el 75% de los valores de AUC fueron inferiores a 0.6 (valores bajos), a diferencia de la otra condición. Es decir, elección por recompensas pequeñas inmediatas.
Los datos representados en la Figura 3 (panel inferior) abonan información sobre la dispersión de AUC por condición y a nivel intra sujeto. Al encontrarse que el 73% de los patrones de descuento representan menores valores de AUC para la condición con recompensas y demoras reales, se sugiere un notable efecto del tipo de tarea. Por el contrario, aunque el 27% de los participantes reflejaron un patrón de descuento opuesto, considerando la inclinación de las líneas para los valores de AUC de una tarea y otra, se sugiere que el grado de descuento fue semejante para ambas condiciones (sin considerar, al menos, a dos participantes).
Diferente a la generalidad de los estudios que han reportado no diferencias estadísticamente significativas (. > 0.05) entre recompensas y demoras reales contra hipotéticas (e.g., Jimura et al., 2011; Madden et al., 2003; Robertson & Rasmussen, 2018), los resultados del ANOVA de medidas repetidas bayesiano confirmaron lo que las Figuras previas sugerían en cuanto al efecto del tipo de tarea, y arrojó un valor cuantitativo acerca de la evidencia a favor del efecto del tipo de tarea (i.e., Bayes Factor o BF₁₀), sin apelar a decisiones dicotómicas de significativo o no significativo. Esta lógica parece ser más congruente con la empleada tanto en valores de R., valores k, s y AUC, en donde la descripción e interpretación del dato no es dicotómica, sino en términos de grado. Por otro lado, aunque se pudiera cuestionar la generalidad de los hallazgos del presente estudio en función del tamaño de la muestra (19 datos) bajo un enfoque frecuentista, el análisis bayesiano utiliza la probabilidad a priori para abordar esta posible limitación (como un aspecto común en el análisis de la conducta con muestras pequeñas; Young, 2019).
Respecto al resultado de la interacción entre tipo de tarea y orden de presentación de las tareas (0.476), se sugiere que la evidencia a favor de un efecto entre tipo de tareas se mantiene sin la intervención del orden en que éstas fueron presentadas. Es decir, la aleatorización de las condiciones para cada participante, como parte del control experimental con diseños intra sujeto, permitió controlar un efecto de acarreo.
Una posible limitación del presente estudio es que sólo se consideró una cantidad estándar (i.e., 16 premios), a diferencia de estudios en los que han reportado diferencias entre recompensas hipotéticas y potencialmente reales en función de la magnitud de la recompensa (e.g., Johnson & Bickel, 2002). Futuras investigaciones pudieran considerar la comparación entre tareas con recompensas reales e hipotéticas, comparando diferentes magnitudes y su efecto en el nivel de ajuste a las funciones matemáticas, así como en el grado de descuento para evaluar la generalidad del hallazgo.
Otro curso de acción alternativo para la tarea de descuento temporal con recompensas reales mediante un videojuego podría ser ajustar los parámetros de demoras y evaluar nuevamente el nivel de ajuste para tener mayor evidencia tanto de la validez concurrente del videojuego, como de las posibles diferencias en las tasas de descuento en función del tipo de tarea. De igual manera, un estudio que compare la tasa de descuento temporal en función de la nueva tarea propuesta (video juego) y de una tarea que entregue recompensas tangibles, utilizando los mismos parámetros, podrá dar mayor luz sobre el efecto de ambos tipos de recompensas (i.e., virtuales vs. tangibles).
Finalmente, el desarrollo y uso de videojuegos para la evaluación de descuento temporal no sólo permitiría contar con tareas con mayor validez ecológica, sino también brindar herramientas tecnológicas de aplicación breve, automatizada y confiable para la evaluación de patrones de elección por recompensas de menor magnitud inmediatas o mayor magnitud demoradas. En futuras investigaciones con población objetivo el uso de estas tareas basadas en interfaz de videojuego podría apoyar la evaluación de patrones de elección impaciente como un indicador conductual asociado a problemas mal adaptativos.
Agradecimientos
Investigación realizada gracias al Programa UNAM-PAPIIT IN304418, otorgado por la Dirección General de Asuntos del Personal Académico al tercer autor. Los autores expresan su agradecimiento a Carlos Palomero, Cristy Sánchez, Enrique Ortega, Fernanda de la Cruz, Sandra Ferrer y Zyanya García por colaborar en la construcción del videojuego, y al Dr. Leonard Green de Washington University in St. Louis, EE.UU. por sus comentarios y sugerencias al método.
Los autores, en particular Silvia Morales, pueden ser contactados en el cubículo 212, Edificio B de la Facultad de Psicología, UNAM. Av. Universidad 3004, Col. Copilco–Universidad, C.P. 04510, Ciudad de México, México
Referencias
Ainslie, G. (1974). Impulse control in pigeons. Journal of the Experimental Analysis of Behavior, 21, 485-489. doi: 10.1901/jeab.1974.21-485
Bickel, W. K., Jarmolowicz, D. P., Mueller, E. T., Koffarnus, M. N., & Gatchalian, K. M. (2012). Excessive discounting of delayed reinforcers as a trans-disease process contributing to addiction and other disease-related vulnerabilities: Emerging evidence. Pharmacology & Therapeutics, 134(3), 287-297. doi: 10.1016/j.pharmthera.2012.02.004
Du, W., Green, L., & Myerson, J. (2002). Cross-cultural comparisons of discounting delayed and probabilistic rewards. The Psychological Record, 52(4), 479-492. doi: 10.1007/BF03395199
Green, L., Fry, A. F., & Myerson, J. (1994). Discounting of delayed rewards: A lifespan comparison. Psychological Science 5, 33-36.
Franck, C. T., Koffarnus, M. N., McKerchar, T. L., & Bickel. W. K. (2019). An overview of Bayesian reasoning in the analysis of delay-discounting data. Journal of the Experimental Analysis of Behavior, 111(2), 239–251. doi: 10.1002/jeab.504
Frye, C. C., Galizio, A., Friedel, J. E., DeHart, W. B., Odum, A. L. (2016). Measuring delay discounting in humans using an adjusting amount task. Journal of Visualized Experiments (107). doi: 10.3791/53584
Heil, S. H., Johnson, M. W., Higgings, S. T., & Bickel, W. K. (2006) Delay discounting in currently using and currently abstinent cocaine-dependent outpatients and non-drug-using matched controls. Addictive Behaviors, 31(7), 1290-1294. doi: 10.1016/j.addbeh.2005.09.005
Hendrickson, K. L., & Rasmussen, E. B. (2013). Effects of mindful eating training on delay and probability discounting for food and money in obese and healthyweight individuals. Behaviour Research Therapy, 51(7), 399-409.
Instituto Mexicano del Seguro Social (2018). Calcula tu IMC [Software online]. Disponible en: http://www.imss.gob.mx/salud-en-linea/calculaimc
Jimura, K., Myerson, J., Hilgard, J., Braver, T. S., & Green, L. (2009). Are people really more patient than other animals? Evidence from human discounting of real liquid rewards. Psychonomic Bulletin & Review, 16(6),1071-1075. doi: 10.3758/PBR.16.6.1071
Jimura, K., Myerson, J., Hilgard, J., Keighley, J., Braver, T. S., & Green, L. (2011). Domain independence and stability in young and older adults’ discounting of delayed rewards. Behavioural Processes, 87(3), 253-259. doi: 10.1016/j.beproc.2011.04.006
Johnson, M. W., & Bickel, W. K. (2002). Within-subject comparison of real and hypothetical money rewards in delay discounting. Journal of the Experimental Analysis of Behavior, 77(2), 129-146. doi: 10.1901/jeab.2002.77-129
ohnson, M. W., & Bickel, W. K. (2008). An algorithm for identifying nonsystematic delay-discounting data. Experimental and Clinical Phychopharmacology, 16, 264-274. doi: 10.1037/1064-1297.16.3.264
Kirby, K. N., Petry, N. M., & Bickel, W. K. (1999). Heroin addicts have higher discount rates for delayed rewards than non-drug-using controls. Journal of Experimental Psychology: General, 128(1), 78-87. doi: 10.1037/0096-3445.128.1.78
Lane, S. D., Cherek, D. R., Pietras, C. J., & Tcheremissine, O. V. (2003). Measurement of delay discounting using trial-by-trial consequences. Behavioural Processes, 64(3), 287-303. doi: 10.1016/S0376-6357(03)00143-8
Linage, M., & Lucio, M. (2013). Propiedades psicométricas del ASSIST en un grupo de estudiantes mexicanos. Revista Española de Drogodependencias, 38(1), 37-51. https://dialnet.unirioja.es/servlet/articulo?codigo=4188871
Madden, G. J., Begotka, A. M., Raiff, B. R., & Kastern, L. L. (2003). Delay discounting of real and hypothetical rewards. Experimental and Clinical Psychopharmacology, 11(2), 139-145. doi: 10.1037/1064-1297.11.2.139
Madden, G. J., & Bickel, W. K. (2010). Impulsivity: The behavioral and Neurological Science of Discounting: American Psychological Association.
Madden, G. J., Petry, N. M., Badger, G. J., & Bickel, W. K. (1997). Impulsive and self-control choices in opioid-dependent patients and non-drug-using control participants: Drug and monetary rewards. Experimental and Clinical Psychopharmacology, 5(3), 256–262.
Madden, G. J., Raiff, B. R., Lagorio, C. H., Begotka, A. M., Mueller, A. M., Hehli, D. J., & Wegener, A. A. (2004). Delay discounting of potentially real and hypothetical rewards: II. Between- and within-subject comparisons. Experimental and Clinical Psychopharmacology, 12(4), 251-261. doi: 10.1037/1064-1297.12.4.251
Manwaring, J. L., Green, L., Myerson, J., Strube, M. J., & Wilfley, D. E. (2011). Discounting of various types of rewards by women with and without binge eating disorder: Evidence for general rather than specific differences. The Psychological Record, 61(4), 561–582.
Mazur, J. E. (1987). An adjusting procedure for studying delayed reinforcement. En: M. L. Commons, J. E. Mazur, J. A. Nevin, & H. Rachlin (Eds.). Quantitative Analyses of Behavior: The Effect of Delay and of Intervening Events on Reinforcement Value (pp. 55–73). Hillsdale, NJ: Psychology Press.
Mejía, D. (2016). Descuento temporal y probabilístico en usuarios de drogas: comparación de consecuencias y estabilidad de su valor ante el tratamiento psicológico (Tesis de Doctorado). México: Universidad Nacional Autónoma de México.
Mejía, D., Morales, S., & Nieto, J. (2015). Descuento temporal asociado al uso de cocaína. Revista Mexicana de Análisis de la Conducta, 41(1), 86-10. http://www.redalyc.org/articulo.oa?id=59338802005
Michael, J. (1982). Distinguishing between discriminative and motivational functions of stimuli. Journal of the Experimental Analysis of Behavior, 37(1), 149-155. doi:10.1901/jeab.1982.37-149
Mitchell, S. H., & Wilson, V. B. (2012). Differences in delay discounting between smokers and nonsmokers remain when both rewards are delayed. Psychopharmacology, 219(2), 549–562. doi: 10.1007/s00213-011-2521-z
Myerson, J., & Green, L. (1995). Discounting of delayed rewards: Models of individual choice. Journal of the Experimental Analysis of Behavior, 64(3), 263–276. doi: 10.1901/jeab.1995.64-263
Myerson, J., Green, L., & Warusawitharana, M. (2001). Area under the Curve as a measure of discounting. Journal of the Experimental Analysis of Behavior, 76(2), 235-243. doi: 10.1901/jeab.2001.76-235
Odum, A. L. (2011). Delay Discounting: I’m a k, You’re a k. Journal of the Experimental Analysis of Behavior, 96(3), 427–439. doi: 10.1901/jeab.2011.96-423
Odum, A. L., Baumann, A. L., & Rimington, D. D. (2006). Discounting of delayed hypothetical money and food: Effects of amount. Behavioural Processes, 73(3), 278-284. doi: 10.1016/j.beproc.2006.06.008
Odum, A. L., Madden, G. J., Badger, G. J., & Bickel, W. K. (2000). Needle sharing in opioid-dependent outpatients: psychological processes underlying risk. Drug Alcohol Dependence, 60(3), 259-66. doi: 10.1016/S0376-8716(00)00111-3
Petry, N. M. (2001). Substance abuse, pathological gambling, and impulsiveness. Drug and Alcohol Dependence, 63(1), 29-38. doi: 10.1016/S0376-8716(00)00188-5
Quesnel, J., Guerrero, H., & Ávila, N. (2017) Manual. Desarrollo de videojuegos. México: Secretaría de Cultura, Centro de Cultura Digital.
Rachlin, H., & Green, L. (1972). Commitment, choice and self-control. Journal of the Experimental Analysis of Behavior, 17(1), 15-22. doi: 10.1901/jeab.1972.17-15
Rachlin, H., Raineri, A., & Cross, D. (1991). Subjective probability and delay. Journal of the Experimental Analysis of Behavior, 55(2), 233-244. doi: 10.1901/jeab.1991.55-233
Robertson, S. H., & Rasmussen, E. B. (2018). Comparison of potentially real versus hypothetical food outcomes in delay and probability discounting tasks. Behavioural Processes, 149, 8-15. doi: 10.1016/j.beproc.2018.01.014
Rung, J. M., & Young, M. E. (2015). Learning to wait for more likely or just more: greater tolerance to delays of reward with increasingly longer delays. Journal of the Experimental Analysis of Behavior, 103(1), 108-124. doi: 10.1002/jeab.132
Scheres, A., Tontsch, C., Thoeny, A., & Sumiya, M. (2014). Temporal reward discounting in children, adolescents, and emerging adults during an experiential task. Frontiers in psychology, 5(711), 1-7. doi: 10.3389/fpsyg.2014.00711
Sociedad Mexicana de Psicología. (2009). Código ético del psicólogo. México: Trillas.
Vessells, J., Sy, J. R., Wilson, A., & Green, L. (2018). Effects of delay fading and signals on self-control choices by children. Journal of Applied Behavior Analysis, 51(2), 374-381. doi: 10.1002/jaba.454
Vincent, B. T. (2016). Hierarchical Bayesian estimation and hypothesis testing for delay discounting tasks. Behavioral Research Methods, 48(4), 1608-1620. doi: 10.3758/s13428-015-0672-2
Wagenmakers, E. J., Love, J., Marsman, M., Jamil, T., Ly A., Verhagen, J., … Morey, R. D. (2018). Bayesian inference for psychology. Part II: Example applications with JASP. Psychonomic Bulletin & Review, 25(1), 58-76. doi: 10.3758/s13423-017-1323-7
WHO ASSIST Working Group. (2002). The Alcohol, Smoking and Substance Involvement Screening Test (ASSIST): Development, reliability and feasibility. Addiction, 97, 1183-1194. doi:10.1046/j.1360-0443.2002.00185
Young, M. E. (2019). Bayesian data analysis as a tool for bahavior analysts. Journal of the Experimental Analysis of Behavior, 111(2), 225–238. doi: 10.1002/jeab.512
Young, M. E., Webb, T. L., & Jacobs, E. A. (2011). Deciding when to “cash in” when outcomes are continuously improving: An escalating interest task. Behavioural Processes, 88(2), 101-110. doi: 10.1016/j.beproc.2011.08.003