Resumen: En su libro conducta verbal, Skinner (1957) interpretó el lenguaje en términos de su relación con sus antecedentes y consecuencias medioambientales. El análisis funcional de Skinner de la conducta verbal se adhiere con los principios científicos bien establecidos, ha tenido un gran respaldo empírico y ha constituido la base conceptual de tratamientos efectivos para problemas del lenguaje. En este tutorial se presenta un resumen actualizado de los conceptos básicos sobre la conducta verbal y una descripción general de procedimientos comúnmente empleados para establecer y modificar repertorios verbales durante intervenciones conductuales. Adicionalmente, se describe un estudio de caso en el cual se extendieron algunos de estos procedimientos para evaluar y establecer operantes verbales en un adulto diagnosticado con afasia de Broca. Se usó el procedimiento cadena interrumpida para establecer mandos. A partir del entrenamiento de mandos, se establecieron ecoicas, tactos e intraverbales empleando procedimientos de transferencia de control de estímulos. Se concluyó que este tratamiento podría ser conducente a restablecer el control de estímulos de la conducta verbal en personas diagnosticadas con afasia.
Palabras clave:conducta verbalconducta verbal,tutorialtutorial,estudio de casoestudio de caso,afasia de Brocaafasia de Broca,procedimiento de cadena interrumpidaprocedimiento de cadena interrumpida,operantes verbalesoperantes verbales.
Abstract: In his book Verbal Behavior, Skinner (1957) provided an interpretation of language in terms of its relations to environmental antecedents and consequences. Skinner’s functional analysis of verbal behavior adheres to basic scientific principles, has received substantial empirical support, and serves as the conceptual basis for effective language intervention programs. This tutorial presents an updated overview of key concepts of verbal behavior, and a general description of methods commonly used to establish basic verbal operants during behavioral interventions. Additionally, a case study is described in which some of these methods were extended to assess and establish basic verbal operants in an adult diagnosed with Broca’s aphasia. An interrupted chain procedure was used to teach mands. Echoics, tacts and intraverbals were then established within the context of trained chains, using transfer of stimulus control procedures. This intervention may be effective to re-establish stimulus control of verbal behavior in persons diagnosed with aphasia.
Keywords: verbal behavior, tutorial, case study, Broca’s aphasia, interrupted chain procedure, verbal operants.
Tutorial
Tutorial: conducta verbal y descripción de un tratamiento para un adulto con afasia de broca
Tutorial: verbal behavior and description of an intervention for an adult with broca’s aphasia
Recepción: 30 Enero 2019
Aprobación: 29 Diciembre 2019
En el análisis de la conducta, desde su fundación formal en 1938 con el libro La Conducta de los Organismos (Skinner, 1938), se han establecido una variedad de principios científicos que permiten explicar la conducta de los humanos y otros animales. Skinner empleó a ratas y posteriormente a palomas como sujetos y mediante un control experimental riguroso, mostró el papel de los antecedentes y de las consecuencias medioambientales en la adquisición, el mantenimiento y la modi ficación de la conducta. El análisis de la conducta operante que propuso Skinner en términos de la triple contingencia (i.e., antecedente-conducta-consecuencia o estímulo- respuesta-estímulo [E-R-E]) proveyó un modelo para el estudio científico de la conducta. El análisis de la triple contingencia consiste de eventos naturales, esto es, eventos identificables en tiempo y espacio, por lo que fue posible establecer relaciones funcionales (i.e., relaciones causa-efecto) al manipular sistemáticamente las variables medioambientales y observar sus efectos sobre la conducta. El análisis de la conducta contrastó con otros enfoques en psicología, como la psicología cognoscitiva. El común denominador de estos enfoques es el mentalismo, conforme al cual se asume la existencia de una dimensión mental o interna, que no es observable ni manipulable experimentalmente, pero se considera como la causa, o al menos el mediador de la conducta (e.g., Baum, 2005).
Durante la década de 1950 e inicios de la década de 1960, se publicaron algunas de las primeras investigaciones en las cuales se emplearon los principios y los métodos del análisis experimental de la conducta para la modificación de la conducta en humanos (e.g., Azrin & Lindsley, 1956; Baer, 1960; Flanagan, Goldiamond, & Azrin, 1959; Lindsley, 1956). Durante esta etapa temprana del desarrollo del análisis de la conducta, Skinner publicó libros y artículos en los cuales interpretó la conducta compleja humana, incluyendo el lenguaje, en términos de los principios conductuales básicos (e.g., Skinner, 1953, 1957).
En 1957, Skinner publicó el libro Conducta verbal, en el cual ofreció una interpretación del lenguaje usando principios conductuales establecidos en ambientes de laboratorio. En el epílogo del libro (pp. 456-460), Skinner afirmó que su trabajo sobre conducta verbal había comenzado 23 años antes de la publicación de Conducta verbal. La base empírica del libro fue primordialmente, el cuerpo de datos que Skinner (1938) reportó en el libro La conducta de los organismos. No obstante, la taxo nomía de la conducta verbal no se originó en el laboratorio, sino en observaciones de la conducta verbal en ambientes naturales (Catania, 1998). Años después de la publicación de Conducta verbal, al referirse sobre su análisis interpretativo del lenguaje, Skinner escribió “Estaba interpretando un área compleja, usando principios que habían sido verificados bajo condiciones más simples y controladas” (Skinner, 1979, p. 282). El análisis de la conducta verbal de Skinner fue, por lo tanto, un ejercicio interpretativo del lenguaje en términos de los principios del análisis de la conducta, no una extrapolación de resultados experimentales rigurosos.
Debido a que Skinner (1957) explicó el lenguaje en términos de sus relaciones funcionales con el medio ambiente, el libro Conducta verbal al momento de su publicación constituyó un análisis sobre el lenguaje que era susceptible de comprobación empírica (MacCorquodale, 1970). Es posible afirmar que, tras seis décadas de estudio sobre conducta verbal, el análisis de Skinner ha mostrado tener un gran valor debido a la consistencia de su interpretación, su conformidad con principios científicos, y debido a que ha generado una variedad de aplicaciones prácticas (véase Schlinger, 2008; Dymond, O’Hora, Whelan, & O’Donovan, 2006 para revisiones sobre el impacto del libro Conducta verbal). Una de las mayores virtudes del análisis de Skinner es que constituyó la base del diseño de tratamientos exitosos que actualmente se emplean para el establecimiento, el mantenimiento y la modificación del lenguaje. El análisis de Skinner sobre la conducta verbal ha sido aplicado en una variedad de áreas, incluyendo la adquisición del lenguaje (e.g., Carroll & Heese, 1987; Ingvarsson & Hollobaugh, 2011) el tratamiento de problemas de lenguaje (e.g., Schreibman & Carr 1978), el tratamiento de problemas conductuales mediante el establecimiento de repertorios verbales (e. g., Bowman, Fisher, Thompson, & Piazza, 1997; Carr & Durand, 1985) y en la educación escolar (e.g., Chase, Johnson, & Sulzer-Azaroff, 1985). Actualmente el área de mayor aplicación es en el establecimiento de operantes verbales y el tratamiento de problemas conductuales en personas diagnosticadas con autismo y otros problemas del desarrollo.
El primer propósito del presente trabajo es realizar una revisión general sobre el análisis de Skinner (1957) de la conducta verbal. El tutorial incluye aclaraciones y contribuciones de otros autores al trabajo original de Skinner y una descripción de procedimientos efectivos para el establecimiento y la modificación del lenguaje, los cuales se han usado de manera creciente durante los últimos años. El segundo propósito del trabajo es reportar un estudio de caso en el cual se emplearon los conceptos y los procedimientos del análisis de la conducta para restablecer operantes verbales en una persona diagnosticada con afasia de Broca. Con la descripción del estudio de caso, el presente trabajo intenta contribuir a la literatura mostrando la aplicabilidad del análisis de conducta verbal al tratamiento de los problemas del lenguaje comúnmente asociados con la afasia de Broca.
Skinner (1957) propuso que el lenguaje era conducta aprendida, la cual estaba bajo el control de las contingencias medioambientales. Analizó el lenguaje como conducta operante, la cual estaba bajo el control de los mismos principios y variables que controlan otras conductas operantes y que se habían estudiado principalmente en ambientes de laboratorio (e. g., el control de estímulos, el reforzamiento y la generalización). Skinner introdujo el término conducta verbal para distinguir su enfoque de otros puntos de vista, como el cognoscitivo y la lingüística tradicional.
A diferencia del término lenguaje, el término de conducta verbal dirige la atención al análisis de la conducta del habla y las condiciones medioambientales que establecen y mantienen la conducta. Skinner (1957) definió la conducta verbal como conducta que es reforzada a través de la mediación de otras personas. Esta otra persona, quien refuerza la conducta verbal del habla, es el escucha. Por ejemplo, la respuesta verbal del habla “dame agua” es reforzada mediante la conducta del escucha, quien le entrega el agua al habla. Conductas operantes tales como abrir la llave del agua o sacar una jarra con agua del refrigerador no pueden llamarse conductas verbales, porque ningún escucha necesita estar presente para reforzar la conducta (i. e., estas conductas tienen consecuencias directas).
La mediación de otras personas para el reforzamiento de la conducta del habla, es la única característica que distingue a la conducta verbal de otras conductas operantes. Podría argumentarse que esta precisión (i.e., que el reforzamiento es mediado por otras personas) no captura las diferencias entre la conducta verbal y otras conductas operantes que difícilmente se considerarían como conducta verbal (ver Parrott, 1986). Por ejemplo, en el caso en el que el experimentador entrega comida a una paloma cada vez que pica una tecla (i.e., el experimentador es el “media dor” del reforzamiento de la conducta de picar una tecla) no se aceptaría como un ejemplo de conducta verbal. No obstante, en anticipación a estos argumentos, Skinner (1957) añadió la estipulación de que la conducta del escucha ha sido específicamente condicionada para reforzar conductas verbales particulares del habla. Por definición, la conducta verbal requiere de la interacción social entre el habla y el escucha. Aquellas personas que escuchan y refuerzan la conducta verbal son miembros de la comunidad verbal del habla, y han adquirido repertorios conductuales específicos en presencia de estímulos verbales.
La definición de Skinner de la conducta verbal tiene dos principales implicaciones. La primera, es que la conducta verbal no es cualitativamente diferente de la conducta operante en general y por lo tanto, se puede analizar y explicar usando los principios bien establecidos en el análisis de la conducta. La segunda implicación es que Skinner enfatizó en las propiedades funcionales de la conducta verbal, las cuales se refieren a las causas (funciones) de la conducta en el medio ambiente. Como otras conductas operantes, la conducta verbal puede explicarse con base en sus consecuencias (e.g., el reforzamiento social) y el contexto en el que ocurre. El análisis de Skinner de la conducta verbal conforme a su función y no a su forma física implica que cualquier topografía de la conducta puede ser una conducta verbal. Por ejemplo, además de las vocalizaciones, cualquier forma de conducta como señalar objetos, hacer gestos, escribir, e incluso llorar, aplaudir o levantar los brazos pueden ser conductas verbales si operan indirectamente en el ambiente mediante la conducta del escucha.
El análisis funcional de Skinner de la conducta verbal difirió considerablemente de otros enfoques para estudiar el lenguaje. Por ejemplo, la lingüística tradicional se ha orientado al estudio de las propiedades formales (topografía) del lenguaje, analizando y clasificando su estructura conforme a las prácticas específicas de las comunidades verbales. Las propiedades formales del lenguaje pueden medirse, por ejemplo, en términos de los sonidos individuales del habla que constituyen una palabra (fonemas), de la organización de palabras y frases en las oraciones (sintaxis) o de la adherencia a convenciones establecidas de un determinado idioma (gramática). Si bien el estudio sobre la estructura del lenguaje tiene un mérito descriptivo, no provee de una explicación sobre las condiciones relevantes para la ocurrencia de la conducta verbal.
Además del análisis de Skinner, existen otras teorías que se elaboraron con el propósito de explicar las causas del lenguaje. Estas teorías pueden clasificarse conforme a dos puntos de vista generales: el biológico y el cognoscitivo (ver Sundberg, 2007; Sundberg, Ray, Braam, Stafford, Reuber, & Braam, 1979). Desde el punto de vista biológico, el lenguaje humano es innato y es primordialmente el resultado de procesos y funciones fisiológicas (i.e., las variables biológicas innatas son la causa de la conducta verbal). Por ejemplo, el lingüista Noam Chomsky (e.g., Chomsky, 1957) asumió la existencia de mecanismos innatos que organizan las palabras habladas y escritas. Conforme al punto de vista cognoscitivo, el lenguaje es un subproducto de los procesos mentales y está controlado por sistemas de procesamiento internos que aceptan, clasifican, codifican, decodifican y almacenan la información verbal. Desde este enfoque, los sistemas de procesamiento del lenguaje permiten entender los significados de las palabras y estructurar oraciones con significado (Sternberg & Sternberg, 2009). Por lo tanto, la idea subyacente del enfoque cognoscitivo es que la “comunicación” ocurre cuando un mensaje, idea o significado pasa de una persona a otra mediante un código (aludiendo a una metáfora computacional). Al proceso de entender los significados de las palabras se le nombró lenguaje receptivo, y al proceso de usar palabras y oraciones para comunicar mensajes a otros se le denominó lenguaje expresivo.
Las teorías que enfatizan las variables biológicas innatas como causa del lenguaje y aquellas que enfatizan las variables cognoscitivas frecuentemente se traslapan y es difícil distinguir una de otra (ver Sundberg, 2007). Un problema con las metáforas cognoscitivas como clasificación, codificación y almacenamiento es que se tratan de constructos hipotéticos que son inseparables de la conducta que se observa en primer lugar (personas “comunicándose”), no son manipulables experimentalmente y no pueden establecerse como causas de esa conducta. “El mensaje, la codificación y la decodificación son ficciones de algún mundo mental lejos de nuestro alcance por siempre” (Baum, 2005, p. 130).
En la mayoría de los enfoques que tradicionalmente han estudiado el lenguaje, se han minimizado las diferencias entre la conducta del habla y del escucha. Por ejemplo, conforme a los enfoques biológico y cognoscitivo, se ha enfatizado en el entendimiento del significado de las palabras. La conducta del habla y del escucha simplemente se caracteriza por la manifestación expresiva y receptiva, respectivamente, de este entendimiento del lenguaje. Por lo tanto, el lenguaje expresivo y receptivo se consideran como diferentes manifestaciones del mismo proceso cognoscitivo (ver Sundberg, 2007). Desde el punto de vista del análisis de la conducta, estos argumentos son problemáticos. En un episodio verbal, las conductas del habla y del escucha tienen diferentes funciones, esto es, tienen diferentes antecedentes y están mantenidos por diferentes consecuencias. Por ejemplo, en una interacción verbal, el habla dice “abre la ventana” y el escucha abre la ventana. Los antecedentes de la conducta del habla pueden ser una temperatura alta en el cuarto, y la presencia del escucha. La consecuencia en este ejemplo es el reforzamiento mediante la conducta del escucha (i.e., la ventana abierta). La conducta del habla tiende a ocurrir en el contexto en el que ha sido reforzada en el pasado. El antecedente de la conducta del escucha son los estímulos producidos por la conducta del habla. La conducta del escucha (i.e., abrir la ventana) está bajo el control de la conducta verbal del habla. La conducta del escucha ha tenido una historia de reforzamiento al emitir conductas específicas en presencia de los estímulos producidos por el habla (i.e., abrir una ventana cuando alguien dice “abre la ventana”).
La definición de Skinner (1957) de la conducta verbal como conducta que es reforzada a través de la mediación de otras personas, muestra que su análisis está centrado en la conducta del habla. Con base en el análisis de Skinner, sólo la conducta del habla es considerada como conducta verbal. No obstante, al considerar nuevamente la definición de Skinner, la conducta del escucha es crucial para el análisis de la conducta verbal. Como se revisará en la siguiente sección del presente trabajo, el escucha no sólo es el mediador del reforzamiento de la conducta del habla, sino que también provee los estímulos discriminativos que establecen la ocasión para que ocurra la conducta verbal. En otras palabras, el escucha constituye la audiencia de la conducta verbal. De acuerdo con Skinner “Una audiencia, por lo tanto, es un estímulo discriminativo en la presencia del cual la conducta verbal característicamente es reforzada y en presencia del cual, por lo tanto, es característicamente fuerte” (Skinner, 1957, p. 172).
Skinner (1957) identificó diferentes instancias de la conducta verbal, a las cuales llamó operantes verbales, las cuales se distinguen entre sí con base en sus antecedentes y en sus consecuencias específicos. Las operantes verbales, por lo tanto, básicamente constituyen categorías de respuestas verbales que se diferencian entre sí dependiendo del tipo de control funcional involucrado. En los capítulos 3-7 del libro Conducta verbal, Skinner identificó siete operantes verbales básicas: mando, tacto, ecoica (e imitación), intraverbal, textual, trascripción y copiar un texto. En las siguientes secciones del trabajo se explican y ejemplifican las siete operantes verbales básicas. La revisión de las operantes verbales se realizará empleando la descripción original de Skinner, pero la explicación de cada una de ellas también incluye aclaraciones y actualizaciones realizadas por otros autores (e.g., Catania, 1998, 2007; Michael, 1982a, 1982b, Sundberg, 2007; Sundberg & Michael, 2001).
Mandos
El mando es una operante verbal que está bajo el control de una variable motivacional y que es reforzada por un estímulo reforzante específico. Una variable motivacional es cualquier variable medioambiental que a) altera la efectividad de un estímulo como reforzador y b) altera la frecuencia de ocurrencia de la conducta relacionada con la obtención de ese estímulo (Laraway, Snycerski, Michael, & Poling, 2003; Michael, 1982a, 1993). Ejemplos de variables motivacionales son la privación de comida o de agua, aumentos o disminuciones de la temperatura, o la estimulación aversiva. Los mandos están bajo el control funcional de las variables motivacionales como condición antecedente y del reforzamiento específico como su consecuencia. Por ejemplo, la privación de comida aumenta el valor reforzante de la comida. Esta privación de comida es el antecedente de la emisión del mando (e.g., “dame sopa”) si esta operante verbal ha resultado en la entrega de sopa en el pasado (mediante la conducta del escucha). En este ejemplo, la privación de comida es la variable motivacional, y recibir la sopa es el reforzador característico, especificado por la respuesta. Los mandos también pueden especificar el escape o la evitación de la estimulación aversiva. Por ejemplo, el habla emite la operante verbal “baja el volumen” en presencia del estímulo aversivo (e.g., la música a un volumen muy alto). Este mando ha resultado en el reforzamiento mediante la eliminación o disminución del volumen de la música en el pasado mediante la conducta del escucha.
Algunos ejemplos comunes de los mandos son pedir cosas, dar órdenes ya sea hablando o escribiendo, hacer preguntas y pedir instrucciones para llegar a un lugar. No obstante, la topografía de la respuesta es insuficiente para identificar un mando (o cualquier otro tipo de operante verbal). Los mandos pueden tener variaciones topográficas. Por ejemplo, dada la historia de reforzamiento un niño puede emitir operantes como llorar, gritar, lanzar objetos o decir “ven”, en presencia de una variable motivacional que aumente el valor reforzante del contacto físico con su madre.
Tactos
El tacto es un tipo de operante verbal cuyo antecedente es un estímulo discriminativo (E.) no verbal. Skinner describió al tacto como una respuesta “evocada por un objeto particular o evento o propiedad de un objeto o evento” (Skinner, 1957, p. 82). Los E. no verbales pueden ser de cualquier modalidad sensorial (e.g., objetos, olores, ruidos). Los tactos están mantenidos por reforzadores sociales de la comunidad verbal (i. e., reforzadores condicionados generalizados). Ejemplos de estos reforzadores son “bien” y “sí”. Un ejemplo de un tacto es que en presencia de un perro (E. no verbal) o en presencia del ladrido del perro un niño dice “perro”, y su madre le dice “sí, un perro”. Un estímulo no verbal se convierte en E. mediante el entrenamiento en discriminación. Por ejemplo, en presencia del perro la operante “perro” produce reforzamiento diferencial. Asimismo, un tacto puede estar bajo el control de múltiples propiedades no verbales de los estímulos o eventos, por ejemplo al decir “un perro blanco está debajo de la mesa”.
Ejemplos comunes de formas de los tactos son la descripción o identificación de escenas y de objetos, la descripción de eventos privados (e.g., “me duele la cabeza”) y la descripción de la conducta propia y de otras personas. En breve, el tacto es una conducta verbal en la cual el habla nombra cosas y acciones con las cuales tiene contacto directo a través de todos los modos sensoriales (Sundberg, 2007). Esta definición captura la distinción entre la emisión de un tacto y otras conductas como el nombramiento (naming, e. g., Horne & Lowe, 1996) o recordar. Los tactos sólo se refieren a respuestas que ocurren en presencia o bien inmediatamente después del E. no verbal (Catania, 1998).
Extensiones del tacto. Una operante verbal puede ocurrir en un contexto novedoso sin entrenamiento específico. Esto es el principio de generalización. Por ejemplo, después de aprender a emitir el tacto “perro” en presencia de un perro blanco grande, un niño emite el tacto apropiado “perro” en presencia de un perro negro y pequeño. Skinner (1957) usó el término de extensiones verbales para referirse específicamente a la generalización de la conducta verbal y describió diferentes tipos de extensiones del tacto con base en el grado en el cual el estímulo novedoso comparte las características relevantes del estímulo original. Si bien la descripción de las diferentes extensiones del tacto se alejaría del carácter introductorio del presente tutorial, es necesario enfatizar que dado el principio de generalización, una gran variedad de estímulos discriminativos novedosos pueden establecer la ocasión para la ocurrencia de los tactos, sin un entrenamiento específico.
Ecoicas
La ecoica es la operante verbal en la cual un E. verbal sirve de antecedente para la emisión de una operante verbal. En breve, una ecoica ocurre cuando el habla repite la conducta verbal de otra persona. Por ejemplo, un niño emite la operante “mamá” cuando su madre dice “mamá”. Las ecoicas están mantenidas por reforzadores condicionados generalizados (e.g., los elogios y la atención social).
Las ecoicas tienen similitud formal y correspondencia punto por punto con el E. verbal (Michael, 1982b). La similitud formal se refiere a que el E. verbal y la respuesta verbal están en la misma modalidad sensorial (ambos son visuales, auditivas, táctiles, etc.) esto es, se parecen uno al otro en el sentido físico (Skinner, 1957). En el caso específico de las ecoicas, el E. y la respuesta verbal están en la modalidad auditiva (Michael, 1982b). La correspondencia punto por punto se refiere a que cada subdivisión del estímulo corresponde a cada subdivisión de la operante verbal (i. e., el principio, la mitad y el final del E. verbal son iguales al principio, la mitad y el final de la operante verbal). Catania (1998) enfatizó en que la correspondencia entre el E. y la operante verbal vocal estaba determinada mediante la correspondencia de los fonemas. “…si un loro duplica palabras emitidas por un humano no se considera como conducta ecoica, porque las duplicaciones son acústicas, no fonéticas” (Catania, 1998, p. 430).
El establecimiento de las ecoicas depende en parte del reforzamiento automático. Las vocalizaciones de los niños se establecen y se mantienen por los sonidos específicos de lo que dicen. Las articulaciones que producen sonidos similares a las vocalizaciones de los padres inicialmente pueden reforzarse automáticamente por la correspondencia entre las vocalizaciones del niño y las de los padres. Las vocalizaciones de los padres adquieren una función de reforzadores condicionados debido a su asociación con reforzadores ya establecidos como tales, como el contacto físico (e.g., Sundberg, Michael, Partington, & Sundberg, 1996).
Durante la adquisición del repertorio verbal, los niños aprenden a repetir palabras que dicen los demás, y duplicar los sonidos es esencial para aprender a identificar personas, objetos o acciones. Las ecoicas frecuentemente se usan en ambientes naturales como base para enseñar otras operantes verbales. Por ejemplo, si un niño repite palabra “silla” una vez que la maestra dice “silla”, es posible enseñarle al niño a decir “silla” en presencia de una silla. Eventualmente el niño dirá “silla” al ver una silla, y en ausencia del E. verbal de la maestra. En este ejemplo, la ecoica se usó como base para el entrenamiento de un tacto: el control de la conducta se transfirió del E. verbal de la maestra al E. no verbal (i.e., la silla).
Las ecoicas continúan siendo útiles a lo largo de la vida de las personas. Sundberg (1990) ejemplificó la utilidad de las ecoicas al intentar contestar preguntas difíciles que requieren una respuesta inmediata. Por ejemplo, ante la pregunta de un profesor: “¿Cuáles son las leyes del movimiento?” el estudiante repite “¿Cuáles son las leyes del movimiento?” En este caso la respuesta ecoica permite “ganar un poco de tiempo para formular la respuesta apropiada” (Sundberg, 1990, p. 32). Las respuestas ecoicas también son útiles para el seguimiento de instrucciones. Por ejemplo, repetir ecoicamente una dirección resulta en llegar al lugar correcto.
El repertorio duplicado. Michael (1982b) clasificó a las ecoicas como una instancia de lo que llamó el repertorio duplicado. Las operantes verbales que pertenecen a este repertorio tienen similitud formal y correspondencia punto por punto con los estímulos antecedentes. Además de las ecoicas, que son las operantes verbales en una modalidad auditiva, el repertorio duplicado también lo conforman la imitación y copiar un texto escrito. La imitación, también llamada relación mimética (Vargas, 1986) se refiere a la imitación motora. Uno de los ejemplos más importantes de la relación mimética en la conducta verbal es cuando una seña (E.) establece la ocasión para que una persona haga la misma seña. El entrenamiento de la imitación motora es esencial para entrenar el lenguaje de señas en personas sordomudas (e.g., Ganz, Simpson, & Corbin-Newsome, 2008). Skinner (1957) analizó copiar un texto escrito como un tipo de conducta verbal en el que el estímulo verbal escrito también tiene correspondencia punto por punto y similitud formal con una respuesta verbal escrita.
Intraverbales
Una intraverbal ocurre cuando un E. verbal establece la ocasión para que ocurra una operante verbal que no tiene correspondencia punto por punto con el E.. Esto es, el E. verbal y la respuesta no son iguales una a la otra, como en el caso de las ecoicas. La relación entre el evento antecedente y la respuesta es una relación arbitraria establecida por la comunidad verbal (Catania, 1998). Por ejemplo, ante el E. verbal “nombra tres animales” ocurre la operante “perro, gato y león”. Las consecuencias de las intraverbales involucran el reforzamiento condicionado generalizado. El repertorio de intraverbales permite al habla contestar preguntas y hablar acerca de objetos que no están físicamente presentes y mantener conversaciones efectivas con los miembros de la comunidad verbal (Sundberg, 2007).
La respuesta intraverbal involucra el encadenamiento; las partes sucesivas de la conducta del habla funcionan como estímulos discriminativos para la siguiente parte de la cadena conductual. Por ejemplo, el E. verbal “recita el alfabeto” establece la ocasión para que el habla emita la intraverbal “A B C D…” (Catania, 1998). Durante los primeros años de educación de las personas, se enseña una gran variedad de conductas intraverbales, como las tablas de multiplicar, recitar poemas, cantar canciones y completar dichos. Posteriormente, el repertorio intraverbal forma una parte esencial de la educación superior. Cuando una persona le pregunta al habla acerca de nombres, hechos, eventos o fechas, el habla aprende a responder diferencialmente a estas preguntas. Las conversaciones entre las personas generalmente involucran la conducta intraverbal. Cuando una persona hace una pregunta, o bien nombra un objeto, hecho o evento, el interlocutor comúnmente responde con una intraverbal. Durante la historia de reforzamiento de las personas, un estímulo particular adquiere el control de una gran variedad de respuestas intraverbales.
Conducta textual
La conducta textual se refiere a leer. Por ejemplo, decir “reloj” en presencia de la palabra escrita “RELOJ” es una conducta textual. Skinner (1957) especificó que este análisis no implica que el lector comprenda lo que está leyendo. El análisis de la comprensión lectora involucra otras conductas verbales y no verbales, como las intraverbales y el seguimiento de instrucciones. La conducta textual tiene correspondencia punto por punto entre el E. y la respuesta verbal, pero no existe similitud formal, ya que el E. que controla la conducta no está en la misma modalidad sensorial ni se parece físicamente a la respuesta verbal. Específicamente, el producto de la conducta textual, (e.g., los sonidos de la palabra “reloj”) no es similar al E. que establece la ocasión para que ocurra la respuesta (e.g., la palabra impresa “RELOJ”). En otras palabras, las letras no tienen sonidos y los estímulos auditivos no tienen forma (Catania, 1998). La conducta textual está mantenida por reforzadores condicionados generalizados. La ausencia de similitud formal entre el E. y la respuesta verbal es una diferencia crucial entre la conducta textual y las ecoicas. La conducta textual debe de distinguirse de otras respuestas que ocurren en presencia de estímulos verbales escritos. Por ejemplo, en presencia de la palabra “ALTO” leer la palabra en voz alta es una conducta textual, pero detenerse no lo es (Catania, 1998).
Transcripción
Skinner (1957) analizó la transcripción como deletrear y escribir palabras habladas (i.e., tomar dictado). La transcripción es una conducta verbal en la cual un estímulo verbal hablado controla una respuesta escrita, tecleada o deletreada con las manos (Sundberg, 2007). Al igual que en el caso de las conductas textuales, existe correspondencia punto por punto entre el estímulo y la respuesta, pero no existe similitud formal.
El repertorio codificado (Codic Repertoire). Michael (1982b) incluyó a la conducta textual y a la transcripción en la categoría que llamó repertorio codificado (codic repertoire). El repertorio codificado se refiere a conducta verbal que 1) está controlada por un E. verbal, 2) existe correspondencia punto por punto entre el E. verbal y la respuesta, pero no existe similitud formal entre ambos. La ventaja de esta categoría es que puede incluir formas de conducta verbal que no habían sido clasificables previamente. Ejemplos de conductas verbales que pertenecen a esta categoría son tomar dictado (i.e., escribir palabras que alguien más dice), leer en Braille, y deletrear palabras dichas por otra persona.
Las operantes verbales que se describieron en las secciones anteriores están definidas conforme a sus antecedentes y sus consecuencias específicos. Sólo cuando los antecedentes y las consecuencias específicos están presentes, se les llama operantes verbales “puras” (Skinner, 1957). Las operantes verbales pueden o no ocurrir en su forma pura en situaciones cotidianas. Por ejemplo, si una profesora le enseña a un niño el dibujo de una manzana y pregunta “¿Qué es esta fruta?” el estudiante responde “una manzana” y la profesora le contesta “bien”. En este ejemplo, la operante verbal es impura debido a que está bajo el control del dibujo (E. no verbal) y de la pregunta de la profesora “¿Qué es esta fruta?”. Por lo tanto, no es un tacto puro ni una intraverbal pura; se trata de una instancia del control múltiple de la operante verbal. A pesar de que en situaciones cotidianas las operantes verbales no siempre son puras, la taxonomía de Skinner ha proveído a los analistas de la conducta una herramienta analítica para la evaluación, establecimiento, modificación y medición de la conducta verbal.
Si bien el análisis de Skinner de las diferentes operantes verbales está basado en las condiciones medioambientales bajo las cuales ocurren, es necesario enfatizar que un aspecto esencial de la conducta verbal es la forma de la respuesta (ver Skinner, 1957; Sundberg, 1990; Vargas, 2013). Las topografías específicas de las operantes verbales son cruciales para las interacciones verbales entre las personas. Por ejemplo, si el juguete de un niño está fuera de su alcance y el niño no produce la forma correcta de la conducta (e.g., el nombre del juguete) el escucha (e.g., padres o maestros) difícilmente le daría acceso al juguete. Es común que la ausencia de reforzamiento lleve a conductas inapropiadas, por ejemplo, gritos o berrinches. Si la forma de la conducta verbal no se adhiere a las convenciones de la comunidad del habla, los escuchas no podrán responder efectivamente. En resumen, los puntos de vista funcionales y estructurales del lenguaje son complementarios, no incompatibles (Catania, 2007). Otro aspecto que muestra el papel central de la forma de la conducta verbal es que las operantes verbales no pueden nombrarse o medirse sin especificar su forma. Por ejemplo, al establecer repertorios verbales, el terapeuta define, registra y mide el porcentaje de operantes verbales emitidas correctamente en términos de su topografía.
Una de las principales implicaciones del análisis funcional de la conducta verbal es que cada operante debe de considerarse como un producto separado e independiente, con base en las variables medioambientales que controlan su ocurrencia (Skinner, 1957). En otras palabras, cada una de las operantes verbales son funcionalmente independientes unas de otras. Por ejemplo, decir “sopa” cuando una persona ve un plato de sopa (i.e., un tacto) es independiente de que pueda decir “sopa” cuando no ha comido durante algún tiempo y esté pidiendo sopa (i. e., mando). Esta interpretación de la independencia de las operantes verbales difiere de otros puntos de vista, como el de la lingüística tradicional. Conforme a este punto de vista, se analiza al lenguaje conforme al significado de las palabras y su estructura formal, y se asume que una persona que adquiera el significado de una palabra empleará la palabra en una variedad de contextos (ver Sautter & LeBlanc, 2006; Skinner, 1957).
Las aplicaciones del análisis de la conducta verbal de Skinner no ocurrieron de manera inmediata a la publicación del libro Conducta verbal. La propuesta de Skinner (1957) de entender el lenguaje humano en términos de los principios de la conducta operante y la susceptibilidad de la comprobación empírica de su análisis interpretativo del lenguaje sugirió un tema novedoso para la investigación. No obstante, durante aproximadamente los 25 años que siguieron a la publicación del libro Conducta verbal hubo pocas investigaciones sobre el análisis experimental de la conducta verbal (Michael, 1984). Skinner (1979) afirmó que eventualmente se comprobaría que su libro Conducta Verbal constituiría su obra más importante. Es notable que Skinner haya hecho esta afirmación aproximadamente 21 años después de la publicación del libro Conducta verbal, ya que muestra que el impacto del libro durante las primeras dos décadas no era lo que Skinner anticipaba (Sundberg, 2007).
McPherson, Bonem, Green, y Osborne (1984) realizaron el primer índice de citas del libro Conducta verbal. Reportaron que entre 1957 y 1983 hubo un total de 836 citas al libro, incluyendo artículos de revistas y libros sobre psicología y otras disciplinas. Sólo el 3.7% de estas citas correspondían a artículos empíricos en revistas científicas y sólo el 2.3% de las citas correspondían a estudios directamente pertinentes al análisis de la conducta verbal de Skinner (1957).
La conocida revisión negativa del lingüista Noam Chomsky (1959) sobre Conducta verbal comúnmente se cita como una razón crucial para el rechazo inicial del libro. Chomsky publicó su propio análisis del lenguaje en la revista Language (Chomsky, 1957) en el mismo año que se publicó Conducta verbal y básicamente criticó y refutó todos los aspectos del libro de Skinner. No obstante, la revisión de Chomsky constituyó esencialmente una crítica a la filosofía del conductismo en general. Por ejemplo, Chomsky caracterizó el análisis de Skinner como superficial porque no incluía procesos internos, como “la estructura interna del organismo, las formas en las que procesa la información entrante y organiza su propia conducta” (Chomsky, 1959, p. 49). La revisión de Chomsky contiene errores graves de interpretación sobre el análisis de la conducta verbal de Skinner, y sobre el conductismo radical en general (Catania, 1972; MacCorquodale, 1970). Dados estos errores de interpretación, los malentendidos de los principios del análisis de la conducta y al hecho de que la crítica provenía de un enfoque históricamente antagonista al análisis de la conducta, varios investigadores consideran que el efecto de la revisión de Chomsky sobre el lento impacto que tuvo el libro de Skinner fue sobreestimado (Michael, 1984; Schlinger, 2008).
Varios autores han sugerido explicaciones entre los analistas de la conducta sobre la falta del impacto del libro de Skinner durante las primeras décadas que siguieron a su publicación. Por ejemplo, Salzinger (1978) enfatizó en el carácter especulativo del análisis de Skinner, y sobre todo, en el hecho de que el libro no contenía datos. Vargas (1986) afirmó que parte del problema era que los profesores universitarios raramente incluían los contenidos de Conducta verbal en sus clases, ya que el libro era difícil de entender. Michael (1984) explicó que otra parte del problema era que los investigadores básicos en las décadas de 1950 y 1960, quienes en principio hubiesen podido apreciar el análisis de Skinner dado su entrenamiento, ya habían adoptado los métodos de la época (e.g., el registro automático de los datos y la tasa de respuesta como la variable dependiente). Los investigadores estaban comprometidos con la idea del análisis de la conducta como una ciencia basada en los datos y no fueron de su interés las extensiones especulativas a la conducta humana. De hecho, el análisis conductual aplicado, fundado formalmente en 1968, “también tenía un énfasis en los datos como la única base válida de procedimiento… y desde esta perspectiva Conducta verbal no parecía ser particularmente útil” (Michael, 1984, p. 369).
Después de la década de 1980, el libro Conducta verbal comenzó a tener impacto. Por ejemplo, Sautter y LeBlanc (2006) reportaron una revisión de las aplicaciones empíricas del análisis de Skinner de 1989 a 2004. Los autores encontraron que los estudios empíricos se triplicaron durante la década de 1990 y los primeros años de la década del 2000. Otros análisis recientes muestran que el número de artículos empíricos en los últimos años ha tenido una tendencia creciente (e.g., Petursdottir & Devine, 2017).
El análisis de la conducta verbal como conducta aprendida que involucra la interacción social entre el habla y el escucha proveyó a los terapeutas e investigadores una forma para organizar la evaluación del lenguaje y para el diseño e implementación de intervenciones efectivas para la modificación de repertorios verbales. La implicación crucial del análisis de Skinner (1957) en términos de método es que la evaluación de la conducta verbal no sólo incluye la descripción de la conducta en sí misma, sino también los detalles de sus antecedentes y consecuencias. De esta forma es posible determinar por qué existe un déficit en las operantes verbales, y la estrategia apropiada para mejorar la conducta verbal. Con base en esta lógica general, se han desarrollado tratamientos específicos para el establecimiento y la modificación de la conducta verbal en una gran variedad de áreas de la conducta humana. El área de mayor aplicación del análisis de Skinner es en el desarrollo de programas de intervención para niños diagnosticados con autismo y otros problemas del desarrollo. En la siguiente sección del trabajo se describen los procedimientos comunes para el establecimiento y la modificación de la conducta verbal desarrollados principalmente en esta área de aplicación.
Debido a la independencia de las operantes verbales, la lógica general empleada en los procedimientos para establecer o modificar la conducta verbal es tratar cada operante verbal por separado. En los tratamientos usados en el análisis conductual aplicado, comúnmente se establece o modifica cada una de las operantes verbales básicas y posteriormente se usan como base para establecer o modificar repertorios verbales complejos. A continuación se describen los procedimientos frecuentemente empleados para el establecimiento y modificación de cada una de las siguientes operantes verbales básicas: los mandos, las ecoicas, los tactos y las intraverbales.
Establecimiento de los mandos
Los mandos son las primeras operantes verbales adquiridas por los niños (Bijou & Baer, 1965). Por ejemplo, el llanto puede ser un mando mantenido por la entrega de comida, agua, el contacto físico o bien por la eliminación de la estimulación aversiva. Posteriormente, comienzan a ocurrir los mandos con topografías específicas (e.g., decir “leche”, “comida”, “agua” o “mamá”). Si los mandos no se establecen apropiadamente una variedad de problemas conductuales pueden ocurrir y cumplir con una función de mando. Ejemplos comunes de conductas problema que adquieren una función de mando son los berrinches, la conducta de autolesión o conductas de agresión (Sundberg, 2007). La primera parte de las intervenciones con niños que no emiten conducta verbal se enfoca en el establecimiento de los mandos apropiados.
Conforme al análisis de Skinner (1957) los mandos son operantes verbales que especifican el reforzador. Por lo tanto, una característica de los mandos es que su ocurrencia depende de variables motivacionales relevantes. La evidencia empírica de este análisis incluye que los mandos en niños diagnosticados con autismo sólo pueden establecerse si las variables motivacionales son incorporadas en las intervenciones (e.g., Sundberg, Loeb, Hale, & Eigenheer, 2002). El procedimiento comúnmente empleado para el establecimiento de los mandos incluye a) manipulación de una variable motivacional b) el uso de la ayuda (prompts), c) desvanecimiento de la ayuda y d) el reforzamiento diferencial (LaFrance & Miguel, 2014; Sundberg & Partington, 1998; Sundberg et al., 2002). A continuación se describe cada una de las partes de este procedimiento.
a) Manipulación de la variable motivacional. En la mayor parte de las intervenciones para el establecimiento de los mandos se manipuló directamente la variable motivacional específica (ver LaFrance & Miguel, 2014 para una revisión). Una forma para manipular la variable motivacional es la privación del estímulo que se usará como reforzador. Por ejemplo, en algunas intervenciones los participantes no tenían acceso a los estímulos empleados como reforzadores 23 horas antes de la sesión de establecimiento de mandos (e.g., Hartman & Klatt, 2005). Una segunda forma para manipular la variable motivacional es emplear condiciones antecedentes que son estructuradas por el terapeuta durante la sesión (i.e., contrived motivating operations;e.g., Sundberg & Partington, 1998). Por ejemplo, el terapeuta puede establecer una variable motivacional colocando objetos preferidos por los participantes de tal manera que los pueden ver, pero están fuera de su alcance (e.g., dentro de un contenedor transparente que no pueden abrir ellos solos). Otra estrategia es permitir el acceso a estímulos que potencialmente funcionen como reforzadores y después bloquear el acceso a ellos (e.g., Sundberg et al., 2002). Estas variables motivacionales implementadas por el terapeuta conforman oportunidades para que los participantes emitan los mandos, y la operante verbal es reforzada permitiendo el acceso al objeto que inicialmente estaba fuera de su alcance.
Hall y Sundberg (1987) describieron un procedimiento para implementar variables motivacionales llamado procedimiento de cadena interrumpida. Este procedimiento está basado en el hecho de que cuando un estímulo es necesario para completar una cadena conductual, la ausencia temporal de ese estímulo resultará en que éste adquiera valor reforzante (ver Michael, 2000 para una descripción extensa sobre las variables motivacionales condicionadas). Hall y Sundberg establecieron mandos en dos jóvenes sordos diagnosticados con retraso en el desarrollo. Primero, entrenaron cadenas de respuestas (e.g., servir fruta, hacer sopa, hacer café o comprar artículos de una máquina expendedora). Por ejemplo, enseñaron a un participante a abrir una lata de fruta, vaciar el contenido en un plato y a comerlo con una cuchara. Posteriormente, bloquearon el acceso al reforzador terminal (e.g., la fruta) quitando uno de los objetos necesarios para completar la cadena (e.g., la cuchara). Los terapeutas reforzaron la respuesta verbal del participante que especificaba el objeto faltante (e.g., “cuchara”). Hall y Sundberg mostraron cómo el procedimiento de cadena interrumpida puede ser usado para dotar momentáneamente de valor reforzante a objetos que inicialmente no servían como reforzadores, extendiendo el repertorio de mandos de todos los participantes. El procedimiento de cadena interrumpida ha sido estudiado de manera extensa y ha sido replicado exitosamente para establecer una variedad de mandos, incluyendo pedir objetos (e.g., Sundberg et al., 2002; Ziomec & Rehfeldt, 2008) o bien pedir información (Lechago et al., 2010).
b) Ayuda (prompts) y c) desvanecimiento de la ayuda. La ayuda se refiere a
estímulos suplementarios a los eventos antecedentes, los cuales aumentan la probabilidad de que ocurra una respuesta blanco (Malott, Malott, & Trojan, 2013). Cuando se entrenan mandos usando una respuesta vocal, se emplea la ayuda vocal (por ejemplo, el terapeuta dice la palabra “jugo”). Una vez que el participante dice “jugo” o una primera aproximación establecida por el terapeuta, se refuerza la operante verbal dándole al participante acceso al jugo. Para establecer mandos funcionales de manera efectiva, la respuesta verbal del participante tiene que ocurrir en presencia de la variable motivacional (e.g., después de algún tiempo de restricción al jugo), y ante la presencia del reforzador específico (e.g., el vaso con jugo). Funcionalmente, debido a la presencia de la ayuda, la operante verbal que emiten los participantes en este punto del procedimiento es una ecoica (el terapeuta dice “jugo” y el niño repite la palabra “jugo”) Por lo tanto, el siguiente paso es mantener las condiciones constantes y desvanecer la ayuda para que la respuesta (e.g., “jugo”) esté bajo el control de la variable motivacional. Por ejemplo, el terapeuta puede inicialmente decir “jugo”, posteriormente decir “ju”, después decir “j” y finalmente omitir la ayuda.
d) Reforzamiento diferencial. Muchas intervenciones para el establecimiento de mandos incluyen el reforzamiento diferencial. Por ejemplo, Bourret, Vollmer y Rapp (2004) establecieron mandos en niños diagnosticados con autismo o con retraso en el desarrollo. Los terapeutas moldearon las respuestas vocales usando la ayuda (e.g., “si quieres esto di radio”) y reforzaron inicialmente la emisión de fonemas simples (e.g., “ra”) permitiendo al acceso a un objeto clasificado como favorito mediante una prueba de preferencias (e.g., un radio). Eventualmente, la vocalización de fonemas simples ya no resultaba en la entrega del reforzador y sólo reforzaron la vocalización de palabras completas. Al incorporar el reforzamiento diferencial en el procedimiento, los autores lograron que los participantes emitieran una gran variedad de mandos que consistían en pedir diversos objetos.
Entrenamiento de comunicación funcional. El entrenamiento de comunicación funcional (ECF) es una de las intervenciones más empleadas en el análisis conductual aplicado para el tratamiento de conductas problema en personas diagnosticadas con autismo y retraso en el desarrollo. El ECF es un procedimiento específico de reforzamiento diferencial de conducta alterna, en el cual se establece y se mantiene mediante el reforzamiento positivo una conducta apropiada y se extingue la conducta problema (Carr & Durand, 1985). La característica del ECF que lo distingue de otros procedimientos de reforzamiento diferencial es que la respuesta entrenada (i. e., respuesta alterna a la conducta problema) es una respuesta de comunicación, particularmente un mando. El objetivo del procedimiento es que un mando apropiado adquiera la función que originalmente tenía la conducta problema. El mando debe de tener como antecedente la misma variable motivacional que históricamente tenía la conducta problema. Los mandos entrenados pueden tener diversas topografías, por ejemplo, vocalizaciones, señas, gestos, señalar tarjetas con letras o dibujos o emitir sonidos o palabras mediante aparatos electrónicos (ver Tiger, Hanley, & Buzek, 2008 para una revisión).
Carr y Durand (1985) describieron inicialmente el ECF como tratamiento para niños diagnosticados con retraso en el desarrollo. Los participantes eran cuatro niños que emitían conductas de agresión, berrinches y conductas de autolesión. Los autores encontraron que los eventos antecedentes las conductas problema eran las demandas para realizar tareas con un alto grado de dificultad o bien que los niños recibían poca atención de los adultos. La función que tenían las conductas problema era el escape de las tareas (mediante la ayuda de los adultos) o la atención. Carr y Durand entrenaron los mandos “No entiendo” o “¿Estoy haciendo un buen trabajo?” y reforzaron estos mandos ayudándoles en sus tareas o interactuando con los participantes (atención) y suspendieron las consecuencias para las conductas problema. El ECF resultó en una disminución sustancial de las conductas problema para todos los niños. El ECF se ha usado de manera exitosa para tratar una variedad de conductas problema, como conductas de autolesión, conductas de agresión, estereotipia, conducta sexual inapropiada, vocalizaciones extrañas, y conductas de comunicación inadecuadas. En general, el ECF resulta en una disminución rápida clínicamente significativa de las conductas problema (ver Tiger et al., 2008).
Establecimiento de las ecoicas
Cuando ocurre la adquisición del lenguaje en niños pequeños, repetir las palabras que dicen los miembros de su comunidad verbal juega un papel importante para la interacción social y para el desarrollo de otras operantes verbales. En el caso de personas con problemas del lenguaje, la razón más importante para el establecimiento de las ecoicas es que pueden servir como base para el establecimiento de otras operantes verbales y por lo tanto de un repertorio verbal complejo (Sundberg, 2007). Un procedimiento simple para el establecimiento de las ecoicas es el entrenamiento directo de ecoicas, en el cual el terapeuta presenta un estímulo vocal y se refuerzan diferencialmente las aproximaciones sucesivas a la conducta blanco (i.e., a la topografía apropiada de la conducta verbal). Debido a que en ambientes naturales las ecoicas generalmente están mantenidas por reforzadores sociales de la comunidad verbal (i. e., reforzadores condicionados generalizados), durante el entrenamiento se pueden reforzar las ecoicas inicialmente mediante elogios y el contacto físico, por ejemplo, tocar la mano del participante y decirle “¡Muy bien!” Posteriormente, se pueden mantener las ecoicas diciendo únicamente “bien” o “si” para acercarse a las contingencias naturales que mantienen las ecoicas. No obstante, en ocasiones los elogios o el contacto físico no funcionan como reforzadores, e incluso pueden funcionar como eventos aversivos, como comúnmente es el caso con las personas diagnosticadas con autismo. Para estos casos, el entrenamiento de los mandos se usa como punto de partida para el establecimiento de las ecoicas (e.g., Drash, High, & Tudor, 1999).
El entrenamiento de los mandos se realiza comúnmente conforme al procedimiento descrito en la sección anterior del presente trabajo, esto es, a) manipulación de una variable motivacional b) la ayuda c) desvanecimiento de la ayuda y d) el reforzamiento diferencial. Una vez que el participante emite un mando, en el mismo contexto de la emisión de los mandos se usa un procedimiento de transferencia de control de estímulos para la emisión de ecoicas. En otras palabras, las ecoicas se entrenan inicialmente como un mando en presencia de una variable motivacional y de un reforzador específico y finalmente quedan bajo el control de un E. verbal (ecóica). Por ejemplo, después de la restricción de tomar jugo (i. e., la variable motivacional), el participante dice “jugo” y el terapeuta le da acceso al jugo. Una vez que ocurre este mando, el terapeuta puede intercalar ensayos en los cuales dice “jugo”. Si el participante dice “jugo” o una aproximación aceptable, esta operante verbal es reforzada tanto por el acceso al jugo como por un elogio moderado del terapeuta (e.g., “bien”). Posteriormente, tanto el reforzador específico (el jugo) como la variable motivacional (la restricción del jugo) se van disminuyendo gradualmente, hasta que la operante verbal queda bajo el control funcional del E. verbal y del reforzamiento social. Es importante destacar que una virtud de este procedimiento es que el reforzamiento social adquiere valor reforzante debido a su asociación con un reforzador ya establecido. Una gran variedad de conductas socialmente importantes están mantenidas por reforzadores sociales, por lo que establecer el reforzamiento social como reforzador condicionado es una ganancia adicional al establecimiento de las ecoicas. En las primeras etapas del establecimiento de operantes verbales, es recomendable combinar el entrenamiento en mandos y ecoicas (Ingvarsson, 2016; LaFrance & Miguel, 2014). Generalmente el entrenamiento de mandos y ecoicas se realiza antes de establecer el resto de las operantes verbales.
Establecimiento de tactos
El primer objetivo de los procedimientos de establecimiento de tactos es que una respuesta verbal esté bajo el control de un E. no verbal, de tal forma que los participantes puedan nombrar objetos, propiedades de los objetos, acciones o eventos privados. Un repertorio sólido de tactos, por lo tanto, debe de ocurrir bajo un control de estímulos apropiado. El segundo objetivo es que las operantes verbales se mantengan por el reforzamiento condicionado generalizado.
En varias investigaciones se mostró que el entrenamiento de mandos facilita el establecimiento de los tactos (e. g., Carroll & Hesse, 1987; LaMarre & Holland, 1985). El procedimiento es similar al procedimiento de entrenamiento de ecoicas que se describió en la sección anterior: se entrenan los tactos en presencia de la variable motivacional, el reforzador específico y se emplea la ayuda verbal. Por ejemplo, Carroll y Heese (1987) alternaron entre el entrenamiento de mandos y el entrenamiento de tactos en un estudio con niños entre tres y cuatro años de edad. Durante el entrenamiento de mandos, pedir un juguete (e.g., “Dame la grúa”) resultaba en acceso al juguete. Durante el entrenamiento de tactos, los autores usaron ayuda verbal (e.g., “Esta es una grúa. ¿Qué es esto?”) y les mostraron el juguete a los niños (E. no verbal). Cuando los participantes nombraron el juguete (“grúa”) reforzaron la operante diciendo “buen trabajo”. Los autores desvanecieron la ayuda a través de ensayos consecutivos. Se ha mostrado que este procedimiento es efectivo para la adquisición de repertorios de tactos relativamente complejos en participantes con una variedad de características, incluyendo personas diagnosticadas con autismo que no emiten conducta verbal (Sundberg & Michael, 2001).
En las investigaciones con personas diagnosticadas con autismo, frecuentemente se ha observado un control de estímulos sumamente restringido, el cual es indeseable. Por ejemplo, el participante puede aprender a nombrar un auto dibujado en una tarjeta, pero puede estar atendiendo a un aspecto irrelevante del dibujo. Una vez que se le muestran otros ejemplos del dibujo (e.g., otros autos) el tacto no ocurre porque puede no estar presente el aspecto que observó en primer lugar. A este control de estímulos restringido también se le ha llamado sobreselectividad del estímulo (Lovaas, Koegel, & Schreibman, 1979). El terapeuta puede reducir la ocurrencia de la sobreselectividad del estímulo y aumentar la probabilidad de un apropiado control de estímulos mostrando al participante múltiples ejemplares del estímulo en ensayos consecutivos (Ingvarsson, 2016).
Establecimiento de intraverbales
Las intraverbales están controladas por estímulos verbales antecedentes que no tienen correspondencia punto por punto con la operante verbal. Los analistas conductuales aplicados han observado que muchas personas diagnosticadas con retraso en el desarrollo y que tienen problemas del lenguaje comúnmente pueden emitir una variedad de mandos, tactos o ecoicas, pero el repertorio de intraverbales es inexistente o limitado (Partington & Bailey, 1993; Sundberg, 1990, 2007; Sundberg & Michael, 2001). La conducta en ambientes académicos y la conducta social en general se basan en gran medida en los repertorios de intraverbales.
El entrenamiento formal de intraverbales en personas con problemas del lenguaje debe de iniciarse una vez que se han establecido los repertorios de mandos, tactos y ecoicas (Ingvarsson and Hollobaugh 2010; Sundberg & Partington, 1998). El entrenamiento de intraverbales se inicia con relaciones muy simples, por ejemplo, aquellas basadas en la información personal de los participantes, en el contenido de canciones populares o en las actividades de su preferencia (Sundberg, 2007). Por ejemplo, el terapeuta puede decir “tu nombre es…” o “agua que no has de beber…” y reforzar diferencialmente cuando el participante completa estas oraciones.
Como se mencionó en las secciones previas del presente trabajo, la presencia de las variables motivacionales y los reforzadores específicos facilitan la adquisición de nuevos repertorios de operantes verbales. Un procedimiento efectivo es entrenar las intraverbales en presencia de dos antecedentes: una variable motivacional y un E. verbal, y reforzar la operante verbal con dos consecuencias: el reforzador específico y el reforzador condicionado generalizado (e.g., “muy bien”). Por ejemplo, después de restringir el acceso a un juguete en particular, el terapeuta dice “Yo juego con una ____” y muestra una pelota al participante para establecer la ocasión de la respuesta verbal “pelota”. Si el participante dice “pelota” le da acceso a la pelota y concurrentemente emplea reforzamiento condicionado generalizado (e.g., “muy bien, es una pelota”). Posteriormente, el entrenamiento de la intraverbal debe involucrar la transferencia del control de la variable motivacional y el E. no verbal al E. verbal, el cual establecerá la ocasión para que ocurra la operante verbal (e.g., “pelota”). El terapeuta luego refuerza la operante verbal únicamente con reforzadores condicionados generalizados, comienza a usar un dibujo de un objeto y no el objeto (e.g., dibujo de una pelota) y finalmente desvanece la ayuda visual. El entrenamiento en intraverbales después se extiende para lograr que el repertorio tenga un mayor contenido y variedad.
Se han investigado diferentes tipos de ayuda que aumentan la probabilidad de que ocurra la respuesta intraverbal. Por ejemplo, para los participantes que pueden emitir operantes textuales (i.e., leer), la ayuda puede consistir en presentar una tarjeta con la respuesta apropiada impresa a una pregunta (e.g., Sarakoff, Taylor, & Poulson, 2001). Un segundo ejemplo de ayuda es mostrar estímulos visuales al participante después de hacerle una pregunta (Goldsmith, LeBlanc, & Sautter, 2007).
Conclusión sobre los procedimientos para el establecimiento de operantes verbales
En las secciones previas de este trabajo, se describieron los procedimientos más comunes para el establecimiento de las operantes verbales básicas, los cuales se desarrollaron principalmente con participantes diagnosticados con autismo y otros problemas en el desarrollo. Las intervenciones basadas en el análisis de la conducta verbal de Skinner en personas diagnosticadas con autismo han constituido el área más prolífica de aplicación (Ingvarsson, 2016; Johnson, Kohler, & Ross, 2016). De hecho, el lenguaje deficiente es una característica definitoria para el diagnóstico del autismo y para algunos niños los repertorios verbales pueden ser inexistentes a través del tiempo sin una intervención efectiva. Otros problemas conductuales comúnmente observados son la ecolalia (repetir persistentemente las frases dichas por otros) y repertorios verbales no funcionales en términos de la interacción con otras personas. Además del establecimiento de repertorios verbales, en el análisis conductual aplicado se han reportado una variedad de procedimientos efectivos para el entrenamiento de otros componentes de la conducta verbal, como la construcción de oraciones complejas, la interacción entre pares, la lectura, la escritura y el entrenamiento en habilidades de conversación y procedimientos para la ocurrencia de repertorios verbales novedosos (e.g., Sundberg & Partington, 1998). Al igual que el entrenamiento de cualquier otra conducta, también se han descrito estrategias efectivas para la generalización de las operantes verbales en una variedad de contextos y para lograr que las operantes verbales duren a través del tiempo (ver Durand & Carr, 1991; Hagopian, Boelter, & Jarmolowicz, 2011; Hanley, Iwata, & Thompson, 2001, Ziomek & Rehfeldt, 2008 para consultar técnicas específicas de generalización de operantes verbales).
En conclusión, el análisis de Skinner (1957) sobre la conducta verbal, los principios y la tecnología del análisis de la conducta han sido de gran utilidad para el tratamiento de problemas del lenguaje. Dada la utilidad y efectividad del enfoque del análisis de la conducta para el establecimiento y la modificación de los repertorios verbales, surge la posibilidad de reconceptualizar y tratar otros problemas severos del lenguaje, como es el caso de las afasias. Debido a que la investigación conductual sobre las afasias es sumamente limitada, en las secciones finales del presente trabajo se describe una conceptualización conductual de las afasias, así como un estudio de caso en el cual se implementaron algunos de los procedimientos descritos en las secciones previas del presente tutorial para restablecer y modificar operantes verbales en una persona diagnosticada con afasia de Broca.
Pocos analistas de la conducta han investigado las afasias (e.g., Baker, LeBlanc, & Raetz, 2008; Leicester, Sidman, Stoddard, & Mohr, 1971; Sidman, 1971; Sidman, Stoddard, Mohr, & Leicester, 1971). Los puntos de vista dominantes del estudio de las afasias son la neurociencia y el enfoque del procesamiento de la información, los cuales han guiado las definiciones y las clasificaciones de las afasias. Con base en estos enfoques la afasia se define como una deficiencia adquirida del lenguaje, debida a daños neurológicos, caracterizada por la incapacidad de entender o producir el lenguaje (ver Baker et al., 2008). Las clasificaciones de las afasias más empleadas actualmente están basadas en la localización de los daños neurológicos y los déficits del lenguaje asociados con los daños, los cuales se conceptualizan conforme al paradigma cognoscitivo. Los dos subtipos principales de afasias son la de Wernicke y de la de Broca. La afasia de Wernicke está generalmente asociada con daños a la porción posterior del giro temporal superior del cerebro (comúnmente en el hemisferio izquierdo). Se caracteriza por el habla fluida, pero ocurren sustituciones inapropiadas de palabras, errores semánticos (e.g., sustituir “ventana” por “silla”) y déficits en la comprensión del lenguaje (Hier, Gorelick, & Shindler, 1987). La afasia de Broca está generalmente asociada a una lesión en la parte anterior del hemisferio cerebral izquierdo. Los déficits asociados con la afasia de Broca se caracterizan por el habla no fluida; las personas tienen dificultad en la producción del lenguaje (i.e., lenguaje expresivo), la producción verbal es pausada, la articulación es elaborada y la construcción del lenguaje es telegráfica (Hier et al., 1987) Por ejemplo, las personas dicen “voy casa” en lugar de “voy a mi casa”.
Varios investigadores han encontrado limitaciones con la clasificación de las afasias basada en los daños neurológicos y los déficits cognoscitivos asociados (Baker et al., 2008). Una limitación es que los problemas del lenguaje pueden ser muy diferentes entre personas diagnosticadas con un mismo tipo de afasia. Complementariamente, muchos de los problemas del lenguaje observados en una persona diagnosticada con un tipo específico de afasia pueden corresponder a varias categorías. Por lo tanto, es difícil desarrollar terapias del lenguaje basadas en el sistema de clasificación tradicional de las afasias. La dicotomía expresivo/receptivo también es problemática debido a que en raras ocasiones se observa que los déficits del lenguaje correspondan exclusivamente al tipo expresivo o receptivo, y en la práctica es difícil distinguir entre ambos (Baker et al., 2008). Por ejemplo, una persona diagnosticada con afasia podría nombrar la palabra “manzana” cuando se le da una definición hablada, pero tal vez no podría decir “manzana” cuando ve la fruta (ver Leicester et al.,1971). El análisis funcional de la conducta verbal podría evitar algunos de los problemas derivados de la taxonomía de las afasias comúnmente usada en la actualidad.
Es posible reconceptualizar las afasias como casos en los cuales la conducta verbal ya no se encuentra bajo el control de eventos medioambientales específicos (Sidman, 1971; Skinner, 1957). Skinner (1957) usó las afasias para ejemplificar varios de los aspectos de su análisis de la conducta verbal, como la independencia de las operantes verbales. Por ejemplo, el hecho de que una persona con afasia pueda emitir un tacto (decir “manzana” en presencia de la fruta) pero no una intraverbal (e.g., decir “manzana” cuando se le da una definición hablada) muestra que la respuesta verbal ya no está bajo el control de una relación funcional específica, pero sigue bajo el control de otra relación. Skinner argumentó que los déficits en el lenguaje de las personas diagnosticadas con afasia podían ser el resultado de la pérdida de relaciones funcionales que controlan la conducta verbal. Sidman y sus colaboradores (e.g., Leicester et al., 1971; Sidman et al., 1971) analizaron la conducta verbal en personas diagnosticadas con diferentes tipos de afasia y de manera consistente con el análisis de Skinner, concluyeron que las afasias constituían déficits en las relaciones específicas estímulo-respuesta. Por ejemplo, Sidman et al. (1971) reportaron que un participante no nombraba palabras impresas, pero podía escribir las letras que formaban esas mismas palabras. El análisis y las observaciones de Sidman y sus colaboradores difieren del enfoque de los psicolingüistas sobre el análisis, la clasificación y los tratamientos de las afasias en términos de déficits del lenguaje expresivo/receptivo.
Al considerar las afasias como el caso en el que la conducta verbal ya no está bajo el control funcional de ciertos estímulos, surge la posibilidad de restablecer las operantes verbales básicas en personas diagnosticadas con afasia empleando una adaptación de los procedimientos descritos en el presente trabajo (ver la sección titulada Procedimientos para el establecimiento y modificación de la conducta verbal del presente tutorial). Las técnicas consisten en establecer cada operante verbal, garantizando que cada una de ellas esté bajo el control funcional de antecedentes y consecuencias específicos. A continuación se describe una intervención que se realizó para evaluar y restablecer operantes verbales básicas en una persona diagnosticada con afasia de Broca. Hasta donde la autora del presente trabajo sabe, no existen descripciones de intervenciones en las cuales se hayan empleado procedimientos específicos, como el uso de una cadena interrumpida (e.g., Hall & Sundberg, 1987) para el establecimiento de mandos para personas diagnosticadas con afasia de Broca. Durante la intervención, se entrenaron las ecoicas, tactos e intraverbales partiendo del entrenamiento de mandos conforme al procedimiento de cadena interrumpida.
Participante y escenario. El participante fue un hombre de 62 años de edad al inicio de la intervención. Vivía en su casa con su esposa y sus dos hijos. El participante había sido diagnosticado con afasia de Broca por médicos neurólogos después de haber tenido un derrame cerebral 26 meses antes del inicio de la intervención. Debido al derrame cerebral, la persona tenía dificultades para mover el brazo, la mano y la pierna derechos.
Las sesiones se condujeron en la casa del participante, en una habitación de 4 × 6 m que la familia usaba como comedor. Al centro de la habitación había una mesa de 3.50 × 1.60 m. El participante estuvo sentado frente a la mesa, aproximadamente a un metro del terapeuta.
Materiales. Los materiales empleados en la intervención fueron 18 objetos: una libreta, un estuche para lápices, un lápiz, monedas, una cartera, mouse de computadora, discos compactos, tarjetas con dibujos de personas y de paisajes, un sobre, una botella de plástico con refresco, un vaso de plástico, hojas de papel, engrapadora, cable para uso electrónico, pinzas para cable, una bolsa con galletas y un plato. Estos objetos se eligieron debido a que el participante los usaba frecuentemente. Los objetos se usaron para la evaluación y el tratamiento de las cuatro operantes verbales que fueron las conductas blanco de la intervención (mandos, ecoicas, tactos e intraverbales). Se usó una computadora portátil Gateway® modelo T-6828 para el registro y el análisis de datos, empleando programas elaborados con el lenguaje Visual Basic® 2008 Express Edition. Se utilizó una videocámara Samsung ® HMX- F800 para grabar todas las sesiones de la intervención.
Definición de las conductas y medidas de confiabilidad. Una respuesta verbal se consideró correcta si la respuesta que emitía el participante correspondía con el E. que le presentaba el terapeuta en cada ensayo. Los criterios para definir una respuesta como correcta dependieron de la operante verbal específica y se describen en la sección del procedimiento. La confiabilidad de la medición de las operantes verbales se evaluó pidiendo a un segundo observador que registrara independientemente las respuestas del participante. Por lo tanto, parte de la confiabilidad de la medición involucró que los fonemas fuesen entendibles para dos jueces independientes. El acuerdo entre observadores se calculó por separado para cada una de las cuatro operantes verbales entrenadas (mandos, ecoicas, tactos e intraverbales). Se calculó el acuerdo entre observadores para aproximadamente el 30% de las sesiones de cada operante verbal, incluyendo la línea base y la intervención, usando la siguiente fórmula: (acuerdos/ acuerdos + desacuerdos) × 100. El acuerdo medio entre observadores para cada operante verbal fue el siguiente: mandos: 91%, ecoicas: 97%, tactos: 95%, intraverbales: 89%.
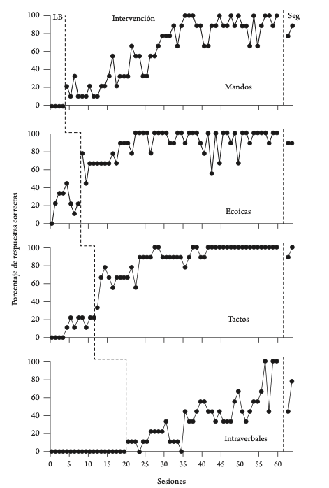
Procedimiento. La intervención consistió en evaluar y establecer las siguientes operantes verbales: mandos, ecoicas, tactos e intraverbales.Se empleó un diseño de línea base múltiple entre conductas (i.e., entre operantes verbales). Durante las sesiones de línea base, se llevó a cabo la evaluación pre-intervención para las cuatro operantes verbales. La evaluación pre-intervención consistió en determinar la ocurrencia de las operantes verbales en términos del contexto (i.e., en presencia de antecedentes y consecuencias específicos para cada operante verbal) y en términos de su topografía. Conforme al diseño de línea base múltiple, el tratamiento empezó en diferentes momentos para cada una de las cuatro operantes verbales: mandos, ecoicas, tactos e intraverbales, en ese orden. Se condujeron de dos a tres sesiones por semana y cada sesión tuvo una duración aproximada de 50 minutos. A continuación se describe la evaluación pre-intervención y el tratamiento para cada una de las operantes verbales.
1. Evaluación y tratamiento de los mandos. La evaluación y el tratamiento de los mandos se realizaron en el contexto del procedimiento de cadena interrumpida. Por lo tanto, antes de la evaluación (línea base) .e condujeron dos sesione. durante las cuales se establecieron nueve cadenas conductuales. Estas cadenas se eligieron debido a que el participante estaba familiarizado con los objetos necesarios para completarlas y físicamente podía realizar las tareas involucradas en las cadenas. Las nueve cadenas conductuales establecidas fueron: escribir su nombre en una libreta (el nombre consistía de cinco letras), meter monedas en la cartera, reproducir música en la computadora, meter dibujos de personas en un sobre, servir refresco en un vaso y tomarlo, engrapar papeles, cortar un pedazo de cable con unas pinzas, poner tarjetas con dibujos de paisajes dentro de una caja y poner galletas en un plato y comerlas. El terapeuta presentó una instrucción, por ejemplo “escribe tu nombre en la libreta” (i.e., el E. para iniciar la cadena). Después de dar la instrucción, el terapeuta usó el procedimiento de presentación de la tarea total (e.g., Miltenberger, 2016) para establecer cada una de las nueve cadenas. En caso de ser necesario, el terapeuta implementó ayuda física y desvanecimiento de la ayuda física en forma de guía graduada (Foxx & Azrin, 1972). Una vez que ocurría el último eslabón de la cadena, el terapeuta decía “bien hecho” o “excelente”. El criterio para finalizar el entrenamiento de cada cadena fue que la cadena ocurriera sin la implementación de la ayuda física en al menos una ocasión.
Una vez que se establecieron las nueve cadenas conductuales durante el pre-entrenamiento, se llevó a cabo la evaluación de los mandos, usando el procedimiento de cadena interrumpida que describieron Hall y Sundberg (1987). El terapeuta presentó la instrucción para iniciar una cadena (e.g., “escribe tu nombre en la libreta”), pero no estaba disponible uno de los objetos necesarios para completar la cadena (por ejemplo, la libreta). El objeto faltante estaba dentro de una bolsa opaca sobre la mesa, junto al terapeuta. Por lo tanto, la variable motivacional (antecedente de los mandos) se introdujo bloqueando el acceso a uno de los objetos necesarios para completar la cadena. Si el participante pedía el objeto (e.g., diciendo “libreta”) dentro de los 10 segundos después de la instrucción, el terapeuta le entregaba el objeto para continuar la cadena. Si el participante emitía cualquier respuesta diferente al mando vocal correcto, el terapeuta esperaba durante 10 segundos y descontinuaba la cadena conductual, quitando todos los objetos necesarios para completar la cadena (Albert, Carbone, Murray, Hagert, & Sweeney-Kerwin, 2012). Durante cada sesión de evaluación de los mandos se le pidió al participante que completara las nueve cadenas. La evaluación de los mandos se realizó durante cuatro sesiones. Cada una de las nueve cadenas se presentó una vez por sesión. El orden en el que se presentó cada cadena se elegía al azar empleando un programa de computadora realizado en Visual Basic®. En la Tabla 1 se presenta una lista de las nueve cadenas conductuales, los materiales que se emplearon para cada cadena y los pasos para completar la cadena. El objeto faltante para completar cada cadena (i.e., el mando blanco de cada cadena) se muestra con negritas. El formato de la tabla está basado en la descripción del procedimiento del estudio de Albert et al. (2012), quienes emplearon un procedimiento de cadena interrumpida con niños diagnosticados con autismo.
Durante la quinta sesión inició el tratamiento para el establecimiento de los mandos. Se siguió realizando el procedimiento de cadena interrumpida y se implementó ayuda verbal, conforme a la cual se le decía al participante el nombre del objeto faltante (e.g., “libreta”). Una vez que el participante decía una aproximación a la palabra correcta (e.g., un fonema de la palabra), se le entregaba el objeto faltante para completar la cadena. Posteriormente, se desvaneció la ayuda verbal mediante un procedimiento de desvanecimiento del estímulo. Esto es, al principio el terapeuta decía la palabra completa (e.g. “libreta” y posteriormente sólo partes de la palabra (e.g., “libre__” “li____”). De esta forma, se empleó el procedimiento de a) manipulación de variables motivacionales, b) ayuda, c) desvanecimiento de la ayuda y d) reforzamiento diferencial para establecer los mandos, tal y como se describió en la sección de Procedimientos para el establecimiento y modificación de la conducta verbal del presente tutorial.
Se consideraron como mandos correctos las operantes verbales que especificaban el objeto faltante, incluyendo las variaciones de la operante verbal siempre y cuando el participante dijera la palabra blanco. Por ejemplo, fue frecuente que el participante dijera “un vaso”, “el vaso” o simplemente “vaso” y en estos tres casos la respuesta se consideró como correcta.
2. Evaluación y tratamiento de las ecoicas. Durante la evaluación pre-intervención de las ecoicas, se le dio la siguiente instrucción al participante: “voy a decir algunas palabras, por favor repite cada palabra”. Posteriormente el terapeuta decía una palabra (e.g., “libreta”) y el participante debía decir “libreta”. Estas fueron las mismas nueve palabras que se usaron para la evaluación y entrenamiento de mandos (i.e., libreta, cartera, mouse, sobre, vaso, hojas, pinzas, caja, galletas). Durante la evaluación, si el participante repetía alguna palabra, el terapeuta decía “si” con un tono neutral (Sundberg et al., 1990). El orden de presentación de los nueve estímulos fue al azar. El programa de computadora en Visual Basic® elegía el estímulo que se debía presentar. La evaluación de las ecoicas se realizó durante ocho sesiones (esto es, la línea base estuvo vigente durante estas ocho sesiones conforme al diseño de línea base múltiple). El tratamiento para el establecimiento de las ecoicas consistió en la ayuda verbal (i.e., el terapeuta exageraba la pronunciación de las palabras), desvanecimiento de la ayuda y el reforzamiento diferencial de aproximaciones sucesivas a la emisión de la palabra correcta. Se usó un elogio como reforzador (el terapeuta decía “muy bien” o “buen trabajo”). Para considerar una ecoica como correcta, tanto en la evaluación como en el tratamiento, la operante verbal debía tener correspondencia punto por punto con el E. verbal.

Nota. Los materiales que se omitieron y que fueron la respuesta blanco (mando) conforme al procedimiento de la cadena interrumpida se muestran en negritas
3. Evaluación y tratamiento para los tactos. Durante la evaluación de los tactos, el terapeuta mostró un objeto al participante y le dio la siguiente instrucción: “Dime qué es esto”. Se usaron los nueve objetos que se emplearon durante la evaluación y el tratamiento de los mandos y ecoicas. Si el participante nombraba el objeto durante los 10 segundos después de mostrarlo, el terapeuta decía “bien” con un tono de voz neutral, de lo contrario el terapeuta quitaba el objeto y presentaba el siguiente. La evaluación de los tactos se realizó durante 12 sesiones. El orden de la presentación de los nueve objetos fue al azar.
El tratamiento para los tactos consistió en ayuda verbal, desvanecimiento de la ayuda y en el reforzamiento diferencial de los tactos. Se le daba la instrucción al participante “Dime qué es esto” y le mostraba uno de los objetos. Si el participante emitía el tacto correcto o una aproximación a esta palabra durante los 10 segundos posteriores a mostrarle el objeto, el terapeuta decía “¡Muy bien, esto es un ____!”. Si el participante no emitía una respuesta correcta dentro de los 10 segundos posteriores a mostrarle el objeto, el terapeuta daba ayuda verbal (nombraba el objeto exagerando la pronunciación de la palabra) y una vez que el participante nombraba el objeto se presentaba el elogio como reforzador.
4. Evaluación y tratamiento para las intraverbales. La evaluación de las intraverbales consistió en hacerle nueve preguntas al participante (i.e., presentación del E. verbal). Ejemplos de estas preguntas fueron: ¿En qué objeto escribes tu nombre? ¿En qué objeto guardas las monedas? ¿Qué usas para cortar el cable? ¿En qué objeto sirves tu refresco? Si el participante contestaba la pregunta (i.e., emitía una intraverbal) dentro de los 10 segundos posteriores a la pregunta el terapeuta decía “bien” con un tono neutral. La evaluación de las intraverbales (i.e., línea base) estuvo vigente durante 20 sesiones.
El tratamiento para establecer las intraverbales consistió en implementar ayuda (estímulos visuales y ayuda verbal), el desvanecimiento de la ayuda y el reforzamiento diferencial. Por ejemplo, después de preguntar al participante ¿En qué objeto escribes tu nombre? y el participante no emitía una respuesta durante 10 segundos, el terapeuta sacaba de la bolsa opaca la libreta y se la mostraba. Si la respuesta no ocurría durante los siguientes 10 segundos, el terapeuta continuaba mostrando el objeto e implementaba la ayuda verbal, diciendo “libreta”. Una vez que ocurría la operante correcta o una aproximación a la operante verbal, el terapeuta reforzaba la conducta diciendo “Muy bien, una libreta”. Se consideraron respuestas correctas a todas las variaciones que incluyeran contestar diferencialmente a las preguntas siempre y cuando mencionara la palabra clave. Por ejemplo, decir “libreta”, “uso la libreta, “oh, libreta” o “la libreta” se consideraron como respuestas correctas.
Seguimiento y generalización del tratamiento de las operantes verbales. Después de cinco meses del final de la intervención descrita se realizó un seguimiento de dos sesiones. Durante cada una de las dos sesiones de seguimiento, se presentaron los nueve ensayos de prueba para cada una de las cuatro operantes verbales.
En la Figura 1 se muestra el porcentaje de respuestas correctas a través de las sesiones consecutivas de línea base (i.e., evaluación) y del tratamiento, para cada una de las cuatro operantes verbales: mandos, ecoicas, tactos e intraverbales. Los datos que se presentan en la Figura 1 representan el porcentaje de respuestas correctas por sesión, las cuales ocurrieron en ausencia de ayuda (prompts). Los últimos dos puntos de cada panel representan el porcentaje de respuestas correctas durante las sesiones de seguimiento que se llevaron a cabo cinco meses después del final de la intervención.

Porcentaje de respuestas correctas para las cuatro operantes verbales durante las sesiones de línea base, intervención y seguimiento. Para calcular el porcentaje de respuestas correctas, sólo se consideraron las operantes verbales que ocurrieron en ausencia de ayuda (prompts).
En el primer panel de la Figura 1 se muestra el porcentaje de mandos correctos al emplear el procedimiento de cadena interrumpida. Durante las cuatro sesiones de línea base (i.e., evaluación pre-intervención de los mandos) el porcentaje de respuestas correctas fue de cero. Durante la segunda sesión de la intervención, el porcentaje de mandos correctos aumentó a 22.22 (i.e., ocurrieron dos de los nueve mandos) en ausencia de ayuda. El porcentaje de mandos correctos aumentó a través de las sesiones de intervención. Durante las últimas 25 sesiones de la intervención, el porcentaje de mandos correctos varió entre 66.7 y 100. El porcentaje de mandos correctos durante las sesiones de seguimiento fue de 77.78 y 88.89, respectivamente. Estos datos muestran que fue posible establecer y mantener los mandos empleando el procedimiento de cadena interrumpida.
En el segundo panel de la Figura 1 se muestra el porcentaje de respuestas correctas para las ecoicas. Durante la línea base, ocurrieron ecoicas correctas durante siete de las ocho sesiones. El porcentaje de ecoicas correctas durante la línea base varió de 22.22 a 44.44, esto es, ocurrieron de dos a cuatro ecoicas correctas durante la línea base. Los resultados de la línea base muestran que el participante podía vocalizar algunas de las palabras (hojas, galletas, mouse, vaso) antes de la intervención al tratarse de ecoicas. Una vez que inició la intervención, el porcentaje de ecoicas correctas aumentó a 77.78 y permaneció consistentemente más alto relativo a la línea base. El porcentaje de ecoicas fue de 100 durante 27 sesiones de la intervención. El porcentaje de ecoicas correctas durante las dos sesiones de seguimiento fue de 88.89.
El porcentaje de tactos emitidos correctamente durante las primeras cuatro sesiones de la línea base fue de cero. A partir de la quinta sesión de la línea base, el porcentaje de tactos correctos varió entre 11.11y 22.22. La quinta sesión de la línea base coincidió con el inicio del entrenamiento de mandos. Es posible que los tactos se hayan establecido en ausencia de entrenamiento directo como resultado del entrenamiento de mandos. Esta interpretación es consistente con los hallazgos de Albert et al. (2012). Los autores usaron un procedimiento de cadena interrumpida para entrenar mandos en niños diagnosticados con autismo. Una vez que los niños emitían consistentemente los mandos que resultaban en acceso a los objetos faltantes para completar las cadenas, Albert et al. condujeron pruebas para determinar la adquisición de tactos no entrenados. Todos los participantes emitieron tactos como resultado del entrenamiento previo de mandos. Es posible que al igual que en el estudio de Albert et al., en el presente caso el entrenamiento de mandos haya resultado en el establecimiento de los tactos en ausencia de entrenamiento directo. El porcentaje de tactos correctos emitidos en ausencia de ayuda aumentó a través de las sesiones de intervención y fue de 100 durante las últimas 19 sesiones. Durante la segunda sesión de seguimiento, el porcentaje de tactos correctos nuevamente fue de 100. Estos datos muestran que al final de la intervención el participante podía nombrar correctamente los nueve objetos, en ausencia de ayuda.
En el último panel de la Figura 1 se muestra el porcentaje de intraverbales correctas. El porcentaje fue de cero durante las 20 sesiones de la evaluación (línea base) y posteriormente aumentó una vez que comenzó la intervención. El porcentaje de intraverbales correctas fue entre 11.11 y 55.56 durante la mayor parte de las sesiones de la intervención. El participante únicamente emitió el 100% de las intraverbales correctas durante tres sesiones al final del tratamiento. La mayor parte de las respuestas incorrectas fueron casos en los cuales la respuesta no ocurría o bien los fonemas de las palabras no eran entendibles (i.e., la topografía de la respuesta no ocurría conforme al criterio). Es necesario destacar que a pesar de que el participante pronunció las mismas palabras (i.e., los nueve objetos) correctamente ya sea como como ecoicas, tactos o mandos, los errores topográficos ocurrieron principalmente cuando la operante verbal consistía de una intraverbal. Por ejemplo, al final de la intervención el participante decía “vaso” correctamente cuando se le mostraba un vaso (tacto) o bien cuando repetía la palabra “vaso” (ecoica), pero decía “va-os” o “va” cuando se trataba de una intraverbal.
El hallazgo de que el porcentaje de intraverbales emitidas correctamente fue menor que el porcentaje del resto de las operantes verbales es consistente con una variedad de publicaciones sobre conducta verbal en personas diagnosticadas con retraso en el desarrollo, en las cuales se reportó que niños con repertorios verbales extendidos de mandos y tactos no emitían respuestas intraverbales (ver Ingvarsson, 2016; La France & Miguel, 2014). Las operantes intraverbales son comúnmente difíciles de establecer, en parte, debido a la complejidad del control de estímulos involucrado. Los estímulos verbales (e.g., “¿Qué usas para cortar un cable”?) generalmente contienen múltiples elementos, ocurren rápidamente en el discurso y son transitorias (Sundberg & Sundberg, 2011). En la literatura sobre conducta verbal, se han descrito una serie de estrategias que facilitan la adquisición de las intraverbales (e.g., Axe, 2008; Sundberg & Sundberg, 2011). Algunas de estas estrategias son enseñar a los participantes a responder a múltiples estímulos desde el inicio del tratamiento y el uso de ayudas visuales, auditivas, textuales y verbales que ya ejerzan control sobre la conducta. No obstante, todavía es necesario realizar investigación sistemática que permita validar empíricamente estrategias que faciliten la adquisición y el mantenimiento de las intraverbales.
El estudio de caso muestra que el procedimiento de cadena interrumpida fue efectivo para el establecimiento de mandos y funcionó como punto de partida para el establecimiento de las demás operantes verbales. Este procedimiento permitió implementar de manera práctica una variable motivacional dentro del contexto de las intervenciones. Un aspecto a destacar de los hallazgos del estudio es la independencia de las operantes verbales. Por ejemplo, durante las primeras cuatro sesiones de la línea base, el participante emitió algunas ecoicas (repetía palabras habladas) pero no emitió esas mismas palabras al tratarse de mandos, tactos o intraverbales. Por ejemplo, emitía consistentemente la ecoica “vaso”, pero no la palabra “vaso” como una intraverbal, un tacto o un mando. Este hallazgo sobre la independencia de las operantes verbales se añade a la evidencia empírica de la interpretación de Skinner (1957) sobre la conducta verbal y es otra muestra de la utilidad del análisis funcional del lenguaje.
Retomando la interpretación de Skinner (1957) sobre los problemas del lenguaje de las personas diagnosticadas con afasia, es posible que el procedimiento empleado sea de utilidad para el restablecimiento de relaciones funcionales que controlan la conducta verbal. No obstante, es indispensable reconocer las limitaciones de las conclusiones derivadas de la intervención debido a que el estudio describe el establecimiento de operantes verbales sólo en un participante, por lo que es necesario conducir más investigaciones que tengan como propósito evaluar procedimientos para el restablecimiento de operantes verbales (e.g., el procedimiento de cadena interrumpida) en personas diagnosticadas con afasia.
El análisis de Skinner (1957) sobre la conducta verbal ha recibido un gran respaldo empírico. Diversas investigaciones han apoyado la idea de Skinner sobre la independencia funcional de las operantes verbales y la utilidad de los procedimientos de transferencia de control de estímulos para el establecimiento de la conducta verbal. Este enfoque al estudio del lenguaje se ha diseminado durante los últimos años, sobre todo gracias a su aplicación para tratar exitosamente problemas del lenguaje en personas diagnosticadas con autismo y retraso en el desarrollo.
Es necesario extender el estudio de la conducta verbal y diseminarlo de una manera más amplia. Las demostraciones empíricas del análisis conceptual de Skinner se publican en un número limitado de revistas científicas (e.g., The Analysis of Verbal Behavior, Journal of Applied Behavior Analysis), las cuales son leídas casi exclusivamente por especialistas en el análisis de la conducta. Debido a la utilidad del análisis y a su sistematicidad conceptual, los investigadores, terapeutas del lenguaje y otros lectores se beneficiarían de su diseminación en revistas sobre psicología general. Adicionalmente, la mayor parte de las investigaciones se han enfocado en el establecimiento y el mantenimiento de mandos y tactos, con poblaciones relativamente restringidas (Sautter & LeBlanc, 2006). Esto posiblemente se debe a que el análisis de la conducta verbal de Skinner se ha aplicado principalmente para la realización de intervenciones con personas que no emiten lenguaje o bien con repertorios verbales sumamente limitados, como es el caso de personas diagnosticadas con autismo. Todavía es necesario extender el estudio y la tecnología del establecimiento y el mantenimiento de operantes verbales complejas, como las intraverbales.
Es importante aclarar que la información de los conceptos y sobre los procedimientos para establecer y modificar operantes verbales que se incluyó en el presente tutorial es de carácter introductorio. El trabajo se escribió con el objetivo de aportar un resumen de las bases conceptuales y de la tecnología que se ha desarrollado en el análisis de la conducta para el establecimiento de repertorios verbales, por lo que intenta presentar información general a los estudiantes y a los lectores que comienzan a familiarizarse con el tema. Dado el propósito del trabajo y la extensión del estado del arte del tema de conducta verbal, no se incluye una revisión exhaustiva de los procedimientos y técnicas de enseñanza de operantes verbales, así como de todos los conceptos que forman parte de un análisis comprehensivo de la conducta verbal. Por ejemplo, no se incluyó información sobre la relación autoclítica, la conducta del escucha o sobre el control múltiple de la conducta verbal. A los estudiantes interesados en el tema de conducta verbal, se les recomienda revisar directamente los artículos citados en el presente tutorial como punto de inicio.
Dos virtudes del análisis de la conducta verbal de Skinner son la consistencia de su interpretación con la evidencia empírica y su adherencia con los principios científicos bien establecidos. Tal vez su mayor virtud es el valor pragmático: El análisis de Skinner ha sido crucial para la solución de una gran cantidad de conductas socialmente significativas.

Nota. Los materiales que se omitieron y que fueron la respuesta blanco (mando) conforme al procedimiento de la cadena interrumpida se muestran en negritas

Porcentaje de respuestas correctas para las cuatro operantes verbales durante las sesiones de línea base, intervención y seguimiento. Para calcular el porcentaje de respuestas correctas, sólo se consideraron las operantes verbales que ocurrieron en ausencia de ayuda (prompts).