Suplemento
Recepción: 07 Octubre 2019
Aprobación: 16 Noviembre 2019
DOI: https://doi.org/10.5514/rmac.v45.i2.75575
Financiamiento
Fuente: Japanese Society for the Promotion of Science
Beneficiario: Kennon A. Lattal
Abstract: Cooperation between two pigeons was trained in a systematic replication of an earlier study by Daniel (1942) using rats and electric shock avoidance. After both pigeons were trained separately to eat from a food magazine and to stand on a platform located 45 cm from the food magazine, two stimulus lights were added. Different responses of each pigeon were brought under the stimulus control of the lights. In the presence of one light, magazine approach by one of the pigeons was reinforced and in the presence of the other, standing on the platform was reinforced. These functions were reversed for the other pigeon, that is, the light that was the S. for magazine approach for Pigeon A was the S. for the platform response for Pigeon B. When behavior was under stimulus control, the pigeons were placed together in the study space. Across sessions, the lights were removed gradually, transferring stimulus control to the co-actor’s behavior. Thus, the terminal performance was two interlocking response chains: as one pigeon approached the magazine, the other approached the platform, standing on which operated the feeder for up to 7 s. After one pigeon ate for a duration dependent upon the co-actor’s platform standing, the two switched positions. The results are discussed in relation to the definition of social behavior and the role of basic learning principles in social behavior.
Keywords: cooperation, social behavior, interlocking response chains, pigeons.
Resumen: Se entrenó la cooperación entre dos palomas en una replicación sistemática de un estudio de Daniel (1942) con ratas y evitación de descargas eléctricas. Después de entrenar a ambas palomas a comer de un recipiente y a pararse en una plataforma ubicada a 45 cm del recipiente, se agregaron dos luces de estímulo. Las respuestas de cada paloma estuvieron bajo el control de los estímulos. En presencia de una luz se reforzó el acercamiento de una paloma al recipiente y, en presencia de la otra, se reforzó la posición de pararse en la plataforma. Estas funciones se invirtieron para la otra paloma, es decir, la luz que funcionaba como estímulo discriminativo para el acercamiento al receptáculo de la paloma A era el estímulo discriminativo para la respuesta de pararse en la plataforma para la paloma B. Cuando el comportamiento estuvo bajo control de estímulos, las palomas se colocaron juntas en el espacio experimental. A través de las sesiones, las luces se quitaron gradualmente, transfiriendo el control de estímulo al comportamiento del co-actor. Por lo tanto, la ejecución final fue de dos cadenas de respuesta entrelazadas: cuando una paloma se acercaba al receptáculo, la otra se acercaba a la plataforma, en la que operaba el comedero por hasta 7 s. Después de que una paloma comiera durante un tiempo dependiendo de la posición de la plataforma del co-actor, las dos cambiaron de posición. Los resultados se discuten en relación con la definición de comportamiento social y el papel de los principios básicos de aprendizaje en el comportamiento social.
Palabras clave: cooperación, conducta social, cadenas de respuesta entrelazadas, palomas.
Introduction
Cooperation requires that two or more organisms each complete some task that results in equitable reinforcement of the responses of each on task completion (Hake & Vukelich, 1972). Two early demonstrations exemplify two different types of cooperative responses that can be reinforced. Skinner (1953, p. 306; 1962) trained pairs of pigeon to simultaneously peck an array of three vertically mounted response keys in each of two adjacent chambers separated by a clear glass partition such that each pigeon could see which key its co-actor was pecking. Pecks by each pigeon to the key in the same location within 500 ms of one another resulted in separate food delivery to each pigeon. In this and subsequent iterations of Skinner’s cooperation procedure (e.g., Azrin & Lindsley, 1956) cooperation involved the coordinated engagement in topographically identical responses in different locations. In more recent iterations of Skinner’s procedure, the occurrence of presses on single response levers (i.e., same topography, same location) within 500 ms of one another has been the requirement for reinforcement, and thus the definition of the cooperative response (de Carvalho, 2018; Tan & Hackenberg, 2016) in those experiments.
A second type of cooperation was reported by Daniel (1942; see also Daniel, 1943). Daniel’s study is relatively well-known in behavior analysis because it was described in Keller and Schoenfeld’s (1950) classic textbook, Principles of Psychology and an abbreviated version was reprinted in a popular early compilation of research articles in the experimental analysis of behavior (Verhave, 1965). The previously cited examples of coordination of topographically similar responses may be less common in natural settings than is the coordination of topographically dissimilar ones. Completing a task, for example, often requires that one co-actor do one thing and the other do other things quite different in form, but the coordinated actions result in the task being completed, with reinforcement following. In what is a prescient critique of the Skinner procedure and its variants described above, Daniel (1942) described this second type of cooperation procedure by noting that:
In [previously cited] animal experiments on cooperation, both animals do the same thing; i.e., they pull ropes, punch stimulus cards, operate levers etc. In this experiment, the cooperative aspect of the situation rests on the animals’ doing distinctly different things; i.e., one feeds and the other turns off the shock. They synchronize their activity on two different tasks. The products of this solution are mutually shared. (p.367)
Daniel’s study was unique in ways other than his use of topographically different responses. In an earlier report, in the form of a film, Mowrer (1939) separately trained three rats to press a lever where each press activated a magazine on the opposite side of the chamber. After successful individual training, all three rats were placed in the same chamber together. Only one rat at a time could press the lever to produce food at the magazine. While one rat pressed the lever, the two other rats remained at the magazine, eating the available food before the lever-pressing rat could reach the magazine. This created an inequity between lever pressing and food consumption that soon led to cessation of all lever pressing, and, of course, all food delivery, too. Daniel (1942) indirectly suggested that earlier failed attempts to establish cooperation might have been in part due to a failure to train the animals to be cooperative, noting that in his (Daniel’s) study:
[r]ather than put the organism into an experimental situation and observe if it exhibits ‘cooperative behavior’ we attempt to put the animal through a procedure which will train it to be cooperative. Next, we put it into a situation which is a cooperative one and quantify the extent to which it exhibits the behavior. In short, we train the behavior into rather than draw it out of, the animal. (pp. 366-367)
Contrary to what is implied by Daniel’s statement, he did not train the cooperative response. Rather, like Winslow (1940, Experiment 3) had done with a different task, he individually trained, over a 13-day period, the two responses that would comprise the target cooperative behavior. These were eating from a magazine (“food crock”) and standing on a platform at one end of the chamber that when depressed deactivated an electrical circuit connected to the grid covering the chamber floor. After 12 rats performed both responses to criterion, they then were introduced into the apparatus in pairs without additional training. The platform and magazine were spatially separated such that the magazine was not accessible from the platform. Over the course of 40 24-min sessions comprising 12 trials each, five of the six pairs reportedly engaged in coordinated behavior by taking turns depressing the platform, allowing the other to eat. On average, 96% of the total number of alternations for each of the pairs of rats were classified as “mutual alternations,” in which the rats alternated positions in the apparatus. In a subsequent study, Daniel (1943) asked whether the cooperative responses of three additional pairs of rats would continue to alternate responses if shocks were reduced and then discontinued. The answer was yes to the former and no to the latter.
As noted above, Daniel (1942) did not train the cooperative response, but only the component responses, leaving the course of development of the cooperative response unknown. The absence of data concerning such development, including the absence of a visual record of the final cooperative responding, was the impetus for the present study, which was conducted as a systematic replication of Daniel’s (1942; see also Daniel, 1943) general procedure, but using pigeons and exclusively positive reinforcement to shape and maintain cooperative responding.
Method
Subjects
Two male White Carneau pigeons served as subjects. Each had previous experience responding under positive reinforcement schedules in operant chambers. One (17133) also had experience in an open-field (table) laboratory environment involving a different type of cooperation task. The pigeons were identified by a metal band on their left leg denoting their assigned numbers. Both pigeons were maintained at 80% free-feeding body weight and housed individually with continuous access to water in a vivarium maintained under a 12/12 h light/dark cycle.
Apparatus
Sessions occurred in a 2.73 x 2.60 x 2.65 m room with a single fluorescent ceiling light. The room contained a 73.5 cm high, 60.9 cm wide, 73.5 cm long table covered with newspaper on which the pigeons were placed. A Lehigh Valley Electronics food dispenser (magazine) for pigeons was mounted on the back side of a 33 x 33 cm aluminum panel. The dispenser was accessible through a 6 x 5 cm aperture centered on the panel, with its lower edge 7.5 cm from the tabletop. The panel was located at one end of the tabletop. Rectangular pieces of black cardboard, 20 x 28 cm, were attached to the left and right side of the panel to prevent unauthorized access to the rear of the panel and hence the food magazine. Reinforcers were time-limited access to Purina Pigeon Pellets in the dispenser. As detailed below in the Procedure section, such pellets also were delivered manually from a 236 ml aluminum cup.
A 3-cm high, 14-cm square plastic platform was placed 45 cm away from the midline of the panel. Orange construction paper was fitted and attached to the platform to make it visually distinct from the newspaper-covered tabletop. A 35 x 60 cm cardboard panel was placed 30 cm behind the platform to limit the workspace. Throughout the early phases of the study, some features of the apparatus were reconstructed and adjusted as required. During those early phases, two, red and white 110 VAC 25 w lightbulbs enclosed in 33 x 14.4 x 25 cm plywood boxes with clear plastic covers were used as discriminative stimuli. These lights were located on a shelf 1 m to the side of the table. The red light was operated with a switch on the box containing that light and the white with a footswitch. Sessions were recorded on a Fujifilm FinePix Camera and uploaded to Google Drive for visual review.
Procedure
A series of procedures, organized into phases for the present description, were implemented to establish two individual behavior chains that eventually would function as discriminative stimuli in interdependent chained schedules of reinforcement. That is, two pigeons alternating responding between a magazine and a platform to equitably provide access to food to one another. In early phases, only individual responses were required for reinforcement, as compared to later phases in which reinforcement depended on the coordinated actions of the two pigeons. In Phases 1 - 4, access to reinforcement at either the magazine or platform averaged 3 to 5 s. Sessions typically lasted 15 min and comprised approximately 30 trials. In Phases 1 and 2, a trial was defined as the completion of the required response (i.e., either eating from the magazine or depressing the platform). During Phases 3-5, a trial began at the onset of the platform depression and lasted until the offset of the platform response. Reinforcement of the platform response was leaned in Phase 4 and extinguished completely in Phase 5 so that reinforcement was only delivered at the magazine. In Phase 5, each pigeon obtained about 15 reinforcers per session. As reinforcement contingencies became interdependent in the final phases, trial numbers, reinforcement opportunities, and session times became more dependent on the speed at which the pigeons engaged in the cooperative task. Phase changes for each of the 5 phases occurred when responding was stable according to the criterion that latencies between platform responses were under 15 s for at least 95 percent of the trials within a session and when more than three sessions were without any within-session extinction of the target responses. Within- session extinction was defined as a period longer than 2 min during which at least one pigeon failed to eat from the magazine or step onto the platform. The following phases were in effect successively over the 8-month period of the study.
Preliminary training. Preliminary training consisted of three components: acclimation, magazine training, and shaping of the platform response.
Acclimation. As noted above, one pigeon, 19993, did not have prior experience in the open-field environment. This pigeon was placed alone on the table and was trained to eat from the aluminum cup (described in the apparatus section) during one 30-min session. The cup first was placed on the table until the pigeon approached and ate from it. Then, the cup, held in the investigator’s hand, was slowly presented to the pigeon. This continued for the duration of the session, ending once the cup could be presented and removed without evoking skittish behavior. (It should be noted that the training of this pigeon was unusually rapid relative to the time taken for such training with other pigeons in other studies in this laboratory involving open-field testing.) The following session, both pigeons were placed together with food presented to each pigeon manually from the cup in an alternating fashion. This condition was in effect for one 20-min session.
Magazine training. Reinforcers were delivered from both the food magazine and the cup at the platform. Each pigeon was trained individually to eat from the raised magazine on its presentation. This training continued until the pigeon approached the magazine and ate reliably and immediately when the magazine was raised.
Shaping the platform response. Shaping the platform response occurred for each pigeon independently. The movable plastic platform first was placed immediately adjacent to the food magazine aperture on the work panel so that standing on the platform could be immediately reinforced by raising the food magazine. Following this, the platform was moved 45 cm from the aperture. Initially standing on the platform by each pigeon was shaped through the differential reinforcement of successive approximations. Placement of at least one foot on the platform resulted in the investigator raising the magazine by operating an electric hand switch. The depression of the platform simultaneously raised the magazine even though the pigeon was alone, to mimic the final task. Food, however, was presented via the hand-held cup. Leaving the platform deactivated the magazine, and only the platform response was reinforced with food from the cup.
Phase 1: Individually building the platform response-magazine access chain. After the platform response was established, individual behavior chains involving moving from the platform to the magazine and back again were trained during separate sessions for each pigeon. The ceiling light in the room was turned off during these sessions, so that the only illumination came from the red and white lights. For one pigeon, in the presence of the red light, approaching to the magazine was reinforced and in the presence of the white light, standing on the platform was reinforced. For the other pigeon, the opposite relation between the two responses and lights was in place. At the start of each session, by random selection one of the two lights was illuminated. When the pigeon engaged in the first-signaled response, a 3-s reinforcer was delivered (from the cup if the response was standing on the magazine and from the magazine if it was approaching the magazine). After a blackout of a few seconds in the room, the light was switched to the opposite color. This alternation of colors continued throughout the session. When the pigeon left the platform, the magazine was raised to reinforce movement away from the platform and towards the magazine. This phase remained in effect for 16 sessions, at which point each pigeon moved toward the location signaled by the lights within 1 s of the onset of the illumination of either light.
Phase 2: Interdependently building the platform response-magazine access chain. Once the pigeons reliably and independently engaged in the signaled responses according to the criterion noted above, the two pigeons were placed together on the tabletop during each subsequent session. These interdependent sessions operated as described in Phase 1, except that the two pigeons were now together. It is important to note that the two lights were established as discriminative stimuli for the opposite response by either co-actor, so that when one color light came on it was discriminative for one of the two responses for one pigeon and for the opposite response of the other.
During this phase, reinforcement for the pigeon for which magazine approach was signaled by the illuminated light, the magazine was presented every time the co-actor stood on the platform. At the platform, reinforcement was delivered intermittently from the cup after every 3-5 responses. Reinforcers were delivered equitably so that each pigeon received about the same amount and frequency of food for engaging in both the magazine approach and the platform response. This phase followed the same criterion as Phase 1 and lasted for 15 sessions.
Phase 3: Fading the differential stimuli, transfer of stimulus control. During this phase, each instance of the platform response continued to result in 3-s access to food at the magazine and intermittent reinforcement at the platform. For the first 10 sessions of this phase, the first half of each session was identical to Phase 2 described above. Approximately midway through the session the ceiling light in the room was turned on, illuminating the entire room and thereby fading the brightness of the red and white stimuli. These lights still functioned as in Phase 2. For the remaining 10 sessions, each began with the ceiling light on for the entire session in addition to the alternating lights. Once the pigeons were responding in an alternating manner, the red and white lights were removed for the remainder of the session. The number of trials completed before the lights’ removal varied from session to session.
This phase did not progress linearly. In some sessions, well-executed behavior chains were observed with both pigeons, and the introduction of the main overhead ceiling light did not disrupt the pigeons’ responding. In other sessions, however, one or both pigeons would stop responding at the appropriate time, resulting in inappropriate responses or, on many early occasions, no responses at all, giving rise to functional extinction for the remainder of that session. When such extinction occurred, Phase 1 procedures were reinstituted to reestablish responding. Thus, for one session, the pigeons would work alone with the main ceiling light off and only the alternating red and white lights operating. After each pigeon completed an individual session of 10 to 15 reinforcers, they were immediately exposed to another session with the Phase 3 procedures described above in effect.
Over successive sessions in this phase, within-session extinction, as defined above, became infrequent. Once sessions were operating entirely without the alternating lights, the stimulus lights were only illuminated if the pigeons’ behavior chains were occurring in the same order instead of in reverse order (i.e., both were moving from the magazine to the platform and back, instead of moving in opposite directions). As the chains became more established, the lights were eliminated.
Phase 4: Leaning reinforcement of standing on the platform. Moving into this phase, the pigeons’ respective behavior chains were stable such that movement between the magazine and platform was under only the control of the other pigeon. The number of reinforcers delivered at the platform was made more intermittent, but was equated across the two pigeons such that each received an equal number of reinforcers for standing on the platform. Standing on the platform was reinforced three or less times with each pigeon during the final approximately 30-trial session of this phase. This phase consisted of 10 sessions with intermittent reinforcement at the platform throughout the session, followed by 3 sessions in which reinforcement was only delivered for the final platform response from each pigeon in the session.
Phase 5: Total interdependent contingency. In the final phase of the study, the pigeons coordinated their behavior such that they switched off in feeding one another by standing on the platform. Eight such sessions were conducted. At the start of each of these sessions, the pigeons were placed on the tabletop and a 3-min session timer was started. During the session, the reinforced response was a cooperative one in Daniel’s (1942) sense of the term in that by standing on the platform one pigeon raised the food hopper, providing access to it by the co-actor. The magazine remained raised until the pigeon on the platform stepped off, or for a maximum of 7 s. The magazine then remained deactivated until the co-actor just at the feeder made the next platform response, which then reactivated the magazine for the other co-actor. The reinforcement time (with the 7-s maximum duration) and the number of reinforcers delivered in a session depended entirely on the length of time the pigeons spent at the magazine and/or platform, and the speed with which they moved to their next appropriate position during this final phase.
Results
Video clips 1-4 show samples of performance during Phases 1-3 as described above. A clip for Phase 4 is not shown because this phase involved leaning of the reinforcement schedule but otherwise was identical to Phase 5. The first part of the Video Clip 1 (Individually building the platform response-magazine access chain) shows the pigeon receiving a reinforcer from the hand-held cup during shaping of the platform-standing response in the presence of the red light. This is followed by a brief blackout, after which the white light comes on and the pigeon is shown moving off the platform (the orange square), resulting in food magazine operation. (N.B. In the session, from which this video was taken, the hopper light was not working and so a bell was substituted for it.) Video Clip 2 shows both pigeons during Phase 2 (Interdependently building the platform response-magazine access chain) receiving a reinforcer in the presence of the red light following their respective responses, followed by the white light coming on and the pigeons switching places with the appropriate response reinforced. This is followed by the red light coming on again and the pigeons again switching places with the appropriate response. Video Clip 3 and Video Clip 4 show responding during Phase 3 (Fading the differential stimuli, transfer of stimulus control). The first clip shows an early session where the overhead ceiling light was turned on after successive periods with the red, then the white, and then the red stimulus lights on. In one segment of this clip, soon after the overhead light is turned on (indicated by the increased brightness of the clip), beginning around 35 s, note that the pigeons attempted to make the same response before finally making the appropriate one. Video Clip 4 is from a session later in Phase 3 in which the overhead lights are on in conjunction with the alternating stimuli (not visible). The two pigeons alternate and the one at the platform receives intermittent reinforcement. A clip for Phase 4 is not shown because this phase was simply a leaning of the reinforcement of standing on the platform. Video Clip 5 shows the complete last session of Phase 5 (Total interdependent contingency). During this phase, the two pigeons alternate between standing on the platform and eating from the feeder. On no occasion does the pigeon on the platform remain there for 7 s, thus the actual reinforcer time for each co-actor always was less than the maximum allowable 7-s access time specified in the description of Phase 5 in the Procedure section above (see Figure 3 below for the reinforcer access times for each pigeon during each session of Phase 5). Rather, the behavior appears somewhat rote and “quick” in that the pigeon moves to the platform, stands there for a few seconds, and then returns to the feeder, at which point the feeding pigeon retreats to the platform and the cycle repeats. With further training, a smoother performance could have been achieved. At one point in the video, at about 1:40, one pigeon approaches the magazine when it is its turn to be at the platform, creating a lull in responding until both pigeons return to their appropriate roles. Each pigeon emitted the required response then transitioned to the alternative location and the sequence occurred repeatedly

Figure 1 is a diagram of the interactions of the two pigeons’ locations between responses in a sample of a block of seven successive trials from this same final session (8) of the last phase. The location of each pigeon was marked at the halfway point of the indicated trial and at the final second of the interresponse interval (IRI). The IRI is the time from the offset of one pigeon’s platform response (one foot removed from the platform) to the onset of the other pigeon’s platform response (at least one foot on the platform). There is a consistent interaction during each trial in which both pigeons are located at the magazine side of the table at the halfway point of the IRI before moving towards their appropriate location for the next trial.

Difference in Platform Time between the two pigeons calculated by subtracting 17133’s platform time on a given trial from 19993’s on the same trial. Data points above zero indicate that 19993 spent more time on the platform than 17133 on that trial. Conversely, data points below zero indicate that 17133 spent more time on the platform than 19993.

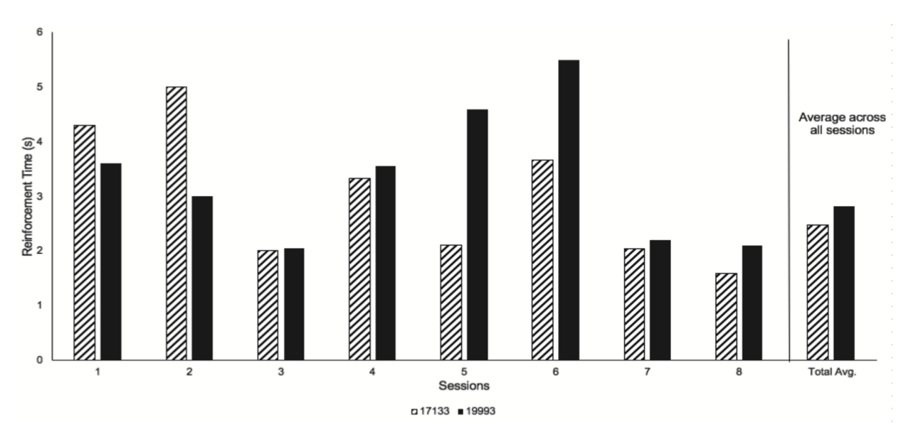
Average length of Reinforcement Time (time per reinforcer) per pigeon for each of the final eight sessions as well as an overall average across the eight sessions. Each bar represents the average amount of time the pigeon had access to reinforcement for the total trials in that session. The rightmost pair of bars represents the average reinforcement time over all eight session for each pigeon.
Using data drawn from the videos from the eight sessions of the final phase (5), Figures 2 and 3 depict quantitatively the equity of the responses and reinforcers. Figure 2 shows the difference between the total time each pigeon spent depressing the platform (Platform Time) during successive trials of the final eight sessions. These data were calculated by subtracting the duration of platform time for 17133 from the duration of 19993’s for each pair of trials. Data points below zero indicate that 17133 spent relatively more time engaging in the platform response, whereas data points above the zero line indicate that 19993 spent more time engaging in that response. By Sessions 7 and 8, the data points gravitate closer to the zero line, indicating equity of platform standing resulting in less variable reinforcement durations than in the earlier sessions. To further show the equity of reinforcement, Figure 3 provides the mean reinforcement time (the amount of time each pigeon had access to food via the other pigeon’s platform response/number of reinforcers delivered) for each pigeon during each of the 8 sessions of the last phase of the study. In no session did the reinforcement time for either pigeon differ by more than 2.5 s. Over these 8 sessions, the average reinforcer duration for 17133 was 2.47 s and for 19993, 2.81 s. The session duration was time-based, so the number of trials varied in each session.
Discussion
These results replicate with pigeons the findings of Daniel (1942, 1943) and extend them to positive reinforcement substituted for his negative-reinforcement-based procedure. Both the present results and Daniel’s meet Hake and Vukelich’s (1972) definition of cooperation, which, as noted in the introduction, requires not only that the co-actors contribute to completing some task, but that such completion results in equitable reinforcement to the co-actors.
Beyond subject and reinforcement-type differences, the present study differed from Daniel (1942) in other ways as well that may affect the acquisition of cooperative responding. Daniel conducted his study in an enclosed chamber, while the present one was conducted in an open field with the investigator continuously present to monitor and reinforce successive approximations to the target response sequence. Although conducive to the latter, the open field may have impeded the development of cooperation because of the continuous presence of disruptive stimuli, human and otherwise. After training the two responses, Daniel simply placed the rats together and let the natural contingencies operate. Even though response shaping had not even been described at the time of Daniel’s studies (Peterson, 2004), it seems reasonable to assume that a “natural” shaping process operated during the acquisition of the cooperative switching response by his rats. Because of this, however, little was known about the actual development of the cooperative response, even though the quotation in the introduction does indicate Daniel’s acknowledgement of the importance of “training” in establishing cooperative behavior. By contrast, to Daniel, in the present study it was possible to document successive approximations to cooperative responding and take corrective steps when progress toward the target response was lagging.
Daniel (1942) also did not place any limits on the time that the animal not on the platform could eat, which may have affected cooperation. He did provide evidence that both rats ate consistently, however, for data on body weights were reported to be stable across the study. By contrast, the pigeons in this study had access to only a single magazine-operation cycle before a change in position with their co-actor was required before further reinforcement was available to either pigeon. The pigeon at the magazine consistently stopped eating before the 7-s maximum cycle ended. Such cessation appeared sometimes to be spontaneous and sometimes forced because the other pigeon deactivated the feeder by stepping off the platform. The required movement following magazine offset of either or both pigeons likely facilitated switching. It also ensured equity of reinforcement between the two co-actors, as the quantitative analysis of eating times shown in Figures 3 illustrates.
Daniel (1942) suggested that the rats provided cues to one another signaling that it was time for an eating bout to end:
As the experiment progressed the rats directed their behavior more and more towards each other rather than towards the food-crock or the platform. The rat on the platform would reach off holding the platform down with only one foot, and nudge the feeding animal. It would sometimes crawl up on the latter’s back and paw it. This frequently resulted in the feeding rat’s return to the platform. Sometimes it would hoist the feeding animal up on its shoulders. It might even bite and pull on the feeding rat’s tail. These are overt responses directed towards the other animal. (p. 367)
Related cues may have been facilitated in the present study because of the restricted eating time noted above. The withdrawal of the food source likely served as a discriminative stimulus for the next response in the sequence, which was moving to the opposite location. During the shaping process, this withdrawal occurred for the pigeons in either location (magazine and platform), but as the cooperative behavior developed, the deactivation of the magazine may have served this function for both pigeons.
Stimuli other than the withdrawal of food also contributed to the development of cooperative behavior. The cooperative response first was brought under discriminative stimulus control of nonsocial stimuli – the lights – and over sessions was transferred to the co-actor in the cooperative interaction. The final video and accompanying quantitative data show that the pigeons coordinated their behavior such that a continuous, reciprocal trade-off of feeding and platform depression occurred. The different procedural phases described how two separate behavior chains (one with each co-actor), the links of which were signaled as noted above, were shaped simultaneously to operate as an engineered cooperative contingency.
During some of the phases, many adjustments to the apparatus and procedure were made to maintain responding and move the study forward. Working in an open-field environment resulted in unforeseen problems. Keeping the pigeons on the table and within the parameters of the apparatus required consistent revision, especially in the early phases. There also was a learning curve for the investigator to manage the behavior of two living organisms concurrently along with the apparatus. In general, the cooperation procedure with physical interactions between the animals resulted in diverse small problems that kept the process far from linear. Different problems were incurred with each pigeon. For example, 19993 developed difficulties eating from the magazine in later phases despite initial magazine training. This resulted in sessions that consisted only of retraining eating from the magazine all the way into Phase 5. These problems typically were overcome easily, but each required patience and problem solving, often as the session was in progress.
The development of similar behavior patterns despite the several procedural differences between this and Daniel’s (1942, 1943) studies attests to the robustness and generality of cooperative behavior between nonhuman animals requiring topographically different responses by each co-actor. These procedural differences included not only the type of reinforcer, but also the type and extent of response training provided. It is difficult to say whether the pigeons would have developed the cooperative response in the absence of shaping. In other, related, projects involving interactive contingencies like those developed here, discontinuing reinforcement generally has resulted in a breakdown in the trained responses to the point that responding ceases altogether. Perhaps the interactive responding of Daniel’s (1942) rats was developed and sustained by the continuous presence of the shock contingency. Indeed, in its absence, as part of Daniel’s (1943) follow-up study, responding ceased. These considerations give rise to two further questions for investigation: (1) Can positive-reinforcement based cooperation develop in the absence of shaping? and (2) Can Daniel’s findings be directly replicated?
Although the present results met the formal definition of cooperation, it seems valuable to consider that behavioral interactions like those studied here may merely give rise to the label of cooperation, based on some vague analogue to structurally similar human behavior. A functional analysis of cooperation might focus, instead, on a more homologous relation to what is called cooperation in humans. This in turn could lead to an analysis of the controlling variables of the behavior of each co-actor. In the present study, for example, cooperation might be considered as behavior under the control of two interdependent behavior chains, a fluid, dynamic contingency the completion of which is reinforced. The discriminative stimuli for responding in these chains were, minimally, the movements of the co-actor and the presence and absence of reinforcement (cf. Reid, 1958). Whether the resulting “cooperative” behavior is simply the sum of basic behavioral processes or is qualitatively or quantitatively different from that sum is an important question open for further analysis, both experimental and conceptual (cf. Pitts et al., 2019, this issue).
Acknowledgments
This project comprised the first author’s undergraduate honors thesis in the Department of Psychology at West Virginia University. She is now at the University of Rochester. We thank Brian Katz for his assistance in data analysis. Preparation of the manuscript was supported in part by a fellowship to the second author from the Japanese Society for the Promotion of Science.
References
Azrin, N. H., & Lindsley, O. R. (1956). The reinforcement of cooperation between children. Journal of Abnormal and Social Psychology, 52, 100-102. https://doi.org/10.1037/h0042490
Daniel, W. J. (1942). Cooperative problem solving in rats. Journal of Comparative and Physiological Psychology, 34, 361–368. https://doi.org/10.1037/h0062264
Daniel, W. J. (1943). Higher order cooperative problem solving in rats. Journal of Comparative and Physiological Psychology, 35, 297-305. http://dx.doi.org/10.1037/h0056629
de Carvalho, L. C., dos Santos, L., Regaço, A., Barbosa, T. B., da Silva, R. F., de Souza, D. G., & Sandaker, I. (2018). Cooperative responding in rats maintained by fixed- and variable-ratio schedules. Journal of the Experimental Analysis of Behavior, 110(1), 105-126. https://doi.org/10.1002/jeab.457
Hake, D.F., Vukelich, R., (1972). A classification and review of cooperation procedures. Journal of the Experimental Analysis of Behavior, 18, 333-343. https://doi.org/10.1901/jeab.1972.18-333
Keller, F. S., & Schoenfeld, W. N. (1950). Principles of psychology. New York: Appleton Century Crofts.
Mowrer, O. H. (1939). An experimentally produced” social problem” in rats (film). Department of Psychology, Institute of Human Relations, Yale University. https://www.youtube.com/watch?v=jZRyqb-d9_8
Peterson, G. B. (2004) A day of great illumination: B.F. Skinner’s discovery of shaping. Journal of the Experimental Analysis of Behavior, 82: 317–28. https://doi.org/10.1901/jeab.2004.82-317
Pitts, R. C., Hughes, C. E.., & Williams, D. C. (2019). Transitions from rich-to-lean schedules increase attack in a laboratory model of social aggression in pigeons: II. Fixed-interval schedules. Mexican Journal of Behavior Analysis, 45, 519-546
Reid, R. L. (1958). The role of the reinforcer as a stimulus. British Journal of Psychology, 49, 202-209. https://doi.org/10.1111/j.2044-8295.1958.tb00658.x
Skinner, B. F. (1953). Science and human behavior. New York: Macmillan.
Skinner, B. F. (1962). Two “synthetic social relations.” Journal of the Experimental Analysis of Behavior, 5, 531-533. https://doi.org/10.1901/jeab.1962.5-531
Tan, L., & Hackenberg, T. D. (2016). Functional analysis of mutual behavior in laboratory rats (Rattus norvegicus). Journal of Comparative Psychology, 130, 13-23. https://doi.org/10.1037/com0000015
Verhave, T. (1965). Experimental analysis of behavior. New York: Appleton Century Crofts.
Winslow, C. N. (1940). A study of experimentally induced competitive behavior in the white rat. Comparative Psychology Monographs, 15, 1-35.
Video Clip 1
http://rmac-mx.org/wp-content/uploads/2020/04/Video1.mp4
Video Clip 2
http://rmac-mx.org/wp-content/uploads/2020/04/Video2.mp4
Video Clip 3
http://rmac-mx.org/wp-content/uploads/2020/04/Video3.mp4
Video Clip 4
http://rmac-mx.org/wp-content/uploads/2020/04/Video4.mp4
Video Clip 5
http://rmac-mx.org/wp-content/uploads/2020/04/Video5.mp4