Artículos de investigación
Recepción: 28 Enero 2021
Aprobación: 29 Julio 2021
DOI: https://doi.org/ 10.5514/rmac.v47.i2.81167
Resumen: La restricción de alimento durante la gestación genera efectos postnatales que pueden afectar la conducta alimentaria influyendo en el desarrollo de obesidad durante la adultez. Se evaluaron los efectos de la restricción alimentaria durante la gestación sobre el consumo de alimento (hipercalórico y normo calórico o estándar) y peso corporal. Se conformaron dos grupos de ratas gestantes, el grupo Control recibió alimento ad libitum mientras que el grupo Restringido tuvo acceso al 50% de alimento del grupo Control. Con las crías de estas ratas se formaron cuatro grupos: machos y hembras control, machos y hembras restricción. En la preadolescencia y en la adultez tuvieron acceso al alimento estándar y al hipercalórico. Las ratas expuestas a una restricción alimentaria materna tuvieron un porcentaje mayor de peso corporal en ambos periodos, sin embargo, las diferencias sexuales solo se encontraron en la adultez en el consumo de ambos alimentos. Los resultados se discuten identificando que la restricción alimentaria prenatal y el consumo de un alimento hipercalórico en la preadolescencia genera a largo plazo un incremento en el peso corporal.
Palabras clave: restricción alimentaria materna, metabolismo, alimento hipercalórico, peso corporal.
Abstract: Maternal dietary restriction triggers long-term postnatal effects, that could affect food behavior, this may lead to the development of metabolic syndrome which can cause obesity during adulthood. The aim of the study was to determine the effect of gestational food restriction on food consumption (high-caloric and balanced diet) and body weight. Pregnant Wistar rats were divided in two groups: The Control Group received Ad libitum standard food and the Restricted Group had access to 50% of the amount of food consumed by the Control group. The offspring of these rats formed four groups: males and females control groups, males and females restricted groups. In preadolescence and adulthood, they had Ad libitum access to a high-caloric and a standard food. Subjects exposed to maternal food restriction had a higher percentage of body weight gain in both periods, however, sexual significant differences were only found during adulthood for both caloric intakes. This indicates that the prenatal food restriction and the access to palatable food in childhood, generates a greater long-term weight gain.
Keywords: prenatal food restriction, metabolism, palatable food, body weight.
Introducción
México es considerado uno de los países con mayor cantidad de sobrepeso y obesidad en sus habitantes. En la Encuesta Nacional de Salud y Nutrición realizada en el 2018 se reportó que el 73% de mujeres adultas y el 60% de las mujeres embarazadas presentan alguna de estas dos condiciones, en el caso de los hombres el porcentaje es de 69.4%. El origen de este incremento se debe a diferentes factores, los principales son, tener una rutina sedentaria en la que se eliminan menos calorías a las que se ingieren diariamente y el llevar una dieta en la que predomina el consumo de alimentos altos en grasa y carbohidratos. En contraste, se estima que en el mundo 178 millones de niños menores de cinco años sufren desnutrición crónica (baja talla para la edad), de los cuales 20.9% de los niños que viven en zonas rurales y 11.1% la presenta en las zonas urbanas (https://ensanut.insp.mx/).
La desnutrición en el periodo de gestación produce alteraciones permanentes y cambios en la estructura y tamaño de los órganos (cerebro, tejido adiposos, páncreas, músculo, hígado, corazón y riñón) así como también de las funciones metabólicas y fisiológicas del feto (de Gusmao Correia et al., 2012; García et al., 2010; Hales & Barker, 2001; Li et al., 2012). Por esta razón, un entorno intrauterino con malnutrición, restricción de alimento o desnutrición puede ser un factor de riesgo que incrementa la susceptibilidad a enfermedades crónico-degenerativas en etapas posteriores de la vida, además de cambios y alteraciones en la conducta alimentaria (Dulloo, 2008). Cuando el recién nacido con desnutrición está expuesto a una ingesta de alimento con alto consumo de grasa, y alto contenido energético, pero carente de nutrientes, se produce una serie de desórdenes metabólicos, como problemas de presión arterial, glucosa en sangre, adiposidad en cintura, elevados niveles de colesterol que resultan en obesidad y diabetes mellitus (Ross & Beall, 2008). Por otro lado, se conoce que en los primeros 5 años de vida, los seres humanos adquieren y desarrollan hábitos y pautas alimentarias, que si no son adecuados pueden afectar de manera negativa en la edad adulta.
Esto indica que el evaluar los perfiles de crecimiento durante las primeras etapas del desarrollo pueden contribuir a determinar los orígenes de la obesidad. También se sabe que existe una relación entre la desnutrición materna y la preferencia por alimentos ricos en azúcar y/o grasa. Estos descubrimientos apuntan a un efecto de la programación con repercusiones en la conducta que van desde la impulsividad por el consumo de dulces en la infancia (Silveira et al., 2012) hasta una preferencia por los carbohidratos en la edad adulta (Barbieri et al., 2009; Kaseva et al., 2013) y una mayor ingesta de grasas en la tercera edad (Lussana et al., 2008; Perälä et al., 2012).
Durante la preadolescencia y la adolescencia se llevan a cabo procesos de maduración del sistema nervioso, considerándose etapas críticas para el desarrollo. Estos cambios son dinámicos y alteran las estructuras neurológicas y su relación entre ellas (Richards et al., 2012). Debido a estos cambios del sistema nervioso, se podría inferir que existe una alteración en la percepción del valor incentivo de estímulos recompensantes, lo que llevaría a un mayor consumo de alimentos hipercalórico (Friemel et al., 2010; Spear, 2000; Wilmouth & Spear, 2009). En cuanto al valor incentivo, se sabe que las grasas son las responsables del sabor, textura y aroma de los alimentos, lo que incrementa su valor hedónico y su consumo (Drewnowski & Almiron-Roig, 2010).
Otro factor importante son las diferencias sexuales que existen en el consumo de alimento hipercalórico y en la ganancia de peso en etapas como la preadolescencia y adultez. Las hormonas sexuales, especialmente los estrógenos juegan un papel importante en la regulación alimentaria de las hembras, provocando que consuman menos alimento y por ende no aumenten tanto de peso. Es bien conocido que la ingesta calórica diaria en ratas hembra es menor que la de los machos debido a su menor masa corporal y tasa metabólica (Whitaker et al., 2011).
Por otro lado, las diferencias sexuales por alimentos hedónicos, principalmente con alto contenido en grasa, no se han estudiado ampliamente en ratas. Se conoce que las ratas hembra pueden ingerir sal casi 40% por kg de peso corporal comparadas con machos (Flynn et al., 1993); así como también ingieren más azúcar, sin incrementar el peso corporal (Rodríguez-Cuenca et al., 2002) debido en parte por su alto gasto energético (Nair & Jacob, 2016). También se conoce que si se manipula la condición metabólica de un animal puede cambiar la selección del macronutriente. Castonguay et al. (1986) reportaron que las ratas genéticamente obesas eligen una dieta alta en grasa en comparación con ratas no obesas. En relación con el patrón de consumo, Miller et al. (1994) encontraron que el consumo energético de ratas hembra durante la noche fue de 28% carbohidratos, 50% grasa y 22% proteína, siendo los carbohidratos la primera comida al inicio del ciclo de oscuridad.
Con base en lo anterior, se puede reconocer que diversos factores inciden en el consumo de alimentos con ciertas características y que existen algunas diferencias entre hembras y macho. No obstante, no se han estudiado ampliamente los efectos de la restricción alimentaria prenatal sobre el consumo y peso corporal de las crías. Es por ello que el presente estudio se diseñó con el propósito de identificar los efectos de la restricción alimentaria prenatal sobre el peso corporal y preferencias de consumo de alimento normo calórico e hipercalórico.
Método
Sujetos
Periodo prenatal
Se aparearon un total de 16 ratas Wistar de aproximadamente 4 meses de edad, obtenidas del bioterio del Instituto de Neurociencias, de la Universidad de Guadalajara. Cada hembra se puso con un mancho en una caja habitación grande y se registró que tuviera 3 eyaculaciones para poder asegurar que quedaran preñadas. Posteriormente en el día gestacional 0 (DG 0) se colocaron en cajas individuales donde tuvieron acceso a alimento y agua Ad libitum. Al DG 10 fueron divididas de manera aleatoria en dos grupos: grupo control y grupo con restricción; el grupo control tuvo acceso a alimento estándar (croqueta de laboratorio o alimento balanceado) y agua Ad libitum durante todo el periodo de gestación y lactancia. Por otro lado, el grupo con restricción alimentaria tuvo acceso al 50% de alimento estándar (de acuerdo con el consumo del grupo control) desde el DG 10 y continuó así hasta el día del nacimiento (DG 22). Durante este periodo se pesaban a las hembras cada tercer día, para registrar el aumento de peso corporal. Posteriormente en la lactancia, se restableció el libre acceso al alimento.
Periodo postnatal
A partir del destete (día postnatal (DP) 22), las crías, fueron sexadas y las camadas se estandarizaron a 10 crías cada una. En el DP 25 se formaron cuatro grupos: machos control (MCN), hembras control (HCN), machos restricción (MRS) y hembras restricción (HRS); se colocaron 3 ratas por caja (8 cajas por grupo), esta decisión se tomó debido a que las recomendaciones en salud animal para roedores de laboratorio sugieren que después del destete se coloquen a los animales en pares o triadas con el propósito de minimizar los efectos que derivan de la separación materna. A partir del DP 28, ambos grupos fueron expuestos por 12 días a un alimento hipercalórico y apetecible. Al mismo tiempo tenían acceso a alimento estándar. La conducta alimentaria se registró diariamente pesando el alimento tanto hipercalórico como el estándar (cada día se les daba 50gr de cada alimento y al día siguiente se pesaba y se le restaba lo que dejaban); mientras que el peso corporal se registró cada tercer día.
El día 60 se separaron en cajas individuales y se midió el consumo de alimento estándar, del DP 62 al 69. A partir del día 70 tanto el grupo control como el grupo experimental fueron expuestos nuevamente al consumo de alimento hipercalórico y estándar por 28 días, siguiendo los criterios anteriormente mencionados. En este periodo, el peso corporal y la conducta alimentaria fue registrada diariamente (DP 70-98). La Figura 1 muestra una representación de las fases experimentales a las que se expusieron los sujetos.

Los animales se mantuvieron en un ciclo 12/12 h de luz-oscuridad (07:00/19:00) a una temperatura de 22-23°C. Todos los procedimientos fueron apegados a la norma oficial mexicana: NOM-062-ZOO 1999 (Especificaciones Técnicas para la Producción, Cuidado y Uso de los Animales de Laboratorio), así como a la Guía para el Cuidado y Uso de Animales de Laboratorio (Institute of Laboratory Animal Resources, Commission on Life Sciences, National Research Council, 1996); el experimento fue sometido al Comité de Ética del Instituto de Neurociencias con número de registro ET112012-126.
Dieta
La dieta hipercalórica fue realizada en el laboratorio de Farmacología y Conducta, del Instituto de Neurociencias, de la Universidad de Guadalajara. Se llevó acabo de acuerdo con los nutrimentos y alto contenido calórico que se requerían para el experimento, se buscó que tuviera más kcals que la dieta balanceada, posteriormente se realizó el análisis bromatológico en Laboratorios Becar ®. Consideramos que es un alimento apetecible ya que se hizo un piloto y un experimento previo, en donde se observó, en ambos casos, que las ratas consumían mayor cantidad de este alimento que de la croqueta de laboratorio.
La mezcla estuvo conformada por leche condensada de marca comercial “La Lechera” ® (33%), nuez de macadamia (33%) más azúcar pulverizada (33%) con una cantidad de 4.94 kcal/gr, se realizó moliendo los ingredientes sólidos y finalmente se le agregó la leche condensada para hacer una masa maleable. La dieta balanceada estaba compuesta de pellet estándar de laboratorio 3.36 kcal/gr (Rodent chow 5001®).
Análisis estadístico
Para analizar la ganancia de peso y el consumo de alimento obtenidos a lo largo del experimento se realizó un ANOVA de dos vías para grupos independientes donde las variables fueron el factor grupo (Control vs. Restricción) y el factor sexo (Macho vs. Hembra). También se realizaron ANOVAs de dos vías con medidas repetidas (días vs. grupo) para comparar el consumo de alimento estándar e hipercalórico lo largo de los días. El programa estadístico utilizado fue Graphpad Prism 7.
Resultados
Nacimiento y destete
La Figura 2a presenta el peso de las crías de los grupos de machos y hembras tanto con restricción alimentaria como sin restricción (control). Al nacer no se encontraron diferencias en el número de crías entre grupos. A las 24 horas de nacidas se pesó a las crías. El ANOVA mostró que las crías con restricción tuvieron menos peso que sus pares control [F (1,28) = 39.21 p < 0.0001], no se encontraron diferencias en el peso entre hembras y machos.

Nota. Peso de las crías el DP 1 (gr).
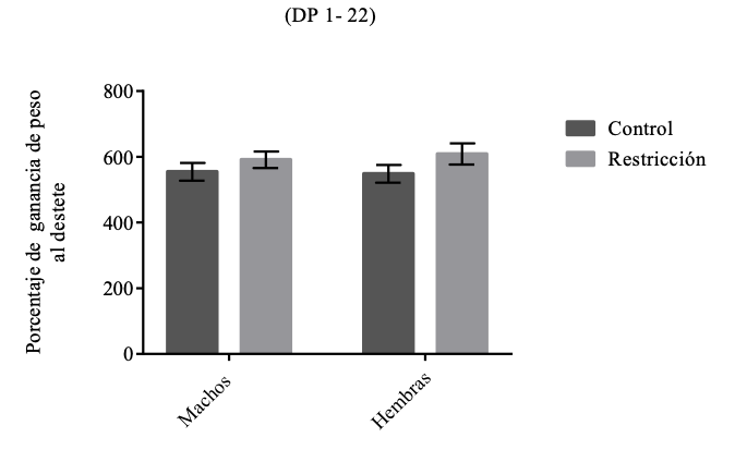
En la Figura 2b se presenta el porcentaje de ganancia de peso al destete para los grupos de machos y hembras tanto con restricción alimentaria como sin restricción (control). Para determinar el porcentaje de peso corporal, se realizó una resta del peso al destete menos el peso al nacer, el resultado se dividió entre el peso inicial y se multiplicó por 100. Las crías con restricción tienden a ganar un mayor porcentaje de peso en comparación con sus pares control, [F (1, 28) = 4.855 p = 0.360], no se encontraron diferencias entre machos y hembras.

Nota. Porcentaje de ganancia de peso tras el destete para machos y hembras control (gris oscuro) y con restricción alimentaria durante la gestación (gris claro). Las barras indican la M±EE, (*p<0.0001).
Preadolescencia
En la Figura 3a se presenta el consumo de alimento normo calórico, mientras que en la Figura 3b se presenta el consumo del alimento hipercalórico para los grupos de machos y hembras tanto con restricción alimentaria como de los sujetos control. El análisis de grupos independientes (grupo vs. sexo) no mostró diferencias en el factor grupo, ni en la interacción, durante el consumo de alimento normo calórico. Sin embargo, si se encontraron diferencias significativas en el factor sexo [F (1,28) = 4.619, p = 0.04]. Los machos consumieron mayor proporción de alimento estándar en comparación con las hembras independientemente de la condición alimentaria.
En el consumo de alimento hipercalórico no se encontraron diferencias significativas en ninguno de los factores, ni en la interacción (grupo vs. sexo).

Nota. Consumo de alimento estándar (Kcal/kg de peso corporal).

Nota. Consumo de alimento hipercalórico (Kcal/kg de peso corporal) durante la preadolescencia (DP 28-39), para machos y hembras control (gris oscuro) y con restricción alimentaria durante la gestación (gris claro). Las barras indican la M±EE, (* p=0.04).
La ganancia de peso corporal se presenta en la Figura 4, el análisis mostró diferencias tanto en el sexo [F (1, 28) = 10.8, p = 0.0027] como entre grupos (restricción vs. control) [F (1.28) = 4.855; p = 0.036], sin encontrar diferencias en la interacción. El factor sexo mostró que los machos ganaron mayor peso durante la preadolescencia en comparación con las hembras. Las hembras como los machos con restricción fueron significativamente más pesados al compararlos con sus pares controles.

Nota. Porcentaje de ganancia de peso (gr) durante la etapa de preadolescencia (DP 28-39) para machos y hembras control (gris oscuro) y con restricción alimentaria durante la gestación (gris claro). Las barras indican la M±EE, (* p=0.0036).
Adultez
En la etapa adulta los cuatro grupos fueron expuestos nuevamente al alimento hipercalórico y estándar (normo calórico) por 24 horas durante 28 días (DP 70-98). La Figura 5a presenta el consumo de alimento estándar, mientras que la Figura 5b muestra el consumo del alimento hipercalórico para los machos y hembras de los grupos con restricción como control. El análisis confirmó diferencias por del sexo en el consumo de alimento estándar; los machos consumieron más kcal de alimento estándar que las hembras [F (1,44) = 10.71, p = 0.0021], independientemente del grupo, no encontramos diferencias entre grupos, ni en la interacción.
En el consumo de alimento hipercalórico, se encontraron diferencias significativas (sexo vs. grupo), para el factor sexo, siendo las hembras quienes ingirieron mayor cantidad [F (1,44) = 48.35, p < 0.0001], no se observaron diferencias entre grupos, ni en la interacción.

Nota. Consumo de alimento estándar (kcal/kg de peso corporal) en la adultez (DP 70-97).

Nota. Consumo de alimento hipercalórico (kcal/kg de peso corporal) para machos y hembras control (gris oscuro) y con restricción alimentaria durante la gestación (gris claro); Las barras indican la M±EE. (* p<0.0001) (+ p=0.0021).
La Figura 6 presenta el consumo de alimento hipercalórico diario para los machos y las hembras con restricción alimentaria y de los sujetos control. Se encontró una disminución en el consumo conforme pasaron los días [F (27,1188) = 74.24, p < 0.0001] y que los machos consumen menos que las hembras [F (3,44) = 16.97, p < 0.0001], la interacción también fue significativa [F (81,1188) =1.35, p < 0.0001].

Nota. Consumo alimento hipercalórico (Kcal/kg) / diario para machos y hembras control y con restricción alimentaria durante la gestación en la adultez (DP 70-97). Las barras indican la M + EE.
El porcentaje de ganancia de peso de los machos y las hembras de los grupos con restricción alimentaria y control se presenta en la Figura 7. De manera general se observa que los machos ganaron más peso que las hembras independientemente de la condición alimentaria [F (1,44) =87.16, p<0.0001]. Las ratas expuestas a la restricción alimentaria durante la gestación ganaron más peso durante la adultez comparado con sus controles [F (1,44) =6.248, p=0.0162], no se encontraron diferencias significativas en la interacción.

Nota. Porcentaje de ganancia de peso para machos y hembras, control y con restricción alimentaria durante la gestación, en la adultez (DP 70-97). Las barras indican la M±EE, (* p=0.0162).
Discusión
La restricción alimentaria durante la gestación resultó en bajo peso de las crías en comparación a las crías de las hembras control, este resultado es consistente con la literatura que establece que una restricción alimentaria durante un periodo específico de la gestación es suficiente para que las crías nazcan con un bajo peso (Bonesso-Alves et al., 2015; Desai et al., 2004).
Asimismo, un ambiente fetal donde hubo restricción de alimento o de nutrientes aunado con la disponibilidad de alimento alto en carbohidrato o grasa en la etapa adulta, promueve la obesidad, causando la disfunción en los sistemas metabólicos que controlan la ingesta y el almacenamiento de alimentos. El feto se adapta a la desnutrición materna a través de cambios en la producción de hormonas fetales y placentarias que regulan el metabolismo, redistribuyen el flujo sanguíneo y controlan el crecimiento (Myatt, 2006).
Al final del embarazo, cuando los tejidos y órganos se desarrollan rápidamente, cualquier retraso en el crecimiento afecta significativamente a los órganos y provoca desproporciones en el tamaño de éstos, de tal manera que, durante la desaceleración del crecimiento, el feto intenta proteger los tejidos (Kwon & Kim, 2017). Vickers et al. (2000) reportaron que después de una restricción materna del 30% durante todo el periodo de gestación, las crías nacieron con bajo peso y mostraron hiperfagia desde el destete hasta la edad adulta en comparación con ratas que tuvieron una nutrición materna promedio.
Por otro lado, Desai et al. (2004) compararon las consecuencias de la desnutrición en tres momentos del desarrollo: un grupo fue expuesto a una restricción alimentaria del 50% a partir del día 10 del embarazo; a otro grupo se le impuso una restricción del 50%, durante la lactancia; un tercer grupo se restringió en ambos periodos y un grupo control que no tuvo restricción. El gr ggrupo con desnutrición únicamente durante el periodo de gestación fue el que tuvo mayor consumo de alimento, y una ganancia de peso mayor en comparación con los otros tres grupos. Los autores concluyeron que la obesidad de las crías pudo ser resultado de ajustes durante el desarrollo fetal en los mecanismos de regulación como consecuencia de la restricción al alimento.
Los resultados del presente estudio muestran que la restricción alimentaria generar una mayor ganancia de peso que va evolucionando conforme los sujetos crecen y se hace más evidente en la etapa adulta. Lo novedoso de este experimento fue que podemos interpretar que la restricción alimentaria no necesariamente genera una mayor ingesta de alimentos ni una mayor preferencia por el alimento hipercalórico, sino que impacta en la manera que el sujeto con restricción transforma la energía obtenida en depósitos de grasa y esto puede llegar a generar una resistencia a la leptina a largo plazo, ya que se sabe que esta hormona es la causante de la hiper-leptinemia o resistencia a la leptina en la obesidad (Djiane & Attig, 2008). En este estudio, la desnutrición pudiera estar causando el incremento significativo del peso corporal en la edad adulta en ambos sexos debido posiblemente a la resistencia a la leptina. Esto se puede apoyar con los resultados de un estudio piloto desarrollado en nuestro laboratorio (datos no publicados), en el que se realizó la misma manipulación en ratas hembra de 45 días de edad, a las que se les determinó las concentraciones de leptina en suero, se observó que el grupo con restricción tuvo niveles más altos de leptina que las hembras control. Asimismo, Delahaye et al. (2008) encontraron un decremento de la concentración de leptina en plasma de machos con desnutrición materna al 50% en comparación con el grupo control. Por lo que podemos concluir que la desnutrición puede causar cambios metabólicos y en la concentración de la leptina que modifican el peso corporal.
Además de la restricción alimentaria durante el periodo fetal, un factor clave que podría determinar una mayor ganancia de peso en la adultez, es la rapidez con la que una cría, que fue expuesta ante un evento aversivo en el vientre materno, nace con bajo peso y lo recupera en la edad adulta, en comparación con crías normales. Esta rápida recuperación de peso puede ser generada por la combinación de varios factores como pueden ser el medio externo, los cuidados que provee la madre, la calidad de la lactancia, así como cambios ontogénicos pertinentes del desarrollo de la cría (Eleftheriades et al., 2014; Vickers & Sloboda, 2012).
Por otro lado, en la conducta alimentaria, durante la preadolescencia, encontramos diferencias significativas únicamente entre sexos. En la ingesta de alimento estándar, fueron los machos quienes consumieron en mayor proporción que las hembras, aunque no se encontraron diferencias significativas en el consumo de alimento hipercalórico. Se sabe que la ingesta de energía total diaria en ratas macho supera la de las hembras en una medida mayor de lo previsto, debido a su mayor masa corporal magra y tasa metabólica (Whitaker et al., 2011; Woodward & Emery, 1989). Jones y Friedman (1982) mostraron que, entre crías de ratas embarazadas y desnutridas durante la gestación temprana, los machos mostraron hiperfagia y obesidad en la adultez, pero las hembras no se vieron afectadas. Asimismo, durante la preadolescencia se registraron los primeros indicios de diferencias sexuales en la ganancia de peso entre machos y hembras (a partir del día 36 los machos fueron significativamente más pesados que las hembras). Estas variaciones también pudieran ser explicadas por los cambios en la disposición de leptina durante la preadolescencia ya que es a partir del día 30 aproximadamente cuando las concentraciones de esta hormona cambian dependiendo del sexo. Smith y Wadell (2003) describen que a partir de este día los machos presentan un constante aumento de leptina y esto se correlaciona con una mayor ganancia de peso. Las hembras por otro lado tienden a mantener los niveles de leptina constantes y esto se refleja en su menor ganancia de peso.
Otro resultado importante que encontramos fue que en la adultez las hembras independientemente de la condición alimentaria consumían más alimento hipercalórico que los machos. Existe cierta discrepancia en estudios en donde se han encontrado que los estrógenos producen efectos en el consumo de un alimento apetecible, sin embargo, la generalización de que el estradiol reduce el apetito se limita a ciertos enfoques metodológicos. Por otro lado, hay estudios en los que se ha reportado que ratas hembra muestran un incremento en la preferencia por soluciones azucaradas, diferencias que están relacionadas con los niveles hormonales ováricos (Asarian & Geary, 2006; Atchley et al., 2005; Curtis et al., 2005). En este estudio encontramos un incremento del consumo de alimento hipercalórico (altamente apetecible) independientemente de la condición alimentaria en las hembras, el cual no causó un aumento significativo en el peso corporal en comparación con los machos, posiblemente debido a que se considera que los estrógenos juegan un papel importante en la regulación de la homeostasis.
A pesar de no haberse encontrado diferencias significativas en el consumo del alimento hipercalórico en la adultez, se encontraron diferencias significativas en la ganancia de peso entre el grupo restricción y el control, independientemente del sexo. Estos resultados nos permiten inferir que los cambios en la alimentación materna, como una restricción calórica, pueden impactar en la ganancia de peso de las crías en la adultez. Posiblemente lo que pudiera suceder es que se estén generando cambios en la regulación del balance energético o en la absorción de los nutrientes y de esta manera afectar el peso corporal sin un aumento del consumo de alimento.
Por otro lado, se encontraron diferencias sexuales en cuanto al consumo de alimento estándar, siendo los machos los que tuvieron mayor ganancia de peso y consumo de kcals de alimento estándar tanto en la preadolescencia como en la adultez. Sin embargo, las hembras consumieron mayor kcals de alimento hipercalórico y ganaron menos peso en comparación con los machos. Se ha descrito que estas diferencias sexuales pueden ser ocasionadas por la actividad de los estrógenos en la regulación del peso; ratas hembra que fueron expuestas a una restricción proteica durante la gestación tuvieron niveles bajos de POMC que es un péptido anorexigénico, y tras un tratamiento de estradiol mostraron niveles de POMC similares a los de sus pares control (Carrillo et al., 2016). Se considera que el estradiol tiene efectos protectores de peso en la hembra expuesta a dietas altas en grasas (Stubbins et al., 2012). Por otro lado, Litwak et al. (2014) encontraron que las ratas hembra ovariectomizadas (OVX) y con una dieta alta en grasa (AG) eran significativamente más pesadas y tenían más grasa visceral que las hembras sin OVX y con AG así como con las hembras controles con y sin OVX. Estos resultados destacan la relevancia de los estrógenos endógenos en la atenuación de los efectos obesogénicos y de acumulación de grasa visceral con la alimentación AG. La acción del estradiol sobre la regulación de peso podría explicar por qué las hembras a pesar de consumir una dieta hipercalórica tienden a ganar menos peso en comparación a los machos.
Conclusión
Con este estudio podemos resaltar la importancia que tiene una dieta adecuada durante los periodos críticos como el periodo fetal, el neonatal y la preadolescencia, ya que alteraciones en los patrones alimentarios (ingesta de alimentos hipercalórico altos en grasa o carbohidrato) en estos periodos, pueden incidir en el peso corporal, en etapas futuras; es decir que la combinación de la desnutrición en el periodo fetal y la composición de la dieta posnatal puede contribuir a desarrollar obesidad en la edad adulta.
En cuanto a las diferencias sexuales concluimos que las hormonas sexuales y la leptina se encuentran íntimamente relacionadas, particularmente con los estrógenos los cuales funcionan como un factor protector para que las hembras que tienden a ganar menos peso corporal que los machos.
Referencias
Asarian, L. & Geary, N. (2006). Modulation of appetite by gonadal steroid hormones. Philosophical Transactions of the Royal Society B: Biological Sciences, 361(1471), 1251-1263. https://doi.org/10.1098/rstb.2006.1860
Atchley, D. P., Weaver, K. L. & Eckel, L. A. (2005). Taste responses to dilute sucrose solutions are modulated by stage of the estrous cycle and fenfluramine treatment in female rats. Physiology & Behavior, 86(3), 265-271. https://doi.org/10.1016/j.physbeh.2005.08.001
Barbieri, M.A., Portella, A.K., Silveira, P.P., Bettiol, H., Agranonik, M., Silva, A.A. & Goldani, M.Z. (2009). Severe intrauterine growth restriction is associated with higher spontaneous carbohydrate intake in young women. Pediatric Research, 65,215–220. https://doi.org/10.1203/PDR.0b013e31818d6850
Bonesso-Alves M., Dalle-Molle, R., Desai, M., Ross, M. & Pelufo-Silveira, P. (2015). Increased palatable food intake and response to food cues in intrauterine growth-restricted rats are related to tyrosine hydroxylase content in the orbitofrontal cortex and nucleus accumbens. Behavioural Brain Research, 267, 73-81. https://doi.org/10.1016/j.bbr.2015.03.019
Castonguay, T.W., Dallman, M.F. & Stern, J.S. (1986). Some metabolic and behavioral effects of adrenalectomy on obese Zucker rats. American Journal of Physiology, 251, R923-933.
Curtis, K. S., Stratford, J. M. & Contreras, R. J. (2005). Estrogen increases the taste threshold for sucrose in rats. Physiology & Behavior, 86(3), 281-286. https://doi.org/10.1016/j.physbeh.2005.08.002
de Gusmao Correia, M. L., Volpato, A. M., Aguila, M. B. & Mandarim-de-Lacerda, C.A. (2012). Developmental origins of health and disease: experimental and human evidence of fetal programming for metabolic syndrome. Journal of Human Hypertension. 26(7): 405-419. https://doi.org/10.1038/jhh.2011.61.
Delahaye, F., Breton, Ch., Risold, PY., Enache, M., Dutriez-Casteloot, I., Laborie, Ch., Lesage, J. & Vieau, D. (2008). Maternal Perinatal Undernutrition Drastically Reduces Postnatal Leptin Surge and Affects the Development of Arcuate Nucleus Proopiomelanocortin Neurons in Neonatal Male Rat Pups. Endocrinology, 149(2):470–475. https://doi.org/10.1210/en.2007-1263
Desai, M., Gayle, D., Babu J. & Ross, M. (2004). Programmed obesity in intrauterine growth-restricted newborns: modulation by newborn nutrition. American Journal of Physiology Regulatory Integrative and Comparative Physiology, 288, R91-R96 https://doi.org/10.1152/ajpregu.00340.2004
Djiane, J. & Attig, L. (2008). Role of leptin during perinatal metabolic programming and obesity. Journal of Physiology and Pharmacology, 59(suppl 1):55–63.
Drewnowski, A. & Almiron-Roig, E. (2010). Human perceptions and preferences for fat-rich foods. En: Fat Detection: Taste Texture, Post Ingestive Effects. Boca Raton (FL): CRC Press/Taylor & Francis; p. 265-91.
Dulloo, A. G. (2008). Thrifty energy metabolism in catch-up growth trajectories to insulin and leptin resistance. Best Practice & Research Clinical Endocrinology & Metabolism. 22(1): 155-171. https://doi.org/10.1016/j.beem.2007.08.001.
Eleftheriades, M., Pervanidou, P., Vafaei, H., Vaggos, G., Dontas, I., Skenderi, K., Sebire, N.J. & Nicolaides, K. (2014). Metabolic profiles of adult Wistar rats in relation to prenatal and postnatal nutritional manipulation: the role of birthweight. Hormones, 13(2), 268-279. https://link.springer.com/article/10.1007/BF03401341
Flynn, F.W., Schulkin, J. & Havens, M. (1993). Sex differences in salt preference and taste reactivity in rats. Brain Research Bulletin, 32:91–95 https://doi.org/10.1016/0361-9230(93)90061-F
Friemel, C., Spanagel, R. & Schneider, M. (2010). Reward sensitivity for a palatable food reward peaks during pubertal developmental in rats. Frontiers in Behavioral Neuroscience, 4, 1-10. https://doi.org/10.3389/fnbeh.2010.00039
García, A.P., Palou, M., Priego, T., Sánchez, J., Palou, A. & Pico, C. (2010). Moderate caloric restriction during gestation results in lower arcuate nucleus NPY- and alpha-MSH-neurons and impairs hypothalamic response to fed/fasting conditions in weaned rats. Diabetes, Obesity and Metabolism. 12(5): 403-13. https://doi.org/10.1111/j.1463-1326.2009.01174.x.
Hales, C.N. & Barker, D.J. (2001). The thrifty phenotype hypothesis: Type 2 diabetes. British Medical Bulletin. 60(1), 5-20. https://doi.org/10.1093/bmb/60.1.5.
Jones, A. P. & Friedman, M. I. (1982). Obesity and adipocyte abnormalities in offspring of rats undernourished during pregnancy. Science, 215, 1518–1519.
Kaseva, N., Wehkalampi, K., Hemio, K., Hovi, P., Jarvenpaa, A.L., Andersson, S., Eriksson, J.G., Lindstrom, J. & Kajantie, E. (2013). Diet and nutrient intake in young adults born preterm at very low birth weight. Journal of Pediatrics, 163, 43–48. https://doi.org/10.1016/j.jpeds.2012.12.076
Kwon, E.J. & Kim, Y.J. (2017). What is fetal programming? a lifetime health is under the control of in utero health. Obstetrics & Gynecology Science, 60,506-519. https://doi.org/10.5468/ogs.2017.60.6.506
Li, Y., González, P. & Zhang, L. (2012) Fetal stress and programming of hypoxic/ischemic-sensitive phenotype in the neonatal brain: mechanisms and possible interventions. Progress of Neurobiology. 98(2): 145-165. https://doi.org/10.1016/j.pneurobio.2012.05.010.
Litwak, S.A., Wilson, J.L., Chen, W., Garcia-Rudaz, C., Khaksari, M., Cowley, M.A. & Enriori, P.J. (2014) Estradiol prevents fat accumulation and overcomes leptin resistance in female high-fat diet mice. Endocrinology 155(11):4447-60. https://doi.org/10.1210/en.2014-1342
Lussana, F., Painter, R.C., Ocke, M.C., Buller, H.R., Bossuyt, P.M. & Roseboom, T.J. (2008). Prenatal exposure to the Dutch famine is associated with a preference for fatty foods and a more atherogenic lipid profile. American Journal of Clinical Nutrition, 88, 1648–1652. https://doi.org/10.3945/ajcn.2008.26140
Miller, G.D., Hrupka, B.J., Gietzen, D.W., Rogers, Q.R. & Stern, J.S. (1994). Rats on a macronutrient self-selection diet eat most meals from a single food cup. Appetite, 23(1),67–78. https://doi.org/10.1006/appe.1994.1035
Myatt, L. (2006) Placental adaptive responses and fetal programming. Journal of Physiology, 572,25-30. https://doi.org/10.1113/jphysiol.2006.104968
Nair, A.B. & Jacob, S. (2016). A simple practice guide for dose conversion between animals and human. Journal of Basic Clinical Pharmacy, 7,27–21 https://doi.org/10.4103/0976-0105.177703
Perälä, M.M., Männistö, S., Kaartinen, N.E., Kajantie, E., Osmond, C., Barker, D.J., Valsta, L.M. & Eriksson, J.G. (2012). Body size at birth is associated with food and nutrient intake in adulthood. PLoS One 7, e46139. https://doi.org/10.1371/journal.pone.0046139
Richards, M.J., Plate, C.R. & Ernst, M. (2012) Neural systems underlying motivated behavior in adolescence: Implications for preventive medicine Preventive Medicine, 55, 7-16. https://doi.org/10.1016/j.ypmed.2011.11.016
Rodríguez-Cuenca, S., Pujol, E., Justo, R., Fronteras, M., Oliver, J., Gianotti, M. & Roca, P. (2002). Sex-dependent thermogenesis, differences in mitochondrial morphology and function, and adrenergic response in brown adipose tissue. Journal of Biological Chemistry, 277,42958–42963 https://doi.org/10.1074/jbc.M207229200
Ross, M.G. & Beall, M.H. (2008). Adult sequelae of intrauterine growth restriction. Seminars in Perinatology, 32(3):213-8. https://doi.org/10.1053/j.semperi.2007.11.005
Silveira, P.P., Agranonik, M., Faras, H., Portella, A.K., Meaney, M.J. & Levitan, R.D. (2012). Preliminary evidence for an impulsivity- based thrifty eating phenotype. Pediatric Research, 71, 293–298. https://doi.org/10.1038/pr.2011.39
Smith, J.T. & Waddell, B.J. (2003). Developmental changes in plasma leptin and hypothalamic leptin receptor expression in the rat: peripubertal changes and the emergence of sex differences. Journal of Endocrinology, 176(3), 313-319. https://doi.org/10.1677/joe.0.1760313
Spear, L. (2000). The adolescent brain and age-related behavioral manifestations. Neuroscience and Biobehavioral Reviews, 24, 417-463. https://doi.org/10.1016/S0149-7634(00)00014-2
Stubbins, R.E., Holcomb, V.B., Hong, J. & Núñez, N.P. .2012). Estrogen modulates abdominal adiposity and protects female mice from obesity and impaired glucose tolerance. European Journal of Nutrition, 51(7):861– 870. https://doi.org/10.1007/s00394-011-0266-4
Vickers, M. H. & Sloboda, D. M. (2012). Leptin as mediator of the effects of developmental programming. Best Practice & Research Clinical Endocrinology & Metabolism, 26(5), 677-687. https://doi.org/10.1016/j.beem.2012.03.005
Vickers, M.H., Breier, B.H., Cutfield, W.S., Hofman, P.L. & Gluckman, P.D. (2000). Fetal origins of hyperphagia, obesity, and hypertension and postnatal amplification by hypercaloric nutrition. American Journal of Physiology-Endocrinology Metabolism, 279, E83-87. https://doi.org/10.1152/ajpendo.2000.279.1. E83
Whitaker, K.W., Totoki, K. & Reyes, T.M. (2011). Metabolic adaptations to early life protein restriction differ by offspring sex and post-weaning diet in the mouse. Nutrition, Metababolism & Cardiovascular Diseases, 22(12): 1067–1074. https://doi.org/10.1016/j.numecd.2011.02.007
Wilmouth, C. & Spear, L. (2009). Hedonic sensitivity in adolescent and adult rats: Taste reactivity and voluntary sucrose consumption. Pharmacology Biochemical and Behavior, 92, 566-573. https://doi.org/10.1016/j.pbb.2009.02.009
Woodward, C. J. & Emery, P. W. (1989). Energy balance in rats given chronic hormone treatment. 2. Effects of corticosterone. British Journal of Nutrition, 61, 445–452. https://doi.org/10.1079/BJN19890134