Resumen: La renovación es el aumento de una respuesta extinguida debido al cambio del contexto de extinción. Un experimento estudió la reaparición de una respuesta operante producida por la renovación posterior a la extinción (Ext) o a un programa de reforzamiento diferencial de tasas bajas (RDB). Cuatro grupos de participantes (AAA-RDB, ABARDB, AAA-Ext, ABA-Ext ), aprendieron dos respuestas (R1 y R2) bajo un programa múltiple intervalo variable 4s-intervalo variable 4s (IV4IV4). Una segunda fase implementó un procedimiento de extinción o de RDB para suprimir R1, mientras R2 continúo reforzada, finalmente, se presentó una fase de prueba. En los grupos AAA sin cambio de contexto, todas las fases ocurrieron en el mismo contexto, mientras que en los grupos ABA el contexto cambió durante la extinción o el RDB. La prueba para todos los grupos se realizó en el contexto A. Los resultados mostraron que todos los grupos aprendieron ambas respuestas en la primera fase, pero disminuyeron R1 durante la fase de extinción o RDB. Durante la prueba en los grupos AAA y ABA, la tasa de R2 fue alta. Mientras que R1 permaneció suprimida en los grupos AAA, mientras que R1 reapareció solo en los grupos ABA. La renovación observada en el RDB es menor que la renovación en la extinción. Estos hallazgos sugieren que el contexto modula diferencialmente la reaparición de las respuestas operantes suprimidas en la extinción o el RDB.
Palabras clave: renovación, extinción, DRB, recaídas, humanos.
Keywords: renewal, extinction, DRL, relapses, humans
Artículos de investigación
Renovación de Respuestas Operantes en Humanos Después de Extinción y Reforzamiento Diferencial de Tasas Bajas (RDB)
Renewal of Operant Responses in Humans After Extinction and Differential Reinforcement of Lower Rates (DRL
Recepción: 14 Febrero 2022
Aprobación: 12 Mayo 2022
La conducta operante es definida como aquella conducta que es emitida por un organismo sin ningún antecedente que la origine y hace referencia a los eventos que ocurren como consecuencia de su ocurrencia (Skinner, 1938). Su estudio ha caracterizado una aproximación basada en el estudio funcional del comportamiento conocida como Análisis Experimental de la Conducta (AEC) dedicada al estudio de las variables ambientales de las cuales la conducta es función. Desde sus inicios, esta aproximación se ha caracterizado por proponer un análisis funcional dedicado a la descripción de las relaciones entre la conducta y el ambiente que tiene como finalidad la predicción y control del comportamiento (Malott & Kohler, 2021).
Una de las implicaciones de la metodología derivada del AEC ha sido la posibilidad de poder incrementar o decrementar la frecuencia de una respuesta operante cuando se identifican y manipulan funcionalmente sus antecedentes y consecuentes, lo que ha permitido la intervención sobre conductas problema en situaciones aplicadas. Así, el Análisis Conductual Aplicado (Carr & Durand, 1985) considerado como la aplicación de los principios básicos del AEC, se ha preocupado por la intervención en situaciones aplicadas, bien sea del incremento o supresión de conductas mediante la manipulación de los elementos que determinan su emisión y frecuencia. Por lo que puede ser considerado como una aproximación traslaciónal que complementa los principios básicos del AEC observados en el laboratorio al considerar su generalidad y aplicación en el diseño de intervenciones para la solución de conductas problema. Lo que ha obtenido mejores resultados cuando investigadores básicos colaboran conjuntamente con especialistas aplicados (Kelley et al, 2015; Mace & Critchfield, 2010).
En el Análisis Conducatual Aplicado, los procedimientos más eficaces para reducir la probabilidad de ocurrencia de respuestas no deseadas y que son empleados ampliamente en el ámbito aplicado han sido, la extinción, el reforzamiento diferencial de otras conductas (RDO) y el reforzamiento diferencial de tasas bajas (RDB), entre otros. Estos procedimientos son eficaces en la supresión de conductas problema y su uso ha sido ampliamente difundido en situaciones de intervención conductual (Malott & Kohler, 2021).
El procedimiento más conocido para el decremento de una respuesta operante es la extinción, la cual puede entenderse como dejar de reforzar una respuesta inicialmente reforzada, que tiene como resultado que la conducta disminuya en frecuencia, a un nivel similar al que tenía antes de ser reforzada (Skinner, 1956). Actualmente, la extinción es empleada en el ámbito aplicado como un procedimiento efectivo para la disminución de conductas problema (Ducharme & van Houten, 1994; Malott & Kohler, 2021; Weiss, 2013).
Alternativamente, en un programa RDO, cualquier conducta que no sea la operante que ocurra durante un tiempo determinado, es reforzada y su resultado es la disminución de la frecuencia de la respuesta (Zane & Davis, 2013). Por lo que la contingencia en el RDO es definida negativamente, ya que la entrega del reforzador depende de la omisión de la operante durante un periodo de tiempo y sus efectos sobre la respuesta son indistinguibles de los de la extinción. Con la ventaja adicional de mantener un nivel similar de reforzamiento durante el RDO similar al de la operante original. Por lo que el RDO es actualmente uno de los procedimientos aplicados más empleados para la disminución de conductas problema (Jessel & Ingvarsson, 2016; Petscher, et al., 2009).
Un procedimiento menos estudiado pero que también tiene como resultado un decremento de la conducta operante, es el reforzamiento diferencial de tasas bajas (RDB). En el cual el reforzador es contingente a la ocurrencia de tiempos entre respuesta (TER) mayores a un periodo seleccionado de tiempo, así cuando ocurren valores iguales o mayores al TER se presenta el reforzador, dando como resultado una menor frecuencia de respuestas (Kramer & Rilling, 1970). Por tanto, la reducción de las respuestas observada se atribuye al reforzamiento diferencial de TERs largos, produciendo una ocurrencia espaciada de las respuestas y por tanto una tasa baja (Wilson & Keller, 1953). El RDB ha sido empleado con éxito en ambientes aplicados para la reducción de conductas problemáticas en educación (Deitz, 1977) y conductas disfuncionales (Turner, et al., 1990).
Sin embargo, se ha señalado que en estos procedimientos empleados para la disminución de conductas problema pueden observarse recaídas, donde la conducta problema reaparece. Las recaidas mas estudiadas han sido aquellas que ocurren al cambiar el contexto físico del tratamiento. Así, un cambio en el contexto original donde se implementa la intervención, hace que la conducta problema reaparezca (Bouton, 2002; 2019; Podlesnik, et al., 2017). Al presente esta reaparición de la respuesta extinguida ha sido observada no solo al presentar el contexto de adquisición conocido como renovación ABA. Esta reaparición de la respuesta puede observarse tambien al presentar un contexto novedoso y es conocido como renovación AAB o ABC (Bernal-Gamboa, et al, 2012; Ritchey et al., 2021; Ritchey et al., 2022). Una posible explicación de este fenómeno supone la imposición de un nuevo aprendizaje durante el tratamiento el cual se hace dependiente del contexto al ser contrario al primer aprendizaje. Por lo que el contexto modula la ausencia del reforzamiento y por tanto de la supresión de la respuesta, produciendo la reaparición de la respuesta cuando el contexto del segundo aprendizaje cambia (Bouton & Todd, 2014). Esta reaparición de la respuesta suprimida es conocida en la literatura como renovación y ha sido estudiada inicialmente en el condicionamiento pavloviano. La renovación es el aumento de una RC extinguida debido al cambio del contexto posterior a la extinción. Donde, un EC inicialmente emparejado con un EI, es extingido en un segundo contexto, finalmente la RC reaparece al cambiar el contexto de extinción (ver, Bouton, 2004; Bouton & King, 1983; Bouton et al., 2021).
Investigaciones recientes han mostrado que un cambio en el contexto (entendido como el conjunto estimular no definido que acompaña externa e internamente a un organismo durante el condicionamiento; Urcelay & Miller, 2014), posterior a una fase de supresión de una respuesta operante produce su reaparición (Bouton, 2019; Bouton & Todd, 2014). En el procedimiento de renovación de una respuesta operante, inicialmente una respuesta es reforzada en un contexto A, durante una segunda fase en un contexto B la respuesta deja de ser reforzada, finalmente en una prueba en el contexto A, se observa la reaparición de la respuesta (Bouton, et al., 2011). Este fenómeno ha sido observado también con otros procedimientos de supresión de respuestas operantes en animales no humanos; como el RDO (ver, Bernal-Gamboa & Nieto, 2018; Nakajima, et al, 2002) o el castigo (Bouton & Schepers, 2015). Lo que sugiere una dependencia contextual del procedimiento de supresión de una respuesta operante, entendida como el hecho de que dicha supresión ocurre unicamente en el contexto especifico en el cual se implementó el procedimiento de supresión.
A partir de la observación inicial del efecto de renovación de la conducta operante en participantes humanos (Vila, et al., 2002), la renovación de respuestas operantes suprimidas ha sido de interés para el estudio de las recaídas en humanos, al implicar la reaparición de respuestas problema (Podlesnik, et al., 2017; Ritchey et al., 2022; Saini & Mitter, 2020). Así, se ha propuesto que el estudio en humanos de la renovación operante a partir de diferentes procedimientos de supresión de la respuesta operante como la extinción (Bernal-Gamboa, et al, 2020; Kelley, et al., 2015) o el RDO (Vila, et al., 2020).
Sin embargo, actualmente no existen estudios con participantes humanos que evalúen la renovación de una respuesta operante a partir de otros procedimientos de decremento de la respuesta, tales como el RDB o el castigo, los cuales implican un cambio en las contingencias del reforzamiento de una respuesta operante, pero que tienen en común la supresión de esta. La importancia para el caso del RDB, radica en que en este programa la contingencia impuesta no incide directamente sobre la emisión de la respuesta, sino en su distribución temporal al reforzar TERs largos. A diferencia de la extinción donde la contingencia impuesta actúa sobre la ocurrencia de la respuesta. Por lo que las contingencias de reforzamiento en ambas manipulaciones son diferentes, aún y cuando ambos producen un resultado similar. De acuerdo con el planteamiento de Skinner (1969) sobre contingencias de reforzamiento, ambos procedimentos difieren en dos elementos: 1) la ocasión de emisión de la res puesta; que en el caso de la extinción es el tiempo en el cual la probabilidad de reforzamiento es cero, mientras que en el RDB es el tiempo que esta probabilidad es mayor a cero y 2) las propiedades de la respuesta reforzada, que en el caso del RDB son los TERs que determinan la distribución temporal de las repuestas, mientras que en la extinción al no reforzarse la respuesta no son definidas.
Por tanto, la importancia del estudio de la renovación de la respuesta en estos procedimientos no sólo radica en su implicación aplicada de las recaídas, sino también en la comparación de la renovación a partir de la reaparición de respuestas suprimidas por contingencias de reforzamiento distintas.
El objetivo del presente trabajo fue comparar en humanos la renovación de una respuesta operante suprimida por un programa RDB con la renovación de una respuesta cuya supresión fue provocada por un procedimiento de extinción. Lo que permite el análisis de la renovación a partir de contingencias de reforzamiento diferentes, ya que en un programa RDB la supresión de la respuesta es un efecto indirecto del reforzamiento diferencial de TERs largos, mientras que en la extinción se debe al no reforzamiento de la respuesta inicialmente reforzada. Es de interés, por tanto, el estudio de la posible dependencia contextual de ambas contingencias y sus posibles implicaciones para el ámbito aplicado. Por tanto, se presenta un experimento donde los participantes aprendieron a emitir una respuesta operante en un video juego en un contexto A, la cual fue suprimida en una segunda fase mediante un procedimiento de extinción o de RDB en un contexto B. Finalmente, en una prueba se midió la ocurrencia de la respuesta en el contexto A.
Participantes
Participaron 48 estudiantes (20 H y 28 M; M = 19.86 años), de la FES Iztacala UNAM, sin experiencia previa en la tarea. Los cuales fueron asignados de forma aleatoria a 4 grupos experimentales de 12 integrantes cada uno. Su participación se basó en los lineamientos éticos y legales de investigación con humanos, coherentes con el Código ético del psicólogo, 4º ed. (Sociedad Mexicana de Psicología, 2007) y con los lineamientos éticos de investigación de la FES Iztacala. Los principios éticos se presentaron a todos los participantes en la pantalla inicial del experimento, durante la cual los participantes decidían continuar o no en el experimento. Todos los participantes dieron su consentimiento informado, pudiendo abandonar el experimento en cualquier momento.
Materiales
Se empleó un video juego presentado en el monitor de una computadora de escritorio, en el que los participantes elegían un arma para destruir una nave espacial durante tres fases: adquisición, supresión (con extinción o RDB) y prueba, las cuales se realizaron en una sola sesión experimental. El experimento fue realizado de manera individual en dos cubículos de 1.5 x 2m. En cada uno se encontraba una silla, un escritorio, una computadora de escritorio con un monitor de 15 pulgadas y un mouse óptico. Se utilizó el programa informático SuperLab Pro for Windows v 4.0.4 (Cedrus Co.) para la programación de la tarea experimental y registro de las respuestas. Los datos fueron analizados con el programa SPSS v20.
Cada participante fue entrenado individualmente en dos cubículos adyacentes con diferencias en mobiliario y color de las paredes, los cubículos fueron contrabalaneados en cada grupo como contexto A y contexto B. En cada cubículo había una computadora de escritorio con un monitor de 15’ y una silla. El procedimiento se implementó empleando el software SuperLab Pro v4.01(Cedrus Co.), los participantes jugaban un video juego (la pantalla principal simulaba la vis ta del participante desde la cabina de una nave) en el que destruían una nave espacial enemiga. La nave enemiga aparecía al centro de la pantalla y permanecía por 4s. Durante ese periodo los participantes presionaban el botón azul de una caja de respuestas (Cedrus Response Pad RB-540) para destruir la nave enemiga, al conseguirlo, cada participante recibía un texto con retroalimentación que le informaba de la destrucción de la nave “¡Lo lograste! Saliste ileso de la batalla” Si no conseguía la destrucción de la nave enemiga, aparecía el texto “¡Error! No lograste destruir la nave”. Así, el video juego consisitía en una tarea de discriminación operante, donde una respuesta R1 era reforzada al oprimir el botón azul ante una nave determinada y una segunda respuesta R2 fue reforzada en oprimir el botón amarillo de la caja de respuestas ante naves diferentes en forma y color. La destrucción de cada nave fue empleada como reforzador.
Procedimiento
El experimento estuvo conformado por cuatro grupos (AAA-Ext, ABA-Ext, AAA-RDB y ABA-RDB), formado por 12 participantes cada uno. Se utilizó un diseño entre grupos para comparar el desempeño de estos durante las fases experimentales. Se empleó un video juego presentado en el monitor de la computadora, en el cual los participantes debían elegir un arma para poder destruir una nave espacial en tres fases una de adquisición, una de supresión y una de prueba, las cuales se realizaron en una sola sesión experimental. Los participantes interactuaron con la computadora empleando el botón izquierdo de un ratón óptico y respondieron en el video juego con R1 y R2 presionando los botones de la caja de respuesta. Las instrucciones de la tarea se presentaron en tres pantallas en letras blancas negritas Calibri 36 en un fondo negro y azul que emulaba el espacio exterior. Para avanzar entre pantallas, los participantes debían dar clic al botón “Continuar” que estaba en la parte inferior izquierda de la pantalla. Se pidió a cada participante que leyera las siguientes instrucciones: (pantalla 1) “Ahora eres un piloto rebelde que debe destruir la flota imperial antes de ser atacado. Toma en cuenta que tendrás varias oportunidades, pero no dejes de hacer tu mejor esfuerzo. ¡LA GALAXIA TE NECESITA!” (pantalla 2) “Para lograr destruir las naves enemigas lo único que debes hacer es presionar el botón amarillo o azul del tablero en repetidas ocasiones hasta que logres destruirla, al hacerlo recibirás una notificación. ¡QUE LA FUERZA SIEMPRE TE ACOMPAÑE!” (pantalla 3) “Si tienes alguna duda llama al experimentador. De otra forma, da un clic con el ratón para comenzar. ¡BUENA SUERTE!” Posteriormente a esta presentación daba inicio el experimento.
Adquisición: En esta fase, todos los participantes aprendieron a emitir dos respuestas operantes contrabalanceadas (R1y R2) en la caja de respuestas, con dos botones activos (azul y amarillo) los cuales fungieron como operandos, que al ser presionados destruían una de dos naves espaciales en la tarea virtual mencionada. Ambas respuestas fueron reforzadas bajo un programa múltiple IV4-IV4, donde cada componente fue presentado de forma azarosa, el programa terminaba hasta completar 8 respuestas reforzadas de R1 y R2, en cada componente. Cada nave fungió como estimulo discriminativo (Ed) en cada componente y respuesta. así, en cada componente se reforzaba solo una respuesta. En todos los grupos al terminar la fase de Adquisición, aparecia una pantalla con la frase “Llama al experimentador”. En los grupos ABA, este aparecía y solicitaba a los participantes cambiar de cubículo y continuar el experimento, mientras que en los grupos AAA se les solicitaba que continuaran el experimento en el mismo cubículo.
Supresión: en esta fase se implementó en los grupos de extinción AAA-Ext y ABA-Ext un programa múltiple Extinción-IV4, que comprendia 8 respuestas reforzadas R2 en el componente IV4 y 8 respuestas no reforzadas R1 en el componente de extinción, presentados aleatoriamente. En los grupos AAA-RDB y ABA-RDB, se implementó un programa múltiple RDB4-IV4, en el cual 8 respuestas R2 fueron reforzadas en el componente IV4 y 8 respuestas R1 se reforzaron en el componente RDB4, en el cual el reforzador se presentó cuando después de cada respuesta ocurria un TER mayor o igual a 4s, ambos comonentes fueron presentados de forma aleatoria. En los grupos ABA-Ext y ABARDB, hubo un cambio del contexto que consistió en pasar a los partici pantes a un segundo cubículo (contexto B) para continuar la tarea. Los contextos A y B fueron contrabalanceados en todos los grupos ABA. Para los grupos AAA-Ext y AAA-RDB no habia un cambio de contexto. En todos los grupos al terminar la fase, aparecia nuevamente una pantalla con la frase “Llama al experimentador”. En los grupos ABA, este aparecía y solicitaba a los participantes cambiar de cubículo y continuar el experimento, mientras que en los grupos AAA se les solicitaba que continuaran el experimento en el mismo cubículo
Prueba: finalmente, para todos los grupos se presentó una prueba que consistia en un programa Múltiple Extinción-Extinción, con una sola presentación de cada uno de los Ed durante 4s. Todos los grupos recibieron esta fase en el contexto A.
Análisis estadísticos
Como variable dependiente, se consideró el número total de respuestas a cada botón, el cual fue registrado y transformado en la tasa de respuestas para R1 y R2 emitidas durante 4s al ser este el valor promedio de cada componente IV en las tres fases del experimento. Es representado en cuatro bloques de dos presentaciones de cada Ed para una representación gráfica más clara. Las comparaciones intra e intergrupo se realizaron mediante dos ANOVAs mixtos, uno para la fase de Adquisición y otro para la fase de Supresión (2 respuestas x 4 bloques x 4 grupos). Se realizó un ANOVA mixto adicional para la fase de Prueba (4 grupos x 2 componentes -ultimo de supresión vs prueba- x 2 respuestas), el criterio de rechazo fue de . < 0.05 y los tamaños del efecto se calcularon mediante eta parcial cuadrada d. para cada ANOVA.
Los resultados en general mostraron la adquisición y disminución de R1 durante las fases de Adquisición y Supresión en los grupos con Extinción y RDB. En la fase de Adquisición todos los participantes aprendieron a emitir R1 y R2 ante cada nave (Ed) durante el programa múltiple IV4-IV4, mientras que en la fase de Supresión decrementaron R1 en los grupos que recibieron Extinción o RDB. Sin embargo, durante la prueba, la R1 solo reapareció en los grupos que recibieron un cambio de contexto posterior a la fase de supresión (ABA-Ext y ABA-RDB).
La Figura 1 muestra la tasa de respuestas (r/4s) promedio para R1 y R2 en cuatro bloques de dos presentaciones de cada Ed, durante las fases de Adquisición y Supresión, para los grupos; AAA-Ext, ABAExt, AAA-RDB y ABA-RDB. Calculados de acuerdo con la definición de VD y su reperesentación gráfica definida en la sección de análisis estadisticos del Método. La parte izquierda superior e inferior muestra que todos los grupos emitieron R1 y R2 con una tasa de respuestas similar durante la fase de Adquisición, pero en la fase de Supresión decrementaron la tasa de R1 mientras mantuvieron la emisión de R2. La disminución de la tasa de R1 observada en los grupos RDB es más rápida durante los tres primeros bloques que la observada en los grupos Ext, aunque ambos grupos suprimieron R1 en el último bloque de la fase de Supresión.

Nota. Muestra la tasa de respuestas de R1 y R2, en bloques de dos Eds para las fases de Adquisición y Supresión, en los grupos AAA-RDB, ABA-RDB y AAA-Ext, ABA-Ext. La gráfica superior presenta para los cuatro grupos la tasa a R1 durante la primera fase en la parte izquierda y la fase de supresión (extinción o RDB) en la parte derecha. La gráfica inferior presenta la tasa de R2 en la primera fase en la parte izquierda y la segunda fase del lado derecho paara todos los grupos.
Un ANOVA mixto (4 grupos x 4 bloques x 2 respuestas), mostró diferencias significativas en la fase de Adquisición entre los bloques de presentación de cada componente, .(3,30) = 163.909, . >.001, d. = .741. Una prueba post hoc (. < .05) mostró que el bloque 1 difiere del resto de los bloques, al igual que el bloque 2. El bloque 3 y 4 son semejantes y sólo difieren de los bloques 1 y 2. No existen diferencias entre R1 y R2, ni entre los grupos AAA-Ext, ABA-Ext, AAA-RDB y ABARDB. Lo que muestra que los cuatro grupos aprendieron de manera similar R1 y R2 durante las 8 presentaciones de cada Ed del programa múltiple IV4-IV4, como se observa en la parte izquierda superior e inferior de la Figura 1.
En la fase de Supresión un ANOVA mixto (2 respuestas x 4 bloques x 4 grupos) muestra una interacción significativa .(9,90) = 36.050, . >.001, d. = 783. Así, la parte superior e inferior derecha de la Figura 1 muestra que al transcurrir los bloques de la fase de Supresión, la tasa de R1 disminuye, mientras que la de R2 permanece constante en todos los grupos. Por lo que existen diferencias significativas entre R1 y R2 (.(1,10) = 156.786, . >.001, d. =.940). Así, mientras la tasa a R1 disminuye gradualmente la de R2 se mantiene en valores cercanos al último bloque de adquisición. Una prueba post hoc (. < .05), mostró que todos los bloques de R1 difieren entre sí en los cuatro grupos. Por lo que existen diferencias significativas entre los bloques de Ed (.(3,30) = 68.295, . >.001, d. = .872), debido a que la tasa de R1 en todos los grupos, disminuye en cada bloque mostrando los efectos de decremento de la extinción y del RDB, mientras que R2 se mantuvo constante. Sin embargo, existen diferencias entre los grupos .(3,30) = 611.561, . >.001), d. = .984. Una prueba post hoc, mostró que la disminución de R1 es diferente entre los grupos, ya que hay una mayor disminución inicial de la tasa de R1 en los dos primeros bloques solo en los grupos RDB. Así, los grupos AAA-Ext, ABA-Ext, AAA-RDB y ABA-RDB, decrementan R1 de manera similar en la fase de Supresión, pero en los grupos que recibieron el programa RDB hay una mayor supresión de R1 en los bloques iniciales que en los grupos de extinción.
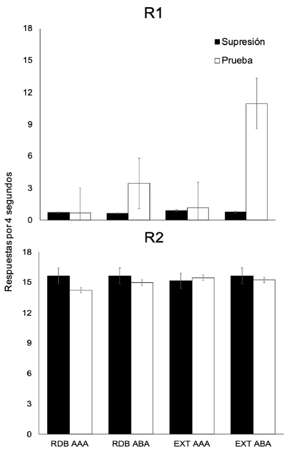
En la Figura 2, se presentan las tasas de respuesta de R1 y R2 emitidas durante el bloque de la fase de Prueba y el último bloque de la fase de Supresión. Un ANOVA mixto (2 respuestas x 2 bloques -último bloque de supresión, ensayo de prueba- x 4 grupos), mostró una interacción significativa .(3,30) = 12.617, . >.001, d. = . 558, ya que R2 muestra una probabilidad alta en ambos bloques en todos los grupos, mientras que R1 permanece suprimida durante el último bloque de la fase de Supresión, pero cambia su tasa dependiendo del grupo durante la fase de Prueba. Por lo que existen diferencias significativas en el factor bloques, .(1,10) = 33.905, . >.001, d. = .772. Un análisis post hoc indicó una diferencia significativa de R1, entre la prueba y el ultimo bloque de supresión y entre los grupos con cambio de contexto entre la fase de supresión y la prueba (grupos ABA-RDB y ABA-Ext). Por otra parte, R2 fue semejante entre los bloques y grupos. El factor Grupo mostró diferencias significativas .(3,30)=27.729, . >.001, d. = .675. Adicionalmente, un análisis post hoc mostró que los grupos ABA-RDB y ABA-Ext, presentaron diferencias significativas para R1 durante la prueba.

Nota. Muestra la tasa de respuestas de R1 y R2, en bloques de dos Eds para las fases de Adquisición y Supresión, en los grupos AAA-RDB, ABA-RDB y AAA-Ext, ABA-Ext. La gráfica superior presenta para los cuatro grupos la tasa a R1 durante la primera fase en la parte izquierda y la fase de supresión (extinción o RDB) en la parte derecha. La gráfica inferior presenta la tasa de R2 en la primera fase en la parte izquierda y la segunda fase del lado derecho paara todos los grupos.
En la Figura 2 se observa que durante la Prueba, el grupo ABA-Ext presentó una tasa de respuestas R1 mayor que la del grupo ABA-RDB; mientras que no existen diferencias en la emisión de R2 entre los grupos. Las comparaciones planeadas mostraron que la tasa de R1 durante la prueba, fue mayor que en el último bloque de la fase de Supresión en el grupo ABA-RDB, .(1,10)=8.919, . <.01, d. = . 471. Asimismo, se observó que la tasa de respuestas R1 durante la prueba fue mayor a la tasa de respuestas R1 obtenidas durante el último bloque de la fase de Supresión del grupo ABA-Ext, .(1,10) =105.18, . < .01, d. = .752. En los grupos AAA-RDB y AAA-EXT, no existieron diferencias en la tasa de respuestas de R1 entre los bloques de ambas fases.
Así, los resultados muestran la renovación de respuestas operantes suprimidas en humanos, a partir de procedimientos de extinción y RDB. Observándose una mayor renovación ABA en el grupo ABA-Ext que en el grupo ABA-RDB.
Las observaciones iniciales de la renovación en humanos en preparaciones pavlovianas (Vila & Rosas, 2001) y operantes (Vila, et al, 2002), han sido replicadas al presente en varios laboratorios, mostrando ser un fenómeno robusto del aprendizaje humano (Saini & Mitteer, 2020). El presente experimento extiende dichos hallazgos al mostrar la dependencia contextual de una respuesta suprimida R1, por los procedimientos de extinción y RDB en participantes humanos. La cual reaparece en los grupos con un cambio de contexto posterior a la fase de Supresión (grupos ABA). Así, una respuesta operante emitida ante un Ed, y posteriormente suprimida mediante un procedimiento de extinción o de RDB presentados en un segundo contexto, puede reaparecer al presentarse el contexto original ante el cual la respuesta fue aprendida.
Los presentes resultados son coherentes con otras observaciones de la renovación ABA de respuestas operantes en ratas (Bouton et al., 2011), siendo similares a la renovación observada a partir de procedimientos de extinción y RDO en humanos (Bernal, et al., 2020; Ritchey, et al, 2021; Vila, et al. 2020). Lo que sugiere la dependencia contextual de respuestas suprimidas a partir de distintos procedimientos para la reducción de respuestas como la extinción (Bouton, et al., 2011; Bernal et al., 2020), el RDO (Nakajima, et al, 2002; Vila, et al, 2020) o el castigo (Bouton & Schepers, 2015). El presente experimento confirma la validez externa del efecto de renovación de respuestas operantes, el cual ocurre indistintamente en animales no humanos y humanos al realizar los procedimientos experimentales adecuados.
Por otro lado, los hallazgos muestran por primera vez la renovación ABA de respuestas suprimidas a partir de un procedimiento de RDB. Dato aún no reportado con animales no humanos. Sin embargo, la reaparición de la respuesta observada durante la fase de prueba es menor en el grupo ABA-RDB que en el grupo ABA-Ext; debido quizá a que las contingencias de reforzamiento en ambos procedimientos son diferentes. Así, en un procedimiento de extinción, la contingencia actúa directamente sobre la ocurrencia de la respuesta al dejar de reforzar cada emisión de la misma. Mientras que el RDB refuerza diferencialmente los TERs largos, pero no incide directamente sobre la emisión de cada respuesta, sino sobre su distribución temporal. Lo que puede ser responsable de que en el grupo ABA-RDB la renovación observada sea menor que en el grupo ABA-Ext. Dado que en ese grupo el contexto podría actuar sobre la relación respuesta-reforzador y en el grupo RDB sobre la distribución temporal de las respuestas. Adicionalmente esta idea explicaría porque el decremento de respuestas observado es mayor y más rápido en los grupos RDB que en los grupos de extinción durante la fase de supresión.
Bouton & Todd (2014), han considerado al contexto como un modulador de las relaciones entre una respuesta y sus consecuencias en el condicionamiento operante. De acuerdo con dichos autores, el contexto desvanece la interferencia producida por las fases de disminución de la respuesta produciendo que las respuestas reaparezcan. Esta aproximación considera los procedimientos de extinción, RDO y castigo, como una posible fase de interferencia retroactiva en la cual la emisión de la respuesta ante un Ed es inhibida por el contexto (Trask, et al., 2017). Dado que estos procedimientos ocurren posteriormente a una fase en la que la respuesta es reforzada, suponen que la disminución en la frecuencia de una respuesta producida bien sea por por la extinción, RDO o el castigo, son dependientes del contexto (Bouton, 2019). Por lo que la respuesta reaparecera ante un cambio de contexto posterior.
La reaparición de la respuesta suprimida R1 debida al cambio de contexto durante la prueba, sugiere que el contexto presente durante la fase de Supresión podría haber inhibido la emision de la respuesta, independientemente del procedimiento empleado para decrementarla. Por lo que, el cambio del contexto de la fase de Supresión produce que la respuesta reaparezca. Lo cual es coherente con las ideas sugeridas por Bouton y colaboradores (Bouton, 2019; Bouton et al., 2021; Bouton & Todd, 2014; Trask, et al., 2017). Sin embargo, las diferencias entre la renovación de los grupos ABA-RDB y ABA-Extinción, sugiere que el contexto modula no solo la ocurrencia de la respuesta en la extinción, sino también la distribución temporal de la respuesta en el RDB.
Por otro lado, los presentes resultados tienen implicaciones para la supresión de conductas problema en el ámbito aplicado. Si se considera la efectividad de esos procedimientos y la posibilidad de observar recaídas de la conducta problema al cambiar el contexto de intervención (Wathen & Podlesnik, 2018). Los presentes resultados señalan un procedimiento adicional para la supresión de conductas problemáticas, como el RDB el cual ha sido empleado como alternativa a la extinción en el ámbito aplicado. Adicionalmente, muestran que de forma similar a la extinción, el RDO o castigo, el RDB es también dependiente de contexto. Por lo que el presente experimento puede considerarse como una investigación traslacional que compara el papel del contexto en dos tratamientos de supresión de conductas inadecuadas (Kelley et al, 2015).
Finalmente, podemos concluir, que el presente trabajo amplía la generalidad de la renovación ABA en humanos, mostrando algunas diferencias y señalando algunas implicaciones para su aplicación en diferentes procedimientos. Sin embargo, queda aún mucho por estudiar en la comprensión del papel del contexto en la reaparición de la conducta operante posterior a los procedimientos empleados para su supresión.
Esta investigación fue financiada por los proyectos PAPIIT IN305920, IN303822 e IN305822 de la DGAPA, UNAM. Correspondencia: Dr. Javier Vila-Carranza, División de Investigación, UIICSE, Facultad de Estudios Superiores Iztacala, Universidad Nacional Autónoma de México. Av de los Barrios Nº1, Tlalnepantla, Edo Mex. 54096, México. Tel.:
+55 56 23 12 96, ext. 133.
*Autor de correspondencia: rbernalg@unam.mx

Nota. Muestra la tasa de respuestas de R1 y R2, en bloques de dos Eds para las fases de Adquisición y Supresión, en los grupos AAA-RDB, ABA-RDB y AAA-Ext, ABA-Ext. La gráfica superior presenta para los cuatro grupos la tasa a R1 durante la primera fase en la parte izquierda y la fase de supresión (extinción o RDB) en la parte derecha. La gráfica inferior presenta la tasa de R2 en la primera fase en la parte izquierda y la segunda fase del lado derecho paara todos los grupos.

Nota. Muestra la tasa de respuestas de R1 y R2, en bloques de dos Eds para las fases de Adquisición y Supresión, en los grupos AAA-RDB, ABA-RDB y AAA-Ext, ABA-Ext. La gráfica superior presenta para los cuatro grupos la tasa a R1 durante la primera fase en la parte izquierda y la fase de supresión (extinción o RDB) en la parte derecha. La gráfica inferior presenta la tasa de R2 en la primera fase en la parte izquierda y la segunda fase del lado derecho paara todos los grupos.