Resumen: En la Estación Zoológica “La Esmeralda” se diseñó y aplicó un programa de enriquecimiento ambiental para felinos domésticos (Felis catus) y felinos silvestres diurnos (Leopardus geoffrogy) y nocturnos (Puma yagouaroundi). El objetivo fue evaluar si el enriquecimiento ambiental produce cambios en sus conductas y si estos se mantienen una vez finalizadas las maniobras de enriquecimiento. Previo al enriquecimiento (línea base = 3 días), durante el enriquecimiento ambiental (5 días) y posterior al él (3 días), en condiciones de aislamiento (en las 3 especies) e intemperie (solo en las silvestres) se monitorearon los comportamientos locomoción, olisqueo, postura pasiva, descanso, grooming, pacing y frote. Las conductas se registraron con cámara de video entre las 06.00 y 18:00 h. Felis catus manifestó un cambio favorable ante la mayoría de los enriquecedores ofrecidos. El enriquecimiento en Leopardus geoffrogy fue efectivo para disminuir conductas negativas y mitigar los efectos del ambiente y antropogénicos. Puma yaguarundi exhibió dificultad de comportamiento frente al cautiverio, exacerbadas en intemperie. El enriquecimiento en esta especie tuvo efecto disminuyendo conductas negativas en aislamiento, pero no en intemperie en la que se manifestaron con mayor frecuencia. Se concluye que el enriquecimiento ambiental es una herramienta que beneficia el bienestar de los animales mantenidos en cautiverio dependiendo del grado de silvestría por lo que debe ser adaptado a cada especie y realizado mediante estrategias continúas.
Palabras clave:CautiverioCautiverio,comportamientocomportamiento,bienestar animalbienestar animal,felinosfelinos.
Abstract: At the Zoological Station “La Esmeralda”, an environmental enrichment program was designed and implemented for domestic cats (Felis catus) and daytime wild cats (Leopardus geoffrogy) and nocturnal cats (Puma yagouaroundi). The objective was to evaluate if the environmental enrichment produces changes in their behaviors and if they are maintained after the enrichment maneuvers are completed. Before enrichment (baseline = 3 days), during environmental enrichment (5 days) and after it (3 days), in conditions of isolation (in the 3 species) and outdoors (only in the wild) the behaviors were monitored locomotion, sniffing, passive posture, rest, grooming, pacing and rubbing. The behaviors were recorded with a video camera between 06:00 and 18:00. Felis catus manifested a favorable change before the majority of the enrichors offered. Enrichment in Leopardus geoffrogy was effective in decreasing negative behaviors and mitigating anthropogenic and environmental effects. Puma yaguarundi exhibited behavioral difficulties in the face of captivity, exacerbated outdoors. The enrichment in this species had an effect reducing negative behaviors in isolation, but not in the open air in which they manifested themselves more frequently. It is concluded that environmental enrichment is a tool that benefits the well-being of animals kept in captivity depending on the degree of silvestry, so it must be adapted to each species and carried out through continuous strategies.
Keywords: Captivity, behavior, animal welfare, felids.
Original
Influencia del enriquecimiento ambiental en las conductas de Felis catus, Leopardus geoffrogy y Puma yaguarundi
Influence of environmental enrichment on the behaviors of Felis catus, Leopardus geoffrogy and Puma yaguarundi

Recepción: 24 Julio 2020
Aprobación: 28 Agosto 2020
Publicación: 02 Septiembre 2020
Los felinos, son animales especialmente sensibles al estrés, el cual tiene una relevancia clínica muy marcada y puede originar alteraciones en sus comportamientos (1).
Bajo condiciones de cautiverio, la vida de los felinos es afectada por factores físicos y biológicos, así como por restricciones sociales y espaciales, pero, sobre todo, por la presencia de otras especies, incluyendo humanos, quienes influyen en la aparición de los comportamientos anormales que se vuelven constantes y sin un propósito biológico determinado, los cuales se definen como estereotipias siendo éstas frecuentes en muchas cuarentenas de felinos en centros de fauna (2), hospitales, clínicas y laboratorios (3).
Los lugares que albergan felinos silvestres han ido evolucionando hacia un manejo responsable con énfasis en el bienestar animal. Como herramienta para lograrlo, se utiliza el enriquecimiento ambiental, identificando y proporcionando estímulos ambientales necesarios para optimizar la calidad de vida del animal (3). Debe ir enfocado a respetar su etograma, eliminando las conductas anormales presentadas en estos individuos (4).
A la hora de desarrollar un programa de enriquecimiento es importante estudiar la historia natural de cada especie: la estructura social, el hábitat, las estrategias de alimentación, la dieta, los sentidos más desarrollados y los ciclos de actividad. Cualquier estímulo que suscite el interés del felino de manera positiva puede ser considerado como enriquecimiento (5).
Los estímulos de enriquecimiento ambiental que expresan comportamientos en los felinos se dividen en cinco tipos fundamentales: sensoriales (olfato y vista), alimentación, manipulación, entorno y social intraespecífico (con otros congéneres) e interespecífico (con humanos u otras especies animales) (2).
El presente trabajo tiene como objetivo establecer si el enriquecimiento ambiental en Felis catus (Felinos domésticos), Leopardus geoffrogy (Gato montés) y Puma yagouaroundi (Yaguarundí) produce cambios en sus conductas y si éstas se mantienen una vez finalizadas las maniobras de enriquecimiento.
Lugar de estudio: Se desarrolló en la Estación Zoológica ¨La Esmeralda¨, Provincia de Santa Fe, Argentina (Longitud 31°35´11.6´´S, latitud 60°41´32.4´´W, a 25 msnm) durante los equinoccios del 2018.
Especímenes de estudio: Se utilizaron cuatro Felis catus (especie doméstica nocturna), cuatro Leopardus geoffrogy (especie silvestre nocturna) y un Puma yagouaroundi (especie silvestre diurna) (6). Todos los animales eran machos, adultos jóvenes, con un peso promedio en los gatos domésticos de 4 kg y de 5 kg en las especies silvestres, con buen estado de salud y con al menos 1 mes de cautiverio al inicio del estudio. Los parámetros morfométricos de cada especie estaban dentro de los valores reportados por Macdonald y Loveridge (7).
Observaciones y descripción de recintos: Cada felino fue observado con cámaras filmadoras infrarrojas. Inicialmente, las tres especies permanecieron en condiciones de aislamiento en habitáculos de 1x2x1 m (temperatura ambiental promedio: 24°C, fotoperíodo luz:oscuridad 12:12). Posteriormente, las especies silvestres, fueron trasladadas a recintos de 20 m. a la intemperie (Temperatura máxima y mínima promedio 28-18°C respectivamente). En cada ambiente permanecieron 11 días provistos de bebederos con agua ad libitum.
Etapa experimental: El experimento se diseñó con un período pre-enriquecimiento de 3 días para evaluar el comportamiento de los animales sin enriquecimiento; un período de enriquecimiento de 5 días con variadas maniobras de enriquecimiento (Tabla 1) y posteriormente un período sin maniobras de 3 días para evaluar la efectividad del enriquecimiento en los patrones comportamentales.
Los objetos ¨enriquecedores¨ utilizados (Tabla 1) en el protocolo de enriquecimiento fueron: plataforma con rascador más caja escondite, feromonas en tela, pelota con agujeros con comida adentro, pelota móvil con símil ratón, colgantes, hierba de gato, tachito con comida adentro, comida en plato y caja con comida.
Las maniobras de enriquecimiento ambiental se realizaron de las 6 h a las 18 h dividiendo este lapso en 4 períodos (6-9 h, 9-12 h, 12-15 h y 15-18 h) (Tabla 1). La primera mitad de cada período correspondió al momento de la maniobra de enriquecimiento con monitoreo y la segunda, al descanso. De las filmaciones se extrajeron los primeros 90 minutos de cada período (6:00-7:30 h, 9:00-10:30 h, 12:00-13:30 h y 15 a 16:30 h), 6 h diarias. Esto acumuló un registro de 18 h para la etapa previa, 30 h de enriquecimiento y 18h post enriquecimiento por animal.


Medición de los comportamientos y análisis de datos: Se realizó un monitoreo focal de conductas cada 2 minutos en los días previos, durante y posteriores al enriquecimiento, usando el método Scan Instantáneo. Esta tarea fue realizada por dos observadores en paralelo (para evitar sesgos) y registradas en planillas ad hoc. Las etapas (previa, durante y posterior al enriquecimiento) y el tipo de comportamiento (Tabla 2) fueron factores fijos y el número de comportamientos observados fue la variable dependiente correlacionándose con la frecuencia de observación (8). Para evaluar la confiabilidad entre observadores, se calcularon los coeficientes de correlación de Pearson.
Aspectos éticos: Los recintos se encontraban dentro de los lineamientos de la WAZA (9), los experimentos se realizaron de acuerdo con las regulaciones de la WSPA (10) y el protocolo de investigación fue aprobado por el Comité de Ética de la FCV-UNL, Res. CD Nº 949.
Debido a que las conductas expresadas no exhibieron diferencias significativas entre los tres días previos ni en los tres posteriores al enriquecimiento, los datos correspondientes a cada uno de estos periodos se promediaron.
La frecuencia de aparición de conductas expresadas en gatos domésticos (Felis catus) sometidos a condiciones de aislamiento ante diferentes maniobras de enriquecimiento y en los días previos y posteriores a él se observan en la tabla 3.

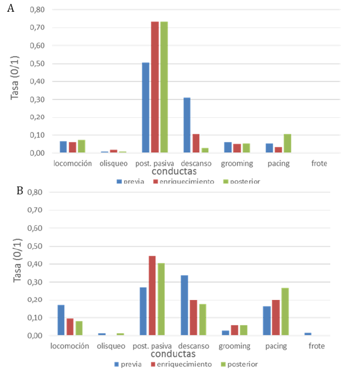
Para mejor visualización de los datos arrojados por las tablas 1 se construyó la Figura 1.

Los resultados de la frecuencia de aparición de las diferentes conductas de gato montés (Leopardus geoffrogy) en aislamiento se exponen en las tablas 4.

Para evaluar el programa de enriquecimiento ambiental aplicado en los Leopardus geoffrogy en intemperie se confeccionó la tabla 5 donde se observan los resultados de la frecuencia de aparición de las diferentes conductas.

Para mejor visualización de los datos arrojados por las tablas 2 y 3 se construyó la Figura 2.

A fin de evaluar las diferentes conductas de Jaguarondi (Puma yaguarundi) en condición de aislamiento se elaboró la Tabla 6 donde se puede apreciar la frecuencia de presentación de cada conducta durante el periodo pre-enriquecimiento, de enriquecimiento y pos enriquecimiento.

La frecuencia de aparición de las diferentes conductas de Puma yaguarundi en intemperie se expone en la tabla 7.

Para mejor visualización de lo antes expresado sobre los datos arrojados por las tablas 4 y 5 se construyó la figura 3.

Gato doméstico (Felis catus). En la tabla 3 se observa que en la etapa previa al enriquecimiento las conductas de descanso y postura pasiva fueron las más frecuentes. Similar a lo reportado por en estudio (11) sobre el patrón comportamental y conductas estereotipadas en otras especies donde en igual etapa (sin enriquecimiento) el descanso y la postura pasiva fueron las conductas más notorias. También en la tabla 3 la locomoción, el olisqueo y el grooming fueron los comportamientos expresados el resto del día con tasas bajas. En esta etapa no se manifestaron las conductas de frote y pacing.
En la etapa de enriquecimiento se observó (Tabla 3) que los animales respecto a la etapa previa disminuyeron el descanso e incrementaron el resto de las conductas. Si bien la conducta postura pasiva fue elevada en esta etapa, su aumento relativo fue menor que el de las conductas locomoción, olisqueo y grooming. Todos los enriquecedores, a excepción de la “hierba de gato” y el “colgante”, generaron mayor postura pasiva en la primera intervención. La menor presencia de conducta pasiva ante el segundo encuentro con el enriquecedor podría deberse a que el animal ya conociendo esta maniobra reacciona más rápidamente e incrementa otras conductas como locomoción, olisqueo y grooming, poniendo de manifiesto la aceptación de estos enriquecedores. El pacing se manifestó con una tasa baja (0,01) en el segundo encuentro con la colocación de los enriquecedores “tachito con comida adentro” y “plataforma con rascador más caja escondite”. Esto podría deberse al aumento de ansiedad de los gatos frente a estímulos conocidos. Ellis y Wells (5) reportan en gatos domésticos conductas de ansiedad posterior a la resolución de actividades ya aprendidas, esto podría explicar lo observado en este estudio. De igual manera (5) señala que los felinos muestran una tendencia a expresar o incrementar estereotipias luego de haber pasado tiempo con los enriquecedores, como un resultado de frustración al no encontrar nuevos objetos después de terminar con los objetos introducidos. El grooming se presentó ante todas las maniobras con tasas inferiores a las reportadas por Ellis (3) como patológicas (tasa 0,40). El frote fue poco observado (tasa 0,01) y solo se manifestó ante el primer encuentro con la “plataforma con rascador más caja escondite” y las “feromonas en tela”, es notorio la ausencia de esta conducta ante el resto de las maniobras a diferencia de lo reportado por Bruno (1) donde los gatos domésticos de su estudio se frotaron ante todos los tipos de enriquecedores.
En la etapa post enriquecimiento (Tabla 3), el patrón presentado en la postura pasiva (mayor a la mañana y menor a la tarde) y el descanso (menor a la mañana y mayor a la tarde) fue similar al observado en la etapa previa al enriquecimiento, mientras que en el transcurso del período de enriquecimiento las conductas variaron de acuerdo al enriquecedor ofrecido. La locomoción mantuvo valores similares a los de la etapa anterior mientras que el grooming y el olisqueo disminuyeron sus valores retornando a tasas similares a las manifestadas en la etapa pre-enriquecimiento. El pacing aumentó en esta etapa, probablemente debido a la ansiedad de los gatos ocasionada por la ausencia de enriquecedores. Esta actividad anormal posterior a la ausencia de un estímulo también fue reportada por Ellis y Wells (5). Esto evidencia la importancia del enriquecimiento ambiental en el bienestar de los animales en cautiverio.
En la Figura 1 observamos que los gatos domésticos, en las tres etapas, manifestaron diferencias en las frecuencias de sus comportamientos. Cuando a los felinos se les ofreció enriquecedores, el descanso fue menor con respecto a la etapa previa y posterior. Esta disminución de descanso fue suplantada por una mayor participación de otras conductas como la postura pasiva, la locomoción, el olisqueo y el grooming. Estos resultados coinciden con los reportados por Bruno (1), donde los gatos domésticos aumentaban las frecuencias de las conductas positivas ante enriquecedores y disminuían sus tiempos de descanso.
Gato montés (Leopardus geoffrogy). En la tabla 4 se puede observar que en condiciones de aislamiento en la etapa previa al enriquecimiento la conducta de descanso en los tres primeros periodos fue notoriamente menor que la postura pasiva. El pacing en esta etapa es bien manifiesto especialmente en los primeros 3 períodos. Sin embargo, la frecuencia de pacing en gato montés encontrada en este estudio fue menor que la reportada por Córdova-Rojas y Iannacone-Oliver (12) para otra especie de felinos (Leopardus colocolo) en condiciones de encierro y ausencia de enriquecimiento. La locomoción, el grooming y el olisqueo fueron los otros comportamientos expresados. El frote no se manifestó en esta etapa. Los gatos monteses de este trabajo mostraron una frecuencia de locomoción superior a la observada en gato doméstico.
En la etapa de enriquecimiento se observa (Tabla 4) un aumento en la frecuencia de descanso en casi todos los periodos. La postura pasiva disminuyo en esta etapa con respecto a la de pre-enriquecimiento. La incorporación de enriquecedores como “plataforma con rascador más caja escondite”, “pelota con comida”, “pelota móvil con símil ratón” y “comida en plato” cuando éstas se realizaban por primera vez expresaron frecuencias de la postura pasiva más elevadas que en el segundo encuentro, el resto de las maniobras expresaron una tendencia opuesta a la antes mencionada. La locomoción, el olisqueo y el grooming expresaron una disminución respecto a la etapa de pre-enriquecimiento, contrario a lo observado en gatos domésticos. El pacing disminuyo con a las maniobras de enriquecimiento, expresando valores menores en comparación a la etapa previa. Los enriquecedores que prácticamente anularon esta conducta negativa fueron “feromonas con tela”, “pelota móvil con símil ratón”, “tachito con comida adentro” y “colgante”. Según Ellis (3), los felinos que dedican más del 40% del día a actividades de autolimpieza presentan trastorno de conducta. De acuerdo a lo reportado por este autor y similar a lo observado en gato doméstico, el grooming en gato montés presentó tasas saludables. La conducta de frote fue poco representativa y solo manifiesta frente a los enriquecedores “plataforma con rascador más caja escondite”, “pelota con agujero con comida” y “hierva de gato”. La incorporación de enriquecedores en esta especie generó una disminución en las conductas pacing, locomoción, postura pasiva, grooming y olisqueo e incremento el descanso. Esto se encuentra en concordancia con estudios similares realizados en otras especies de felinos sudamericanos como lo son: Leopardus colocolo (12), Leopardus pardalis (13), Panthera onca (14) y Puma concolor (15).
El descanso en la etapa post enriquecimiento (Tabla 4) disminuyó levemente respecto a la etapa de enriquecimiento. Esto podría deberse a que los gatos monteses se encontraban expectantes del retorno de los enriquecedores, explicando además el aumento de la conducta pasiva y la disminución de la locomoción y el olisqueo. El pacing se mantuvo en niveles similares a la etapa de enriquecimiento, no retornando a los altos valores del comienzo del ensayo, poniendo de manifiesto el impacto positivo de los enriquecedores en esta especie. Esto difiere a lo reportado en estudios similares realizados en grandes felinos, donde después del enriquecimiento el pacing regresó a los valores de la etapa previa (16).
En la tabla 3 se observa que, en la etapa previa al enriquecimiento el descanso fue la conducta más expresada seguida por postura pasiva y pacing. Estos comportamientos negativos denotan la incomodidad de los gatos monteses con su entorno.
Comparando las conductas de esta especie en condiciones de intemperie con las de aislamiento, se observa un aumento del descanso buscando refugio, un significativo aumento de la conducta activa pacing y disminución de la conducta pasiva y locomoción. El aumento de pacing coincide con lo reportado por Córdova-Rojas y Iannacone-Oliver (12) quienes manifiestan que esta conducta esteriotipada podría deberse a que los animales se sienten amenazados por su entorno.
En la etapa de enriquecimiento (Tabla 5) la conducta de descanso disminuyo fuertemente con respecto a la etapa previa, acompañada por aumento de conductas positivas como la postura pasiva, locomoción, olisqueo y grooming. El pacing disminuyo. Todo esto indica que el enriquecimiento mejoró el bienestar de estos animales. Los enriquecedores “plataforma con rascador más escondite”, la “comida en plato”, la “pelota con agujero con comida”, “tachito con comida adentro” y las “feromonas en tela” estimularon gran parte de las conductas positivas con disminución de descanso. En el segundo día del enriquecimiento en intemperie, manifestaron una notable diminución en la conducta pacing (Tasa 0.07 a 0.11). Esto podría deberse al efecto de las maniobras de enriquecimiento que recibieron ese día o a algún factor que estimulo el descanso (mayor tasa de conducta de descanso manifiesta en esos períodos). En esta especie no se observaron cambios representativos en las conductas de locomoción, olisqueo, grooming y frote con los enriquecedores utilizados.
El descanso en la etapa de post enriquecimiento (Tabla 5) se manifiesta con menor frecuencia frente a las etapas anteriores. La conducta postura pasiva sigue siendo la que se expresa con mayor tasa, si bien esta tasa es menor a la de la etapa de enriquecimiento. El pacing manifiesta un aumento de aparición respondiendo a la ausencia de enriquecedores. Lo que hace notoria la importancia del enriquecimiento para disminuir las conductas negativas en esta especie.
En la Figura 2 se observa que los gatos monteses manifestaron mayor frecuencia en la conducta pacing cuando fueron mantenidos a la intemperie (Figura 2B), haciendo notorio que el ambiente está modificando las conductas características de esta especie. Las maniobras de enriquecimiento en ambas condiciones lograron disminuir esta conducta negativa, siendo los animales en aislamiento los que pudieron mantener la frecuencia después del enriquecimiento.
El efecto positivo de los enriquecedores en las conductas de locomoción, olisqueo y grooming solo se observó en intemperie.
Jaguarondi (Puma yaguarundi). En aislamiento (Tabla 6) P. yagouaroundi manifestó una elevada frecuencia de actividad pasiva en la etapa pre enriquecimiento. Esta alta pasividad junto a la tasa de descanso (0,30), la presencia de pacing y baja locomoción nos indica que este animal diurno no se encuentra en bienestar con el ambiente. Las conductas olisqueo y frote prácticamente estuvieron ausentes.
En la etapa de enriquecimiento (Tabla 6) de observa un aumento de la postura pasiva con diminución del descanso y del pacing, manteniendo las otras conductas en frecuencias similares a la etapa previa. El pacing no manifestó variación en su frecuencia en los dos primeros días respecto a la etapa anterior, pero en los días posteriores esta conducta se anuló (Tasa 0). Esto evidencia que más allá del tipo de enriquecedor presentado, estos estímulos realizándolos en el momento de mayor actividad (especie diurna) actúan minimizando las conductas negativas. El frote no se expresó en ninguna de las etapas de este experimento (previa, enriquecimiento y posterior). El olisqueo y el grooming expresaron frecuencias similares a las observadas en la etapa previa.
El P. yagouaroundi bajo condiciones de aislamiento después de haberle sacado los enriquecedores manifestó un aumento representativo del pacing y una disminución del descanso poniendo de manifiesto el efecto distractivo que produjeron esos enriquecedores en la etapa anterior disminuyendo sus conductas negativas (pacing). El resto de las conductas (locomoción, olisqueo, grooming y frote) se mantuvieron dentro de las frecuencias presentadas en las etapas anteriores.
En la tabla 5 se observa que en la etapa previa al enriquecimiento el Puma yaguarundi muestra conductas que indicarían que el ambiente no le brinda seguridad. El descanso, postura pasiva, locomoción y pacing indican su incomodidad con el ambiente, alternando conductas de descanso y de actividad negativas. El Yaguarundi es una especie de porte pequeño y está dentro del rango de caza de muchos depredadores en la naturaleza. La exposición del individuo a un ambiente abierto quizás aumente el instinto de fuga (17). Esto explicaría la causa del aumento de la frecuencia de conducta pacing observada en intemperie, la cual triplicó los valores manifestados en aislamiento.
En la etapa de enriquecimiento se observa (Tabla 7) que los enriquecedores no logran disminuir la ansiedad en esta especie, incluso en algunos casos logran incrementar las conductas negativas (pacing). El tercer día de enriquecimiento el animal mostro total apatía por todos los enriquecedores, aislándose de manera tal que en el primer periodo toda su actividad fue postura pasiva (tasa 1) y en los tres restantes solo descanso (tasa 1). En todos los casos que el enriquecedor logró un estímulo en la locomoción también aumento el pacing, esto pone de manifiesto que esta locomoción solo fue parte para la alimentación y el resto al traslado por incomodidad, pudiéndose incorporar a las conductas negativas. Los enriquecedores en esta etapa tampoco lograron estimular la conducta de frote y olisqueo (tasa 0). El grooming se observó con baja frecuencia y solo con mayor tasa ante el estímulo de la “pelota con agujeros y comida adentro” y “pelota móvil con símil ratón”.
En la etapa posterior al enriquecimiento se destaca (Tabla 7) que el pacing aumento a tasas superiores a la presentada en las etapas anteriores, similar a lo observado en este animal en aislamiento. Probablemente el aumento del pacing se debió a la ausencia de los estímulos positivos logrados por los enriquecedores.
En la Fig.3 observamos que en este felino el enriquecimiento tuvo efecto disminuyendo conductas negativas en aislamiento, pero no en intemperie en la que se manifestaron con mayor frecuencia.
En conclusión, el grado de silvestría de la especie condiciona los efectos en las conductas producidos por el enriquecimiento ambiental. En Felis catus el incremento del bienestar de los individuos se debió a la respuesta positiva de esta especie a la mayoría de los enriquecedores ofrecidos. Los Leopardus geoffrogy se vieron más afectados por el ambiente mostrando mayor bienestar en aislamiento que en intemperie. El enriquecimiento en esta especie fue efectivo para disminuir conductas negativas y mitigar los efectos del ambiente y antropogénicos. El Puma yaguarundi exhibió dificultad de comportamiento frente al cautiverio, exacerbadas en intemperie. El enriquecimiento en esta especie tuvo efecto disminuyendo conductas negativas en aislamiento, pero no en intemperie en la que se manifestaron con mayor frecuencia.
Declaración de intereses
Declaramos no tener conflictos de interés.
Como citar (Vancouver).: Sciabarrasi AA, Sensevy A, Cervantes GD, Scaglione MC, Cerutti RD. Influencia del enriquecimiento ambiental en las conductas de Felis catus, Leopardus geoffrogy y Puma yaguarundi. Rev Colombiana Cienc Anim. Recia. 2020; 12(2):e778. https://doi.org/10.24188/recia.v12.n2.2020.778
Al personal de La Esmeralda y a la FCV-UNL.









