Received: 12 December 2016
Accepted: 11 May 2017
Abstract: We extend the collective model of household behavior to consider both public consumption (expenditures on children), as well as non-participation in the labor market. Identification of individual preferences and the sharing rule derived by observing each individual’s labor supply and the total expenditure on the public good rest on the existence of a distribution factor and on the existence and uniqueness of individual reservation wages at which both members are indifferent as to whether a member participates or not. Using a sample of Mexican nuclear families, collective rationality is not rejected. No evidence is found that empowering mothers is more beneficial for children than empowering fathers.
Keywords: Collective intra-household decision-making models, labor supply, non-participation, public goods, sharing rule.
Resumen: Se amplia el modelo colectivo de comportamiento de un hogar para considerar tanto el consumo público como la no participación laboral. La identificación de las preferencias individuales y la regla de reparto, mediante la observación de la oferta laboral individual y el gasto total en el bien público, se basan en la existencia de un factor de distribución y salarios únicos de reserva para cada adulto, ambos indiferentes entre participar o no. Con una muestra de familias nucleares mexicanas la racionalidad colectiva no es rechazada. No se encontró evidencia que empoderar a las madres sea la opción mas beneficiosa para los niños.
Palabras clave: modelos colectivos de las decisiones dentro de un hogar, oferta laboral, no participación, bienes públicos, regla de reparto.
1. Introduction
The goal of many conditional cash transfer (CCT) programs, in which a household receives a monetary compensation in exchange for the fulfillment of certain requirements that are positively related to house-hold welfare, is to foster the human capital of children. Some programs give the cash transfer to a particular household member, often the mother, instead of directly to the intended beneficiaries, the children.1 Therefore, the impact of the cash transfer on the expenditures assigned to the children depends on how the intrahousehold allocation processes distribute this additional income.
In this paper we analyze the household’s decisions regarding investments in children along with both parents’ labor decisions. In order to do this, we built upon the framework of collective household models, which provides an adequate theoretical background for analyzing the intrahousehold allocation process and permits the recovery of individual preferences and the decision process from the observation of household members aggregate behavior. This analysis draws upon the idea that an increase in the decision power of one household member changes household behavior in his or her favor, even when total household resources are kept constant.
Empirical applications of the collective labor supply model of Chiappori (1988, 1992) generally consider the simplest possible case of household structure, childless households with two working members, making it difficult to apply to the broader definition of households typically found in developing countries: a two-adult household with a non-working female partner and at least one child. Literature on collective household labor supply behavior rarely considers the presence of children (Blundell, Chiappori, and Meghir, 2005; Cherchye, de Rock, and Vermeulen, 2012; Sarmiento, 2012 are some exceptions) or the decision to participate in the labor market (Donni, 2003; Blundell et al., 2007; Bloemen, 2010). We are not aware of any literature that considers the two issues simultaneously. To properly assess the collective framework as a useful tool for welfare evaluation and policy analysis on an intrahousehold level, it is necessary to extend the analysis beyond childless households with members who participate in the labor market.
Therefore, the first objective of this paper is to develop a theoretical collective framework that simultaneously takes into account the presence of children and the decision to participate in the labor market. Our model and its identification generalizes Chiappori’s (1992) model, employing the method of Donni (2003) to address the possibility of non-participation and introduce it in the scenario of Blundell, Chiappori, and Meghir (2005), which takes into account the presence of children in a household. The recovery of individual preferences and the sharing rule from observed behavior requires the knowledge of a distribution factor - a factor that affects the decisions but not the preferences or the budget - and the existence of a unique reservation wage for each adult household member at which both members are indifferent as to whether a member participates in the labor market or not. These modifications allow our model to rely on empirically testable restrictions on household labor supply to obtain information about aspects of the intrahousehold decision process that can be used for individual welfare analysis and policy evaluation.
The extension of intrahousehold models to a framework that considers the presence of children and the participation decision simultaneously is particularly relevant in Mexico. As in other developing countries, Mexico’s female labor force participation is still at a very low level (Arceo and Campos, 2010). However, the low participation rate does not imply that women’s preferences are not taken into account in household resource allocations. If (potential) wages affect bargaining positions within a household, then any variation in the wage of a female household member will modify household behavior even if she does not work. It could be that female “empowerment” through an improved financial position would lead to a decrease in the number of women working outside the home, but it could also cause women to put so much emphasis on spending on children that they decide to work more hours.
Therefore, as the second objective of the paper, in an empirical application of the model for Mexico, the rule governing the sharing of household resources conditional on the level of expenditures on children is recovered from estimates of a system of equations comprising female participation levels, the couple’s number of hours of labor supplied, and expenditures on children. We use data from the Mexican Family Life Survey (Mx FLS; CIDE-UIA-INEGI, 2012) on nuclear families in which (at least) the male partner works outside the home to estimate the model and test its implied restrictions. Despite the fact that the test rejects the auxiliary assumption of continuity of both the male’s labor supply and the sharing rule, the parameter restrictions that are imposed by the collective rationality are not rejected.
The paper is organized as follows. Section 2 briefly reviews the literature on collective household labor supply models, and especially those articles that either include public consumption (such as expenses on children) or the possibility of non-participation in the labor market. Section 3 presents our theoretical model, which integrates the participation decision and public goods into one framework. Section 4 proposes a parametric specification that will be used for an empirical implementation of the model. Section 5 reviews the data set that is used, and section 6 presents the empirical results. Section seven concludes.
2. Intrahousehold decisions, labor force participation and public goods
The traditional unitary approach considers a household as a single decision-making unit, leaving unexplained how the household reaches an agreement to allocate resources. This lack of distinction between individual and household preferences is unsatisfactory from the perspective of welfare analysis. Moreover, some of its main theoretical implications, such as the income pooling hypothesis (that is, the consideration of total income, but not its source, as the basis for household consumption decisions)2 and the assumption of a symmetric Slutsky matrix of cross-price substitution effects (e.g., the compensated wage changes of spouses have the same effect on each other’s labor supply),3 lack empirical support.
Alternative approaches, such as non-cooperative and cooperative (or collective) models, have tried to take into account the multiplicity and heterogeneity of decision makers in a household. On the one hand, in the absence of binding and enforceable agreements between household members, non-cooperative models have assumed that household members maximize their utility subject to an individual budget constraint, taking as given each other’s behavior modeled as game-theoretical decision-making processes. The intrahousehold allocations under this framework are not necessarily Pareto efficient. In a household context this result is not very satisfactory, since possibilities for Pareto improvements may arise from daily interaction among their members.
On the other hand, the only assumption that the cooperative collective household models have in common is that household decisions are Pareto efficient, which means that no other consumption bundle could provide more utility for household members at the same cost. The Pareto efficiency assumption can be justified if all house-hold members are aware of the preferences and actions of the others, so they can decide to cooperate to make everyone better off by means of a binding agreement.4 Under this assumption it is not necessary to specify the actual process that determines the intrahousehold allocation on the efficiency frontier, only to assume that it exists. An equivalent interpretation of Pareto efficiency is that household members initially reach an agreement on the respective amount each is allowed to spend, a sharing rule. Then, all members independently choose their consumption, subject to their respective share. The approach does not impose a particular form on the rule; it only requires that it exists. In this context, this assumption is sufficient to recover individual preferences and the decision process from observable behavior without the need to impose additional assumptions such as a particular bargaining rule, that would imply more restrictions to be tested (Chiappori, 1997; Vermeulen, 2002).
A continuum of different structural models can generate the same observable behavior (Chiappori and Ekeland, 2009). Particular hypotheses over goods or preferences have been made within the collective framework to recover preferences and decision making from household aggregate demand. The main results have been obtained for the case where all goods consumed in a household are private (i.e., they are consumed non-jointly and exclusively by each member); where one member’s consumption does not have a direct effect on another member’s wellbeing; and at an interior solution for house-hold demands. Intuitively, the quantities consumed by each member are a guide to the intrahousehold bargaining power distribution: the consumption of a good associated with a particular individual will be greater as his or her decision power increases.
Regarding the case of labor supply, the seminal collective model proposed by Chiappori (1988, 1992) allows, under certain assumptions, the recovery of some elements of the decision process from the observed labor supplies of household members. Since these results are derived for the simplest possible case, applications of this model are based on childless households composed of two adult members who participate in the labor market. Estimates obtained from this type of sample could be imprecise due to small sample size and may be subject to selection biases (Fortin and Lacroix, 1997).
When labor force participation and public goods (i.e., goods from which both spouses derive utility that are consumed jointly and not exclusively by each member, such as the amount spent on children) are to be considered under a collective framework, there are certain aspects to take into account. First, the non-participation decision in the labor market may have an influence on outcomes even for individuals who are not directly affected by this decision. If a member’s threat point involves participation in the labor market (e.g., because a woman’s or man’s participation involves credible outside options), (potential) wages could affect bargaining positions within a house-hold. This result is the opposite of the one obtained within the unitary model, where only wages of working members matter, due to their effect on budget opportunities. Second, children are likely to be an important source of preference interdependence between parents, since it is reasonable to think that both parents could derive utility from their children’s well-being (although not necessarily to the same degree). Furthermore, the presence of children could generate non-separabilities in the parents’ commodity demand and labor supply. For example, child care may affect the tradeoff between consumption and labor force participation and hours of work at the individual level.
Advances have been made to include the possibilities of non-participation and of public consumption in the collective model, but along separate lines. Our theoretical contribution brings the two features together and presents a theoretical framework that allows analysis of both non-participation decisions and the implications of public consumption in one model.
Donni (2003) constructed a theoretical framework that considers non-participation in the labor market in which both members can freely choose their working hours, and also extends the results of Chiappori (1988; 1992) while taking into account the case in which one of the two members does not work. An empirical application of this framework has been made by Bloemen (2010) for the Netherlands. Blundell et al. (2007), on the other hand, consider both a discrete and a positive continuous labor supply. Donni (2007) develops a model similar to that of Blundell et al. (2007), fixing the male household member’s labor supply at full-time instead of allowing a choice between working full-time or not at all. Structural elements of the decision process can be identified from Donni (2007)’s model if the female household member’s labor supply is observed together with at least one household commodity demand.
As in the unitary model, and in the collective models of Donni (2003, 2007) and Blundell et al. (2007), reservation wages - the wage at which an agent is indifferent between working and not working - are the driving force of the participation decision. Translating this concept into the collective framework, the central assumption of Pareto efficiency of the household decision process requires that if one member (say, the wife) is indifferent between working and not working, the other one (say, the husband) must be indifferent as well about the participation decision of the first member; Blundell et al. (2007) have called this condition the “double indifference” assumption. Therefore, the participation decision in the models of Donni (2003) and Blundell et al. (2007) relies on explicitly postulating a reservation wage; if this condition is fulfilled, individual preferences and the sharing rule can be recovered for both models.
On the other hand, public consumption has been introduced into Chiappori’s (1988, 1992) framework by Blundell, Chiappori, and Meghir (2005, hereafter BCM). They present a model that assumes that both parents care about their children’s welfare, or equivalently, consider that expenditure on their children is a public good for them. In general, the decision process cannot be recovered; a continuum of different structural models can generate the reduced form of each individual’s labor supply and the total expenditure on children. This result is due to the fact that the level of public consumption influences the analysis of labor supply not only through an income effect but also through its impact on the individual consumption/leisure trade-off. Under this approach, the intrahousehold decision-making process can be identified in two cases: first, when private consumption is separable from (public) expenditures on children, so that the consumption/leisure trade-off effect disappears; or second, by introducing a distribution factor, that is, a variable that affects the decision-making process but not the individual preferences or the joint budget set. Empirical applications of this model are found in Cherchye, de Rock, and Vermeulen (2012) for the Netherlands and in Sarmiento (2012) using Mexican data.
3. Combining non-participation and children in a collective framework
Our model incorporates the decision on whether to participate in the labor market into BCM (2005)’s framework of household labor supply with expenditures on children (considered as a public good), extending it along the lines set out by Donni (2003). The model simultaneously takes into account the possibility that (potential) wages affect the bargaining positions of household members, that the utility of each adult member depends on their childrens wellbeing, and that individual consumption and labor supply decisions are not separable from the expenditure on children.
Subsection 3.1. presents the main assumptions of the model. In addition to the assumptions of individualism and Pareto-efficiency common to the collective approach, the model assumes that both adult household members care about their own consumption (they have egoistic preferences), but also about their children. Subsection 3.2. shows that, as in the case that considers only private consumption, the decision-making process can be represented as operating in two phases by the existence of a sharing rule conditional on the residual non-labor income after the expenditures on the public good. Subsection 3.3. shows how the model determines the level of expenditures on children. Here, the framework also addresses the effect of an intrahousehold redistribution of power (e.g., a given policy that “empowers” a specific member of the household, such as the mother) regarding household expenditures on children. Subsection 3.4. introduces additional assumptions to guarantee the existence of a unique reservation wage for each partner that is consistent with the Pareto-efficiency assumption, employing the method used by Donni (2003). Finally, subsection 3.5. discusses the identification of the model and the corresponding restrictions on household labor supply. Given a set of (potential) wages, non-labor income, and a distribution factor, the framework can recover individual preferences and the conditional sharing rule if one or both partners work.
3.1. Commodities, preferences, and the decision process
Our model, following BCM, considers the case of an adult couple in a single time period. Labor supply of i, i = m, f , is denoted by hi, with market wage equal to wi. Total time endowment is normalized to one.5 A Hicksian composite good C is consumed by the household. This good is used for private (Cm , Cf) and public (K) consumption, with prices set to one. In a very general sense, the notion of public consumption should be understood as any expenditure that increases the utility of both partners, such as expenditures on heating, electricity, housecleaning, among others. Non-labor income is denoted by Y.
Each spouse’s utility can be written as:
where U i is strongly quasi-concave, infinitely differentiable, and strictly increasing in all its arguments. For the moment we follow BCM’s conditions, which rule out cases where leisure, individual and public consumption are equal to zero (limhi →1 ∂U i/∂hi = limCi →0 ∂U i/∂Ci=limK→0 ∂U i/∂K=∞for i = m, f ) ); in subsection 3.4. we relax this for leisure and thereby allow for non-participation.
Household decisions are assumed to generate Pareto-efficient out-comes, whatever the mechanism used to reach this agreement. Therefore, there is a function λ such that the household allocation (hm∗, hf∗, Cm∗, Cf∗, K∗) is the solution to the program:
The Pareto weight λ ∈ [0, 1] reflects the relative power of m in the household and (1 − λ) that of f ; a larger λ corresponds to a larger weight of m’s preferences in the household allocation problem, favoring the outcomes enjoyed by m. It is assumed that λ = λ(wm, wf , Y, z) is a continuously differentiable function of wages, non-labor income, and at least one distribution factor z that affects only the bargaining power rule but not the utilities or the budget.
The bundle (wf , wm, Y, z) is assumed to vary within a compact subset K of IR3+ × IR. Moreover, hm , wm , C, and K are observed, whereas the individual consumptions Cm and Cf are unobserved. In general, household surveys do not collect information about intra-household allocation of expenditures but about aggregate consumption C. Finally, it is assumed that both partners’ wages are observed, even when a partner does not participate in the labor market (we come back to that in subsection 4.3.1).
3.2. The conditional sharing rule
The solution to the household program (1) can be thought of as a two-stage process in which the couple first agrees on the level of the public expenditure and how to distribute the resulting residual non-labor income between them. Next, conditional on the outcome of the first stage, each member decides, independently of each other, their individual consumption and labor supply.
Formally, let hi∗ , Ci∗ , for i = m, f , and K∗, each considered as a function of wm , w f , Y and z, be the solution of program (1). Then a function φi exists such that:
where ϕm and ϕf characterize the conditional sharing rule: the portion of non-labor income allocated to each member once spending on the public good has been discounted:
Note that ϕi can be positive or negative; they could agree to spend beyond their non-labor income on the public good, and transfers between the two are also possible.
Fixing , the second stage of the household program (1) can be represented as:
with hi∗ (wm, wf , Y, z) and Ci∗ (wm, wf , Y, z) as interior solutions to the individual problem (we relax this in subsection 3.4.). The structure of each partners’ labor supplies can be described by:
where ϕ = ϕm. When φ is fixed, Hm and Hf are Marshallian labor supply functions. Imposing the condition K* (wm, wf , Y, z)=K, the couple’s labor supplies are:
In this way, i’s labor supply is described as a function of wages, non-labor income, and a distribution factor z as a function ζ(wm, wf, Y, K) such that public expenditures are exactly K. Hence, the values of wm, wf , and Y are not constrained to ensure that K∗(wm, wf , Y, z)= K; the key role of z is to guarantee that the level of public expenditure is exactly K. This structure generates testable restrictions because the same function φ(wm, wf, Y, z) enters each member’s labor supply (see footnote 7).
3.3. The determination of public expenditures
The efficiency condition for public good expenditures is obtained directly from the first-order conditions for the household program (1). Assuming an interior solution for individual and public consumption, this condition implies that:
This condition can be expressed in terms of individual indirect utilities. Let V i(wi, φi, K) denote the value of the second stage of the household program (2) for member i, that is, the maximum utility that i can achieve given the own wage and conditional on the outcomes (ϕi, K) of the first stage decision. Imposing efficiency, this leads to the following first-stage program:
with first order conditions that imply that:
The ratio is i’s marginal willingness to pay (MWP) for the public good. Thus, condition (5) states that the individual MWPs must add up to the market price of expenditures on children. From BCM’s Proposition 1 it follows that if i’s preferences are such that both public and private consumption increase with non-labor income (i.e., K and φi are normal “goods”, so i’s MWP is decreasing in K and increasing in φi), a marginal increase in m’s power will increase the household’s expenditures on children if and only if m’s MWP is more sensitive to changes in his income share than that of f , and vice versa. Because a positive transfer from one member to the other decreases the transferer’s MWP for the public good and increases the MWP of the one who receives the transfer, this proposition establishes that there is a particular point where the positive effect on the receiver is sufficient to compensate the reduction to the transferer. Hence, the key property for analyzing changes in the distribution of power within a household is not the magnitude of the MWPs (say, who cares more for children), but how the MWPs respond to changes in individual resources for private consumption.
Intuitively, empowering the female partner comes with a higher fraction of household non-labor income for her. If both private and public goods are normal, she will consume more of all commodities, and, conversely, the male partner will see his share and consumption reduced. The reduction in household expenditures on the public good that comes from the male’s share will be more than compensated by the increase in the females share when the female partner is more sensitive to changes in her share than her partner, that is, when she is willing to spend a larger fraction than her partner on children of the additional monetary unit that comes via her empowerment.
3.4. The participation decision
The next step, and our contribution, is the extension of the framework of BCM, which includes public goods but assumes interior solutions, with the labor force participation decision, thereby allowing for non-participation. For that, the standard reservation wage approach is generalized to a collective model with two adult members such that, at the reservation wage of one household member, not only is that member indifferent between working and not working, but that the other member is indifferent also (Blundell et al., 2007).
To characterize the participation decision of a household member, a procedure similar to the one used by Neary and Roberts (1980), who employed the procedure to model household behavior under rationing. Using this procedure, we characterize household behavior in terms of its unconstrained behavior when faced with shadow prices. Our logic follows the steps set out in a collective framework with non-participation and income taxes but without public goods by Donni (2003). The reservation wage of i, wi, is defined by
where Uxi stands for the partial derivative of function U i with respect to variable x = hi, Ci. This equation is the marginal rate of substitution between leisure and private consumption computed along the axis hi = 0 for a given sharing rule φi (and equal to Ci ) and a level of public expenditures equal to K.
By fixing public expenditures at some arbitrary level K, problem (1) is basically reduced to that considered by Donni (2003), who analyzes the participation decision in a framework with only private goods. Let y = Y − K denote the portion of non-labor income not devoted to public expenditures, which could be positive or negative (labor income can also be used for public consumption). Therefore, i’s reservation wage wi is implicitly defined as a function of (wm, wf , y):
Without additional assumptions, Equation (6) could have several solutions. Intuitively, there are two reasons that explain why there can be many wage rates for which i is indifferent between working and not working. The first comes from the assumption that the sharing rule ϕi depends on i’s wage, so there could be more than one combination of wi and ϕi at which i is indifferent. The second is related to the possibility that the sharing rule itself may depend on the non-participation of household members. Hence, the uniqueness of a reservation wage for member i has to be explicitly postulated.
A sufficient condition to obtain a unique reservation wage (fixed point) for each member is to define that the function $i is a contraction mapping (compare with Donni, 2003):
ASSUMPTION R. For any (wm∗, wf ∗, y) and (wm◦, wf ◦, y) ∈ IR+2× IR, preferences and the sharing rule are such that there is some non-negative real number r < 1 for which the following condition is satisfied:
Although Donni (2003) presents this condition in a model with only private consumption, our contribution is the insight that, by fixing K, its applicability extends to the situation with public goods. In particular, this condition does not affect the level of public expenditure; z varies to guarantee that public expenditure is exactly K. Consequently, the distribution factor allows that wm, wj, and Y - and thus also wi - can vary freely, whereas K is kept constant. Moreover, the assumption only applies in the neighborhood of the participation frontier; in the interior of other household participation sets the allocation of additional income stemming from the participation of one member could be more complex.
In essence, Assumption R restricts the impact on both individual shares (and hence individual consumption) of a change in one house-hold member’s wage. This amounts to assuming that the Pareto weights are smooth functions of both wages and non-labor income, and therefore that the smoothness of the individual utilities is preserved at the participation frontier of each individual.6
Assumption R is not expected to be very restrictive and it simplifies the analysis by allowing us to avoid the need for more restrictive fixed -point theorems to ensure the existence of a well-behaved participation frontier.
Under this assumption, the system of equations wm and wf is a contraction with respect to wm and wf for any y. Using the Banach contraction principle (Green and Heller, 1981), two corollaries are:
Hence, Assumption R establishes unique reservation wages, not only when both partners participate in the labor market but also in a situation of non-participation.
3.5. Identification
This section discusses the empirical restrictions on each household member’s labor supply implied by the collective setting with children and non-participation, and shows that it is possible to recover the structural model (preferences and the sharing rule) by observing the labor supplies and the household expenditure on children.
Considering the possible combinations of household members’ participation decisions, four sets can be defined. First, the set of wm, wf , y for which both household members choose to work defines the Participation set P . Second, f ’s non-participation set, Nf , is formed by the combinations of wm, wf , y for which f chooses not to work and m chooses to work. Similarly, third, the combinations for which m chooses not to work and f chooses to work define m’s non-participation set, N m. Finally, the non-participation set N , consists of wm, wf , y such that both household members choose not to work; this set is not taken into account in identifying individual utilities and the decision process given the lack of information for this purpose - if the hours of work for both partners are zero, the sharing rule cannot be deduced, so individual utilities cannot be recovered.
Therefore, it is assumed that at least one of the partners’ labor supplies is an interior solution to (1). The following theorem establishes the identification and testability results.
THEOREM 1. Let (hm, hf) be a pair of labor supplies, satisfying the regularity conditions listed in Lemmas 1-3 (below). Under Assumption R:
The proof of this theorem is developed in the next subsections. First, subsection 3.5.1. identifies the sharing rule in the participation set in which both household members choose to work (P ). Next, subsection 3.5.2. identifies ϕ in the set in which one of the couple does not work (N f and N m).
3.5.1. Identification when both partners participate
This case considers only a positive labor supply for both adults, and is the only situation implicitly considered by BCM (2005). The knowledge of the two labor supplies in the set P allows recovery of ϕ by applying a theorem from Chiappori (1992). For any (wm, wf, y) Є P such that the following definitions are introduced:, and . Note that A and B are the marginal rates of substitution of the sharing rule which can be identified in terms of the observable labor supplies of m and f.
LEMMA 1. Assume that , and ABy-BWf≠BAy-AWmfor any (wm, wf, y) Є P Then for any given K, the individual preferences and the sharing rule are identified on P up to an increasing function of K.
PROOF. See Lemma 1 in BCM (2005) and proposition 4 in Chiappori (1992).
The sketch of the proof is as follows. Under a collective frame-work the labor supply of spouse x is affected by changes either in the non-labor income or in j’s wage by means of their effects on the sharing rule. Therefore, from (3) and (4) it is possible to obtain a system of two partial differential equations, ϕwf − Aϕy = 0, and ϕwm − Bϕy = −B.
The indifference surfaces of i’s share can be derived in the space (wj , y) from noting that if there is a simultaneous change in non-labor income and in j’s wage that maintain i’s labor supply at the same level, then i’s share also remains constant. In addition, j’s share can be derived from the fact that both shares must add up to the non-labor income devoted to non-public consumption. The system of partial differential equations can be solved if it is differentiated again and if the symmetry of cross-partial derivatives is taken into account.7
The sharing rule and couples’ preferences have to be adjusted to consider the presence of public expenditures. For the sharing rule ϕ and the pair of utilities Um and Uf there exists a constant D(K) such that, for all (wm, wf, y) Є P such that, for all (wm, wf , y) ∈ P ,
where gm and gf are twice continuously differentiable mappings, increasing in their first argument. The functions Ui and Ui are different, although impossible to distinguish solely from the observation of labor supplies,8 but once D(K) has been chosen, Ui and and gi coincide up to an increasing function of K.
3.5.2. Identification when one member of the couple does not participate
In the case where only one of the adult household members, say i, works, the observation of i’s labor supply characterizes the sharing rule on the set N j . In addition, the values of the partial derivatives of the sharing rule are identified on j’s frontier by Lemma 1, providing boundary conditions for the identification of the sharing rule on N j . By continuity of hi and ϕ,9 the recovery of the sharing rule on P can be extended to the frontier between P and Nj if wj approaches the participation frontier γj(wi, v).
In particular, consider the participation set Nf in which member m works and f does not (i.e., wm > γm(wf , y) and wf ≤ γf (wm, y)). For any (wm, wf, y) Є int(Nf) such that hmy≠0, the previous definition of A(wm, wf , y) is still valid. Along f ’s participation frontier, ensuring continuity, the function a(wm, y) = A(wm, γf(wm, y), y) is defined for any set If of (wm, y) such that wm ≥ wm(y) and
LEMMA 2. Assume that and for any and for any (wm, wf, y) Є int(Nf) Then the sharing rule is identified on Nf up to some additive constant D(K).
PROOF. The same technique used by Donni (2003) can be applied; the only adjustment that must be made is that the additive constant that was sufficient in his set-up without public expenditures now has to be indexed by the level of public expenditures, D(K).
For the participation set Nm in which only member f works, mutatis mutandis, the reasoning is identical.
4. Parametric specification and empirical implementation
For a simple but realistic empirical illustration of the collective model with expenditures on children and non-participation proposed in the previous section, subsection 4.1. discusses the specific functional forms and simplifying assumptions that have been chosen, while sub-section 4.2. addresses the restrictions implied by the identifiability assumptions. Subsection 4.3. discusses the stochastic specification and the likelihood function used for the estimations.
4.1. Preferences, labor supply, expenditures on children, and the sharing rule
For the empirical illustration of this model, it is important to use a relatively simple parametric specification. Following the semi-log specification popular in empirical work in general (Blundell, MaCurdy, and Meghir 2007), and used in the empirical literature of collective models where both partners work as well (Chiappori, Fortin, and Lacroix 2002), we specify their individual structural labor supply functions as:
Equations (7) and (8) are linear in parameters, which eases the estimation process. Applying Roy’s identity to the underlying indirect utility functions of the Stern (1986) type,
for men (m), (for women (f ) replace ψs with γs) yields the individual labor supply system (7) and (8). In this specification, K is non-separable in the utility function of both members. Note that the efficiency condition (5) for public good expenditures implies the following restriction in parameters:
As in Chiappori, Fortin, and Lacroix (2002), the sharing rule is specified as:10
From the definition of the sharing rule, the expenditure on children has to satisfy the identity K = Y − (ϕm + ϕf), so that the reduced form is specified as:
Inserting the sharing rule (10) in the structural labor supply functions (7) and (8), the reduced-form functions are:
4.2. Restrictions of the model
In order to focus on labor supplies, the level of public expenditures is fixed to K(wm, wf ; Y, z) = K. Hence, using y = Y − K, after rearranging Equation (11) the distribution factor can be expressed as:
Using (14), the reduced-form labor supply functions (12) and (13) can be written as:
The relation between the parameters of the Equations (12)-(13) and the parameters of Equations (15)-(16) is shown in Appendix 1, Table A1.1.
Using Equations (15) and (16), the conditional sharing rule when both partners work, in terms of the household non-labor income devoted to private expenditures and wages, is characterized by the partial derivatives (see footnote 7):
Solving this system of differential equations, the conditional sharing rule recovered is:
Table A1.2 in Appendix 1 shows the parameters of the sharing rule (10) and its conditional version (17) in terms of the parameters of the reduced-form labor supply functions.
In addition to the parameter constraints from the efficiency condition for public-good expenditures (9), under a collective approach and with the chosen functional form of the labor supply functions, the ratio of the marginal effects of the interaction between the log wage rates has to be equal to the corresponding ratio of the marginal effects of the distribution factor on labor supplies:
This restriction stems from the fact that the cross term and the distribution factor enter the labor supply functions only through the sharing rule.
Moreover, collective rationality has implications for the ratio of the marginal effects of the expenditures on children (K) on each partner’s labor supply functions:
where the marginal effect of K is the sum of two terms. The first is the marginal effect that corresponds to the individual preferences via a change in the household’s non-labor income (a1 and b1), and the second term is the marginal change of K on the sharing rule via the distribution factor (a5/c5(1 − c1) and b5/c5(1 − c1)). Therefore, changes in the expenditures on children only impact individual labor supply functions through income effects, the impact for both partners being equal. Equations (18) and (19) impose testable cross-equation restrictions in the couple’s labor supply functions.
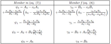
Finally, the parameters of the structural labor supplies (7) and (8) can be expressed in terms of the parameters of their reduced form; they are presented in Appendix 1, Table A1.3.
If the female partner does not work, there is a regime switch in the male partner’s labor supply and the sharing rule, and the parameters change:
To identify the decision process, the model imposes the restrictions that both the male’s labor supply function and the sharing rule have to be continuous along the female’s participation frontier (see subsection 3.5.2.):
Using the partial differential equation of the male’s labor supply in ϕ (see section 3.5.), a relation between s and r is obtained when the female partner does not work:
Using the equalities of the parameters of the sharing rule (17) shown in Appendix 1, Table A1.2, the relation is obtained.
4.3. Stochastic specification
For household t, starting from Equations (11)-(13) and (20), the complete system of equations to be estimated, is:
where Xtl is a vector of exogenous variables. A stochastic model is obtained through the inclusion of the error terms on the right-hand side of each equation, where the vector of errors (εtp, εtnp, εtf , εtK ) follows a joint normal distribution with a covariance matrix:
The stochastic model is a type 4 Tobit model (Amemiya 1985) or switching regression model (Maddala 1983), with simultaneity. The log-likelihood function of the econometric model is specified in Appendix 2.
4.3.1. Imputation of potential wages
Up to this point it has been assumed that both partners’ wages are always observed, even if someone is not working. Based on Wooldridge (2010), for non-working women the empirical analysis uses a Tobit selection procedure to impute both a wage rate and the interaction between the couple’s wage rates,
taking into account the simultaneity between expenditures on children and the couple’s labor decisions. First, using the full sample, a standard Tobit model of hft on all the exogenous variables is estimated:
Then, using observations for which hft > 0, Equations (26) and (27) are estimated, including the residuals vˆt from the previous step as a covariate.
The wage equations are identified from the exclusion of house-hold non-labor income, the distribution factor, the male partner’s age and education, a second-order polynomial in the number of children in the household under 15, and a dummy variable for the number of children under five. To identify the effect of the womans log wage rate and the cross product of log wages on the woman’s labor supply, it is necessary that Xtwf and Xtwfwm each contain at least one variable not in Xtf and XtK . The chosen variables for XtK are the cross product of the woman’s age and education (see, e.g. Mroz, 1987), and the unemployment rate by state and by year-quarter of the first survey visit to the household as a means of accounting for local labor market conditions. For Xtwfwm , the male partner’s log wage, the same variables considered for Xtf , and the interaction between them are chosen. The choice of instruments is based on Wooldridge (2010)’s discussion of identification in simultaneous equations models that are nonlinear in endogenous variables, particularly models with interactions between exogenous variables (here, ln wtm) and endogenous variables (here, ln wtf ).
Finally, the fitted values of ln wtf and ln wtm ln wtf are calculated, correcting for selection bias:
5. Data
A survey that satisfies the data requirements is the Mexican Family Life Survey (MxFLS). From the original sample of 8 328 households, a subsample is extracted from the second wave (held in 2005-2006) that consists of nuclear families that only have children under 15 years of age (1 921 households, 48.15% of nuclear families). By using these nuclear families, the focus is on households where the decision process is centralized in the parents, reducing the possibility of interaction with other kin within the household. The specific subsample was chosen because children under 15 are less likely to have bargaining power in household decisions.
Furthermore, the sample is restricted to couples living together where both partners are less than 60 years old. We exclude house-holds where a member is unemployed (the choice between working or not has to be freely made, to avoid misinterpretation of the findings), and households with a partner who is self-employed or working with-out remuneration (to avoid problems in measuring labor income). We also dropped households where the male partner is not employed (a negligible number). These criteria and the exclusion of households with missing and outlier data leave us with a total of 1 002 house-holds. The information on wage rates and working hours of both partners is used, as well as information on women with missing wage rates. Expenditures on children include education (enrollment fees, exams, school supplies, uniforms, and transportation), clothes and shoes, toys, and clothes and items for babies. Non-labor income is the annual household current income minus the couple’s labor incomes.
Table 1 reports descriptive statistics of the final sample. The low female participation rate - only 18 percent of the women (180 of 1 002) participate in the labor market - represents a challenge to the model estimation since the procedure for imputing potential wages to all women in the sample is based on the information from working women. The mean annual number of working hours is 308 for all women in the sample and 2 408 for men. However, working women have on average a higher hourly wage rate than men (MXN $43 versus $29). Using the procedure described in subsection 4.3.1., the female’s log wage rate and the interaction between the couple’s log wage rates are replaced for all observations by their fitted values (see Appendix 1, Table A3.1). There is no significant difference in years of education (approximately eight years), while women are on average two-and-a-half years younger than their husbands.

In the collective framework, the intrahousehold decision process depends on distribution factors, variables that leave the individual preferences and the joint budget set unchanged and only shift the distribution of power. The sex ratio is a frequently used distribution factor that proxies the situation in the marriage market, reflecting the couple’s outside opportunities (Angrist, 2002; Chiappori, Fortin, and Lacroix, 2002; Grossbard-Shechtman and Neuman, 2003; Park, 2007). A higher sex ratio - a smaller percentage of women on the marriage market - improves the female’s bargaining position; if the relationship dissolves, she has a higher probability of finding a new partner than he does, so he is willing to concede to her a larger share of the gains of living in a couple in order to avoid an end to the relationship. Following Park (2007), two kinds of sex ratio variables at the state level are constructed using the Population and Housing Count of 2005 (INEGI, 2005). The age-to-age sex ratio is the number of men of the same age as the male partner of each household over the corresponding number of women. A 2-year-band sex ratio is also calculated; this ratio uses the weighted sum of women who are at most two years younger than the male partner of the household, based on the assumption that a man and a woman aged 15 years or older can form a couple with an equal chance if the man is between zero and two years older than the woman, which reflects the age difference observed in the sample.
6. Estimation results
We first present and review the estimation results of the reduced form models (subsection 6.1.), followed by a discussion of the implications for the structural parameters in subsection 6.2.).
6.1. Reduced form model parameters
Tables 2, 3 and 4 and Appendix 1, Table A4.1 show the parameter estimates of the unrestricted model (24)-(25), which assumes that the male’s labor supply function is continuous along the female’s participation frontier, and the associated collective version, which imposes the restrictions (18)-(19) in the estimation process. Two versions are estimated, one using the age-to-age sex ratio variable as a distribution factor (columns labeled (age)), and the other using the 2-year-band sex ratio variable (columns labeled (2yr)).



Using the log-likelihood values for each model it is possible to construct LR statistics to test the collective restrictions (18)-(19). In the version employing the age-to-age (2-year-band) sex ratio the test statistic of 1.79 (4.55) is smaller than the critical value of χ20.05 = 5.99. Hence, for both sex ratios, the collective model cannot be rejected, a finding that is consistent with the hypothesis that the presence of children in a household generates non-separabilities in individual consumption. Others that have not explicitly considered this aspect have usually rejected the collective rationality when analyzing a household with children (see Fortin and Lacroix, 1997; Donni, 2007).
Table 2 presents the estimates of the parameters of expenditures on children. The magnitudes of the coefficients are very similar in the unrestricted and the collective versions. The marginal effect of a change in the male’s wage rate on the expenditures on children is (c2 + c4 ln wf)/wm, so for all specifications and everything else being equal, an increase in the male’s wage rate implies an increase in the money spent on children if the female’s wage is more than MXN $8 (that is if wf > exp(−c2/c4)), which is the case for the large majority of the sample. In both versions of the unrestricted model, at the mean wage rate of both parents, a MXN $1 increase in the male’s wage rate (equivalent to an annual increase of MXN $2,408 in labor income at the mean hours worked by men) increases the annual expenditure on children by approximately MXN $61.
The marginal effect of the female’s wage rate is determined by (c3 + c4 ln wm)/wf , and is positive if the male’s wage is larger than MXN $23 using the age-to-age sex ratio as distribution factor, and $26 with the 2-year-band, which is the case for just over half of the sample. In the unrestricted model with the age-to-age sex ratio as distribution factor and at the mean wage rate of both parents, a MXN $1 increase in the mother’s wage (equivalent to an annual increase of MXN $308 in her labor income, at the mean hours worked by women) increases the annual expenditure on children by approximately MXN $5 (approximately $2 with the 2-year-band). The non-labor income is not statistically significant at conventional levels.
The age-to-age sex ratio has a negative and statistically significant effect on expenditures on children; for example, a one-standard deviation increase in the age-to-age sex ratio (0.07 points) reduces the annual amount spent on children by approximately MXN $646 in the unrestricted model.
Because an increase in the sex ratio is related to an increase in the bargaining power of the female partner (and a corresponding decrease in that of the male partner), this result suggests that fathers care more about their children than mothers (although, under the proposed specification, the adequate indicator of parents’ preferences regarding children is their marginal willingness to pay, whose estimated values are shown later). These results reject the implication of the unitary approach that no distribution factor is associated with intrahousehold allocations.
Most other control variables are statistically significant at conventional levels. As expected, the presence of a larger number of children under 15 increases the expenditure on them. However, if a child under five is present, all else equal, the expenditures are reduced. Children under five contribute to higher expenditures through the total number of children, but an autonomous correction is made since there are no school expenditures for them. Parental education has a positive effect on the expenditures on children, especially the female’s; while an additional year in the male’s education increases the annual amount spent on children by approximately MXN $215, that same factor in the female’s education increases the expenditure by MXN $300.
The estimates of the reduced-form female household member’s labor supply function are shown in Table 3. The own-wage effect of female labor supply is determined by (b3 + b4 ln wm )/wf , and is positive at male hourly wage rates inferior to MXN $9 but the nega-tive backward bending effect dominates for higher male wage rates. Therefore, if the husband earns more than MXN $9 per hour, a higher potential wage for the woman does not result in a greater labor supply for her; only if the man earns less than MXN $9 the wife is inclined to work more hours. The cross-wage effect of female labor supply, (b2 + b4 ln wf )/w m , is positive for female wage rates less than MXN $62 in the model with the age-to-age sex ratio as a distribution factor (and less than MXN $59 using the 2-year-band). Thus, for the most relevant female wage range, all other factors being equal, women who participate work more if the husband has a higher wage, while for those women who do not work the probability of starting to participate increases with the wage of their partner. In sum, the own-wage income effect tends to dominate the substitution effect for very small values of the male wage rate, while a woman tends to increase her working hours upon a wage increase of her partner within a wide range of her own wage rate.
The parameter of the sex ratio variable in the couple’s reduced-form labor supply functions is the result of two effects, one of the sharing rule and the other of the expenditures on children (see the structural labor supply Functions (7) and (8)). Interestingly, the effect of both sex ratios on the female’s labor supply is positive, but imprecisely determined, in both the unrestricted and collective model. In the collective version, the magnitude of both sex ratios is smaller and better determined: the age-to-age sex ratio parameter passes from a p-value of 60% in the unrestricted model to 21% in the collective one, while the corresponding value for the 2-year-band falls from 53% to 33 percent.
With respect to the control variables, the female household member’s age and education have a significantly positive effect on her labor supply. As expected, an increase in the number of children, other factors being equal, is accompanied by a decrease in her number of hours worked; the presence of a pre-school child also reduces the number of hours worked.
Table 4 reports the estimates of the parameters of the reduced-form male labor supply function. In a working couple, the own-wage effect of the labor supply, (a2 + a4 ln wf )/wm, is always negative and the cross-wage effect, (a3 + a4 ln wm)/wf , is positive for a wide range of male wage rates. The former indicates a backward bending of the male labor supply, and the latter suggests that men tend to increase working hours upon a wage increase of their partner. Evidence of similar male labor supply behavior has been found for the Netherlands by Bloemen (2010) and Kapteyn, Kooreman, and van Soest (1990) when male and female labor supply is estimated simultaneously.
Comparing the unrestricted with the collective model, there is a change of sign in the effect of both sex ratios on the male labor supply; it passes from a negative effect to a positive. The constraints (18) and (19) imposed by the collective model seem to be restrictive regarding the influence of distribution factors on the male’s hours worked. Nevertheless, only in the unrestricted model with the 2-year-band sex ratio the distribution factor is statistically significant at the 5% level. Regarding the control variables, only the male’s education is significant, with a positive sign, in the male’s labor supply.
The parameter estimate of s, associated with (22), the assumption of a regime switch in the male’s labor supply and its continuity along the female participation frontier, is negative but is not estimated precisely. Bloemen (2010), under a similar logic of the parametric specification for a sample with all possible combinations of working and non-working partners in the Netherlands, has found that the corresponding parameter for a working husband and a non-working wife is statistically significant, whereas the parameter associated with a working wife and a non-working husband is not significantly different from zero. This unsatisfactory result does not constitute a rejection of the collective approach but is instead a rejection of the auxiliary assumptions of a continuous regime switch of the male labor supply function due to a change in the females participation decision. Female non-participation in the labor market affects the working hours of her partner via her potential wage and the correlation between them (ρnpf ≈ −0.53, see Table A4.1), but a non-working female partner does not involve a continuous shift in the male labor supply. The reason for the rejection of a regime switch may be that the female reservation wage tends to show little variation and is only captured by the correlation coefficient.
With respect to the nuisance parameters (Table A4.1), all the standard deviations of the dependent variables are estimated pre-cisely. In addition, the only correlations that are statistically significant at the 10% level are those between the female’s participation equation and the male’s labor supply when she does not work (negative), and the female’s participation equation and the expenditures on children (positive). These findings suggest that unobserved variables that influence women’s decision to participate in the labor market are negatively correlated with those that influence men’s hours worked, and positively with the expenditures on children.
Although the effects of some important variables are quite precisely measured, the limited number of significant parameters can be explained, at least partially, by the small size of the sample.
6.2. Structural model parameters
The estimates presented in Tables 2, 3 and 4, by use of the expressions in Table A 1.2., enable the recovery of the parameters of the (conditional) sharing rule (10) in the specification equations and (17) when both partners work, as well as the parameter r in Equation (23), which allows a regime switch in the sharing rule if the female partner does not work. The parameters, presented in Table 5, turn out to be not very precisely estimated; the most significant parameter is the one related to non-labor income (both the total in specification (10) and the one that discounts the expenditures on children in specification (17)), with a p-value of approximately 10.3 percent. The parameter of non-labor income is around 0.57, indicating that couples seem to share their non-labor income such that 57% goes to man and the remaining 43% to the woman.

The marginal effect of the male and female wage rate on the sharing rule (10) is (α2 + α4 ln wf )/wm and (α3 + α4 ln w m )/wf , respectively, and similarly for specification (17) using the α˜i instead of αi . The estimated parameters of the sharing rule using the age-to-age sex ratio imply that, as long as the female’s hourly wage is less than approximately MXN $67, all other factors being equal, the female partner benefits, in terms of a non-labor income transfer, from an increase in the male’s wage (and for rates less than approximately MXN $74 with the 2-year-band). The female’s share also benefits from increases in her wage within a wide range of the male’s wage rate. By way of illustration, the parameter estimates of the conditional sharing rule Equation (17), with the level of expenditures on children fixed, indicate that in the collective model with the age-to-age sex ratio variable as distribution factor and at the mean wage rate of both parents, a MXN $1 increase in the male’s hourly wage (MXN $2,408 annually at the mean) induces him to transfer an additional MXN $214 to the female partner. Also, an extra MXN $1,367 will be transferred to the female partner when her wage increases MXN $1 (MXN $308 annually at the mean hours worked). Hence, at the mean wage rate of both parents, part of the male’s gain in labor income is transferred to his partner, whereas an increase in the female’s wage dramatically improves her bargaining position; she is able to keep the direct gains and in addition extract a larger portion of household non-labor income devoted to private expenditures.
The estimate of r, associated with the assumption of a regime switch in the sharing rule and its continuity along the female’s participation frontier (eq. (23)), is not significantly different from zero; the estimated values of the sharing rule’s parameters are maintained when the female partner does not work. Also, as mentioned above, in Bloemen (2010) the corresponding parameter for a working woman with a non-working husband is not significantly different from zero. Although the non-participation of a female partner would have reduced overall household resources, it does not imply a shift in the resources toward her; the female’s bargaining power does not seem to be affected by her non-participation in the labor market. Nevertheless, the male partner’s share decreases if the wage rate of his partner increases, regardless of her labor status: the wage rate of a non-working woman may still function as a threat point.
The reason that the male labor supply and the sharing rule of a working man and his non-working female partner are not significantly different from those of a working couple may be that reservation wages of women tend to be very low and show little variation in the sample used. In this scenario, there is a negligible reduction in overall resources for the household when the woman is not working, so there is no visible response in the male partners hours worked or in the distribution of household non-labor income.
The parameters of the structural individual labor supply Functions (7) and (8) can be computed using the expressions in Table A1.3. In general terms, the parameters in Table 6 are not estimated precisely. The small sample size, together with the low variation in the potential wage, can explain part of this result. Nevertheless, when the marginal willingness to pay for expenditures on children is calculated for each member (M W P m = ψ3/ψ1 and M W P f = γ3/γ 1), the male partner seems to care more about the children than the female: an increase of MXN $1 in the male’s share, φm , is associated with an increase of MXN $1.3 in the money spent on children; a corresponding increase in the female’s share is associated with a reduction of MXN $0.3. Using the same database but considering only working couples and including home production, Sarmiento (2012) also found that when time and expenditure on children’s education is evaluated, fathers care more than mothers.

7. Conclusions
The richness of collective models comes from the opportunities the framework provides for the theoretical foundations of how individuals share resources within an intragroup decision-making process such as a household. In this sense, the approach could serve as an empirical tool for understanding intrahousehold allocations, particularly when evaluating policies with a targeting purpose. However, the literature on the identification of the structural elements of household behavior in a more general case than that of private consumption with interior solutions is relatively recent.
This paper extends Chiappori’s (1992) model of collective labor supply to bring together the decision to participate in the labor market and expenditures on public goods, such as expenditures on children. The paper unites in a single framework the work of Blundell, Chiappori, and Meghir (2005) for children and Donni (2003) for non-participation. The model generates testable restrictions on household labor supply behavior. In particular, labor supply functions have to satisfy certain structural conditions in the form of partial differential equations. Moreover, the model can recover individual preferences and the sharing rule from the observation of adult members labor supply and expenditure on children. Identifiability when at least one of the partners works requires, first, the knowledge of a distribution factor to control for the effect of public consumption on the optimal individual choice of consumption and labor supply; and second, the explicit postulation of a unique reservation wage to identify the structure in the non-participation sets of each household member.
In an empirical application the model is estimated using Mexican nuclear households with (only) children under 15 years from the MxFLS 2005-2006 wave. Specifying each partner’s labor supply function, based on individual preferences, as a linear function of their own log wage rate, the sharing rule, and expenditures on children, and specifying the sharing rule and expenditures on children as linear functions of individuals’ and the cross product of the couple’s log wage rates, household non-labor income, and a distribution factor, the paper provides evidence on the relevance of factors that influence the couple’s bargaining positions, such as the female’s potential wage rate and the state-level sex ratio, and, through these factors, the household resource allocations. Unconstrained and constrained versions of the model are estimated.
The estimated parameters satisfy the conditions imposed by the proposed collective labor supply model. Our results confirm the rejection of the unitary model as found by Attanasio and Lechene (2002) for the poorest households in Mexico. Previous studies that included a household with the presence of more than one child or pre-school children have generally rejected the restrictions implied by the collective rationality (Fortin and Lacroix, 1997; Donni, 2007).
As in Sarmiento (2012), we do not find evidence that empowering mothers is more beneficial to the children than empowering fathers; indeed, there is a larger increase in expenditure on children if their fathers, rather than mothers, are empowered. Cherchye, de Rock, and Vermeulen (2012) have found this unanticipated behavior in a sample of Dutch couples. Although it is a common claim that women spend in a more child-friendly way than men, our results suggest that this does not generally hold, something that was found also by Handa et al. (2009) for the poorest Mexican households. It is important to note that we do not evaluate the impact of a specific program for the poorest households in Mexico, such as Progresa, where female empowerment through the selection of only female recipients of the transfer was one of the built-in design features. Instead, we consider a sample of nuclear households selected from a nationally representative survey that in general do not receive social support for their children, hence no female empowerment has been implicitly or explicitly postulated. Indeed, a program designed to enable an evaluation that separates gender effects from a possible selection bias (like the characteristics of the beneficiary and household circumstances), or from other types of assistance, is not available. In an attempt to analyze the validity of the choice of women as recipients of poverty alleviation programs, Yoong, Rabinovich and Diepeveen (2012) reviewed a sample of studies that evaluate the difference in impact on household members’ well-being of giving economic transfers to women versus men within the same program. Only in the case of conditional cash transfers, did they find evidence of a positive relation between female empowerment and child nutrition and health. In the case of unconditional cash transfers such as pensions or micro-credit programs there are ambiguous results: transfers to women might have negative outcomes for the household, might not benefit all, worsen, or it might have no impact on the welfare of the children in the household.
Another important finding is that expenditures on children and male labor supply vary significantly with the female wage even when the woman is not working. Nevertheless, the auxiliary assumptions of a continuous regime switch on the male labor supply function and the sharing rule to a change on the female participation decision are rejected; the difference between the labor supply and sharing rule functions of a working man and his non-working partner and the corresponding functions of a working couple are not statistically significant. The reservation wages of non-working female partners may be relatively low and without sufficient fluctuation. Future research should consider household production; welfare comparisons at the individual level can be biased if household production is not taken into account. For example, the specialization of a woman in domestic activities is interpreted as an increase in her individual leisure consumption; her share of the non-labor income is interpreted as a lump-sum transfer from her partner instead of the exchange of her domestic production for market goods. Another line for future research consists of the use of a closed form for the female’s shadow wage rate, to take into account the existence of rationing in the woman’s hours worked. Introducing this wage into the male’s labor supply function, causes the latter to be continuous everywhere. In addition, one can assume that the sharing rule is the same without considering the female’s labor participation change. The lack of precision of the sharing rule actually indicates avenues for further empirical exploration. For instance, although the sample of households of working couples without offspring was enlarged by including households with a non-working female partner and children under 15 years of age, the imprecision of some parameters may still be due to the small sample size. In particular, the female’s potential wage rate has been estimated using information from the 18% of households that have working women. Also, because extended families are common in developing countries, it would be desirable to extend the model to include the possibility of a household with more than two persons with bargaining power. In that case, a private good that was consumed by each member with power and a distribution factor that affected the distribution of power for each of those members would be needed.
References
Amemiya, T. 1985. Advanced Econometrics, Cambridge, MA: Harvard University Press.
Angrist, J. 2002. How do sex ratios affect marriage and labor markets? Evidence from America’s second generation, Quarterly Journal of Economics, 117(3): 997-1038.
Apps, P.F. and R. Rees. 1997. Collective labor supply and household production, Journal of Political Economy, 105(1): 178-190.
Arceo, E.O. and R.M. Campos. 2010. Labor supply of married women in Mexico: 1990-2000, WP, no. 2010-16, CEE, El Colegio de México.
Attanasio, O. and V. Lechene. 2002. Tests of income pooling in household decisions, Review of Economic Dynamics, 5(4): 720-748.
Bloemen, H.G. 2010. An empirical model of collective household labour supply with non-participation, The Economic Journal, 120(543): 183-214.
Blundell, R., P.A. Chiappori, T. Magnac and C. Meghir. 2007. Collective labour supply: Heterogeneity and non-participation, Review of Economic Studies, 74(2): 417-445.
Blundell, R. , P.A. Chiappori and C. Meghir. 2005. Collective labor supply with children, Journal of Political Economy , 113(6): 1277-1306.
Blundell, R. , T. MaCurdy and C. Meghir. 2007. Labor supply models: Unobserved heterogeneity, nonparticipation and dynamics, in J.J. Heckman and E.E. Leamer (eds.), Handbook of Econometrics, vol. 6A, pp. 4667-4775, Elsevier.
Blundell, R. , P. Pashardes and G. Weber. 1993. What do we learn about consumer demand patterns from micro data? American Economic Review, 83(3): 570-597.
Bourguignon, F.J., M. Browning, P.A. Chiappori and V. Lechene. 1993. Intra household allocation of consumption: A model and some evidence from French data, Annales d’Economie et de Statistique, (29): 137-156.
Browning, M., F. Bourguignon, P.A. Chiappori and V. Lechene. 1994. Income and outcomes: A structural model of intrahousehold allocation, Journal of Political Economy , 102(6): 1067-1096.
Browning, M. andP.A. Chiappori . 1998. Efficient intra-household allocations: a general characterization and empirical tests, Econometrica, 66(6): 1241-1278.
Browning, M. , P.A. Chiappori and Y. Weiss. 2014. Economics of the Family, Cambridge University Press.
Browning, M. and C. Meghir. 1991. The effects of male and female labor supply on commodity demands, Econometrica , 59(4): 925-951.
Cherchye, L., B. de Rock and F. Vermeulen. 2012. Married with children: A collective labor supply model with detailed time use and intrahousehold expenditure information, American Economic Review 102(7): 3377-3405.
Chiappori, P.A. 1988. Rational household labor supply, Econometrica , 56(1): 63-90.
______. 1992. Collective labor supply and welfare, Journal of Political Economy, 100(3): 437-467.
______. 1997. Introducing household production in collective models of labor supply, Journal of Political Economy, 105(1): 191-209.
______ and I. Ekeland. 2009. The microeconomics of efficient group behavior: Identification, Econometrica, 77(3): 763-799.
Chiappori, P.A., B. Fortin and G. Lacroix. 2002. Marriage market, divorce legislation and household labor supply, Journal of Political Economy , 110(1): 37-72.
CIDE-UIA-INEGI. 2012. Mexican Family Life Survey (MxFLS), <http://www.ennvih-mxfls.org/english/index.html>.
Donni, O. 2003. Collective household labor supply: Nonparticipation and income taxation, Journal of Public Economics, 87(5-6): 1179-1198.
______. 2007. Collective female labour supply: Theory and application, Economic Journal, 117(516): 94-119.
______. 2008. Labor supply, home production, and welfare comparisons, Journal of Public Economics, 92(7): 1720-1737.
______ and E. Matteazzi. 2016. Collective decisions, household production, and the labor force participation, THEMA Working Paper, no. 2016-05, Universit´ de Cergy-Pontoise.
Fortin, B. and G. Lacroix. 1997. A test of the unitary and collective models of household labour supply, Economic Journal , 107(443): 933-955.
Green, J. and W.P. Heller. 1981. Mathematical analysis and convexity with applications to economics, in K. Arrow and M. Intriligator (eds.), Handbook of Mathematical Economics, vol. 1, pp. 15-52, Elsevier.
Grossbard-Shechtman, S.A. and S. Neuman 2003. Marriage and work for pay, in S.A. Grossbard-Shechtman (ed.), Marriage and the Economy: Theory and Evidence from Advanced Industrial Societies, pp. 222-247, Cambridge: Cambridge University Press.
Handa, S., A. Peterman, B. Davis and M. Stampini. 2009. Opening up Pandora’s box: The effect of gender targeting and conditionality on household spending behavior in Mexico’s Progresa program, World Development, 37(6): 1129-1142.
Instituto Nacional de Estadística y Geografía (INEGI). 2005. Conteo de población y vivienda, Mexico. http://www.beta.inegi.org.mx/proyectos/ccpv/2005/.
Kapteyn, A., P. Kooreman and A. van Soest. 1990. Quantity rationing and concavity in a flexible household labor supply model, Review of Economics and Statistics, 72 (1): 55-62.
Lundberg, S., R.A. Pollak and T.J. Wales. 1997. Do husbands and wives pool their resources? Evidence from the United Kingdom child benefit, Journal of Human Resources, 32(3): 463-480.
Maddala, G. 1983. Limited-Dependent and Qualitative Variables in Econometrics, Cambridge: Cambridge University Press .
Magnus, J.R. and H. Neudecker. 2007. Matrix Differential Calculus with Applications in Statistics and Econometrics, 3rd ed., Chichester: John Wiley & Sons.
Mroz, T.A. 1987. The sensitivity of an empirical model of married women’s hours of work to economic and statistical assumptions, Econometrica , 55(4): 765-799.
Neary, J. and K. Roberts. 1980. The theory of household behaviour under rationing, European Economic Review, 13(1): 25-42.
Park, C. 2007. Marriage market, parents’ bargaining powers, and children’s nutrition and education, Oxford Bulletin of Economics and Statistics, 69(6): 773-793.
Sarmiento Espinel, J.A. 2012. Parental investment in their children’s education, WP 2012-09, CEE, El Colegio de México.
Stern, N. 1986. On the specification of labour supply functions, in R. Blundell and I. Walker (eds.), Unemployment, Search and Labour Supply, Cambridge: Cambridge University Press .
Thomas, D. 1990. Intra-household resource allocation: An inferential approach, Journal of Human Resources , 25(4): 635-664.
Vermeulen, F. 2002. Collective household models: Principles and main results, Journal of Economic Surveys, 16(4): 533564.
Wooldridge, J.M. 2010. Econometric Analysis of Cross Section and Panel Data, 2nd ed., Cambridge, MIT Press.
Yoong, J., L. Rabinovich and S. Diepeveen. 2012. The impact of economic resource transfers to women versus men: a systematic review, EPPI-Center technical report 2001, Institute of Education, University of London.
Appendix 1. Relations between parameters in different model specifications



Appendix 2. Maximum likelihood function
The log-likelihood function of the econometric model specified by Equations (24) and (25) is:11
where
Appendix 3. Female wage equation
Table A3.1 shows the parameter estimates of the female log wage rate (eq. (26)) and the cross product of the couple’s log wage rates (eq. (27)) used to overcome the unobservalibility of the wages of the non-participating women in our sample. The fitted (predicted) values for these two variables are used as the potential wages in the estimation of the model formed by Equations (24)-(25).

Appendix 4. Further empirical results
Table A4.1 presents the estimates of the variance-covariance matrix ∑ of the model formed by Equations (24)-(25). The other parameters are presented in Tables 2, 3 and 4.

Notes
Notes
Author notes