Artículos
Received: 02 February 2022
Accepted: 27 July 2023
DOI: https://doi.org/10.24201/ee.v39i2.451
Abstract:
This document investigates the relationship between wages and labor productivity in Mexico, considering the territorial dimension and, within it, the impact that the productivity of neighboring entities has on local wages, given the geographical proximity. Results show that an increase in labor productivity impacts remuneration. Moreover, an increase in productivity in a particular state positively impacts the remunerations of neighboring states. The results allow us to understand that territorial productivity has a spillover effect on the remunerations of neighboring territories.
EL Classification:40, R11, C2140, R11, C21
Palabras clave: Manufacturing productivity labor, spatial econometrics, spillover effects.
Resumen:
El presente documento investiga la relación entre las remuneraciones y la productividad laboral en México, tomando en consideración la dimensión territorial y, dentro de ésta, el impacto que la productividad de las entidades vecinas tiene en las remuneraciones locales, dada la cercanía geográfica. Los resultados arrojan que un incremento de la productividad laboral impacta las remuneraciones; así como un incremento de la productividad en los estados contiguos tiene un impacto en las remuneraciones del estado analizado. Esto nos permite entender que la productividad territorial tiene un efecto de derrame sobre las remuneraciones de los territorios vecinos.
Clasificación JEL:40, R11, C21
Keywords: Manufacturing productivity labor, spatial econometrics, spillover effects.
1. Introduction
The relationship between wages and productivity is a vital determinant of the quality of life of workers and the income distribution between labor and capital, also known as the remuneration of factors of production. If wages grow at the same rate as productivity, the share of wages in national income remains unchanged (Feldstein, 2008). In this sense, it is essential to consider what the Economic Commission for Latin America and the Caribbean (ECLAC)1 and the International Labor Organization (ILO)2 say about labor productivity as an essential measurement of development conditions, by linking production elements with socio-economic aspects (CEPAL and OIT, 2012).
To advance towards a more inclusive development, the benefits of the productivity increases must be distributed more equitably between workers and employers through increases in remuneration that correspond in a more significant proportion to that currently observed with productivity gains. However, this transmission does not occur automatically, and various mechanisms often restrict it.
Among the most significant factors associated with a lower share of wages in national income, we can mention aspects linked to financial and economic globalization and institutional factors, such as the weakening of workers’ power in collective bargaining (CEPAL and OIT, 2012). It is possible to design and apply measures to improve wages, without affecting the competitiveness of a country in the international environment, through improvements in labor productivity, which translate into higher wages in companies while allowing them to maintain their profit margins and achieve better levels of competitiveness (Guerrero de Lizardi, 2009).
The analytical perspective of some economic theories establishes that the compensation received by a country’s workers varies according to the changes experienced by productivity measured in labor terms (the production achieved per worker or hour worked). For example, the marginal productivity theory postulates that a wage must be equal to its marginal productivity (Clark, 1899), while the efficiency wage theory argues that there is a relationship between the worker’s income and his productivity (Leibenstein, 1958).
Productivity growth in an economy should provide the potential to increase living conditions over time (Bivens and Mishel, 2015), although this assumption is not always fulfilled. The divergence between compensation and productivity means that most workers do not benefit from productivity growth. Understanding the link between the two variables and their dynamics makes it possible to develop more appropriate policies toward a sustained increase in productivity. Still, at the same time, this growth will produce better living conditions for workers and their families. Considering that labor income is the primary means by which the welfare conditions of workers’ families are maintained or modified, it is highly relevant to review whether this relationship is empirically observed in Mexico with the most recent information available. In light of the above, this work seeks to contribute to a better understanding of the relationship between the dynamics of productivity in Mexico and changes in compensation paid to workers. It is also expected that this document will be helpful in the design of public policies aimed at ensuring that the country’s productivity gains are reflected in workers’ wages and, with them, in better living conditions for their households.
Different situations do not allow an adequate estimation of the relationship between wages and productivity in developing countries (Van Biesebroeck, 2015), such as: a) the scarcity of reliable, uniform, and periodic data to measure the relationship; b) volatility and distortions in the economic and employment environment; and c) high inflation, which can cause difficulties in correctly equalizing wage increases with productivity growth. In this sense, the different price indices that deflate the nominal levels of the variables can cause distortions (Bosworth et al., 1994). Similarly, there are structural conditions that affect the relationship between the two variables: market concentration, macroeconomic policies applied to contain wages and as an anchor so that agents’ expectations do not affect the price level, and the decrease in public net investment, among others (Peñaloza Webb and Peñaloza Webb, 2020).
This paper explores the relationship between productivity and wages, focusing on one state’s productivity’s impact on its neighboring states’ productivity and wages. The document seeks to answer the following two questions:
According to the literature review performed in the second section, over the past few decades in Mexico, there has been no consensus regarding the results derived from the empirical analysis of the data for the variations in productivity and remunerations. In some studies, results show a disconnection between the annual movements of both variables (Ruiz Ramírez, 2015; Lechuga Montenegro and Gómez García, 2015) or even a negative relationshipbetween them, implying that in the face of productivity increases, decreases have been observed in the actual remuneration of workers in real terms (Valle, 2003; López Machuca and Mendoza Cota, 2017; Mungúıa, 2019). However, in other studies, with different methodologies and data sources, a statistically significant positive relationship between productivity and remuneration is concluded (Castellanos, 2010; Liquitaya Briceño, 2013; Rodríguez Espinosa and Castillo Ponce, 2009), although with different intensities and time horizons.
Above all, the conclusions of a couple of works have generated the guidelines for carrying out this study. On the one hand, Unger et al. (2014) emphasize the relevance of incorporating the regional or territorial dimension in the analysis of economic dynamics. They identify the characteristics of competitiveness, productivity, diversification, and salary level of the 32 states in Mexico and, based on these characteristics, they classify the entities into two large groups, one with the states with the highest competitiveness, productivity, and best salaries, and another with entities with lower levels of productivity and low remunerations. They analyze the creation of clusters that generate integration between their preponderant activities, highlighting the regional or territorial dimension within their conformation, where, in addition, the comparative evolution between regions (and, with it, the neighborhood at the state level) has become fertile ground for the analysis of economic dynamics. The main message of this document refers to the fact that it is impossible to ignore the differences between states and regions relative to their conditions of competitiveness, productivity, and wages.
On the other hand, Almonte and Murillo Villanueva (2018) analyze the consequences of productivity and wages at the federal and state levels within the manufacturing sector. When reviewing the data at the state level, heterogeneity in real salary levels and labor productivity exists within industrial sectors. The data obtained by the authors account for the country’s states in which wages in manufacturing have been reduced in recent years, in real terms, while for other states, they have been increased. From 2009 to 2017, the most relevant conclusion is that, although productivity in the country has demonstrated much more than remuneration, the information at the federal and state levels points towards a positive relationship between labor productivity and real wages.
Additionally, according to Sherk (2016), workers’ remuneration and productivity move in a one-to-one relationship so there is a link between them. This author observes that some of the barriers that restrict the diffusion of the benefits generated by the increase in productivity in some sectors on wage improvements for workers, both in the most productive and least productive sectors, lose strength when performing the analysis at the subnational level, especially concerning geographic scope barriers. Thus, the increase in productivity in one or more sectors of a state can influence not only the salary remunerations of the workers from those sectors and that entity but also the remunerations of the workers in adjoining states. Presumably, the higher productivity labor in one state might increase remunerations in other states due to, for instance, the existing competition across industries for skilled labor. For example, as wages rise in state A, the likelihood that workers in nearby state B decide to relocate to state A might increase, exerting additional pressure on the firms located in state A to increase wages and retain that skilled labor. We hypothesize that such externalities exist whenever the salary increase is significant and attractive enough for workers to move to a nearby state looking for higher remunerations.
Through the answer to the research questions posed above, the aim is to assess, on the one hand, if the strength of the link between productivity and remuneration is significant, considering the substantial variations from one entity to another and, on the other, whether or not the divisions’ state policies prevent the transfer of the benefits of increased productivity in one state over the remuneration of another with which it shares territorial limits.
The following section of this document discusses the relationship between productivity and remunerations according to various economic frameworks. Also, the influence of the variable of spatial dependence at the state level is concerned, seeking to give the reader greater clarity regarding the analytical context in which this work is introduced. The third section presents a literature review of previous research to detect contributions, results, data, and methodology. The fourth section of this work exhibits the data and econometric methods employed, while the fifth section displays data and descriptive statistics. Finally, the last two sections are results, conclusions, policy recommendations, and main contributions and limitations.
2. Productivity, remunerations, and spatial dependence
2.1 Productivity and remuneration
Labor productivity is commonly defined as the relationship between the product generated and the work required to obtain it in each period. Thus, the labor factor is widely measured by hours worked or the number of employed workers and production by its gross value or value added (CEPAL, 2016). Measuring productivity through these variables usually makes it possible to have available and up-to-date data on production, employment, and hours worked at the sector level.
Regarding remuneration, several authors agree that it is not enough to include only nominal salaries in the analysis, but rather total compensation must be measured, including complementary income sources, which may even be in kind or non-monetary (Feldstein, 2008; Bivens and Mishel, 2015). They explain that considering only wages instead of total compensation underestimates the actual payment received by workers. According to Feldstein (2008), wages have not grown at the same rate as total labor compensation due to increased benefits derived from non-monetary payments. He suggests using the latter in the analysis instead of wages.
Neoclassical economics postulates that, in the long term, the increase in workplace productivity has a positive effect on the growth of real wages in such a way that the growth rate of productivity determines the rate of increase in average income (Mankiw, 2015). Thus, under this theoretical perspective, the rates of productivity variation should be the same as the growth rates of workers’ remuneration.
For the neo-Keynesian economic theory, although the approaches of its exponents are not homogeneous, imperfections or rigidities in the markets prevent or distort how companies adjust workers’ wages based on prices, production, and productivity. These imperfections partially block the transmission of movements in labor productivity toward workers’ remunerations. On the other hand, efficiency is an exciting element in analyzing the relationship between wages and productivity (mainly due to the variation in the approach in which this relationship is addressed), which implies remunerations higher than the equilibrium salary of labor supply and demand. Companies are willing to pay these higher wages by the increased effort of workers to perform their tasks better, thus increasing their productivity (Vadillo, 2013; Mankiw, 2015).
Structuralists emphasize the existence of power relations that permeate the functioning of markets. The state’s political power and other political, social, and cultural institutions influence the labor market and, with it, the distribution of the benefits generated by producing goods and services in a country. Thus, the relationship between wage movements and productivity variations is unequivocally affected by power structures. As Polanyi (1944) pointed out, in a market economy, public policies and the political conditions of a country affect the costs and the product of labor (considered a fictitious commodity). This would affect the link between productivity and workers’ compensation. In this relationship, the concept of transaction, conceived by the structuralist thinking of Latin America, is handy, among other things, because it allows workers’ bargaining capacity or power to be incorporated into the analysis (Di Fillippo, 2018).
Understanding the link between productivity and remuneration, as well as its mechanisms, will allow the development of the most appropriate policies and a deeper understanding of the extent to which variations in productivity trigger the growth of workers’ real wages. According to the International Labor Organization (OIT, 2017:17), “in the long term, the increase in labor productivity (the average value of goods and services produced by workers) is what allows wages to be increased in a sustainable way”.
ECLAC has promoted the debate about the link between productivity and wages and the dissociationbetween these variables in recent years. This fact has led to a decreasing relative weight of wages within national income. For several years, ECLAC has promoted an agenda to encourage advances in productivity, reduce inequality, and overcome structural gaps in the region. One of the necessary mechanisms to reduce inequality in countries is to increase the weight of wages in national income, reducing the gap between productivity and salary increases.
ECLAC and ILO found that, between 2002 and 2008, in an analysis of 21 countries in Latin America and the Caribbean, in 13 of them, the share of wages in GDP decreased, which indicates an unfavorable redistribution of income for workers. In this context, two concerns stand out: the first is of a moral nature in the face of a trend of inequitable redistribution of wealth, and the second is related to the risk that this situation generates on the sustainability of economic growthand social stability, and with-it democratic governance (CEPAL and OIT, 2012).
In summary, following the approach of Van Biesebroeck (2015), there are three aspects to analyze the strength of the relationship between wages and productivity: a) employers generally have monopsony power that allows them to manage the hiring conditions of employees; the workers, with salaries lower than those that marginal productivity would demand of them; b) the relationship of productivity with wages becomes more fragile or more robust according to specific characteristics of the workers; for example, young workers are usually paid a wage below their marginal productivity; and c) it registers a gradual decline in the labor share of national income.
It is vital to make progress in implementing public policies to avoid the continuity of the lag between salary increases and the increases achieved in productivity in Latin America. These can be considered for economies as a whole or specific sectors. For example, one measure that has been debated in various countries of the region and implemented in some of them is that the fixing and updating of minimum wages should consider not only inflationary aspects but also elements of productivity improvements (CEPAL and OIT, 2012).
2.2 Spatial dependence and its relationship with productivity and remuneration
The competitive advantages and, with them, the level of productivity of a country’s region, state, or province are created and maintained in a localized process of spatial dependence. Significant differences exist in the industrialization and development of local economies at different geographical levels because of the dominance of certain activities and sectors specific to each locality and entity. Thus, the level of productivity and remuneration of each entity or locality is linked to the maturity and modernization of the dominant activities (Unger et al., 2014).
According to the perspective of a territory’s competitive advantages, a region’s productivity level is essentially determined by a set of capacities, infrastructure, knowledge, institutions, and public policies, among other factors. Moreover, the productivity level of a region significantly influences remuneration, as well as the level of prosperity and development of each region (Unger et al., 2014).
Various economic geography models allow a better understanding of the role of the spatial dependence variable considered in this research. Essentially, economic geography provides a reference framework that makes it possible to understand how spatial dependence, concentration, and the variety of industries present in a region have a decisive influence on the levels and dynamics of productivity of the accumulation of capital, both physical and human, and of the scale of production (Mayer Foulkes, 2006). The underlying idea is that capital gains and better remuneration are strengthened and transmitted in modern and homogeneous environments, consolidating the most favorable outcomes for the competitiveness of regions and states over other regions and states. The competitiveness of a region or state reflects the conditions of productivity and remuneration within it (Unger et al., 2014).
In recent decades, various studies have focused on productivity’s spillover effects on geographic space. Coe and Helpman (1995), in their seminal article, investigate the spillover effects that the productivity of one country has on another. They check the relationship between each country’s research and development (R&D) capital stock and its main trading partners’ total factor productivity (TFP). The results suggest a relationship between productivity and R&D capital stock, not only of national capital but also of foreign capital. In a subsequent review, Coe et al. (2009) confirm their findings, even after controlling for variables by levels of human capital (schooling) and institutional differences between nations (such as patents, legal systems, etc.).
Other authors have investigated the sectoral productivity spillovers that exist between countries. Badinger and Egger (2008) carried out a spatial econometric estimation to distinguish between and estimate the intra- and intersectoral spillover effects of two TFP transmission channels: domestic and imported. One of the most outstanding results is that the data analyzed (from thirteen OECD countries and fifteen manufacturing industries) show a significant effect of knowledge spillovers, referring to research and development, on productivity, both horizontally (intra-sectoral) and vertically (inter-sectoral). Similarly, Tsai and Lin (2005) explore spatial, temporal, and sectoral productivity spillovers, with one of the main objectives being to assess the contribution of these different types of spillover mechanisms and their interdependence on productivity growth.
An additional strand that explores the spillover effects of productivity in space is constituted by the works investigating the impact of productivity decomposition. Haini (2020) disaggregates the direct and indirect effects of the TFP increase across Chinese provinces, while Glass and Kenjegalieva (2019) analyze the banking sector, breaking down TFP at the firm level. Escobar and Mühlen (2019) work in the same direction, in a sectoral manner and exploit the internal differences in Mexico.
Cabral and Varella Mollick’s (2017) work examines the impact of the United States economy’s performance on Mexico’s labor market. Their finding on the influence of the U.S. economic cycle on wages in Mexico, especially in neighboring states, is particularly relevant. In Mexico, as in other countries, the states have reached different levels of development, and there are, in turn, different conditions for the development and performance of the manufacturing industry. The differences between the states in Mexico in terms of their competitiveness and productivity are evident.
The most competitive states have structures that generate productivity improvements. These improvements are transferred to the population, to a greater or lesser extent, through higher wages and are transmitted between activities in geographically close environments (Unger et al., 2014). According to the approach of the present work, these improvements in a state’s productivity can permeate beyond its political-administrative limits toward the neighboring states.
By calculating variation rates for both wages and labor productivity (in the manufacturing sector) for Mexico at the state level and evaluating the relationship between these rates, a deeper analysis of this relationship at the state level is possible. The inclusion in the study of the variable of spatial dependence between the states is the most relevant innovation of this document since, through this variable, the influence that a state’s productivity exerts on the remunerations of neighboring states is evaluated. Studies such as Coe and Helpman (1995), Tsai and Lin (2005), Badinger and Egger (2008), and Coe et al. (2009) have found spillover effects between productivity levels across space and the sectors. This document considers that this relationship also exists between productivity and wages. Figure 1 shows the average annual manufacturing workers’ earnings by state. In the first instance, significant regional differences are observed within the country. Also, manufacturing workers’ remunerations appear higher in borders, oil, and central states than in southern states.

3. Literature review
This section reviews various works focused on studying the relationship between productivity and remuneration from multiple approaches and objectives to find elements of analysis that will allow a better understanding of the relationship between variables and the various factors and edges that intervene in that relationship. In the first instance, international works are reviewed, and later studies referring specifically to the country under investigationin this document (Mexico) are listed and analyzed.
3.1 International literature review
Several of the studies reviewed report (with data from different countries) a widening gap between the evolution of productivity and increases in wages in real terms, and, in some of them, the most probable causes for this more significant decoupling are exposed. Other documents point to the existing heterogeneity within the countries in the analysis of the variables in question so that the strength of their relationship is greater or lesser depending on particular groups, sectors, or conditions. Some of these studies focus on the exogenous factors that affect the relationship between productivity and wages. Another group of studies agrees that there is or may be a positive correlation between productivity and wages, depending on the fulfillment of certain conditions. In a couple of studies, the reliability of the database and the way of measuring the variables and their deflators are emphasized as necessary elements to verify positive correlation. At the same time, another document points out the relevance of the public policies implemented at the national level, in terms of productivity and income distribution, on the strength and direction of the variation.
The first group of studies finds a weak relationship between the evolution of productivity and wages. CEPAL and OIT (2012) analyzed data from 2002 to 2011 for several selected countries in Latin America and the Caribbean. They found that workers’ real wages did not increase in line with increases in labor productivity. Sharpe and Uguccioni (2017) reviewed information from 11 countries belonging to the Organization for Economic Co-operation and Development (OECD). They analyzed the hypothesis that, in the long run, productivity growth leads to an increase in real wages in the economy in the same proportion. They found that the link is unmet in 8 of the 11 countries. Another document by Jacobson and Occhino (2012) focuses on analyzing for the United States the evolution of the participation of labor income in the country’s total revenue. They registered a significant decrease in that participation since the 1980s. Likewise, the International Labour Organization (OIT, 2017) found that in the period 1999-2001, the growth of average labor productivity was more than twice that of average wages in a sample of 36 developed countries, and highlights -based on this result- that the decline in the labor income share is a global trend, although with some exceptions.
In addition to finding results that support a gap between the dynamics of productivity and wages, Bivens and Mishel (2015) and Stansbury and Summers (2017) suggest the factors that cause this dissociation. The former uses data from the United States since 1973. It records a gap between productivity increases and increases in real wages that is widening, especially since 2000, linked to the extraordinary rise in inequality in the entry. For them, one of the most likely causes of the decoupling between wages and productivity is that policies aimed to benefit those with more significant wealth and power undermine workers’ bargaining power.
Stansbury and Summers (2017) investigate the relationship between productivity and wages for each decile of the wage distribution in the United States, thus generating information segmented by income distribution. Their sample covers from 1948 to 2016 and finds a clear breaking point in 1973. In fact, before that year, productivity and wages had parallel growth, but since then, the gap has opened in the evolution of the two variables. They suggest as an explanation for the results obtained that in recent decades, various factors have undermined the link between the variables, such as technological progress, education and specific skills, and globalization, as well as institutions and their power over the market. For his part, Bojnec (2004) uses data from Slovenia and finds, as one of the main results, that the increase in labor productivity explains only partially the increase in real wages in that country (70%), so there is a relevant role of other factors not considered or defined in the model, which affect the formation of wages.
A second group of studies finds heterogeneous results according to the groups of workers or the productive sectors. Hellerstein et al. (1999) analyze data for different groups of workers in the United States and argue that wage differentials are significantly linked to productivity differentials for most of these groups. Crepon et al. (2003), with data from France and grouping the workers according to age and sex, find significant differences between the groups in terms of the proportion of wage increases relative to increases in productivity. Long et al. (2008) note two critical points using data from manufacturing plants in the United States. On the one hand, they find significant heterogeneity in the condition of productivity as a predictor of wages, according to the type of industry and, on the other, they find a relevant variability in the magnitude of the connection between wages and productivity over a few years, even within the same industries. Broadberry and Burhop (2010) compare historical data on real wages and productivity changes in Germany and Great Britain. These authors identify significant differences in the relationship between the evolution of wages and increases in productivity between these two countries. Still, they also observe substantial differences within them, according to the sectors and the qualification level of the workers.
A third group of studies points to a positive relationship between the evolution of productivity and wages. Lawrence (2016) conducted a data analysis of 32 countries from a World Bank database for the manufacturing sector. This author found a close relationship between average productivity and average wages, with an explained variance of 87%.
Feldstein (2008) found evidence that the share of national income going to workers in the United States was roughly the same in 2006 as in 1970. He emphasizes that real compensation should be measured using the same price index to calculate productivity. When studied this way, the increase in compensation has been very similar to the rise in productivity.
After analyzing temporary movements in labor participation and wage inequality, with data from OECD countries, Schwellnus et al., (2017) found that various country-specific factors, including implementing and adjusting public policies, play a significant role in shaping the relationship and trend between the variables. In other words, the characteristics and scope of various national public policies related to the distribution of remuneration and those associated with the promotion of productivity significantly affect the strength and direction of the correlation of these variables.
The work of Schwellnus et al. (2017) focuses on a quantitativedescription of the movements in labor participation and wage inequality in OECD countries. According to the authors, various country-specific factors, including public policy adjustments, could significantly shape the effects of global trends between variables.
3.2 Literature in Mexico
In recent years, valuable research has been carried out in Mexico about the relationship between productivity and wages and between employment and productivity and wages. The main contributions of the work carried out with data from Mexico, which underwent thorough review, are briefly detailed in the following paragraphs. These documents use different methodologies, data sources, and periods. Their results are not uniform because, while in some, a correlation between the variables is observed, in others, the reported findings show an apparent disconnection between productivity increases and salary evolution in Mexico. Additionally, two papers whose contribution is based on the proposal of various elements of analysis for public policy are integrated into this review.
Valle (2003) finds that between 1982 and 1991, although productivity increased moderately, real remuneration fell sharply. Castellanos (2010) uses data from the Monthly Industrial Survey from 1994 to 2002, which has establishments in the manufacturing sector as its unit of analysis, except for those engaged in export maquila. With these data, the author analyzes the relationship between (nominal) wages, unemployment, and labor productivity in Mexico through a model that uses a generalized method of moments for dynamic data panels. Among the results obtained, she highlights that a decrease of 1% in labor productivity reduces the annual rate of increase of nominal wages by approximately 0.3% in the short term and about 0.47% in the long run.
Liquitaya Briceño (2013), with information from the manufacturing industry and the National Consumer Price Index, performs Granger causality tests, cointegration analyses, and regression analyses in levels and growth rates and builds the error correction model. Among the results, employment unidirectionally causes economic activity and productivity, and there is feedback between them. A 1% increase in economic activity requires an increase in employment of only 0.57%, with the rest derived from increases in productivity and capital.
Using information from the Central Bank of Mexico’s statistical database, from the first quarter of 1994 to the fourth quarter of 2007, Rodríguez Espinosa and Castillo Ponce (2009) estimate a cointegration equation and an ordinary cycle equation. A typical cycle between the variables could not be observed in the short run. However, in the long run, the authors detect that those wages share a common variation with productivity and employment; that is, wages are positively related to productivity and negatively to unemployment.
With data from the National Institute of Statistics and Geography (Instituto Nacional de Estadística y Geografía, INEGI), the Mexican Social Security Institute (Instituto Mexicano del Seguro Social, IMSS), and the National Minimum Wage Commission (Comisión Nacional de los Salarios Mínimos, CONASAMI), Ruiz Ramírez (2015) carried out a descriptive and graphic analysis relating the variables of labor productivity, production, employment, and wages. According to the information analyzed, she found that productivity increases do not lead directly and unequivocally to wage increases. Similarly, through a descriptive analysis of graphs, Almonte and Murillo Villanueva (2018), with data from IMSS and INEGI, analyze the evolution of wages and labor productivity in manufacturing at the national and state levels. Among the results, the marked heterogeneity at the state level stands out in terms of real wages and productivity levels. However, it can be observed that productivity tends to grow above the wage increase in the country.
López Machuca and Mendoza Cota (2017) conducted a comparative analysis of the 32 states in the country in which they evaluated the relationship between labor productivity and unemployment with real wages in Mexico. Based on the wage curve model, the methodology employs econometric techniques for static, dynamic, and longterm cointegration functional structures. They find that wages react to variations in productivity, but contrary to expectations, these variations are in the opposite direction since they detect that wages decrease with productivity increases. Mungúıa (2019) analyzes information from 2005 to 2018 on labor productivity and wages in Mexico, highlighting that, for the manufacturing industry, productivity has grown above wages, especially in some subsectors. Notably, since 2009, labor productivity has registered sustained growth, but wages have not experienced a recovery from that year’s crisis. The author even notes a mirror movement, in which productivity increases as wages decrease, like the findings of López Machuca and Mendoza Cota (2017).
A paper by Verhoogen (2008) focuses on the empirical implications of the relationship between trade and wage inequality, using panel data on manufacturing plants in Mexico. In the analysis, the manufacturing plants are grouped according to their level of productivity, and the most productive plants are found to pay higher wages than the less productive plants to maintaina higher qualityworkforce. However, a clear differentiation is established between occupational categories of plants.
Some of the main results of the work by Lechuga Montenegro and Gómez García (2015) show that wages have not grown at the same rate as labor productivity due, among other factors, to the fact that a structural heterogeneity persists in the sectors that produce consumer goods, such as the basic basket. Likewise, the authors find that, due to an unfavorable relationship between productivity, wages, and prices in the country, real wage deterioration is maintained as the logic on which the rate of profit operates. Meanwhile, through a cluster analysis, Unger et al. (2014) review the role of the Gross Domestic Product, labor productivity, employment, and average wages as characteristics of economic competitiveness. The main contribution of this work, relative to those mentioned above, is the emphasis on the relevance of incorporating the regional or territorial dimension in this type of analysis.
4. Data and methodology
On analyzing the relation between productivity and wages, we must control for the effect that unemployment may exert on such relationship. The impact on one or both variables has been widely observed in the economic literature in various contexts (Castellanos, 2010; López Machuca and Mendoza Cota, 2017; Stansbury and Summers, 2017).
Two phenomena have been observed in the relationship between unemployment, productivity, and wages in Mexico. The first is that the influence of productivity and unemployment on wages is sensitive to economic cycles; that is, it varies between periods of stability and crisis, while unemployment has a more significant effect when there is economic stability. The second is that the impacts present differences in their significance in the analysis by states. In states whose economy is strongly linked to the performance of manufacturing activity, labor productivity is more significant than the unemployment rate in determining workers’ remuneration (López Machuca and Mendoza Cota, 2017).
This work focuses on the analysis of the manufacturing sector in Mexico, and data on the wages of the employed population are used instead of information only on wages. As mentioned above, considering total remuneration -and not wages- allows the analysis to incorporate additional elements to the salary received by workers as compensation for their work, which often represents a considerable amount of the total received. Moreover, other factors usually have a different variability than the salary in the revisions and adjustments of remuneration. Thus, the variable used in this case refers to the total remuneration per worker in a working year.
On the other hand, manufacturing labor productivity is calculated as the added value generated by a worker in the sector in one year. To calculate it, the production value is divided by the labor input (Van Biesebroeck, 2015). The labor productivity of the manufacturing sector was chosen because the measurement of value added and the costs of inputs are generally narrowly defined, which provides greater clarity about what is precisely measured and analyzed.
The data for the estimate comes from the 2009, 2014, and 2019 economic censuses of INEGI (2009, 2014, 2019a). The data correspond to the economic activity of the previous year. The variables used are the gross added value of production and employed personnel in the manufacturing sector at the state level. The producer price index (INPP, base 2019) published by INEGI (2022a) was used to deflate the values.
Variables such as unemployment rate, manufacturing exports per worker, manufacturing foreign direct investment (FDI) per worker, and average schooling (in years) at the state level were also used to control for the conditions of each one. We use the unemployment rate because various authors (Alexander, 1993; Fernández and Montuenga, 1997; Nikulin, 2015; López Machuca and Mendoza Cota, 2017) consider it to be a factor that affects the remuneration-productivity relationship at the aggregate level. The unemployment data source is the National Occupation and Employment Survey (INEGI, 2019b).
Schwarzer (2018) considers that there is a differentiated behavior in labor productivity between exporting and non-exporting companies, while Driffield and Taylor (2006) think that FDI has a differentiating effect on the demand and remuneration of the labor factor. Finally, Choudhry (2009) and Fallahi et al. (2010) consider education as a determinant of productivity. The data source of the unemployment rate comes from the National Occupation and Employment Survey (INEGI, 2019b) and corresponds to the overall rate of the state economy. Manufacturing exports are sourced from the Quarterly Exports by State (INEGI, 2022b), while manufacturing FDI comes from the Secretary of Economy (Gobierno de México, 2021), and average schooling comes from the Secretary of Public Education (SEP, 2021).
Regarding the methodology used in this research, a spatial fixed effects panel model is proposed, incorporating the spatial and temporal effects of the data. Thus, the analysis is based on a spatial model since it is recognized that data collected in nearby spatial units tend to be more similar than those that are further away geographically (Tobler, 1970).
The following equation is proposed, adhering to the model developed by López Machuca and Mendoza Cota (2017), to estimate wages from labor productivity in the context of spatial econometrics (Elhorst, 2014):
where lnremuni,j,t is the logarithm of remunerations in state i, for period t, while θ‘1W lnremuni,j,t is the spatial lagged term. lnpli,t is the logarithm of manufacturing labor productivity in state i, for period t; lndesi,t is the logarithm of the unemployment rate in state i, for period t; lnexpi,t represents the natural logarithm of manufacturing exports per worker; lniedi,t is the natural logarithm of manufacturing FDI per worker in state i, for period t; lnescoli,t is the average schooling in years in state i, for period t, and ui,t is the error term. The terms included in W lnXi,j,t are the whole set of explanatory spatially lagged variables.
For this paper, manufacturing labor productivity is defined as:
where V ABi,t is the gross census value added in entity i in period t, while POi,t is the employed population in the same entity i and period t.
This specification is relevant because it is based on the hypothesis of causality from productivity to wages. In the theory of distribution, it is postulated that, without friction, each factor of production will be remunerated in the same amount that it creates (Clark, 1899); that is, the labor factor should be remunerated according to its marginal productivity (Robinson, 1967). It is also based on the approaches of the relationship of efficiency wages. Solow (1979) conceptualizes and formalizes the theory of efficiency wages and proposes a model that assumes a direct relationship between wages and worker productivity.
Two things are carried out before estimating the model. First, we verify whether or not there is a spatial correlation between the elements. Tests were performed to consider the influence of spatial location not only on manufacturing remunerations and labor productivity but also on other variables.
The procedure was implemented in two steps. In step one, we tested the spatial correlation in levels of the variables of interest. The three spatial statistics used are Moran’s I, Geary’s C, and Getis and Ord’s G running in Stata 16 (Pisati, 2001). Moran’s I is the most commonly used spatial statistic indicator to determine whether or not the data presents spatial randomness. Moran’s I is computed as:
where wi,j is the spatial weight matrix, while (PP PP P xi − x̄)(xj − x̄) is the covariance between the variable of interest at the state level and ∑i (xi − x̄)2 is the variance.
Geary’s C is a global dissimilaritymeasure, while Getis and Ord’s G uses agglomerationmeasures. Usually, both measurements indicate the existence of clusters in the spatial distribution of the variable, for example, high values with high values or low paired with low values. Geary’s C is computed as:
where the elements of the equation are the same as described above. If Geary’s C is greater than 1, then the distribution of the variable is characterized by a negative spatial autocorrelation. In contrast, if Geary’s C is less than 1, it is a positive spatial autocorrelation. The Getis and Ord’s G indicator is computed as:
where the variable y only takes positive values, and the matrix wi,j is the matrix of spatial weights. Getis and Ord’s G supply the same information as Geary’s C, but if G is larger than its expected value, there is a positive spatial autocorrelation with a prevalence of high-valued clusters. The opposite occurs if Getis and Ord’s G is smaller.
In the second stage, a linear regression for the whole dataset was run by ordinary least squares (OLS) to verify the spatial autocorrelation using the errors and spatial lagged dependent variables and model selection (Shehata, 2016). In addition to the previous statistics, Lagrange Multiplier (LM) Lag tests, non-robust and robust versions, were used to test spatial autocorrelation and model selection. If the latest is more statistically significant than the previous, and the robust LM lag test is significant, but the error test is not, then a spatial lag model is a better fit. Moreover, if error tests are more statistically significant than LM lag tests and error statistics are significant but robust LM lag is not, then a spatial error model fits better (Anselin and Florax, 1995; Shehata, 2012).
A second issue was a negative gross census value added for Tabasco in 2018. A geographically weighted regression (GWR) model was then applied for the outlier data (i.e., Tabasco) using GWR Stata commands (Pearce, 1999). GWRs are a statistical technique that aims to establish prediction processes for both independent and dependent variables, with a spatial approach forming the best linear unbiased predictors. This technique presents an advantage in the conformation of the modeling because it captures the spatial heterogeneity in the territories and makes them functional in the regression equation of each observation. At the same time, the results consider the spatial effect of parameter estimation, tending to normalize the observations (Fotheringham et al., 2002; Harris et al., 2011).
Furthermore, the exponential kernel functions were used to obtain an efficient specification of the prediction derived from the GWR. Exponential functions are those based on spatial approximation, that is, functions that permit generating smoothing degrees of spatial influence. Their presence allows us to consider that the effects present in a geographic location or region i tend to decrease as one moves away from it. The usefulness of this assumption makes it possible to determine different spatial behaviors and standardize the predictions established in the modeling structure (Fotheringham et al., 2002; Harris et al., 2011; Bidanset and Lombard, 2014).
Finally, Stata 16 is employed to estimate equation 1 using Panel Fixed Effects (Cameron and Trivedi, 2010), Generalized Method of Moments (Roodman, 2009), and Spatial Panel (Belotti et al., 2017) methods. Relevant statistical tests are applied to every estimation.
Also, as spatial estimation exploits a complex dependency structure, the estimated parameters contain a wealth of information that can be unraveled through measures of direct, indirect, and total effects that we estimate for our model (LeSage and Pace, 2009). In a spatial setting:
(6)
Total effects can be decomposed between direct and indirect effects. The direct effect [(I-ρW)-1(βjI+θjW)]D is the impact of spatial explanatory variable j on explained variable y for the state r, while the total effect is the cumulative impact of explanatory variable j of state r on the explained variable of all other states. The total effect is the sum of direct effect plus indirect effect. Also, we can define the indirect effect as the impact of explanatory variable j of all other states on the explained variable of stater [(I-ρW)-1(βjI+θjW)]nd (LeSage 2008; LeSage, 2014; Herrera, 2015; Belotti et al., 2017). Here, đindicates the mean diagonal element of a matrix, and the nđdenotes the mean row sum of the nondiagonal elements.
5. Descriptive statistics
The descriptive statistics of the variables used in the model are presented in Table 1. As can be seen, the average remuneration for employed personnel is less than the annual value added per worker (labor productivity) for all census years. However, the levels are not likely to be the same but are expected to evolve at similar rates. The average annual unemployment rate goes from 1.2% (Guerrero) to 5.1% (Mexico City), while manufacturing exports range from 53.3 United States dollars (USD) per worker (Guerrero), on average, to 106,484.2 USD per worker (Coahuila), on average. Zacatecas is the most significant recipient of average manufacturing FDI (11,940.6 USD per worker). This state receives manufacturing companies that support the automotive industry, but the mining and all-around companies capture the greatest FDI. Moreover, during the 2008 and the 2012-2014 periods, Zacatecas received the highest flow of FDI. The average schooling evolved favorably throughout the period for Mexico City (10.6 years), the highest, but not for Chiapas (7 years), which is the lowest.

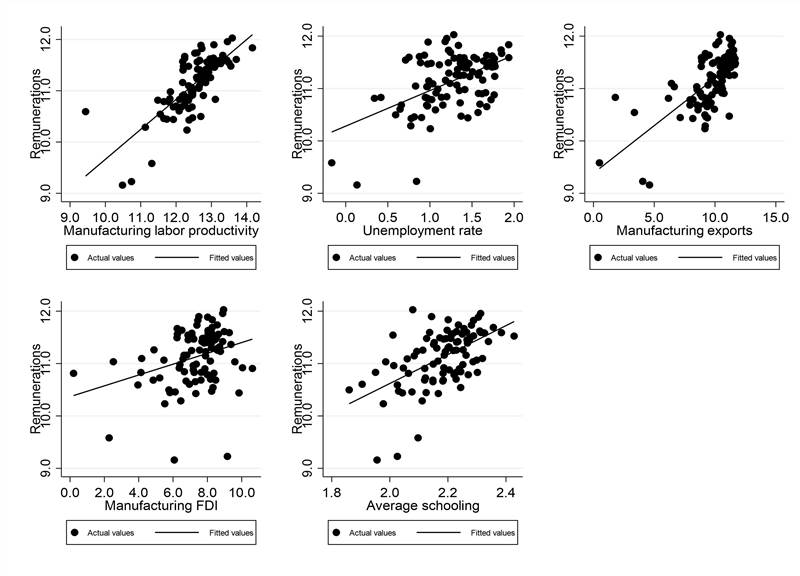
The linear relationship between remunerations and all other variables throughout the study period is confirmed in Figure 2, which shows a positive relationship between manufacturing remunerations per worker and all other variables. However, the relationship between manufacturing remunerations per worker and manufacturing labor productivity is strong.

6. Spatial autocorrelation test results
The spatial autocorrelation test results are presented in this section. Table 2 describes Moran’s I spatial tests applied to the whole set of variables in levels and cross sections for every year. Manufacturing labor productivity, manufacturing exports per worker, and average schooling are statistically significant at the 5% level for the whole period. Manufacturing remunerations per worker are statistically significant at the 5% level for the last two censuses and statistically significant at the 10% level. Overall, this means that these variables are spatially autocorrelated. This test shows a general presence of spatial specific patterns in the distribution of the variable over the entire Mexican territory, i.e., the variable does not distribute randomly.

Tables 3 and 4 present the two local spatial autocorrelation tests, Geary’s C and Getis and Ord’s G, respectively. Average schooling is statistically significant at the 5% level for the whole period in the Geary’s C test, exhibiting spatial autocorrelation. Manufacturing remunerations per worker, unemployment rate, and manufacturing exports per worker are statistically significant at the 5% or 10% level for at least two censuses. Manufacturing foreign direct investment per worker is statistically significant at the 10% level in 2013.


The autocorrelation test results show clustering states for some variables and census years. For example, the average schooling cluster states in the whole period. Also, Geary’s C is less than 1 for average schooling, manufacturing remunerations per worker, unemployment rate, manufacturing exports per worker, and manufacturing foreign direct investment per worker. This means there is a positive spatial autocorrelation, i.e., if one state has high average schooling, its neighbor also has high average schooling.
The Getis and Ord’s G in Table 4 shows that manufacturing labor productivity is statistically significant at the 5% or 10% level for the whole period, thus exhibiting spatial autocorrelation. Manufacturing FDI per worker and average schooling are statistically significant for some census years. The table does not show the difference between Getis and Ord’s G and its expected values. Still, by computing both, we can see that manufacturing labor productivity displays positive spatial autocorrelation with a prevalence of high-valued clusters for the whole period. This is the first confirmation of our hypothesis.
Table 5 shows the spatial panel autocorrelation test results. The LM test for spatial lag is statisticallysignificant at the 5% level (40.280) and is also robust (347.996). In addition, Moran’s I (0.116), Geary’s C (1.035), and Getis and Ord’s G (-0.485) error tests are statistically significant at the 10% level. Thus, the spatial lag model is appropriate, as stated in equation 1.

7. Results from econometric specifications
At this point, three estimates of the model described in the previous section and the resulting parameters estimated in logarithms are shown in Table 6. At first glance, a Panel of Fixed Effects is estimated without considering the possibility of spatial correlation and using GWR results for Tabasco. This imputation is made based on the distortion caused by oil accounting, producing a negative gross value added. Previous studies indicate that the exclusion or imputation of the state of Tabasco does not generate significant differences in the results (Puyana, 2009; Sánchez Juárez and Campos Benítez, 2010). This estimation shows that an increase of 1% in manufacturing labor productivity impacts 0.124% in remunerations and -0.118% in the unemployment rate. In the case of manufacturing exports per worker and manufacturing FDI per worker, a positive increase of 1% would be related to a rise of 0.023% and 0.003%, respectively, in remunerations. However, the parameters are not statistically significant for these last three variables. Average years of schooling have a positive relationship of 3.432% with earnings. We also estimate a parameter for census years in the specification to capture any time-related effects not already in the model. In this case, none of the dummy-time variables are statistically significant.

We are estimating a Feasible Generalized Least Square (FGLS) model (column 2 in Table 6) because the Panel Fixed Effects do not show homoscedastic errors (see Appendix A). All variables are statistically significant, except for manufacturing FDI per worker and the 2013 dummy variable. The unemployment rate does not show the expected sign but is statisticallysignificant at a 95% confidence interval. This estimation shows that an increase of 1% in manufacturing labor productivity impacts 0.33% on average remunerations.
When we consider the spatial structure, as in equation 1 of the data and methodology section, and the third specification in Table 6, the impact observed is a 1% increase in manufacturing labor productivity, leading to state remunerations growing by an average of 0.099%. However, if the average years of schooling increase by 1%, remunerations would increase by 2.753%. Both variables are statistically significant at the 5% level. It’s worth noting that other control variables do not show statistically significant. This suggests that the control variables may lose statistical significance when conditioned to the spatial distribution of the geographical units under analysis. From the estimates of the parameter Wx1, which is the spatial lag, the effect of manufacturing labor productivity (0.044%) is positive and statistically significant at the 5% level. In line with the hypothesis proposed initially, an increase in the productivity of neighboring states influences remunerations.
Finally, R squared and adjusted R squared are displayed at the bottom of Table 6 for goodness of fit. The magnitude of both indicators shows that the spatial panel fits better. Also, Figure B1 in Appendix B shows fitted observations derived from the same three regressions as before. As can be seen, the spatial panel fits better.
The direct, indirect, and total impacts are displayed in Table 7. The direct effect of the manufacturing labor productivity variable on wages is positive (0.100), while the indirect effect is positive but greater (0.165). This means that indirect effects fall from first- to higher-order neighboring regions (LeSage, 2008; LeSage, 2014). The magnitude of the total effect (0.265) indicates that the impact of manufacturing labor productivity is less than the average schooling (2.796). This result means there is a positive and more significant regional and national manufacturing labor productivity effect over remunerations than local ones. Also, local schooling has a positive impact on remunerations.

8. Conclusions
The different estimations of the model allow us to infer a spatial structure between remunerations and manufacturing labor productivity. These findings are manifested in the statistical significance of the spatially lagged manufacturing labor productivity. Moreover, it can be observed that the estimator of manufacturing labor productivity adopts a positive sign, which is in line with economic theory. Also, the magnitude of the coefficient would indicate that the effect of average schooling is stronger than manufacturing labor productivity.
It can be argued that the relationship established by economic theory between labor productivity and remuneration is empirically confirmed. However, this result of poor wage growth in the face of productivity increases is in line with previous results for Mexico, which also ensures that the transmission of productivity increases to workers’ remuneration does not occur automatically and that various mechanisms act to restrict this transmission. These mechanisms, which can be diverse in scope and persistence, require further study to determine the most appropriate public policies to reduce income gaps in the country.
Likewise, through the methodology used in this paper, it can be observed that, within the manufacturing sector, the productivity dynamics of a state impact the wages of workers, not only in the same state but also exert some influence on the wages of neighboring states. These results allow us to contribute to the discussion about labor productivity’s positive spillover effect on neighboring territories. Public policy must be developed, promoted, and coordinated to improve manufacturing labor productivity at the regional level. This will positively affect neighboring territories in terms of income and well-being.
In the same way, the results obtained reinforce the argument that, within the country, there are significant differences between states in relation to their competitiveness, productivity, and remuneration conditions, but also that state political divisions do not impede the flow of interactions between these variables from one state to another. This strengthens the importance of incorporating regional and territorial dimensions into the analysis of economic dynamics.
Acknowledgements
We are grateful to Ramon Padilla, Miguel Flores, and two anonymous referees for their insightful comments.
Jesús Antonio López Cabrera: jesus.lopez@un.org
Enrique González Mata: enrique.gonzalez@un.org
René Cabral Torres: rcabral@tec.mx
References
Alexander, C.O. 1993. The changing relationship between productivity wages and unemployment in the U.K., Oxford Bulletin of Economics and Statistics, 55(1): 87-102.
Almonte, L. and B. Murillo Villanueva. 2018. Salario y productividad laboral en la industria manufacturera en México, 2014-2018, Economía Actual, 11(4): 185-228.
Anselin, L. and R.J.G.M. Florax. 1995. Small sample properties of tests for spatial dependence in regression models: Some further results, in L. Anselin, and R. Florax (eds.), New Directions in Spatial Econometrics, Berlin, Springer.
Badinger, H. and P. Egger. 2008. Intra- and inter-industry productivity spillovers in OECD manufacturing: A spatial econometric perspective, CESifo Working Paper No. 2181, Center for Economic Studies and Ifo Institute for Economic Research.
Belotti, F., G. Hughes, and A. Piano Mortari. 2017. Spatial panel-data models using Stata, The Stata Journal, 17(1): 139-180.
Bidanset, P. and J. Lombard. 2014. The effect of Kernel and Bandwidth specification in geographically weighted regression models on the accuracy and uniformity of mass real estate appraisal, Journal of Property Tax Assessment and Administration, 10(3): 5-14.
Bivens, J. and L. Mishel. 2015. Understanding the historic divergence between productivity and a typical worker’s pay, Briefing Papers No. 406, Economic Policy Institute.
Bojnec, S. 2004. Labor market flows, labor productivity, and wages in Slovenia, Eastern European Economics, 42(3): 23-43.
Bosworth, B., G.L. Perry, and M. Shapiro. 1994. Productivity and real wages: Is there a puzzle?, Brooking Papers on Economic Activity, 1994(1): 317-344.
Broadberry, S. and C. Burhop. 2010. Real wages and labor productivity in Britain and Germany, 1871-1938: A unified approach to the international comparison of living standards, The Journal of Economic History, 70(2): 400-427.
Cabral, R. and A. Varella Mollick. 2017. Mexican real wages and the U.S. economy, Economic Modelling, 64: 141-152.
Cameron, A.C. and P.K. Trivedi. 2010. Microeconometrics Using Stata, Texas, Stata Press.
Castellanos, S. 2010. Desempleo y determinación de salarios en la industria manufacturera de México, un análisis mediante paneles dinámicos, Economía Mexicana Nueva Época, 19(1): 171-198.
CEPAL. 2016. Productividad y Brechas Estructurales en México, Mexico City, Economic Commission for Latin America and the Caribbean.
CEPAL and OIT. 2012. Coyuntura Laboral en América Latina y el Caribe: Productividad Laboral y Distribución, Santiago de Chile, Economic Commission for Latin America and the Caribbean.
Choudhry, M.T. 2009. Determinants of labor productivity: An empirical investigation of productivity divergence, document presented at the XII Meeting of Applied Economics, Madrid, Spain.
Clark, J.B. 1899. Distribution of Wealth. A Theory of Wages, Interest and Profits, New York, The MacMillan Company.
Coe, D.T. and E. Helpman. 1995. International R&D spillovers, European Economic Review, 39(5): 859-887.
Coe, D.T., E. Helpman, and A.W. Hoffmaister. 2009. International R&D spillovers and institutions, European Economic Review, 53(7): 723-41.
Crepon, B., N. Deniau, and S. Pérez-Duarte. 2003. Wages, productivity and worker characteristics: A French perspective, Working Paper No. 2003-04, Center for Research in Economics and Statistics.
Di Fillippo, A. 2018. La noción de poder en el estructuralismo latinoamericano, Ejes de Economía y Sociedad, 2(2): 15-39.
Driffield, N. and K. Taylor. 2006. Wage spillovers, inter-regional effects and the impact of inward investment, Spatial Economic Analysis, 1(2): 187-205.
Elhorst, J.P. 2014. Spatial Econometrics. From Cross-Sectional Data to Spatial Panels, Berlin, Heidelberg.
Escobar, O. and H. Mühlen. 2019. Decomposing a decomposition: Withincountry differences and the role of structural change in productivity growth, Hohenheim Discussion Papers in Business, Economics, and Social Sciences No. 05-2019, University of Hohenheim.
Fallahi, F, S. Sojoodi, and N.M. Aslaninia, 2010. Determinants of labor productivity in manufacturing firms of Iran: Emphasizing on labor education and training, MPRA Paper No. 27699.
Feldstein, M. 2008. Did wages reflect growth in productivity?, NBER Working Papers No. 13953.
Fernández, M. and V. Montuenga. 1997. Salario y productividad sectorial: ¿existe evidencia de un comportamiento dual?, Cuadernos Económicos de I.C.E., 63: 79-103.
Fotheringham, A., C. Brunsdom, and M. Charlton. 2002. Geographically Weighted Regression: The Analysis of Spatially Varying Relationships, England, John Wiley and Sons Ltd.
Glass, A.J. and K. Kenjegalieva. 2019. A spatial productivity index in the presence of efficiency spillovers: Evidence for U.S. banks, 1992-2015, European Journal of Operational Research, 273(3): 1165-1179.
Gobierno de México. 2021. Datos abiertos. Información estadística de la Inversión Extranjera Directa, https://datos.gob.mx/busca/dataset/informacionestadistica-de-la-inversion-extranjera-directa.
Guerrero de Lizardi, C. 2009. Determinantes Económicos del Salario Mínimo en Países Pequeños y Abiertos: Una Aplicación para Centroamérica, Mexico City, Economic Commission for Latin America and the Caribbean .
Haini, H. 2020. Spatial productivity and efficiency spillovers in the presence of transient and persistent efficiency: Evidence from China’s provinces, Cogent Economics and Finance, 8(1): 1-21.
Harris, P., C. Brunsdony, and A.S. Fotheringham. 2011. Links, comparisons and extensions of the geographically weighted regression model when used as a spatial predictor, Stochastic Environmental Research and Risk Assessment, 25(2): 123-138.
Herrera, M. 2015. Econometría espacial usando Stata. Breve guía aplicada a datos de corte transversal, Documentos de Trabajo No. 13, Instituto de Estudios Laborales y del Desarrollo Económico.
Hellerstein, J., D. Neumark, and K. Troske, 1999. Wages, productivity and worker characteristics: Evidence from plant-level production functions and wage equations, Journal of Labor Economics, 17(3): 409-446.
INEGI. 2009. Censos económicos 2009, https://www.inegi.org.mx/programas/ce/2009/.
INEGI. 2014. Censos económicos 2014, https://www.inegi.org.mx/programas/ce/2014/.
INEGI. 2019a. Censos económicos 2019, https://www.inegi.org.mx/programas/ce/2019/.
INEGI. 2019b. National survey of occupation and employment (ENOE), https://en.www.inegi.org.mx/programas/enoe/15ymas/.
INEGI. 2022a. índices de precios al productor, https://www.inegi.org.mx/temas/inpp/.
INEGI. 2022b. Exportaciones anuales por subsector de actividad SCIAN, https://www.inegi.org.mx/temas/exportacionesef/.
Jacobson, M. and F. Occhino, 2012. Labor’s declining share of income and rising inequality, Economic Commentary No. E.C. 2012-13, Federal Reserve Bank of Cleveland.
Lawrence, R. 2016. Does productivity still determine worker compensation? Domestic and international evidence, in M.R. Strain. (ed.), The U.S. Labor Market: Questions and Challenges for Public Policy, Washington D.C., American Enterprise Institute Press.
Lechuga Montenegro, J. and C. Gómez García. 2015. Relaciones analíticas entre salarios, productividad y precios. La canasta básica y su consumo en México, 1993-2011, Economía Teoría y Práctica, 27(51): 183-210.
Leibenstein, H. 1958. Underemployment in backward economies: Some additional notes, Journal of Political Economy, 66(3): 256-258.
LeSage, J.P. 2008. An introduction to Spatial Econometrics, Reveu d’Economie Industrielle, 123: 19-44.
LeSage, J.P. 2014. What regional scientists need to know about spatial econometrics?, SSRN, https://ssrn.com/abstract=2420725.
LeSage, J. and R.K. Pace. 2009. Spatial Econometrics, Florida, Chapman and Hall/CRC.
Liquitaya Briceño, J. 2013. Crecimiento, empleo y productividad en la industria manufacturera mexicana, Revista Nicolaita de Estudios Económicos, 8(2): 35-70.
Long, M., K. Dziczek, D. Luria, and E. Wiarda. 2008. Wage and productivity stability in U.S. manufacturing plants, Monthly Labor Review, 131(5): 24-36.
López Machuca, J. and J. Mendoza Cota. 2017. Salarios, desempleo y productividad laboral en la industria manufacturera mexicana, Ensayos Revista de Economía, 36(2): 185-228.
Mankiw, G. 2015. Macroeconomía. Versión para América Latina, Mexico City, Cengage Learning.
Mayer Foulkes, D. 2006. Dinámica geográfica de productividad e innovación en la manufactura mexicana, Documento de Trabajo No. 366, Centro de Investigación y Docencia Económicas.
Mungúıa, L.F. 2019. Productividad, Salarios y Trabajo Digno en México, Mexico City, Friedrich Ebert Foundation.
Nikulin, D. 2015. Relationship between wages, labour productivity and unemployment rate in new E.U. member countries, Journal of International Studies, 8(1): 31-40.
OIT. 2017. Informe Mundial sobre Salarios, 2016/2017: La Desigualdad Salarial en el Lugar de Trabajo, Geneva, International Labour Organization.
Pearce, M.S. 1999. Geographically weighted regression: A method for exploring spatial nonstationarity, The Stata Technical Bulletin, 8(46): 20-24.
Peñaloza Webb, M. and T. Peñaloza Webb. 2020. La desaceleración económica y la concentración de mercados en México, https://economia.nexos.com.mx/ladesaceleracion-economica/.
Pisati, M. 2001. Tools for spatial data analysis, Stata Technical Bulletin, 10(60): 21-37.
Polanyi, K. 1944. The Great Transformation, New York, Farrar and Rinehart.
Puyana, A. 2009. El petróleo y el crecimiento económico ¿un recuento de oportunidades perdidas?, Economía Informa, 361: 95-111.
Robinson, J. 1967. Marginal productivity, Indian Economic Review, 2(1): 75-84.
Rodríguez Espinosa, M.L. and R.A. Castillo Ponce. 2009. Empleo, productividad y salarios en México: un análisis de corto y de largo plazo para el sector manufacturero, EconoQuantum, 5(2): 7-21.
Roodman, D. 2009. How to do xtabond2: An introduction to difference and system GMM in Stata, The Stata Journal, 9(1): 86-136.
Ruiz Ramírez, H. 2015. La productividad laboral en México, la producción, el empleo y los salarios, Observatorio de la Economía Latinoamericana, 13: 1-24.
Sánchez Juárez, I.L. and E. Campos Benítez. 2010. Industria manufacturera y crecimiento económico en la frontera norte de México, Región y Sociedad, 22(49): 45-89.
Schwarzer, J. 2018. The effects of exporting on labor productivity: Evidence from German firms, paper presented at the REDLAS Conference 2018, Buenos Aires, Argentina.
Schwellnus, C., A. Kappeler and P. Pionnier. 2017. Decoupling of wages from productivity: Macro-level facts, Working Paper No. 1373, OECD Economics Department.
SEP. 2021. Información estadística e indicadores educativos, https://www.planeacion.sep.gob.mx/estadisticaeindicadores.aspx.
Sharpe, A. and J. Uguccioni, 2017. Decomposing the productivity wage nexus in selected OECD countries, 1986-2013, International Productivity Monitor, 32: 25-43.
Shehata, E.A.E. 2012. SPGMM: Spatial autoregressive generalized method of moments cross sections regression, Statistical Software Components No. S457480, Boston College Department of Economics.
Shehata, E.A.E. 2016. SPREGXT: Stata econometric toolkit to estimate spatial panel regression models, Statistical Software Components S458196, Boston College Department of Economics.
Sherk, J. 2016. Workers’ compensation: Growing along with productivity, https://www.heritage.org/jobs-and-labor/report/workers-compensation-growing-alon g-productivity.
Solow, R.M. 1979. Another possible source of wage stickiness, Journal of Macroeconomics, 1(1): 79-82.
Stansbury, A. and L. Summers. 2017. Productivity and pay: Is the link broken?, NBER Working Papers No. 24165.
Tobler, W.R. 1970. A computer movie simulating urban growth in the Detroit region, Economic Geography, 46: 234-240.
Tsai, D. and M. Lin. 2005. Industrial and spatial spillovers and productivity growth: Evidence from Taiwan high technology plant level data, Journal of Productivity Analysis, 23(1): 109-129.
Unger, K., D. Flores, and J. Ibarra. 2014. Productividad y capital humano. Fuentes complementarias de la competitividad en los estados de México, El Trimestre Económico, 81(4): 909-941.
Vadillo, A. 2013. Economía neokeynesiana y mercado del trabajo, Ciencia Económica, 2(3): 119-143.
Valle, A. 2003. El comportamiento de los salarios y la productividad en México y EUA, paper presented at the IV National Congress of Labor Studies, Hermosillo, Sonora.
Van Biesebroeck, J. 2015. How Tight Is the Link between Wages and Productivity? A Survey of the Literature, Geneva, International Labour Organization .
Verhoogen, E. 2008. Trade, quality upgrading, and wage inequality in the Mexican manufacturing sector, The Quarterly Journal of Economics, 123(2): 489-530.
Appendix A. Tests to verify econometric assumptions
The Panel Fixed Effects post-estimation test shows that requirements are not fully met (Table A1). The test for autocorrelation in panel data does not reject the null hypothesis of no first-order autocorrelation, so this requirement is not a problem. However, the heteroskedasticity test rejects the null hypothesis of homoscedasticity. To solve this problem, we propose a FGLS model. Table 6, in the second column, shows the estimated parameters.

Appendix B. Graphical test of goodness of fit

Notes