PPGAS 50 Anos
Folheando meu Diário Gavião
Leafing Through My Gavião Diary
Folheando meu Diário Gavião
Anuário Antropológico, vol. 50, e-1556o, 2025
Universidade de Brasília
Recepción: 08 Octubre 2025
Aprobación: 20 Octubre 2025
Resumo: PortuguésEm 1961 acompanhei Roberto DaMatta como auxiliar em seu trabalho de campo entre os índios Gaviões, no Pará, então também chamados de Gaviões Ocidentais para distingui-los dos Krinkati e Pukobyê, do Maranhão. A pesquisa integrava um projeto dirigido por Roberto Cardoso de Oliveira, centrado em situações de contato entre indígenas e brancos a partir da noção de “fricção interétnica”. Minha participação atendia, além disso, a uma exigência formativa do Curso de Especialização em Antropologia Cultural do Museu Nacional, no qual eu estudava. Na mesma época, Roque de Barros Laraia levou outro aluno para trabalhar com os Suruís em uma área próxima, e esses esforços acabaram reunidos em Índios e castanheiros (1967). Alguns anos depois, com DaMatta dedicado aos Apinajés e eu aos Craôs, supus que meu Diário já não lhe interessava e o retirei do Museu. Tentei devolvê-lo sem sucesso e, como não quis enviá-lo pelo correio, mandei uma cópia pouco legível. Por isso o transcrevi lentamente, e essa leitura minuciosa me fez perceber seu valor: o Diário mostra como se organizavam e viviam os Gaviões quando optaram por um contato amistoso com os não indígenas.
Palavras-chave: trabalho de campo, diario de campo, índios Gaviões.
Abstract: In 1961 I accompanied Roberto DaMatta as an assistant during his fieldwork among the Gaviões people in Pará, then also called the Western Gaviões to distinguish them from the Krinkati and Pukobyê of Maranhão. The research was part of a project led by Roberto Cardoso de Oliveira, focused on situations of contact between Indigenous peoples and whites through the notion of “interethnic friction.” My participation also fulfilled a training requirement of the Cultural Anthropology Specialization Course at the National Museum, where I was enrolled. At the same time, Roque de Barros Laraia took another student to work with the Suruí in a nearby area, and these efforts were later brought together in Índios e castanheiros (1967). A few years later, with DaMatta working among the Apinajé and I among the Kraho, I assumed my field Diary no longer interested him and I removed it from the Museum. I tried to return it without success and, since I did not want to send it by mail, I sent a barely legible copy. I therefore transcribed it slowly, and that careful, step-by-step reading made me recognize its value: the Diary shows how the Gaviões organized their lives when they chose friendly contact with non-Indigenous people.GPT 5.2
Keywords: fieldwork, field diary, Gaviões Indians (indigenous people).
Folheando meu Diário Gavião
Em 1961, Roberto DaMatta me levou como auxiliar no seu trabalho de campo entre os índios Gaviões, do Estado do Pará, então também referidos como Gaviões Ocidentais, de modo a distingui-los dos Krinkati e Pukobyê do Maranhão, igualmente apelidados de Gaviões (Nimuendaju 1946, 16 e 19). A pesquisa que ele realizaria fazia parte de um projeto dirigido por Roberto Cardoso de Oliveira, que estudava casos de contato entre índios e brancos à luz da noção de “fricção interétnica”. Minha presença na pesquisa atendia à exigência de uma experiência em trabalho de campo pelo programa do Curso de Especialização em Antropologia Cultural, do Museu Nacional, no qual eu estava matriculado. Na mesma ocasião, Roque de Barros Laraia conduzia outro aluno do curso, Marcos Magalhães Rubinger, aos índios Suruís, em área próxima, mas do outro lado do Tocantins. Esses trabalhos resultariam no livro Índios e castanheiros: A empresa extrativa e os índios do médio Tocantins, de Laraia e DaMatta (1967).
Passados alguns anos, com Roberto enfronhado em pesquisa com os Apinajés e eu com os Craôs, julguei que meu Diário não mais lhe despertava interesse e o levei do Museu para casa. Mas não me ocorreu propor-lhe um retorno aos dados que eu tinha colhido, inclusive em minhas cadernetas e folhas avulsas, que ficaram com ele. E o tempo passou. Nos últimos anos, tentei devolver-lhe o Diário, mas não houve oportunidade de nos encontrarmos pessoalmente. Não querendo confiar o Diário ao Correio, mandei-lhe uma cópia xerox. Mas minha letra estava muito pouco legível. Por isso, resolvi eu mesmo digitá-lo, o que fiz de modo muito demorado, por ter perdido a habilidade diante do teclado, que nunca foi grande.
Mas essa leitura passo a passo, a que a digitação me obrigou, fez-me perceber que havia algo de aproveitável no Diário, pois ele dá uma ideia de como se organizavam e viviam os Gaviões quando uma parte deles optou pelo contato amistoso com os não-índios. Por isso, resolvi escrever este comentário dos dados que o Diário apresenta com mais clareza. Roberto DaMatta o leu e se manifestou com a generosa mensagem que está publicada junto com este texto. Agradecido, inicio meus comentários.
Os habitantes da aldeia de Cocal, por volta de 1955
Os dados que me parecem de maior interesse em meu Diário são as listas dos moradores das casas da aldeia, distante cerca de 40 quilômetros da margem direita do rio Tocantins, oposta àquela em que está Itupiranga. Era a aldeia de Cocal, em que ficamos de agosto a novembro de 1961. Essas listas, ditadas por Zanoi (apelido dado pelos brancos; seu nome, em tecnonímia, era Aprororenum, isto é, “pai de Aprororé”), parecem incluir um número significativo de Gaviões (hoje conhecidos pela sua autodenominação de Parkateyê) logo após seu primeiro contato, antes de serem dizimados por enfermidades agravadas por sua permanência de alguns meses na sede do município de Itupiranga. Um contágio, aliás, que já vinham sofrendo anteriormente em suas breves aproximações em busca de instrumentos agrícolas no posto do SPI, junto a Tucuruí, bem mais abaixo no rio Tocantins.
As listas somam 66 Gaviões nas suas cinco casas.
Havia ainda na aldeia a casa ocupada por um funcionário do SPI, chamado José, com dois índios Canelas, Timbiras como os Gaviões, e que certamente serviam como tradutores (p. 310). Zanoi disse que José foi muito bom e aplicou muita injeção. Contou também que José matou, a tiros de revólver, o cachorro de Cacaraúna (Kuarhure) porque sua mulher, que não chegou a ir à aldeia, tinha medo dele. Depois, deu-lhe um novo cachorro. Talvez a mesma casa tenha sido a ocupada pelo padre Francisco, quando frequentou a aldeia (p. 112). Iara Ferraz (1984, 42, nota 8) faz também referência a um frei José Caron.
As listas são precedidas por um esquema (p. 310 do Diário) em que eu localizo as roças que se sucederam em volta da aldeia ao longo de cinco anos (de 1955 a 1961), ou seja, desde o começo do contato amistoso com os não-índios. Tanto a elaboração das listas como a dos esquemas que as acompanham foram feitas conforme as explicações de Zanoi.

Considerando que, a cada ano, se plantava uma roça nova — obviamente continuando a se aproveitar o que ainda produziam as roças anteriores, a primeira delas foi feita em 1955, que seria o ano em que a aldeia se estabeleceu nesse local. A aldeia que encontramos estava edificada onde fora a primeira roça. Ali perto também estava um cemitério, quiçá o primeiro, pois havia outro mais afastado.
Vou aqui reproduzir as listas dos moradores de cada casa, cada qual acompanhada de um esquema que os relaciona entre si, tudo apoiado em informação de Zanoi (Aprororenum), para depois dizer algo sobre algumas das pessoas arroladas.
Moradores da Casa nº 1 (p. 311)

Importar_tabla5265c64616
Na Casa nº 1 (p. 311), Tehitxore (1a) é mãe de três mulheres, das quais uma só, Totoré (1k), tem filhos, todos homens solteiros. Mora na casa também o marido de Totoré, Lorudute (1b), que é pai de um dos filhos dela, além de um outro de mãe não indicada. Na casa há uma outra mulher, Tonkaprure (1f), que tem um filho cujo pai, ausente, é um irmão de Tehitxore. Enfim, nessa casa, Lorudute, o único homem casado, é de fora. Dos moradores desta casa conheceremos, durante a pesquisa de campo, Kroapeire (1i), Txontapte (1j), Tejuprire (1h), Kapriktoire (1e) e, em Itupiranga, Kuikuire (1d). Vale notar que Tehitxore (1a) era a mãe de Baleado (2h) e Doidinho (2i), que então estavam casados e morando na Casa nº 2).
Moradores da Casa nº 2 (p. 311)

Na Casa nº 2 (p. 311), Porhure (2a) tem um filho e duas filhas. Seu marido, Baleado (2h), é pai de uma dessas filhas. Iorunte Krekroti (2b), irmã de Porhure, tem uma filha com seu marido Doidinho (2i). Porhure tem mais duas irmãs e dois irmãos na casa. Um destes, Krikrire (2n Motorista), tem sua esposa, Panhukre (2m) na casa, mas sem filhos. Duas irmãs de Porhure, Ionteteti Jompeite (2c) e Tukankenenré (2e), e também um irmão, Katxoti (2d), ainda eram novos. Kokininre (2j) era filho de Kroruti, irmão de Porhure (2a). Kroruti, que não morava nessa casa, morreu no igarapé Cametauzinho. Kokininre (2j) passou então a morar com Porhure. Nela, enfim, há três homens casados: Baleado (2h) e Doidinho (2i), oriundos da Casa 1, e Motorista, que é um do grupo de irmãos e irmãs que constituem o núcleo da morada. Dos que habitavam essa casa, nós vamos conhecer, durante a pesquisa de campo, Baleado (2h), Doidinho (2i) e Panhukre (2m).
Moradores da Casa nº 3 (pp. 322-323)

A Casa nº 3 (p. 323) abriga dois conjuntos genealógicos sem conexão explícita entre eles. Ou melhor, há uma nota que aponta uma relação feita por laços de afinidade entre os dois blocos: “Pihore, marido de Txoiahukti [3z], era piajon de Ionkopti, marido de Kojiprure [3y]”. Isso me sugere que anteriormente Pihore fora marido de filha ou irmã de Ionkopti. Mas passemos adiante.
No bloco maior, Txoiahukti (3z) tem quatro filhas e um filho. O filho, não identificado, tem uma filha e dois filhos (3g,3f e 3i). Uma filha, não identificada, tem duas filhas (3h e 3j). Outra filha, Kutxoare (3b Alzirona), está solteira, mas casará futuramente com o marido (3o Cacaraúna) de sua irmã (3n Kaprotiti). Já a filha Iompahite (3p), casada com Paixotenum (3a Aktote), tem dois filhos (3k e 3e). Os maridos Cacaraúna e Paixotenum são irmãos que têm uma irmã na mesma casa, Purpramre (3r), sem marido, que tem uma filha (3s). Krankupire (3j) ia casar com Zanoi (3d). Purpramre (3r) não tinha marido (viúva?).
O bloco menor tem a mulher Kojiprure (3y) na geração mais antiga. Ela tem uma filha, Koprinre (3c), casada com Aprororenum (3d), e um filho, Kroakatite. Aprororenum e Koprinre têm um filho, que é Oproranre Aprororé (3l). Kroakatite (3x) tem duas filhas (3q e 3m).
Aqui também os homens casados, Paixotenum (3a), Cacaraúna (3o) e Aprororenum (3d Zanoi), têm origem externa. Nós vamos conhecê-los na pesquisa de campo, como também Kutxoare (3b Alzirona), agora casada com Cacaraúna.
Há três pessoas no esquema cujos nomes me foram citados, mas que não moravam na casa. No entanto, o conhecimento desses laços não deixam de ser importantes: por exemplo, veremos mais adiante que a dona da Casa nº 3 era Iompahite (3p), uma das filhas de Txoiahukti (3z). Por isso, distingui esta última dos moradores, e também Kojiprure (3y) e Kroakatite (3x), com as últimas letras do alfabeto.
Moradores da Casa nº 4 (p. 325)

Na Casa nº 4 (p. 325), na geração mais antiga está Kreitxote (4a), indicada como dona da casa em dois esquemas da aldeia (pp. 310 e 343). Ela tem dois filhos e três filhas. Dois netos, Pruti Kreiaronti (4b) e Kokaprure (4c), são filhos de um filho que não mora na casa, Jompramre (4z). Das três filhas, duas são casadas: Uakonre (4j) tem o marido Krokuti (4i) na casa, com quem tem uma filha, Omzinte (4h); a outra, Pupupkuti (4f), também, e seu marido, Pakakroire (4g), trouxe para a casa a mãe, Kokreti (4k), e a filha de uma irmã da mãe, Kiakakuire (4l), com o marido, Porkrekamijunre (4m). Ou seja, os homens casados são de origem externa. Não há nenhum morador desta casa que chegamos a conhecer.
Moradores da Casa nº 5 (pp. 325-326)
Zanoi lembrou-se de uma casa que não indicara antes. Eu já a tinha considerado como a casa de José (funcionário do SPI) como nº 5. Mas achei melhor considerar essa outra casa, relembrada por Zanoi, como Casa nº 5, por ser Gavião, marcando a ocupada pelo funcionário com a sigla de sua instituição: SPI. São os seguintes os moradores da Casa nº 5 (na p. 326 do Diário, mas antecipada, na digitação do Diário, para a p. 325):

O esquema da Casa nº 5 (pp. 325-326) só abrange duas gerações. Na de cima só está presente uma mulher, Korure (5a). Seu marido, Akíate Keianonte (5b Bodão), tem com ela uma filha, Purkote (5h); e com outra mulher, Aüte (5z), uma filha, Tokuere (5c) e um filho, Pakinte (5d). Akíate tem três irmãos solteiros na casa: Kukukaprikte (5i), Pempkrore (5e) e Karoroti (5f Mahiti). Na casa também mora Krankupire (5g), filha de Tonkuti (5y), uma irmã classificatória (atoinre) de Korure. Desta casa só encontramos em nossa pesquisa de campo, Kukukaprikte (5i) e, morando fora da aldeia, Purkote (5h), irmã de Kaututuré, em Itupiranga, e Karoroti (5f Mahiti), em Marabá.
Parece-me que o exame da composição do grupo de moradores que ocupava cada casa nos autoriza a dizer que a maioria (as quatro primeiras) tinha aspecto uxorilocal.
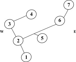
Posição das casas
Quanto à posição das casas na aldeia, tenho dois esquemas: um na p. 310 e outro na p. 343 do Diário. Foi a mesma pessoa, Aprororenum (Zanoi), que me descreveu, em ocasiões diferentes, as posições das casas da aldeia. Ao fazer o segundo esquema, eu pedi a Aprororenum que me indicasse a metade da dona de cada casa. E assinalei-as com as letras P e H, correspondentes às metades Pane (Arara) e Hok (Gavião), cuja existência nós queríamos confirmar e cujas características — se unilineares, se exogâmicas, se de afiliação permanente ou não — insistíamos em descobrir, mas sem sucesso. Por isso, não acho razão para mostrar as letras P e H no esquema abaixo. Mas conservei os nomes das donas das casas que figuram no segundo esquema (p. 343), que aqui apresento.
Donas das casas:
Casa nº 1 – de Tehitxore
Casa nº 2 – de Porhure
Casa nº 3 – de Iompahite
Casa nº 4 – de Kreitxote
Casa nº 5 – de Korure
Casa SPI – de uso indigenista

O esquema da aldeia acima apresentado atende apenas aos primeiros anos seguintes à aceitação do contato, com a distribuição de seus habitantes pelas casas conforme as informações de Aprororenum até aqui. Já que, em 1961, quando chegamos, a população já havia se reduzido bastante e sua distribuição pelas habitações se alterara, um outro esquema da aldeia como a encontramos será mostrado mais adiante.
Os habitantes da aldeia de Cocal em 1961
Ao chegarmos pela primeira vez à aldeia, no dia 17 de agosto de 1961, só estavam presentes seis moradores. Os outros começaram a chegar a partir de 15 de setembro (p. 130). O chefe da aldeia e mais alguns outros só iriam chegar em 19 de outubro, uns 20 dias antes de irmos embora. Ficamos sozinhos durante um mês com apenas aqueles seis. Eles eram Aprororenum (Zanoi), sua esposa Pembe-kui e o jovem viúvo Nakute, em uma casa; e Kaututuré (Doidão) e suas duas esposas, Krepoire (Tunure) e Puhire, noutra casa. Havia ainda uma casa vazia e uma quarta parcial ou totalmente demolida — não me lembro bem. As casas eram simples tetos de palha sustentados por quatro ou mais troncos; não havia paredes.
E assim, para obter informações, ficamos na dependência de quatro pessoas: Aprororenum, Kaututuré, Nakute e Krepoire. O que mais compreendia português era Aprororenum, assim mesmo com dificuldade. Pembe-kui e Puhire nada falavam em nossa língua. Pembe-kui captava algo do que dizíamos, e ajudou-nos bastante, pois repreendia, acalmava e animava Aprororenum nos momentos em que ele se aborrecia e mentia por estar cansado (ver, por exemplo, p. 247). Ela também passava-lhe as informações que ele lhe pedia de modo a nos responder.
Aprororenum era vesgo, como indicava seu apelido Zanoi (Zarolho), e tinha um problema com um pé, seriamente ferido na perseguição a uma anta (pp. 16 e 28). Kaututuré era mais ativo e também mais direto e brusco. Com ele, eu fazia uma troca de serviços: ele me dava informações e eu lhe ensinava a escrever e identificar letras e algarismos, pois queria aprender a ler; desejava visitar o Rio de Janeiro e rever uma jovem que estivera na aldeia. Krepoire (que ganhou, com satisfação, o nome de Tunure em Itupiranga) era paciente comigo, atendia-me quando podia e despachava-me quando precisava de ocupar-se com uma tarefa. Kaututuré está na capa da 1ª edição de Índios e Castanheiros e Aprororenum, em hors-texte junto à página 72 do mesmo livro, em fotos tomadas por Roberto DaMatta.
Na noite de 8 para 9 de setembro, Puhire deu à luz um menino (pp. 95-96), cujo pai era Kaututuré. Dias depois, a criança ganhou o nome de Iamrire. Na página 164 consta Iamrite, cuja diferença está apenas na substituição do sufixo re (pequeno) pelo te (grande).
Várias pessoas que estariam na aldeia desde sua instalação em Cocal não constavam naquelas listas de Aprororenum, como Kaututuré, Krepoire, Puhire e Nakute. Dos ausentes que voltaram a partir de meados de setembro, achei nas listas os seguintes (os nomes de cada um estão precedidos do número da casa seguido da letra que o identifica no esquema genealógico junto a cada lista exposta acima):
1e – Kapriktoire;
1h – Tejuprire;
1i – Kroapeire (Mano Velho, p. 261);
1j – Txontapte;
2h – Baleado (Iatxutxumre Topramre, p. 257);
2i – Doidinho (Aramre, p. 111);
2m – Panhukre; foi casada com Motorista 2n;
3a– Paixotenum (Aktote);
3b – Kutxoare (Alzirona);
3d– Zanoi (Aprororenum);
3o – Cacaraúna (Kuarhure, pp. 112 e 310);
5i – Kukukaprik (Supercílio, p. 212 ).
Outros que retornaram depois de nossa chegada não figuram naquelas listas: Kumtinum (Capitão Velho), Kakukre e sua mulher Jompeire (p. 212), Tupretire, Poiariditi, Paixote, Airiakáti, Pempramti, Kupu.
Há ainda aqueles que estariam na aldeia se não tivessem sido levados para Itupiranga ou Marabá e aí passassem a ser criados e/ou alojados por seus moradores (mas creio que nunca legalmente adotados):
1d – Kuikuire, irmã da falecida mulher (1k Totoré) de Nakute, morava em Itupiranga (esquema da p. 30, também na p. 172);
5f – Mahiti (Karoroti), na casa de Odilar Barreto em Marabá (pp. 174-176 e 181-183);
5h – Purkote, irmã de Kaututuré, também morava em Itupiranga, na casa de Jaime Pimentel, o funcionário do SPI que nos conduziu para a aldeia (pp. 82 e 183);
Outros que moravam fora da aldeia não constam nas listas: Piaré (em Tucuruí, p. 321); Krantxore, em Marabá, na casa de Odilar Barreto (p. 111); uma moça na casa do médico Amadeo Vivacqua em Marabá (pp. 3-4) cujo nome não anotei (seria Ion-ionre? p. 102). E Frei Gil ainda nos levou a uma casa em Marabá, onde morava uma menina chamada Totoré, de uns 10 anos de idade, que cursava a 1ª série primária, numa escola de freiras (p. 12); e a outra casa onde uma senhora criava mais duas meninas: uma chamada Londjore, de seis ou sete anos; e outra de um ano, que ainda não falava (p. 13).
Esses dados nos permitem fazer um cálculo, sujeito a reparos, da população da aldeia do Cocal no tempo de sua instalação (por volta de 1955) e no tempo de nossa pesquisa (em 1961), resumido nas duas tabelas seguintes:

A diferença entre a população dos Gaviões contatados em 1955 e a de 1961 é de 86 – 35 = 51 pessoas. Mas a contagem dos sepulcros nos dois cemitérios da aldeia resultou em 63 mortos (p. 224), sem dizer de outros que foram enterrados em Itupiranga.
Nesse cálculo não foi incluído o menino Iamrire, que nasceu durante nossa permanência em Cocal. Por isso, em vez de 26, deixamos 27 pessoas ao nos retirarmos da aldeia.
Relações com as outras aldeias Gaviões
Mas Cocal era a única aldeia Gavião que mantinha contato pacífico com os brancos. Outras estavam em processo de aproximação ou se mantinham afastadas e hostis. Mesmo os de Cocal ainda tinham relações de hostilidade com outras aldeias. Contou o chefe da aldeia Topramre (2h Baleado) que, depois de se estabelecer no Cocal e de fazer a roça, e antes mesmo de fazer o primeiro contato amigável com Frei Gil, estando em conflito com a aldeia de Akranti, foi atacá-la à noite, acompanhado de seu irmão Doidinho (2i Aramre), Motorista (2n Krikrire), Bodão (6b Akíate), Lorudute (1b), Piajon (4g Pakakroire), Cacaraúna (3o Kuarhure), Velhão. Ao lá chegarem, os rapazes dormiam na praça e um homem cantava. Esperaram que acabasse de cantar. Baleado flechou um pau e uma mulher nas costas; Cacaraúna flechou uma mulher no ânus e um homem no pé; Doidinho flechou uma mulher. Todos os de Akranti fugiram (pp. 315-316).
Os de Akranti então vieram atacar a aldeia de Cocal em dia claro. Mataram Inkrerere, Ranrankre e Utxate, todos filhos de Velhão, além de flechar Paixote; mataram Purpramre, filha de Akíate (6b), e Tonti e Kroakrere, filhos de Krikrire (2n) (p. 316). Parece que todas as vítimas eram crianças.
Os de Akranti reclamaram que Topramre (Baleado) tinha atacado de noite. Desafiaram-no a atacá-los em dia claro. Então Topramre, que já tinha feito contato pacífico com os brancos, atacou Akranti de dia, mas com armas de fogo. Acompanharam-no nesse ataque Cacaraúna, Velhão, Kupu, Tupretire, Kakukre, Konkrure, Poituaré (cunhado de Konkrure), Aprororenum, Kaututuré. Topramre desconfia que matou Aitete; Tupretire matou uma mulher e um homem. Mas Topramre foi flechado e também Cacaraúna. Este conseguiu caminhar de volta. Porém Topramre teve de ser carregado, e disso se ocuparam Aktote, Kaututuré, Konkrure, Kakukre, Aprororenum, que ainda não tinha problemas com um pé, tal como estava quando fizemos o trabalho de campo. Todos eles receberam cartuchos e roupa em retribuição desse serviço. Kakukre ganhou ainda a rede; Konkrure, que o carregou por mais tempo, ganhou até espingarda. Aramre (Doidinho), irmão de Topramre, que não foi na expedição, também retribuiu com cartuchos e panelas (p. 316). Talvez esse ferimento seja o motivo do apelido “Baleado” dado a Topramre, embora, na verdade, ele tenha sido flechado.
Kumtinum também foi nessa incursão. Ele morava em Akranti, quando Topramre a atacou de noite. Mas depois mudou-se com outros para Ronhotxore (no Diário também grafada como Nonhotxore), passando em seguida a apoiar Topramre (p. 316). Não sei se o apelido de “Capitão Velho” tenha sido motivado por sua ação como líder de um grupo dissidente. Mas disse Topramre que Kumtinum não ajudou a carregá-lo porque é “mole” (p. 316). Mas vale lembrar que Kumtinum era velho.
Contou Kaututuré que acompanhou Baleado, Aprororenum, Cacaraúna, Tupretire, Mano Velho e Kupu numa expedição a Ronhotxore, de onde trouxeram Kapietenum (+) e sua mulher Tureire (+) que era mãe de Pembe-kui; trouxeram Pembe-kui e seu marido Poituare (+), Komptnum Panhokre (▲ [ver esclarecimento abaixo]), Purutumre (●?+), Kakȗkre (▲), Poiariditi, que veio a ser mulher de Baleado, Terure (+), que era filha de Pembe-kui, Kapiti (▲ +) que morreu em Itupiranga, Iokonkte (▲ +), Purkoire (● +), Ion-ionre (●), que está em Marabá, e Nakute (▲) (p. 102).
Vale a pena considerar que os trazidos de Ronhotxore, que conheci como moradores da aldeia do Cocal em 1961, eram todos descendentes das três irmãs que figuram no alto da genealogia que tracei abaixo e relacionados à Casa D. Por isso, desconfio que o citado Kumptnum Panhokre, dado como vivo por Kaututuré quando fazia o relato, seja um mal-entendido. É possível que Kaututuré tenha citado duas pessoas que eu tomei como uma só: Kumtinum (▲) e Panhukre (●), ambas moradoras da Casa D (ver abaixo). Essa correção coloca a realização da expedição descrita por Kaututuré entre a primeira e a segunda descritas por Topramre, pois Kumtinum teria de ser trazido para Cocal antes de participar da incursão em que Topramre foi flechado.
Tenho no Diário (pp. 161-162) a enumeração dos moradores das quatro casas de Ronhotxore ditada por Nakute, precedida de um pequeno esquema da aldeia. A incursão descrita por Kaututuré por certo a esvaziou totalmente.
Nas incursões armadas descritas por Topramre, três aldeias estão envolvidas: Cocal, Akranti e Nonhotxore. As duas primeiras inimigas entre si; a terceira estava em posição indefinida. Não tínhamos um mapa e nem informações para posicioná-las aproximadamente com referência àquela em que estávamos, Cocal. Só iremos usar um mapa algum tempo depois, quando fizemos um intervalo em Marabá (p. 174), como direi abaixo. Kaututuré, por sua vez, não diz, ao descrever a expedição, se ela foi agressiva ou apenas negociadora; mas numa outra ocasião afirmou que foi à força que trouxeram aquelas pessoas (p. 50). Kaututuré não fez nenhuma descrição de luta, o que me faz pensar que foi um resgate. A aldeia Ronhotxore deve ser a mesma Nonhotxore referida por Topramre.
Há no Diário várias referências à “aldeia grande”, sem que eu saiba exatamente que aldeia era essa. Na p. 55 há um esquema traçado segundo as informações de Kaututuré, mostrando a posição de sete aldeias umas em relação às outras. Mas não há uma “aldeia grande” (expressão que talvez até se refira a qualquer aldeia antiga, pois suponho que todas elas teriam sido maiores do que Cocal, tal como a conhecemos). Entre elas, há uma chamada Akranti Krinonre, nome que lembra a inimiga de Cocal. Há também uma chamada Katxarutê, nome várias vezes repetido em outras informações.
Na página 97 há outro esquema informado pelo mesmo Kaututuré, onde reaparecem Akranti Krinonre (com o nome um pouco modificado) e Katxarutê.

Esquema da p. 55
1 – Kuredjon-iatxó
2 – Krionrire
3 – Krohoko
4 – Pamre
5 – Katxurutê
6 – Ronhore-krinonre (Ronhore kompeire)
7 – Akranti krinonre(Akranti-Amekininonre Iomkrekremekre)

Esquema das pp. 97-98
1 – Katxarutê
2 – Kuredjon-iatxó
3 – Krionhire
4 – Krohoko
5 – Ronhore
6 – Akratikrininonre
7 – Pakjuidtxô
8 – Krin-Amrite
9 – Roça para onde fugiu Pemb-kui
10 – Krim-Kakrore ou Krionhire (aqui)
11– Local onde Baleado apanhou castanha
Sobre o esquema das páginas 97-98, anotei no próprio Diário o seguinte: “Este esquema foi desenhado no chão; apareciam também nele Jacundá, Ipixuna, Tauri, e Itupiranga, mas as posições em relação às aldeias não estavam corretas e por isso não anotei. Disse Kaututuré que fizera assim por falta de espaço e que hoje faria melhor. Anotei, entretanto, porque não sei se o fará. [Afinal, anotei ou não anotei?] Kaututuré informaria muito mais se já não estivesse escurecendo. Àquela hora estava realmente disposto” (p. 98). Note-se que os locais correspondentes aos números 9, 10 e 11 estão incompreensíveis: uma roça em local de fuga, uma dúvida entre dois nomes de aldeia e um local de coleta de castanha.
Há outras informações sobre a existência de outras aldeias, mas sempre falta saber se elas constituíam locais de instalação sucessivos de uma mesma aldeia, mudando de nome conforme o lugar que ocupasse, ou se abrigavam grupos distintos. Há também notícias de que algumas estavam vazias.
Expedito Arnauld (1964, 11) dá os nomes de oito aldeias Gaviões, alguns dos quais lembram os aqui levantados:
Katioroty (algodão), Pamretsá (fruto), Parukindtsó (cará de rama), Lonhure (coco de babaçu), Kupá, Porkapety (cumaumeira), Krinhore (ladeira) e Kriamerêra (?). Os atuais componentes do grupo-local de Itupiranga serão os remanescentes das aldeias Katioroty e Pamretsá e, eles próprios, os antigos componentes dos bandos Lonhure, Porkapety e Parunkindsó.
Kaututuré chegou a dar-me a posição das 15 casas da aldeia de Katxarutê com os nomes de suas donas, sendo uma delas de sua mãe (Casa 2), outra da mãe de uma de suas esposas, Krepoire (Casa 8), que tinham o mesmo nome (Aikrekraraté), também atribuído à dona da Casa nº 14 (p. 68). Noto ainda que a dona da Casa nº 12 de Katxarutê tem mesmo nome de uma moradora da Casa nº 1 de Cocal: Tonkaprure (1f). Pode ser a mesma pessoa.

Cerca de oito dias depois, Kaututure fez um outro esquema de Katxarutê (p. 104). Percebi então que o número de casas, sua ordem e os nomes de suas donas estavam alterados. Transcrevo aqui a ordem e os nomes:

Quanto à substituição de várias de suas proprietárias, talvez isso seja explicável, em alguns casos, pelo fato de entre os Timbira os nomes pessoais serem conjuntos de vários termos, podendo a nomeada (ou nomeado) ser referida(o) por qualquer deles. Pus em negrito os nomes que se repetem no segundo esquema. No que tange ao número de casas da aldeia (15 no primeiro esquema, 17 no segundo), a diferença diminui se observarmos que Pen-hure tem duas casas no segundo esquema, sendo a primeira a nº 11 e a segunda a nº 3. No primeiro esquema ela só tem uma, a nº 1, que está fora do círculo da aldeia. Indaguei a Kautururé a razão disso. Antes de apresentar sua resposta, devo prevenir o leitor de que ela dá a perceber que o esquema da aldeia e os nomes das donas de suas casas que ele me deu primeiro (p. 68) representa uma situação posterior àquela que ele descreveu depois (pp. 104-106):
“Como lhe perguntasse por que Pen-hure morava fora do círculo, contou-me o que aconteceu. Otonkapure [certamente Tonkaprure 1f], mulher de Akíate [5b], moradora da Casa nº 12, teve relações extramaritais com Iamtire. O marido ficou zangado e quis brigar com Iamtire. Pen-hure interveio, dizendo que ele não podia brigar com o “primo” dele. O marido ofendido, porém, muito zangado, deu com o arco em Pen-hure. Esta fugiu para a casa de Inkrereti (casa 2) [pai de Kaututuré]. Este saiu da casa em direção a Akíate, que veio a seu encontro, recebendo um empurrão do opositor que lhe desviou a rota, como mostra o desenho. Um arco perto da Casa nº 2 representa o arco de Kaututuré (que é a bolinha atrás do arco), que saiu para defender o pai. Ao lado está uma outra bola, donde saiu u’a mão: é a mãe de Kaututuré que segura o braço do filho dizendo: – “Deixa, deixa, não atira não! Não vão matar teu pai não!”. Em frente à Casa nº 17 está uma bolinha representando Aprororenum [3d], que está com arco e flecha na mão, mas não brigou. O mesmo acontece com Akíate (outro que não o marido ofendido) em frente à Casa nº 5 e com o irmão de Kaututuré, em frente à Casa nº 7. De um e de outro lado da rota de Akíate (marido ofendido) aparecem dois arcos, que são de seus filhos, e da Casa nº 13 sai mais um arco, que é de um outro homem. U’a mão sai da Casa nº 14 e chega à rota de Akíate: é Krantxote, que segura o homem (Akíate). Da Casa nº 15 sai outra mão: é o “capitão” Pempkotenum, que segura o pai de Kaututuré (Inkereti). O centro da aldeia, ou melhor, o pátio está todo rabiscado: são mulheres falando. Kaututuré disse que seu irmão não prestava porque não brigou. Vemos nesse desenho diferenças de temperamento entre indivíduos do grupo: aqueles que logo se atiraram à luta e os outros mais indecisos, que ficaram na expectativa. Também vemos um capitão que entra em ação, mas não verifiquei se procurava impor ordem ou se tomava partido. As genealogias devem indicar que os parentes de Iamtire e Akíate, foco da briga, tomaram partidos opostos. Foi por causa disso que Pen-hure construiu outra casa e, como vemos, bem perto de seus defensores (p. 104-106)”.
Enfim, o esquema que acompanhou a segunda informação de Kauturué mostra duas casas de Pen-hure porque uma é anterior ao conflito e outra posterior. É pena que essa narração, simultaneamente “escrita” por Kaututuré, foi diante do segundo desenho da aldeia, não reproduzido no Diário. O primeiro desenho, apresentado acima, mostra apenas uma casa de Pen-hure, um pouco fora do círculo da aldeia, resguardada pelas dos seus protetores, porque corresponde a tempo posterior ao conflito.
As convenções criadas e usadas por Kaututuré enquanto descrevia a briga entre os moradores da aldeia, criando e usando algumas convenções sobre o papel, revelavam seu desejo de aprender a escrever. A folha que usou, bem como o segundo esquema da aldeia, devem estar com Roberto DaMatta.
Infelizmente, não usamos com Kaututuré, tão interessado em aprender a ler, a escrever e que ilustrava suas narrativas com sinais traçados no papel, o mesmo recurso a que recorremos com Mahiti (5f), que morava em Marabá, na casa do prefeito de Itupiranga. Pedimos-lhe que localizasse as aldeias em um mapa do IBGE, que Roberto numerou, anotando seus nomes nas margens da folha. E assim soubemos que duas aldeias mais para o norte brigaram com a mais ao sul, e os habitantes desta última fugiram para o local onde instalaram a aldeia em que estávamos pesquisando. Se não me engano, Mahiti disse que a luta foi entre Krepoirenum, pai de Krepoire (ou seja, Lorudute 1b), e Baleado (2h), o qual estava na aldeia meridional. Mahiti só sabia dessas quatro aldeias (p. 174).
Relações entre os moradores de Cocal no tempo da pesquisa
Um dos muitos pontos fracos de meu Diário é não apresentar um esquema da disposição das casas na aldeia em que estivemos, e nem a enumeração dos moradores de cada casa, pois talvez ela fosse a mesma representada pelos esquemas e tabelas acima mostrados, mas com uma forte redução do número de seus habitantes. Contudo, a composição daquelas casas do tempo da instalação do grupo em Cocal foi muito afetada pelas inúmeras mortes e pelos decorrentes reajustes matrimoniais que, por sua vez, faziam os homens mudar de residência conforme o costume da uxorilocalidade. Portanto, a composição das casas que encontramos em 1961 não é mesma daquelas do tempo da instalação em Cocal.
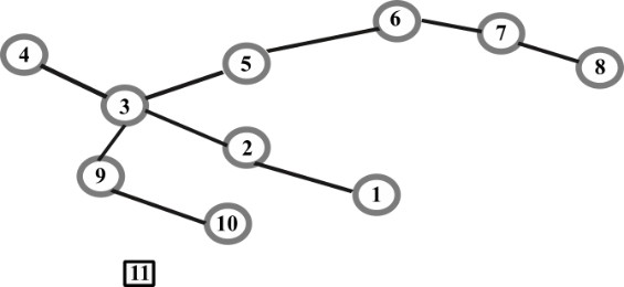
Nova posição e identificação das casas
As listas dos moradores das cinco casas acima mostradas devem corresponder ao tempo da instalação da aldeia em Cocal. Mas Roberto e eu chegamos à aldeia cerca de seis anos depois, quando sua população já estava bem reduzida, com uma distribuição pelas casas diferente, devendo-se considerar também o deslocamento da aldeia de uma centena de metros ou mais a partir do local anterior. Os números que atribuímos às casas já não correspondiam à ordem informada por Aprororenum, que remonta ao tempo da instalação da aldeia em Cocal. Além disso, eu me esqueci dessa numeração que fizemos há mais de 60 anos. Para recuperar nossa numeração, apoiei-me na distribuição das fruteiras entre e atrás das casas segundo seus proprietários individuais (pp. 334-335). Há também um exemplo incompleto de seu uso ao me referir à construção da nova casa de Pembe-kui (p. 112). E assim suponho ter recuperado a numeração que fizemos. Mas, para não confundi-la com a enumeração de Aprororenum, resolvi substituir nossos números pela ordem alfabética.
Incluí também, com a abreviação Etn (de etnógrafos, etnólogos), a casa que pedimos aos Gaviões para construir para nós, pesquisadores. E no desenho abaixo marquei, com o nome da sede do município, Itupiranga, a saída daqueles que iam para lá, indicando assim, grosseiramente, a direção sudoeste. Por incrível que pareça, eu não tinha uma bússola e nem me lembro atrás de que casa ou árvore nascia o Sol.

Com uma trena, medimos o pátio: 22 metros da Casa C à Casa A e 17 metros da casa D à casa B. Intrigados com nosso ato, os índios chegaram a nos perguntar se estávamos demarcando a castanha (p. 124), ou seja, terra para a extração e venda da castanha. Faz sentido, pois a trena era de trabalhadores do Faride, que então estavam passando. O caminho para Itupiranga (que estava a sudoeste) se iniciava entre a Casa A e a Casa Etn. No sentido oposto, entre a Casa B e a Casa C, começava a trilha na direção do barracão dos trabalhadores do Faride, a pessoa que arrendara ou se candidatava ao arrendamento de uma área, junto ao governo do Pará, que incluía o local da aldeia. Por essa via, passavam frequentemente o responsável pelo barracão, Lourival, seus trabalhadores, às vezes com burros de carga, indo a Itupiranga ou de lá retornando. As relações eram amistosas, mas prenunciavam um futuro conflito. Esse barracão não era o do Hermenegildo (um possível auxiliar de pretendente anterior ao arrendamento), tomado como referência da terceira roça no primeiro esquema acima apresentado.
Nova numeração das pessoas
Até aqui, para a identificação das pessoas, usei apenas a lista dos moradores no tempo de sua instalação em Cocal, pondo o número da casa e a letra correspondente a seu morador, com base nas informações de Aprororenum (3d Zanoi). Mas esse procedimento não dá conta daqueles que não moraram naquelas casas ou não foram lembrados como tal. Além disso, também não serve para indicar outros ascendentes ou colaterais. Portanto, vou usar uma outra maneira de identificar cada pessoa.
A cada qual corresponderá um número escrito em algarismos arábicos. Gostaria de colocar seus nomes diretamente embaixo dos pequenos triângulos e círculos que os representam, mas a extensão desses nomes tornaria os esquemas muito compridos. Por isso, seus nomes virão numa lista. Os falecidos ou que estão em outras aldeias, então ainda não contatadas, são limitados apenas àqueles que podem servir de elo entre os moradores da aldeia do Cocal. Eles são identificados com um X a preceder o número em algarismos arábicos. Poderia usar algarismos romanos, mas eles também, por vezes, são demasiado compridos.
Faço a seguir a lista dos Gaviões moradores da aldeia de Cocal, dos que viviam nas cidades e dos falecidos ou ausentes, com seus nomes precedidos por esses números. Nas notas que seguem imediatamente a cada nome, acrescento em negrito o número da antiga casa e a letra minúscula que lhe corresponde como morador, conforme as listas de Aprororenum (3d Zanoi).
Quando há referência à pessoa no Dicionário Parkatêjê-Português de Leopoldina Araújo (2016), que contém uma seção de Nomes Próprios (pp. 265-310), alguns com referência a seus nomeados, eu indico a página do Dicionário precedida de LA. Essa referência é interessante porque informa alguma coisa que aconteceu com a pessoa após o período de nossa pesquisa de campo, como por exemplo, o nome pelo qual passou a ser conhecida pelos não-índios.
Também, quando há fotos da pessoa no livro de memórias do chefe Toprãmre Krôhôkrenhũm Jõpaipaire (2h Baleado), Isto Pertence ao meu Povo (Marabá, 2011), eu indico as páginas precedidas pelas iniciais de TKJ.
Presentes na Aldeia de Cocal
1 – Kaututuré Doidão (p. 262). Jõkàntỳtỳre João (LA: 279) ;
2 – Krepoire Tunure;
3 – Kroapeire Katonkiahonre Mano Velho (pp. 18, 261, 321). Krowapeire Manoel Velho (LA: 291). Foto de Manoel Velho Krowapeire em TKJ: 73 (coletiva), 146 (coletiva) e 178;
4 – Pempramre Pagankroate (pp. 18, 321). Japênprãmti Pedro (LA: 278). Fotos de Pedro Japênprãmti em TKJ: 73 (coletiva), 146 (coletiva) e 181;
5 – Txontapte Topramre (pp. 18, 256, 321). Pypxôntapti Raimundo (LA: 303). Foto (coletiva) de Pedro em TKJ: 73;
6 – Puhire Koitere. Purhêre (LA: 302);
7 – Iamrire (menino que nasceu durante nossa pesquisa de campo). Jàmrêti (LA: 277). Mais adiante, outras informações do Dicionário de LA;
8 – Topramre Iatxutxumre Krohokrenum Baleado (2h) (pp. 257, 321). ToprâmreKrôhôkrenhũm (LA: 281, 290, 306; na capa do Dicionário ele tem também o nome Jõpaipaire, mas este é nome do pai dele, como indica o verbete). Em suma, seu nome inclui tanto a tradicional tecnonímia Timbira (“pai de...”) como o costume não-índio de receber o nome do pai (acompanhado de “Filho”, “Júnior”), sem esquecer o nome do tio materno ou avô, conforme os Timbiras. Muitas fotos em TKJ;
9 – Aramre Doidinho (2i) (pp. 111, 321). Ràmre Kapjêre Jôkorenhũm Zé Doidinho (LA: 280 e 303);
10 – Kuarhure Cacaraúna (3o) (p. 202); Warhyre Ĩnxôre Kakaraúna (LA: 276 e 307). Foto de Warhyre em TKJ: 186;
11 – Aktote Paixotenum (3a), Velhão, Piaion (p. 205). Aktoti (LA: 270). Foto (coletiva) de Aktoti em TKJ: 73;
12 – Kukukaprikte (5i) Supercílio (pp. 212, 325-326). Kukukaprêkti (LA: 293);
13 – Jompeire Popekure Iontetere (p. 226);
14 – Nakute (pp. 254, 255). Nãkôti (LA: 296). Foto de Domingos Nãkôti em TKJ: 107 (curando com as mãos), 146 (coletiva), 152 (assando peixe) e 180;
15 – Pempramre Itwá Ropionkopre Aprororenum Zanoi (3d) (pp. 27, 28, 63, 146, 236, 247, 255). Foto (coletiva) de Kêtihyti em TKJ: 73;
16 – Pembe-kui Iontamre (pp. 112, 209, 236, 255);
17 – Panhukre (2m) (p. 112);
18 – Kakukre Kokakukre (pp. 261, 338);
19 – Kumtinum Capitão Velho (pp. 146, 253);
20 – Poiariditi (p. 261). Pôjarêtêti Madalena (LA: 302). Fotos de Pôjarêtêti em TKJ: 53 (coletiva), 184;
21 – Ramkuire Kutxoare Alzirona (3b) (pp. 201, 221, 331). Ràmkwyire Kuxware Alzira (LA: 294, 303);
22 – Paixote (pp. 240). Pahixàti (LA: 297). Pahixáti em foto coletiva em TKJ: 53;
23 – Tupretire (pp. 321, 337);
24 – Kupu Iontxarate (pp. 225, 261, 321). Fotos coletivas de Jõxarati em TKJ: 73 e 163;
25 – Kapriktoire (1e), cujo pai, Inkrereti, não tenho como identificar, se X- 9, X-35 ou outro (p. 294). Fotos de Geraldo Kaprêktỳire em TKJ: 73 (coletiva), 163 (coletiva) e 172;
26 – Airiakáti (cujos laços genealógicos não encontrei no Diário: seu pai e sua mãe mais prováveis seriam os casais 10 e 21, 11 e 17 ou até 11 e X-33). O primeiro nome da seção de nomes próprios do Dicionário de Leopoldina Araújo é Ahêrjakare. Mas não identifica quem fala: “Eu não conheci finada vovó Ahêrjakare; eu não existia quando ela desapareceu” (LA 267);
27 – Tejuprire (1h).
Nas cidades
28 – Londjore (não incluída nas genealogias) em Marabá (p. 13);
29 – Purkote, na casa de Jaime Pimentel em Itupiranga (pp. 23, 82, 183, 259);
30 – Totoré (não incluída nas genealogias) em Marabá (p. 12);
31 – Karoroti Mahiti (6f) (p. 321), em Marabá. KarỳrỳtiMahiti foi para Mãe Maria, indispôs-se com Topramre (8), indo para Belém; com a Funai foi para os Kaiapó, entre os quais constituiu família (LA: 285). Foto de Mahiti Karỳrỳti em TKJ: 176;
32 – Menina de um ano, ainda não falava, não incluída em genealogia, em Marabá (p. 13);
33 – Ion-ionre (não incluída nas genealogias) em Marabá, possivelmente era a que estava na casa do médico Amadeo Vivacqua (pp. 3-4, 102);
34 – Kuikuire (1d), (não é Kuikuiti 3q); em Itupiranga; retornou para a aldeia depois de aposentada (LA: 294). Foto de Kwỳikwỳre em TKJ: 174;
35 – Piaré (não incluído nas genealogias) em Tucuruí (p. 321);
36 – Krantxore: sua mãe é Panhukre (17) e seus pais são Aktote (11) e Aramre (9); na casa de Odilar Barreto, em Marabá (p. 111).
Falecidos ou ausentes
X-1 – Lorudute (1b) Pairuruti (p. 209);
X-2 – Aikrekraraté (mãe de Krepoire, distinta de X-34);
X-3 – Totoré (1k);
X-4 – Uuture Kurutxate Terure (pp. 205 e 313);
X-5 – Porhure. Também tinha o nome Tehitxore (1a) (p. 275); conhecida como Katuré Prinre (p. 313). Sua casa, nos primeiros tempos da aldeia de Cocal, conforme Aprororenum, era vizinha da morada de outra Porhure (2a). Pàrhyre (LA: 298). Tuxêre (TKJ: 33);
X-6 – Pupramte;
X-7 – Jõpaipaire (TKJ: 33). Meu Diário não mostra o nome do pai de Topramre Baleado (8, 2h);
X-8 – Teteteré;
X-9 – Iompire;
X-10 – Porhure (2a);
X-11 – Teteteti Teruti. Aktote (11) explicou que seu intxum Teruti era o keti Teteteti (p. 205);
X-12 – Iparati. Aktote (11) discorda da afirmação de seu irmão Kuarhure (10) de que X-11 e X-12 sejam a mesma pessoa (pp. 202 e 277);
X-13 – Katukti Porkapikuite Ionparkopti (pp. 201, 225, 278);
X-14 – Iakare;
X-15 – Pataionkopti (p. 255);
X-16 – Jukaprinre (p. 255);
X-17 – Pepemti (p. 255);
X-18 – Krankore (p. 277);
X-19 – Parhite (p. 253);
X-20 – Amdjipeire (p. 253, 255);
X-21 – Pemkuire (p. 255);
X-22 – Parhure Tureire (pp. 27, 209, 236, 247, 253, 255);
X-23 – Konkrure (p. 255);
X-24 – Akuariti (pp. 209, 255);
X-25 – Uaire (p. 112);
X-26 – Parkute (pp. 68, 112);
X-27 – Terure (p. 112);
X-28 – Rormapore Poruakore (pp. 253, 261, 345, 328);
X-29 – Inkrerere (p. 209);
X-30 – Oproranre Aprororé (3l) (pp. 261, 322-323, 327, 345);
X-31 – Pihore Iontxarare (pp. 201, 261, 331);
X-32 – Ionparkopti Txoiahukti Ororoti (pp. 275, 305, 331);
X-33 – Iompahite (3p);
X-34 – Aikrekraraté (mãe de Kaututuré, distinta de X-2, mãe de Krepoire) (p. 226);
X-35 – Inkrereti Iamrite (pai de Kaututuré) (p. 226);
X-36 – Tonkaprure (1f) Iontxarate (p. 225);
X-37 – Aronte (p. 225);
X-38 – Itokrere, marido de X-28 (Rormapore), respectivamente pai e mãe de Kakukre (18) e Poiariditi (20) (pp. 106 [esquema], 261).
O retorno dos ausentes e a composição das casas
Já acostumado com a presença de apenas seis moradores na aldeia (sete com o recém-nascido), acompanhei o retorno gradual dos que estavam ausentes, observando o modo como se acomodavam e se agrupavam nas casas, segundo os laços de parentesco, casamento ou outros motivos.
Casa D
O primeiro a retornar foi Kumtinum, também chamado Capitão Velho (19), que se acomodou numa rede na casa de Pembe-kui e Aprororenum, onde também morava Nakute. Kumtinum era irmão da mãe de Pembe-kui (pp. 146 e 158) e, sem esposa, escolheu o lugar correto segundo as regras da uxorilocalidade.
Nakute (14), que conhecemos desde o dia em que chegamos, morava nessa mesma casa. A julgar pelos termos de parentesco por que se tratam (p. 87), Pembe-kui e Nakute são irmãos, pelo menos classificatórios. Portanto, enquanto sem mulher, a presença de Nakute na casa é explicável. Ele era viúvo de Totoré (X-3, 1k ).
O casamento de Pembe-kui com Aprororenum (15, 3d) não era o primeiro, nem para ela, nem para ele. Pembe-kui casou-se primeiro com Kroakore, que não trabalhava, depois com Uaire (X-25), que trabalhava muito (p. 137), depois com Puiarire (p. 50; nas pp. 102-103 e 224, é chamado de Poituare), trazido com ela de Ronhore e que foi morto por não trabalhar, não prestar, numa explicação evasiva de Kaututuré (p. 50), tal como as de Zanoi (pp. 145 e 163), ao contrário do que nos revelou a esposa do prefeito de Itupiranga, Odilar Barreto, em sua casa de Marabá, onde morava Mahiti (31, 5f) (p. 181). Aprororenum casou primeiro com Koprinre (X-16, 3e), com quem teve Aprororé (X-30, 3l) (pp. 146-147 e 345). Depois com Totoré (X-3, 1k), viúva de Lorudute (X-1, 1b). Tendo brigado com esta, casou com Purutumte. Nakute (14) então casou com Totoré, que tinha uma filha com Aprororenum, a qual faleceu. Totoré, por sua vez, ao dar à luz a uma filha de Nakute, morreu de febre. Depois que Purutumte morreu, Aprororenum casou-se com a irmã dela, Pembe-kui (16) (p. 112 e 217).
Velhão e sua mulher, ao retornarem, também se instalaram na casa de Pembe-kui e Aprororenum (p. 191). Abaixo direi mais sobre a identidade do casal.
Não encontro no Diário uma afirmação clara de que o casal constituído por Panhukre e Paixotenum (3a Aktote) tenha se instalado na casa de Pembe-kui e Aprororenum. O que apoia meu palpite é o fato de Panhukre ser filha de uma atoinre de Pembe-kui, portanto filha classificatória desta, além de filha de Uaire, que foi marido da mesma (p. 137), como mostra o seguinte esquema (p. 112):

Note-se que o núcleo dos moradores da Casa D constitui uma matrilinhagem com origem em três irmãs, Iakare (X-14), Amdjipeire (X-20) e Rormapore Poruakore (X-28), conforme a genealogia seguinte, em que os triângulos e círculos de cor cinza representam seus membros vivos e as letras maiúsculas indicam as casas em que moram:

Note-se também que todos eles foram trazidos para Cocal pela expedição à aldeia de Ronhotxore descrita por Kauturé (1) (p. 102). Com exceção de Aprororenum (15, 3d), que fazia parte da incursão.
Nós encontramos Aprororenum (15 – Zanoi), no esquema genealógico acima, casado com Pembe-kui (16), sua irmã classificatória (MZD). Mas a mãe dele, que já não vivia, também se chamava Pembe-kui (X-22). Como se não bastasse, há mais uma Pembe-kuire (3m), à mostra no esquema das relações entre os moradores da antiga Casa nº 3 (pp. 322-323), de quem a primeira esposa de Zanoi, Koprinre (3c), era tia paterna. Vale prevenir o leitor que no Diário nem sempre escrevi esse nome do mesmo modo, mas aqui eu uniformizei sua grafia como Pembe-kui ou Pembe-kuire, com o sufixo re, que faz o diminutivo. Mas esse termo me parece muito mais a lembrança de um honroso papel desempenhado em um rito do que um nome pessoal. Em um trecho interessantíssimo do Diário (pp. 119-121), Kaututuré explica, a Roberto e a mim, a corrida de toras Kroapeie, com ajuda de desenhos e sinais por ele criados e rabiscados no papel. Conta que, após a corrida, as Pembe-kui cantam diante do cantador com os braços para o alto, com os cotovelos dobrados, participando junto com os pembe (jovens em uma etapa da iniciação masculina timbira). O motivo que animou Kaututuré a dar essa explicação é comovente: ele achou que meu Diário estava menor (em páginas preenchidas) do que o de Roberto! Mas, voltando ao problema, no esquema da antiga Casa nº 3, Zanoi (3d) está casado com Koprinre (3c), cujo irmão é Kroakatite (ela e ele filhos de Kojiprure), que tem uma filha chamada Pembe-kuire (3m). Portanto, as três mulheres foram Pembe-kui (feminino de pembe) quando moças; seus nomes pessoais são outros. A Pembe-kui esposa de Aprororenum tem o nome de Iontamre, recebido de sua katuré (MMZ) Iakare (X-14) (p. 236).
Zanoi é conhecido pelo tecnonímico Aprororenum por causa do nome de seu filho, Oporamre Aprororé (3l), que ele teve com Koprinre. Mas infelizmente não chegamos a conhecê-lo. Um esquema do Diário (p. 278) mostra Jukaprinre, antiga esposa de Zanoi, como filha de Kajiprure, também mãe de Kruakatite. Ora, a identificação de Kajiprure com Kojiprure, de Kroakatite com Kruakatite e de Koprinre (3c) com Jukaprinre se impõe, podendo-se atribuir as diferenças à minha inabilidade auditiva e, no último caso, também ao costume timbira de omitir a primeira sílaba de certas palavras. Por isso, pus Jukaprinre (X-16) no esquema genealógico acima, que a mostra ligada a uma das três irmãs do alto do esquema, Iakare (X-14), por intermédio do pai, Pataionkopti (X-15). Mas não consegui ligá-la por intermédio da mãe a qualquer ascendente.
Casa C
A outra casa que conhecemos ocupada quando chegamos era a de Krepoire Tunure (2) e Puhire Koitere (6), ambas casadas com Kaututuré (1). Há um esquema (p. 18) que mostra os pais e os irmãos de Krepoire. O pai é Lorudute (X-1, 1b) e a mãe, Aikrekraraté (X-2). Mostra seis irmãos e uma só irmã. Porém, vivos, só três irmãos: Kroapeire Katonkiahonre (3, 1i Mano Velho), Prempramre (ou Pempramti) Pagankroate (4) e Txontapte Topramre (5, 1j). Esses três irmãos, que estavam ausentes no início da pesquisa, mas entre os retornados, jovens solteiros, devem ter-se instalado na casa de sua irmã, Krepoire, mas não tive a ideia de conferir. Mas uma vez, Kaututuré convidou-me para ir apanhar bacaba e levou também o menino Txontapte para ajudá-lo, o que parece indicar ser um morador da mesma casa (p. 282-283). Numa outra ocasião, quando Kaututuré me disse que desejava viajar para o Rio de Janeiro e eu lhe perguntei quem caçaria para Krepoire, ele respondeu que Pempramti poderia fazê-lo, pois ele já sabia caçar, ou seja, considerava-o um morador da mesma casa (p. 343). Por outro lado, disse-me Topramre (Baleado 8, 2h) que criou Mano Velho (p. 321); em qual das casas terá este preferido se instalar?
Krepoire é ituaré de Doidinho (9, 2i) (p. 281). Tendo morrido sua mulher, Terure (X-27), filha de Pembe-kui (p. 102), Doidinho instalou-se na casa de Krepoire (p. 281 e 309).
Na mesma casa mora a coesposa Puhire Koitere (6), a mãe do recém-nascido Iamrire (7). Consta em várias páginas do meu Diário que eu fazia uma genealogia de Puhire com ajuda de Krepoire, à qual de vez em quando eu voltava para consultar, corrigir ou acrescentar. Essa genealogia deve estar com o material guardado por Roberto. No Diário só consta uma e outra informação aqui e ali. Ela nasceu em Kuredjon-iatxó e morou sucessivamente em Kohoko, Kriomhire, Katxarutê e, finalmente, no Cocal (sempre fica a mesma pergunta: eram distintas aldeias, ou sucessivos locais ocupados por uma mesma aldeia?). Sua mãe era Pupramte ou Purpramre (X- 6), filha de Kreruti (outro nome de X-4?), e esta foi quem deu nome a Puhire (p. 233). Seu pai era Uajororé (p. 107). Puhire é filha da filha da irmã da mãe da mãe de Krepoire (MMZDD (p. 259), portanto, irmãs classificatórias. Puhire não casou com Iamtire porque ele não trabalhava (p. 137). Ela foi esposa de Aronte, irmão mais novo de Jompeire (13) (p. 225), à qual também está relacionada, conforme o gráfico (pp. 259 e 296):

Gentil Cohen, ex-prefeito de Itupiranga, contou que convenceu Kautururé (1) a dar uma de suas mulheres, Puhire (6), a Aprororenum (15, 3d). Mas o arranjo logo se desfez (pp. 172 e 332), pois contrariava um pedido de Purpramre (X-6), pintxuire (amiga formal) de Aprororenum e mãe de Puhire, como será explicado mais adiante. Puhire, por sua vez, é amiga formal de Topramre (8, 2h Baleado) e de seu irmão Aramre (Doidinho 9, 2i), uma relação que receberam junto com seus nomes pessoais (p. 350 e gráfico na p. 351).
A Casa C é como que a sede da maior matrilinhagem, com 13 membros vivos em Cocal. No esquema genealógico seguinte, eles estão representados por triângulos e círculos em cor cinza. As casas em que moram estão indicadas com letras maiúsculas. Descendem, em linha feminina, de duas irmãs: Tehitxore Porhure (X-5, 1a) e Uuture Kurutxate (X-4). Tehitxore era a dona da Casa nº 1, nas listas de Aprororenum. Os irmãos Baleado e Doidinho eram filhos dela. Mas moravam na Casa nº 2, pertencente a uma outra Porhure (X-10, 2a), com a qual Baleado (8, 2h) estava casado, enquanto Doidinho (9, 2i) era marido da irmã dela, Iorunte Krekoti (2b). Vale dizer que a Casa C seria a continuação da antiga Casa nº 1.

Casa A
No dia 11 de outubro, entraram na aldeia mais três retornados: o casal Jompeire (13) e Kakukre (18), mais o rapaz Kukukaprikte (12, 5i Supercílio). Este dirigiu-se para a casa de Pembe-kui (16), enquanto o casal sentou-se na casa de Topramre (8, 2h Baleado), o qual chegaria somente alguns dias depois. Aprororenum levou-nos, os pesquisadores, até eles para nos apresentarmos. Kakukre começou logo a tirar o mato em torno da casa com um facão (p. 212).
Parece-me que dois casais – Topramre (8) e Poiariditi (20) mais Kakukre (18) e Jompeire (13) – passaram a residir nessa mesma casa. Kakukre é irmão de Poiariditi (pp. 261, 328 e 345) e poderia estar numa casa distinta da que Jompeire seria a titular. Mas, a julgar pela lista de objetos presentes na casa e a indicação de seus proprietários, os dois casais estão juntos. Os únicos objetos que não lhes pertenciam eram emprestados, além de: um pequeno vidro vazio, de Kapriktoire (25, 1e); um prato e um cesto de ronhô de Kupu (24); uma faca com bainha, de Mano Velho (3, 1i) (pp. 301-303). Mas vale notar que esses jovens talvez estivessem entre aqueles que Baleado queria manter consigo. Contou-nos Baleado que ele criou seu irmão Doidinho, além de Tupretire, Kupu, Mahiti (que morava em Marabá) e Piaré (que morava em Tucuruí). Também criou os irmãos de Tunure: Mano Velho, Pempramti e Txontapte. Pelo menos cuidou dos dois últimos tempos atrás, quando Tunure não podia fazê-lo por estar doente da perna. Mas agora ela queria ficar com Pemprampti. Txontapte porém ficaria com ele, Baleado (p. 321). Portanto acredito que todos eles encontrariam lugar na casa de Baleado caso quisessem nela ficar. Tupretire (23) sempre esteve pronto a me dar informações, mas nunca me falou de si mesmo. Ele é o ego de um pequeno esquema genealógico de parentesco (p. 337), segundo o qual seu pai é Iparati (X-12), o mesmo que, junto com Teteteti (X-11), gerou Aktote (11, 3a Paixotenum), Kwarhure (10, 3o Cacaraúna) e Kukukaprikte (12, 5i). Paira a dúvida se Iparati e Teteteti são ou não a mesma pessoa. Tupretire (23) e Kupu (24) já eram adultos jovens, pois participaram até do ataque com armas de fogo que Baleado dirigiu contra a aldeia de Akranti (p. 316). Kupu Iontxarate (24) é irmão de Jompeire por parte de pai (p. 225); e também relacionado a Alzirona (21, 3b), de cujo pai recebeu nome (p. 261). Quanto aos dois objetos de pouca importância pertencentes a Kapriktoire encontrados na casa de Baleado, bastariam eles para dizer que também ele nela habita? Faltou dizer algo de Tejuprire (27, 1h), filho de Totoré (X-3, 1k), por sua vez filha de Tehitxore (1a). É, portanto, filho da irmã de Topramre (8). Além do seu nome na lista de Aprororenum, há somente duas referências a ele no Diário, relacionadas à sua participação em atividades de caça (pp. 260-274).
Casa B
Já não posso me lembrar se esta casa estava de pé. Talvez tenha se desmantelado por falta de uso.
Casa Etn
Esta era a casa que Roberto pediu aos Gaviões que construíssem para nós, os pesquisadores. Ao retornar, Alzirona (21, 3b Kutxoare Ramkuire) e seu marido, Cacaraúna (10, 3o Kuarhure), sem a menor cerimônia, ocuparam parte da casa e ainda construíram perto de nós um chiqueiro para um porco (p. 191). De qualquer maneira, Kaututuré considerou que Alzirona e Cacaraúna estavam morando na casa de Pembe-kui, como tinham feito anteriormente (p. 200). De fato, eles ocuparam também o espaço entre a casa dos pesquisadores e a de Pembe-kui (Casa D). Com o casal, estava a mocinha Paixote (22). Ela era filha de Aktote (por isso, chamado de Paixotenum), mas ficava junto com Alzirona e Cacaraúna. Voltando ao esquema dos moradores da antiga Casa nº 3 (pp. 322-323), constata-se que Paixotenum (3a) e Cacaraúna (3o) são irmãos. Logo Paixote mora com um pai classificatório, e Alzirona (3b), que é irmã da mãe dela, a falecida Iompahite (3p).
Lembranças e esquecimentos
Não sei localizar a menina Airiakáti. É certo que a vi várias vezes, mas não guardei sua imagem, como as de muitos outros. Quem era seu pai, sua mãe ou algum outro parente responsável por ela? Meu Diário não diz. Só me lembro da voz de um adulto masculino que de vez quando a chamava com voz suave e melodiosa, separando as sílabas: Ai-ri-a-ká-ti! Mas dá para reduzir a procura a um número menor de relações. O regresso dos moradores à aldeia do Cocal, quando lá estávamos, foi realizado aos poucos, em pequenos grupos. Airiakáti voltou junto com os casais constituídos pelos irmãos Cacaraúna (3o) e Aktote Paixotenum (3a) e as respectivas esposas Alzirona Kutxoare (3b) e Panhukre (2m) (p. 166). Logo, a menina teria algum laço com eles.
A mesma notícia, dada por Lourival, o responsável pelo barracão do Faride, de que os dois casais a que acabo de me referir estavam a caminho da aldeia, trazendo Airiakáti (p. 166), sugeriu-me a solução de outro problema: eu não me lembrava mais de Velhão e sua esposa, julgando-os pessoas distintas de Aktote e sua mulher. Eu observei Velhão em várias atividades coletivas masculinas, saindo para as caçadas e delas retornando. Mas nunca vi Velhão ajudando a esposa na produção de farinha de mandioca. Quem era ela? Procurei então por todas as referências a Velhão no Diário e também por todas as referências a Aktote. Seus nomes nunca aparecem na mesma referência, na mesma atividade, exceto em três situações. Uma é meu registro de ter visto Velhão cosendo o vestido da mulher (p. 198), e mais adiante a anotação de que vira Aktote novamente a coser um vestido (p. 201). Outra é a volta à aldeia com um porco selvagem abatido, limpo e já esfolado, envolvido em folhas e embira, trazido por Nakute, Tejuprire e Velhão, que o carregava às costas. Nakute e Tejuprire brincando, disputavam a proeza de ter abatido o porco, enquanto eu desconfiava que fora Aktote que o fizera (p. 260). A terceira está no relato de Topramre (Baleado) sobre o ataque que fez contra a aldeia de Akranti com uso de armas de fogo. Ele põe Velhão entre aqueles que o acompanharam, mas, ao enumerar os que o carregaram às costas de volta, por estar flechado, inclui Aktote entre eles (p. 316). Em resumo, concluí que Velhão era Aktote e que sua esposa era Panhukre, que sempre via e com quem conversava. Eu é que a ele me referi, no Diário, ora como Aktote, ora como Velhão. Ele não era velho, apenas talvez um adulto que superava a maioria em idade; era muito ativo. Ultrapassava os demais em altura, o que talvez motivasse o apelido no aumentativo, Velhão. O mais velho de todos era Kumtinum, também referido como Capitão Velho, que passava a maior parte do tempo na rede.
Além da altura, o Diário me lembra de uma outra marca de Aktote (3a): ele era estrábico, tal como Aprororenum (3d) e Panhukre (2m) (p. 167). Por sua vez, Kukukaprikte (5i) e Kuarhure Cacaraúna (3o) mostravam um certo tremor na cabeça e nos olhos (p. 214). Uma vez, Aktote se aproximou, cuspiu nas mãos, passou-as por debaixo dos braços e depois pela minha cabeça e a testa. Fez o mesmo em Roberto. Soubemos então que ele era vai, isto é, xamã (p. 219-220). Noutra ocasião, ao perguntar a Baleado algo sobre mekaron, ele me respondeu que somente Aktote sabia dessas coisas (p. 314). Mas nunca procurei saber nada mais sobre esse tipo de atividade entre os Gaviões.
Dúvidas como essa, na leitura do Diário, 62 anos depois de escrito, não me ocorreram a respeito de Zanoi, que, no texto, eu alterno com Aprororenum, e de Doidão, apelido por demais pejorativo que passei a evitar, que era Kaututuré (a princípio grafado como Kautetere). Mas com eles Roberto e eu convivemos desde o princípio do trabalho de campo.
Que teria acontecido após nos retirarmos?
A aldeia do Cocal tinha 27 habitantes no tempo de nossa pesquisa. Seis homens e sete mulheres estavam casados (um dos homens tinha duas esposas). Doze homens não tinham mulheres, dos quais nove estavam em idade de casar. Os outros três eram: um velho (19), um menino (5) e um recém-nascido (7). As mulheres solteiras eram apenas duas: uma em idade de casar (22) e a outra uma menina (26). Em suma, havia apenas uma moça para nove homens jovens. Suas expectativas só poderiam ser satisfeitas se recorressem às poucas mulheres Gaviões que moravam nas cidades próximas, às mulheres não-índias ou aguardando a aproximação dos demais Gaviões que ainda não tinham aceitado o contato com os brancos. Mas somente outros pesquisadores posteriores à nossa pesquisa de campo podem contar como esse problema foi resolvido.
Quero apenas adivinhar o que pode ter acontecido com as casas no período entre a nossa partida e a transferência dos moradores da aldeia do Cocal para a reserva de Mãe Maria, onde viriam a receber todos os outros Gaviões, que foram aceitando o contato com os não-índios, também com a população original reduzida.
Suponho que Kuarhure Cacaraúna (10, 3o), Ramkuire Kutxoare Alzirona (21, 3b) e Paixote (22), filha da falecida irmã desta e do irmão daquele, devem ter passado para a Casa Etn, aquela que nós pesquisadores usamos e que eles já tinham parcialmente ocupado. Desse modo, Alzirona restabeleceria a Casa nº 3, que fora de Iompahite (3p), sua falecida irmã e onde ela também tinha morado. Seu marido, Cacarauna (3o), também residira naquela casa, então casado com uma outra irmã dela, Kaprotiti (3n). Os moradores dessa possível nova casa estão envolvidos numa elipse no esquema genealógico abaixo.
Dizia-se que Nakute (14) estava interessado em casar com Paixote (pp. 216-217); se o fez, também terá se mudado para a mesma casa. Esse jovem, que nos recebeu com antipatia, mas acabou se acostumando com a gente, tinha uma história triste, que não nos contou: era viúvo de Totoré (X-3, 1k), mulher provavelmente mais velha que ele, pois já tinha tido vários filhos e de mais de uma união. Ela morreu no parto, e a recém-nascida, na ausência de quem a pudesse amamentar, foi sepultada com a mãe (pp. 122 e 217). O líder Topramre Baleado (8, 2h) queria que Nakute se casasse com a irmã dele e da falecida Totoré, chamada Kuikuire (34, 1d), que morava em Itupiranga, o que não aconteceu.
Acredito também que os moradores da casa A, viriam a se separar após nossa saída. Topramre Baleado (8, 2h), tendo socorrido e criado vários jovens, talvez meninos nos tempos da mortandade, alguns confiados aos não-índios, não queria separar-se deles. Quatro jovens sem esposa pareciam continuar na casa dele: Kroapeire Mano Velho (3, 1i), Kupu (24), Kapriktoire (25, 1e), Tupretire (23) e quiçá Tejuprire (27, 1h). Ainda disputava Pempramre (4) e também Txontapte (5, 1j) com a meia-irmã deles, Tunure Krepoire (2). Disse-me até que dormia pouco à noite porque tinha medo de que o mekaron de Totoré (1k), mãe de Txontapte, viesse buscá-lo, pois, se este morresse, não teria mais menino para buscar água (p. 315). Esse apego de Baleado aos jovens que diz ter criado talvez se deva à história de seus casamentos. Segundo Tunure, a primeira filha dele nasceu defeituosa porque ele comia muita banana, mamão, abóbora, o que não é bom para gerar filhos. Sua mulher, Kreruti, então deixou-o e casou com o irmão dele, Doidinho, e teve filho bom. Baleado, por sua vez, casou com Parhure e, quando esta faleceu, casou com Panhukre, mas desfez a união. Foi então que se uniu a Poiariditi (20), a qual, segundo o que Jompeire contou a Tunure, parecia estar grávida (p. 218).
Creio que esse excesso de moradores na casa poderia motivar Jompeire (13) e seu marido Kakukre (18) a reconstruírem a Casa B, vizinha e abandonada, e para ela passarem. Jompeire era mulher do cunhado (WBW) de Baleado. Este último criara para si uma residência “patrilocal”, trazendo “filhos” que não eram de Poiariditi e nem dela. O casal Jompeire e Kakukre, envolvido com um círculo no esquema genealógico abaixo, poderia vir a ser a origem de novos moradores da Casa B.

Porém, cinco anos depois de nosso trabalho de campo junto aos Gaviões da aldeia de Cocal, eles se transferiram para a reserva de Mãe Maria (Ferraz 1984, 48). E o que realmente aconteceu com o seu desequilíbrio demográfico e sua organização social só os pesquisadores que nos seguiram podem contar.
Algo de organização social Uxorilocalidade
Se observarmos as ligações entre os moradores de cada casa nos tempos da instalação da aldeia em Cocal, mostradas nos esquemas que acompanham as listas de Aprorenum (Zanoi), constataremos uma tendência à matrilocalidade, que decorre da operação da uxorilocalidade, gerando como que matrilinhagens de curta duração, que se rompem ao alcançarem uma certa extensão do círculo da aldeia, a julgar pelo que acontece com outros Timbiras.
A regra da uxorilocalidade é clara na narrativa de Aporororenum de como foi combinado e realizado o seu primeiro casamento (pp. 146-147): “Quando [ele] era mankrare, a mãe de Koprinre falou com Amdjipeite [mãe da então falecida mãe de Aprororenum]: Dá-me Ropiokopre [que seria um outro nome de Aprororenum] para caçar para mim. A mãe de Koprinre então sempre arrancava inhame, batata, fazia kupu [bolo de mandioca e carne assado nas pedras quentes] e mandava para Amdjipeite. Aprororenum caçava jabuti, jacu, mutum etc. e levava sempre à mãe de Koprinre. Quando Koprinre ficou moça, ele casou com ela. Não houve festa; ele apenas passou a morar na casa da mãe de Koprinre. Esta não mandou mais batata, inhame, kupu para Amdjipeite. Aprororenum também guardava seu arco e flecha na casa da mãe de Koprinre; porém não falava com ela; somente com a esposa. À noite deitavam-se em esteiras, no pátio, na ordem seguinte: Aprororenum, Koprinre, itua da mãe de Koprinre, mãe de Koprinre”.
Disse-me uma vez Nakute que, se um caboclo ficar cego, a mulher o abandona, e é a mãe que vai cuidar dele (pp. 256-257).
Terminologia de parentesco
No campo devo ter anotado muita informação referente a genealogias e termos de parentesco que estão em folhas avulsas e cadernetas. Devem estar guardadas com Roberto. Mas o Diário não deixa de apontar algumas características da terminologia que a mostram como muito semelhante às dos outros timbiras orientais, tanto no referente aos termos como na sua disposição. Foi o que logo percebi ao começar a pesquisa com os Craôs, imediatamente após a experiência com os Gaviões.
Assim se distribuem os termos:
– Extensão do termo intxum (pai) aos irmãos, meios-irmãos, primos paralelos do pai, bem como aos possíveis maridos ou parceiros sexuais da mãe, acrescido de sufixos indicadores de idade (kó) ou tamanho (re ou ti) (p. 255);
– Extensão do termo intxê (mãe) às irmãs, meias-irmãs, primas paralelas da mãe, bem como às possíveis esposas ou parceiras sexuais do pai, acrescido de sufixos indicadores de idade (kó) ou tamanho (re ou te). As que não são a mãe stricto sensu são chamadas intxekó (mais velha que a mãe), intxeré (mãe pequena), anan, ananré (pequena), anante (grande) (pp. 130, 212, 230, 243, 247, 255-256, 266, 313, 339);
– Aplicação do mesmo termo, keti ou keteré, ao tio materno, avô materno e avô paterno, e também aos irmãos e primos paralelos deles;
– Aplicação do mesmo termo, katui ou katuré, à tia paterna, avó paterna e avó materna, e também às irmãs e primas paralelas delas;
– Aplicação, por Ego masculino, do termo iditi (esposa) à esposa do irmão da mãe, o que aponta a possibilidade de o sobrinho ter acesso à esposa do tio materno, bem como até de sucedê-lo como marido. Por isso, o sobrinho pode chamar o filho e a filha do tio materno de ikrá (filho ou filha) ou termo equivalente;
– Como o pai de Ego é tio materno do primo cruzado patrilateral de Ego, esse primo pode chamar a mãe de Ego de iditi (esposa); por isso, Ego deve chamá-lo de pai (intxum ou equivalente) e chamar a prima cruzada de irmã do pai (katui ou katuré);
– Quanto aos primos e primas paralelos matri e patrilarerais, Ego a eles estende os termos para irmão (aton) e irmã (atoin), com os seus sufixos (atonre, atonte, atoinre, atointe, atonkó, atoinkóre) ou outros equivalentes (apunatá, irmão ou irmã mais novos) (pp. 111, 152, 211-212, 226, 231, 245, 248, 253, 256, 313, 314, 338, 346);
– Ego aplica o termo ikrá a seus próprios filhos e filhas; mas Ego masculino somente estende esse termo ou seus equivalentes aos filhos (akamtere) e filhas (akatxoi) de seus irmãos e primos paralelos; e Ego feminino somente o faz aos filhos de filhas de suas irmãs e primas paralelas. Aos filhos e filhas dos irmãos e primos paralelos de sexo oposto ao seu, Ego aplica o termo itua;
– Como recíproco de qualquer keti ou katui, o termo itua é também aplicado aos netos.

Com ipreketi não se fala; com ipré pode-se falar um pouquinho (p. 261). Presenciei Kaututuré coletando bacaba e dialogando com Txontapte, sendo o primeiro piaion (marido da irmã) do segundo, mais novo, seu ipré (p. 282). Entre mulheres ipré é o recíproco de itxui (p. 259).
Os termos de parentesco têm sua forma modificada quando aplicados aos falecidos, algo que os Gaviões partilham com outros Timbiras Orientais, como constatei depois, ao realizar pesquisa com os Craôs. O livro de George Peter Murdock, Social Structure (New York: Macmillan, 1949) no qual eu aprendia o bê-á-bá do parentesco no Curso de Especialização em Antropologia Cultural do Museu Nacional, na sua página 106, despertou minha curiosidade por esse pouco importante “criterion of decedence”. Fiquei surpreso de o encontrarmos, logo na minha primeira experiência de campo. E assim nos ensinou Zanoi (pp. 263-264):

Numa outra ocasião, Zanoi me deu uns poucos termos usados para mortos, porém correspondentes a termos para parentes vivos cujo significado desconheço (p. 344): Inketi > Inketxua; Inketere > Inketxure; Intokatuie > Inpuptxua; e Intokature > Inpuptxure.
Transmissão dos nomes pessoais
Tal como fazem outros Timbiras orientais, os nomes pessoais masculinos são transmitidos pelos tios maternos e avós (masculinos) e outros keti; os femininos pelas tias paternas, avós (femininas) e outras katui. O nome é um conjunto de alguns termos, cujos significados não precisam ter relação uns com os outros, tanto que termos componentes de um nome de uma mesma pessoa podem figurar como verbetes distintos no já referido Dicionário Parkatêjê-Português de Leopoldina Araújo (2016).
Amizade formalizada
Com o nome se transmitem também as relações de amizade formalizada, em que os assim ligados combinam extrema evitação com o máximo de solidariedade. Esta relação pode ligar pares de pessoas do mesmo sexo ou de sexos opostos. Ela tem alguma relação com as escolhas matrimoniais, pois há uma tendência a procurar como sogro ou sogra um amigo ou amiga formal. Aliás, a relação com o sogro e com a sogra são evitativas. Veja este exemplo, que nos remete à fracassada sugestão do intrometido ex-prefeito de Itupiranga, apresentada páginas atrás, de Zanoi (15) ficar com uma das duas esposas de Kaututuré (1), no caso Puhire (6):
Purpramre (X-6) era amiga formal (pintxuire) de Zanoi, o qual podia casar com Puhire, filha dela. Porém, como Purpramre pediu a Zanoi seu filho Aprororé (X-30) como genro (piajon), ele não podia mais casar com Puhire (6), passando a referir-se a esta como nora (itxui). Aprororé iria então casar com Rormapore, irmã de Puhire e filha de Purpramre. Zanoi começou a dar caça para Purpramre, porque Aprororé ainda era pequeno para fazê-lo, enquanto ela retribuía com produtos de sua roça, dando-os a Jukaprinre (X-16), mulher de Zanoi. Depois de combinado o casamento, Zanoi não pode mais falar com Rormapore, que neste tempo estava no grau de idade mekprure, enquanto Aprororé era makrare. Somente seria realizado o casamento quando ela passasse a mekpru e ele a ro-iquatu (p. 327). Anteriormente, Zanoi tinha me dado uma explicação que mostrava esse movimento em duas direções, uma no sentido inverso da outra: opin é aquele que pode casar com a filha de ego. Se chegar a casar com ela, passa a piajon. O mesmo acontece com a pintxui, que seria a itxui em potencial. Porém depois me deu outra explicação: quando o ipreketi dá nome ao filho de ego, passa a ser opin. Se fosse a ipane que desse nome, passaria a ser pintxui. Em que explicação se apoiar? O próprio Aprororenum achava difícil explicar (p. 261).
Opinti é o termo para amigo formal, enquanto pintxui é a amiga, mas um ou outro pode ser referido como ikritxua (p. 260). Falhas nas relações com o amigo ou amiga formal, mesmo involuntárias, como tocá-lo, vê-lo cair, quebrar-lhe algum objeto, devem ser reparadas com canto no pátio durante a noite inteira ou nas horas de folga, quando o “ofensor” não está na roça ou na caça, dependendo do momento da falha, se foi à noite ou de dia. Se o “infrator” for um menino ou menina, seu keti ou katui, respectivamente, poderão fazê-lo em seu lugar. Em compensação, pai e mãe do “ofendido” retribuem o canto com presentes, como arco, flechas, machado, facão, cabaças, amendoim (pp. 351-352). O Diário contém várias listas de ikritxua de pessoas diversas (pp. 304-306, 322, 327, 340, 350-352).
Também os termos para designar os amigos e amigas formais são modificados quando aplicados aos mortos. Baleado (8) deu-me as seguintes correspondências (p. 322):
Opinti > Krekamiakritxua
Opininre > Krekamikritxure
Pintxuite > Krekamikritxute
Pintxuire > Krekamikritxure
Os termos que tomei com Zanoi para opinti e pintxuire mortos (p. 264), Baleado considerou-os errados. Esqueci-me o termo que Baleado deu como correspondente a ikritxua no sistema dos mortos. De qualquer modo, os termos que me deu me causam estranheza.
Uma coisa intrigante: se o sufixo txua aplicado aos termos para mortos significa “falecido”, xwỳ no Dicionário de Leopoldina Araújo (2016, 253), por que se aplica o termo ikritxua aos amigos e amigas formais vivos entre os Gaviões e os Craôs, e por que estes últimos aplicam o termo itamtxua aos itua vivos? Também é intrigante o outro componente do termo, ikrit. Na página 267 de meu livro Ritos de uma tribo Timbira, a partir de sua presença em várias palavras, argumento que significa “associado a”, “próximo a”, “que acusa a presença de”. Não vou repeti-los aqui, mas oferecer mais um exemplo que lá me escapou: no Dicionário de Leopoldina Araújo (2016, 227), tepkritire é o martim-pescador (ariramba). Os Craôs associam sua presença à proximidade de peixes (tep). Então ikritxua significa “associado aos mortos”? Não tenho certeza, mas na página 120 do mesmo livro acima citado, afirmo que os amigos formais presentes em um ritual de final do luto por um falecido estão lhe dando apoio, como faziam quando ele era vivo ou até substituindo-o. Mas há uma dificuldade: se txua é um sufixo, no termo ikritxuaikrit não é.
Em suma, o ikritxua é um afim, que pode ser aleatório, vindo com o nome pessoal, ou escolhido.
Ritos, metades e outros grupos cerimoniais
Não nos foi possível descobrir outras relações ou afiliações recebidas com o nome. Por mais que nos esforçássemos, não pudemos caracterizar as metades Pane (Arara) e Hok (Gavião) como matrilineares ou patrilineares, ou relacioná-las a nomes pessoais. Em suas respostas, os Gaviões frequentemente respondiam que mais de uma vez mudaram de metades, a pedido do pai ou do keti, ou outros motivos, mas neles não acreditávamos. E, assim, davam-nos a resposta que julgavam nos agradar para se livrarem da nossa insistência. E talvez a livre escolha da metade, até mesmo na procura de um número equilibrado de competidores nas corridas de toras, fosse o que na verdade ocorria. Os Craôs, por exemplo, têm certos pares de metades cuja composição pode mudar a cada vez que se realiza a atividade ritual a que estão ligadas.
Festa de Tep e Teti
Também falavam das metades Tep (Peixes) e Teti (Ariranhas ou Lontras), que faziam uma festa no final da estação das chuvas. Da primeira faziam parte vários grupos ou personagens individuais: Minre ou Minte (Jacaré), Pope (não obtive a tradução, mas entre os craôs pëp, na minha grafia, é piraquê), Txetxeteré ou Txetxeteti (Arraia) (pp. 43, 45, 67, 290, 175, 284, 290, 299). Com ajuda de Kaututuré, desenhei um esquema em que Teti figura sozinho como uma metade em oposição a outra que inclui Tep, Pope, Minre e Txetxeteré (p. 43).
Sem dúvida se trata das metades, grupos e personagens que fazem o rito de Tepyarkwá, descrito por Curt Nimuendaju (1946, pp. 225-230), como realizado entre os Canelas, por mim (Melatti 1978, pp. 255-266), como realizado entre os Craôs, e recentemente, também entre os Craôs, por Borges (2014). Este último pesquisador também colheu a tradução dos cânticos do rito. Nenhum dos três grupos ou povos o realiza exatamente do mesmo modo.
Disse-me uma vez Kaututuré que, nas suas festas, Tepe jogava no pátio batatas e inhames que os outros apanhavam; Tetê jogava abóboras e inhames; Pope jogava batata, inhame e mandioca; Txetxeteré jogava beijus de milho branco; e Minre punha no chão ovos de jacaré. Cada grupo, pois, oferecia algo comestível, coisa que os outros participantes recolhiam. Só os homens nisso tomavam parte, ficando as mulheres nas roças (p. 43). O mesmo Kaututuré, em outra ocasião, disse que na aldeia de Krohoko, no tempo das chuvas, havia os grupos Tep, Amtxú (Marimbondo), Txetxeteré, Kranti, Teti (deve ser um lapso de Kaututuré, pois o último é o nome da metade oposta), Kutapte (Iú, no meu Diário Craô 6, p. 70; Jeju, em Araújo, (2016, 153), Kere e Minti (p. 103). Aliás, Topramre Baleado (8, 2h), uma vez, dizendo que era o capitão (ou seja, ele mesmo) que indicava o grupo de chuva de cada um, acrescentou que Mano Velho (3, 1i), além de ser Txetxeteré, era Amtxu, por ser muito saliente (p. 320).
Festa de Maipu
Aprororenum também nos contou como se fazia a festa Maipu, na qual havia grande liberdade sexual. Parece que ele não presenciou nenhuma dessas festas. Pembe-kui, sua esposa, que estava no pátio, afastada, sentada com as mulheres de Kaututuré, ia dizendo e ele traduzia para nós. Foram os velhos que contaram a ela, que delas também não participou. Maipu se fazia no início de tampti (estação chuvosa). Os homens iam caçar, e as mulheres colhiam do que podiam nas roças. Dançava-se o Kruaionjonore a noite toda. Fazia-se a troca de mulheres. Aprororenum falou-nos também de um bolo (provavelmente um kupu) que as mães faziam. Disse que o itua, nessa ocasião, trocava de mulher com o keteré (p. 87).
Festa da Onça
Pembe-kui também contou a festa da Onça (brincar de onça), em que um grupo era Rop (onça) e outro Ubipíate (um passarinho). Os últimos subiam em árvores e os primeiros ficavam no chão. Os Ubipíate traziam muito pau de roça e todo o mundo derrubava as casas, que mais tarde eram novamente levantadas. Pembe-kui também não presenciou essas brincadeiras (p. 87).
Corrida de toras
Certa vez, Kaututuré, atendendo a Roberto e a mim, deu-nos uma explicação sobre as corridas de toras, a que já me referi páginas atrás. Usando papel e lápis, fazendo desenhos e sinais, sua exposição teve mais ou menos a seguinte ordem: a) corte da palmeira e competição de flechas; b) corrida de toras; c) cânticos.
Começou o primeiro desenho fazendo uma linha de cada lado da folha representando um homem que, de manhã cedo, sai da aldeia e vai cortar a palmeira (ronti pore) para fazer as kroa (toras). Na extremidade da linha desenhou a palmeira, destacando as duas kroa que o homem cortou. A aldeia, desenhou-a na outra extremidade da linha e dela saindo uma estrada. Na aldeia está um homem jogando flecha em direção à estrada; outros círculos indicam homens sentados, olhando. Na estrada, pequenos círculos representam meninos que fogem da flecha, com seu percurso representado por riscos. A seguir, riscos leves ao lado da primeira linha desenhada representam os homens correndo para as kroa. Desenhou vários riscos dos dois lados da linha representando os homens que correm com as toras. Os círculos mais próximos da aldeia são os velhos. As mães e irmãs recebem os corredores, molhando-lhes a cabeça e as costas com água. As kroas também estão mostradas quando deixadas após a corrida.
Depois desenhou seis círculos que representam os velhos cantando. Um deles dirige o canto. Abaixo da linha desenhou os pembe alternadamente, Pane e Hok, com um chefe Pane. Também desenhou o homem que cortou as kroa.
No segundo desenho fez as Kroa-peie (toras boas, belas); os riscos que fez sobre elas representam as rachaduras. Desenhou os pembe (rapazes em iniciação), de um lado Pane e de outro Hok, com um cantador no meio. Entre os pembe, dois círculos representam a aldeia. As mãos dos pembe, disse ele, estão para a frente, semicerradas, cotovelos dobrados. O cantador dança de um lado para o outro; os pembe dançam andando de lado, parece-me que para o lado direito, fazendo, pois, um círculo que gira. As Pembe-kui (moças associadas aos pembe), diante do cantador, dançam de mãos para o alto, cotovelos dobrados. As Pembe-kui se dividem em Hokokuie e Penkuie, segundo sua afiliação às metades, certamente. Essa dança é realizada à tarde. No dia seguinte há a corrida de Kroa-peie, que se faz como a de Kroa-kaho (toras não tão boas ou belas). A corrida de toras se chama mdaihi, tanto para um tipo como o outro de kroa (pp. 120-121).
Eu não tenho a tradução de Kroa-peie e Kroa-kaho feita pelos Gaviões; eu a arrisquei identificando kaho com kahók dos Craôs. Mas kahók não desqualifica: note-se a importância do rito timbira chamado Pembkahók.
O material de que o homem desenhado por Kaututuré faz as toras é ronti pore. Pore é “tronco”. Ronti é o nome de uma palmeira de cujas folhas os Gaviões fazem esteiras, cestos, paneiros. Lourival, que dirigia os trabalhadores do Faride, arrendatário da área onde estava a aldeia do Cocal, identificou a palmeira da qual os Gaviões tiravam a matéria-prima para esses artefatos como a pindova (pindoba), que para ele seria o babaçu novo (p. 167). Mas são espécies diferentes! O nome das toras gaviões é kroa, parecido com króu, nome que os Craôs dão ao buriti, de que fazem suas toras. Provavelmente os Gaviões, ao trocarem o cerrado pela floresta, tiveram de escolher outra palmeira para fazer suas toras. Mas guardaram o nome antigo, que é do buriti.
Não vimos nenhuma corrida de toras na aldeia de Cocal. A única tora que existia servia de peso no espremedor de puba, que desenhei no Diário (p. 83).
Ciclo de vida Cuidados com o recém-nascido
Pelas 3h30 da madrugada do dia 9 de setembro de 1961 fomos acordados: ia nascer o filho de Puhire (6). Aproximamo-nos de sua casa. Lá estavam também Tunure (2) e Pembe-kui (16). Nakute (14) e Aprororenum ficaram em suas redes em sua casa. Kaututuré, o pai do recém-nascido, também estava na rede. Disse-nos que nos deitássemos e fôssemos ver de manhã. Ao ouvirmos o choro da criança, saímos novamente das redes. Roberto assistiu a boa parte do fim do parto. Durante todo o tempo, Kaututuré ficou na rede. Uma fogueira estava armada perto de Puhire. No fim, ela passou uma embira em torno da cintura. Kaututuré e Tunure, sua outra esposa, por fim saíram para buscar alguma coisa. Disse Kaututuré ao amanhecer que naquele dia não ia caçar. Também se negou a ir a Itupiranga para avisar a Jaime, do SPI, sobre o nascimento. Porém, pelas 4 horas da manhã, saíram ele e Nakute para caçar um mutum que ouviram piar para os lados da roça velha (pp. 95-96). De manhã, o recém-nascido estava pintado com urucu, bem como o seio da mãe, que estava à sua disposição. Por volta do meio-dia, Kaututuré convidou-me para apanhar açaí, mas eu é que tive de cortar os galhos; e ele levou espingarda, dizendo que podia caçar. Disse-me que, quando caísse o cordão umbilical do filho, ele mesmo iria apanhar açaí, subindo na palmeira. Se cortasse açaí agora, a criança morreria; não podia comer carne, a não ser depois de duas luas, senão ele próprio morreria (pp. 96a-96b). Nos dias seguintes, não se mostrou interesse maior pela mãe e pelo recém-nascido; o pai perguntou-me se eu tinha dinheiro para a compra de uma rede, mas era para ele mesmo e não para Puhire, que dormia sobre folhas de bananeira (p. 99). O pai não comia mamão para evitar que o filho tivesse diarreia (p. 100). Toda vez que a criança chorava, ganhava o seio da mãe. Dois dias depois do nascimento, o pai ainda não segurara a criança (p. 109) e o umbigo já tinha caído (p. 111). Quando a mãe pudesse comer carne, cortaria o cabelo do menino na testa (p. 113). Banho da criança no colo da mãe com água tirada de um poço, pequena depressão cavada desde o primeiro banho, da qual não tenho detalhes (p. 128). Tunure passando urucu no bebê para ficar gordo e tirando-lhe piolhos (p. 192). A alternância do leite materno com a mamadeira (p. 216). Quase 40 dias depois do nascimento, já se notava que o pai estava se aproximando gradualmente do filho, cuidando do menino, dando-lhe a mamadeira, examinando a limpeza, cantando; e o menino começando a prestar atenção (p. 249). O pai admirava o filho na rede (p. 273). Pembe-kui segurava Iamrire e dava-lhe o peito seco à guisa de chupeta (p. 275). O pai continuava seus cuidados: não podia comer tatu, porque esse animal respira forte como se estivesse cansado, e o filho de Kaututuré estava com o nariz cheio de catarro. Se comesse tatu, o menino pioraria. Segundo Kaututuré, quando o menino estivesse doente, ele só poderia comer jabuti e não porco, veado etc. (p. 280). Assim fui anotando vez por outra algo sobre o menino. No dia em que vi Alzirona (21, 3b) tomando conta de Iamrire (7) e dando-lhe um banho de água fria porque o pessoal da casa dele estava ocupado na produção de farinha, eu até o fiz sorrir (p. 329). Então já fazia 54 dias de seu nascimento e eu tinha de ir embora.
A julgar por uns verbetes sobre nomes pessoais que fazem diminutas alusões a seus portadores no DicionárioParkatêjê-Português de Leopoldina Araújo (Ĩkrereti, Jàmreti, Jõkàntỳtỳre, Purhêre, Jõpeire – pp. 276, 277, 278 e 281), o bebê cujo nascimento presenciamos, Iamrire (7) ou Iamrite, veio a se chamar Francisco e tem uma filha, Jompeire (nome da FFMSD), com uma não-índia. Mas no verbete Jamrêti (LA: 277) consta que Jõkàtỳtỳre (Kaututuré) pôs esse nome no filho de sua primeira mulher, a qual morreu no parto. Certamente se refere a algum parto anterior de outra mulher ou posterior ao que presenciamos, que foi normal.
Graus de idade
Mekratetete é a criança recém-nascida. Passa a makrare ou a mekprure quando começa a andar. Não sei qual o sinal reconhecido para passar a ikuatu e mekpru. Zanoi (Aprororenum) disse que era quando o indivíduo chegava à altura da beira da cobertura de palha de nossa casa. Ikratantô é a mulher depois do primeiro parto. A partir de uma certa idade, a pessoa passa a roitumre até que chega à velhice, tornando-se ro-iprike. O ro-iprike não toma parte em luta, mas caça e trabalha na roça. Quando porém está muito velho, não trabalha mais não.

Nada consegui sobre o estágio ritual de pembe, a não ser que abrange o roikuatu, o roitumre e o roiprike, ou seja, será um título que perdura pelo resto da vida? O homem tem seu lábio furado quando é roikuatu. Seria este furo o início do estágio Pembe? Pembe-kra são os meninos makrare. Quanto à mulher, há as Pembe-kui, mas apenas as mekpru podem sê-lo. No entanto, a esposa de Aprororenum e outras continuaram a assim ser referidas (pp. 271-272).
Mas, quando completávamos umas duas semanas de presença na aldeia, Kaututuré, respondendo a perguntas de Roberto, nos contou que: Quando o irmão mais velho é pembe, os outros não são. Que teria querido dizer com isso: que os irmãos mais novos não podem fazer parte da mesma turma de iniciandos em que está o irmão mais velho? Que os irmãos entram em turmas sucessivas segundo a ordem de nascimento? Durante quatro luas, o pembe não pode apanhar sol, não pode ver mulher e não faz nada. Cinco moças levam comida para ele. Não pode comer carne. Só pode comer batata, inhame, milho preto. Pinta de vermelho o pé e o umbigo. Passa azeite de coco no corpo. Se o pembe entrar na praça, fica com o pé doendo. Só de noite pode ir à casa da mãe para comer. Usa embira amarrada a tiracolo. No dia (final da iniciação?) saem todos os pembe juntos. Colam penas de arara em todo o corpo. Comem o bolo de carne juntos. Quem manda fazer o bolo é o pai do pembecure (pai de uma pembe-kui? os pais das pembe-kui?), com mandioca, carne de veado, caititu, porco. Depois, os pembe cortam o cabelo. Dançam a noite toda. O pembe passa a iguatu (ikuatu) (homem) (pp. 24-25).
Os homens Gaviões ainda mantinham um furinho nos lábios; porém não usavam mais batoques. Uma vez, Kakukre (18) começou a me contar que nas outras aldeias os homens usavam batoques grandes, ficando com o lábio inferior muito grande. E assim pegou um prato para imitar o uso do batoque. Jompeire (13), sua esposa, logo se zangou, atirando-lhe algo, pois o pai dela tinha sido um desses homens. Kakukre então diminuiu a circunferência do batoque para a de uma tampa de lata de leite. E contou que o batoque de Kumtinum (19), o homem mais velho da aldeia do Cocal, onde estávamos, tinha a circunferência de um relógio de pulso. Gozador, disse que, quando esses homens comiam, tocavam com o lábio inferior a ponta do nariz. Jompeire, ao contrário, achava esses beiços bonitos (p. 295).
Cuidados com os mortos
Perguntei a Aprororenum para quem passavam os objetos dos índios que morriam. Disse-me que, quando o “caboclo” morre, suas flechas e o arco são quebrados e queimados. O facão é colocado dentro da cova, sobre o peito do falecido. Camisa, calças, sapatos (“coisas de Kupen”, como disse Aprororenum) passam para os outros caboclos. Aprororenum disse que, se morrer, não deixa essas coisas para ninguém, pois não tem irmão (será somente o irmão que herda?). Perguntei a quem pertenceria o pilão para saber como era a herança entre as mulheres, mas Aprororenum não sabia dizer a quem pertencia nenhum dos dois pilões. Contou que, quando “caboclo” morre, passa-se urucu no cadáver, corta-se o cabelo dele e cobre-se o morto com penas de arara, utilizando-se a ramjine (segundo o Dicionário de Leopoldina Araújo, ràmjĩ é breu para emplumar, p. 211). Na cova, primeiro se coloca a mandioca, o inhame; depois a cabaça; depois o morto. Colocam-se estas coisas, não porque ele as comerá, mas porque são dele. Quando “caboclo” morre, os irmãos (aton, atoin, atonte, atonre, atointe, atonre) não fazem nadinha; os pais (intxum, intxumte, intxumre) e as mães (intxê, anante, ananre) não fazem nada também. E assim se comporta o marido da morta. Só trabalham depois que o morto vai para a cova. Os outros fazem as coisas e eles retribuem com cabaças, inhames, facões. Por exemplo, quando Terure (X-27), filha de Pembe-kui (16), morreu, Aprororenum (seu intxumte) deu uma espingarda a Cacaraúna (10, 3o) por ter trazido o cadáver para a aldeia; Panhukre (17) deu um facão a Jompeire (13) porque Kupu (24), o irmão desta, cavou a cova. Panhukre era atointe de Terure. Perguntei a Aprororenum: “Se Kupu tinha feito a cova, porque Jompeire é que ganhara o facão?” Ele respondeu: “Caboclo é assim” (pp. 211-212).
Topramre Baleado (8, 2h), em outra ocasião, também conversou comigo sobre o mesmo tema. Repito aqui o que ele disse porque seus exemplos não só confirmam as informações de Aprororenum, como dão mais detalhes e fazem acréscimos. O arco e as flechas do morto são quebrados ou guardados. Um homem não parente do morto abre a cova, recebendo por isso um pagamento que é proporcional à idade do morto. As lamentações, o choro, são de acordo com a idade e o conceito em que era tido o morto. Assim, se um bebê morre, o pai só chora um pouquinho, a mãe não chora muito e ninguém mais chora. O próprio pai abre a cova. Quando o homem é de alguma idade e foi bom, chora-se muito. Mas se, pelo contrário, foi ruim, só o pai, a mãe e os irmãos choram. Quando morre uma moça, todos vêm chorar, porque a mulher é boa e faz comida para os homens. Quando morre um homem, seu pai paga quatro facões, dois machados, cinco facas, dois arcos e muitas flechas àquele que faz a cova. Não acredito que estes números sejam fixos e, por certo, Baleado tomou um caso particular qualquer como regra universal.
Baleado resolveu dar exemplos concretos: Purkuite, moça, filha de Pentukre, morreu em Krionhire. Aktote (11, 3a) fez a cova, recebendo vários objetos do pai da moça. Aktote distribuiu tudo o que recebeu: ao Keti Teteteti (X-11), seu pai, deu um machado; a Prompronunte, seu irmão, deu um facão e um arco; a Kuarhure (10, 3o), um facão e uma faca; a Baleado (atonte), uma faca; à mãe de Baleado (Katuré Prinre), um facão. Katuré Prinre era ananré de Aktote. Deu um arco a seu irmão Kruptuiti Aikapatete; a Purpramre (3r), irmã, um machado, uma faca e um facão. Terure (X-4), sua mãe, recebeu amendoim; o inhame ficou para Uuture Terure (X-4), Katuré Prinre (X-5) e Aikrekaraté (X-2, irmã [MZD] de Baleado). Se Aktote passou tudo para os parentes sem ficar com nada, por sua vez Pentukre recebeu muita coisa de parentes a fim de pagar a Aktote. Uaire (X-25) lhe deu dois arcos, dois machados, duas facas, uma cabaça, um facão. Katititi, seu irmão, deu-lhe um arco e flechas. Txore, seu apararé, deu-lhe duas facas, dois facões, amendoim, inhame. Embora os parentes que deram e receberam presentes possam estar corretos, não acredito que Baleado ainda se lembre do número de objetos dados e recebidos por cada um. Interessante é notar que o cavador da cova era parente da morta e, por isso, os presentes circularam entre aparentados (pp. 312-313).
O pai de Baleado morreu em Krionhire. Krokrute fez a cova e recebeu de Baleado quatro machados, três arcos, um cachorro, mutupi (mandubi, amendoim?) e seis facas. Krokrute era irmão de Porhure (2a), que era mulher de Baleado. Distribuiu o que recebeu entre seus parentes: Krikrire (2n), seu irmão; Intxerore, intxumre; Pakãnanré Pembe-kui (16), sua katuré; Tureire (X-22), sua katuré. Nada deu a Porhure. Baleado, por sua vez, recebera o que deu de Iompite (intxumte, irmão do pai de Baleado), Kupenti (katui), Kuiarire (intxumré de Baleado e ituaré de Iompite), Atete [Aktote?] (apararé). Baleado, como filho mais velho, pagou para enterrar seu pai (p. 313). Se Iompite era intxumte de Baleado, deve ser outro que não Iompire (X-9), irmão de sua mãe.
Quando a mãe de Baleado morreu, ele e os irmãos pagaram ao cavador da cova, que foi Rompokre, filho de Parhite Ietxokranti (que não foi o que deu nome a Nakute). A intxekó, a ananré, o keti mandaram coisas para os filhos da morta (para darem a Rompokre, certamente). Rompokre deu o que recebeu para Kohote (keti), Kokakire (intxê), Oronore (aton), Kukranre (akamtere). Kokakire é atoin de Kohote e Kukranre é filho de Kohôte. Deu ainda a Parkute (atointe) e a Aronkuite (ituamenti, ikrá) (pp. 313-314).
Referindo-se à morte de seu pai, Baleado disse que o filho guarda o arco e as flechas do pai falecido, mas não as usa. Faz outras para si, pois as suas próprias usou para pagar a abertura da cova do pai. Quando, porém, outros trabalham para o filho, na roça por exemplo, dá então a eles o arco e as flechas do pai. Parece que Baleado se referia aí ao que ele mesmo fez quando morreu o pai (p. 314).
O morto é enterrado o quanto antes possível, porque os caboclos têm medo do mekaron. Os parentes choram alguns dias, depois dos quais o cavador da cova é chamado à noite, quando recebe os presentes. Ajudado por outras pessoas, leva os presentes para sua própria casa, onde os distribui entre seus parentes, ficando sem nenhum. Note-se que Baleado deu muita coisa ao cavador da cova de seu pai, porque este era velho (p. 314).
Disse Baleado que o mekaron, depois da morte, sobe e parece que vai para o céu. Perguntei-lhe onde ficava o mekaron quando o indivíduo está vivo, mas ele não soube me dizer. Respondeu que somente Aktote sabe estas coisas. Aqui na aldeia faltam velhos; eles é que sabem dessas coisas; Kumtinum (19) não sabe porque é “burro”. O mekaron, de dia, fica no mato ou na sua roça. De noite, os mekaron se aproximam da aldeia. O mekaron do pai e o da mãe vêm apertar o pescoço do filho. Baleado dorme pouco à noite porque tem medo de que o mekaron de Totoré (X-3, 1k) venha buscar Txontapte, filho dela, pois se este morrer não tem mais menino para buscar água (como já foi dito acima). Para evitar o mekaron, o “caboclo” canta, grita, principalmente quando tem filho bonito e que não quer perder. De dia pode dormir à vontade, que não tem perigo. O mekaron não vai à casa onde há barulho, mas vai às outras, onde há o silêncio do sono. O cachorro com seus latidos também espanta o mekaron. Por isso é bom ter muito cachorro (pp. 314-315).
Falando ainda de sepultamento, Baleado disse que se coloca milho, mandioca, mutupi (mandubi, amendoim?), banana, inhame, uma cabaça, um facão e uma faca na cova do morto. Isso é para o mekaron comer, pois senão ele irá comer na roça nova, e as plantas morrem. Se não colocar um facão e uma faca que tenham pertencido ao morto, o mekaron deste faz a pessoa que os usa se cortar profundamente. O morto vai coberto de urucum; Baleado não sabe por quê. O morto é enterrado nu (p. 317).
A esposa do prefeito de Itupiranga, ao descrever o sepultamento de um menino, a que assistiu ao visitar a aldeia, no tempo em que as enfermidades estavam dizimando os Gaviões, disse que a cova era redonda. Nela se pôs uma camada de mandioca coberta com uma esteira, outra de milho também coberta com outra esteira, e ainda outros alimentos igualmente dispostos, até alcançar o nível do chão. Então colocaram o defunto também envolvido em esteira e cobriram com terra, alisando-a bem, de modo a tomar forma de uma semiesfera (p. 180). Os Krahô, entre os quais, realizei pesquisa posteriormente, não põem alimentos na sepultura. Porém, alguns dias após o funeral, não raro o mekaron do falecido se manifesta junto a um vai (xamã), dizendo que está com fome. Seus parentes, por este comunicados, preparam uma refeição, que dispõem sobre um jirau do lado de fora de uma casa, dentro da qual aguardam. O xamã vai buscar o mekaron e o assiste enquanto ele come. Terminada a refeição, a comida está aparentemente intacta, mas inaproveitável para os vivos, porque o karon dos alimentos foi retirado (Melatti, 1978, pp. 114-118).
Cotidiano Alimentação
Quando nos retiramos da aldeia, estávamos muito magros. No entanto, fomos alimentados, sempre chamados para comer. Não me recordo da quantidade de alimentos que levamos e nem sei especificá-los. Algo como feijão, arroz, açúcar, enlatados e pacotes. Mas não acredito que teriam sido suficientes para nos manter. E assim como os Gaviões dividiam suas refeições conosco, também lhes oferecíamos o que tínhamos.
Se meu Diário nada diz do que levamos, contém, por outro lado, o que recebíamos. O mais frequente eram os inhames, enormes, de formato indefinido, assados com sua casca, que retirávamos ao comer. Sugerimos então que descascassem os inhames e cozinhassem seus pedaços em água, de modo que nela se desmanchassem, fazendo uma sopa, na qual podíamos acrescentar algum tipo de pozinho em pacote, sopa de salsa, como fez Roberto inicialmente (pp. 26, 31, 57 e outras). A ideia teve boa aceitação, tanto que tempos depois surpreendi Kaututuré tomando uma sopa de inhame com açúcar (p. 106)! A sopa também foi aceita pelos moradores da aldeia que voltavam de viagem, ausentes que estavam quando iniciamos a pesquisa (p. 301).
Mas havia outros alimentos; animais abatidos na caça, por exemplo. Para ficar apenas naqueles maiores, durante nossa presença na aldeia foram abatidos três veados, todos trazidos por Kaututuré, um deles bem grande (pp. 51-52, 153 e 329). Desses veados foi também tirado o couro, destinado à venda. A carne não foi toda consumida de uma vez: uma parte, seca ao sol, foi incluída em refeições de dias posteriores. Foram abatidos oito porcos: quatro por Kaututuré (dois porcos e um filhote, numa caçada em que foi acompanhado por Roberto; depois outro, dividido com os brancos que o acompanhavam); dois por Nakute, um pequeno por Zanoi e outro por Aktote (pp. 21, 39, 228, 244 e 260). O couro dos porcos também era exposto ao sol, e a carne não era toda consumida imediatamente. Os porcos abatidos eram certamente caititus, não me informei, mas nada ouvi a respeito de bandos de queixadas. Foram abatidas duas antas. Uma, pequena, não sei quem matou (p. 188); outra, por Baleado, que ninguém foi buscar, talvez por estar muito longe (p. 284). E ainda quatro jacarés (pp. 144, 153, 227, 251). Talvez uns sete mutuns (pp. 34, 65, 265, 346, 349), uns quatro macacos (pp. 43, 66, 131, 319), uns poucos quatis e cutias. Não contei os jabutis, mais frequentes; quem nada conseguia geralmente trazia algum jabuti.
Informações de Kaututuré sobre a época em que aparecem as diferentes espécies de caça (pp. 44-45): no “verão” — seca — amkrore: porco (krô), ovo de jacaré. No “inverno” — chuva — tâmpti: anta (okrite), jabuti (kapranre), ovo de jabuti (kaprân-inkré). No ano inteiro: veado (iatxu), caititu (krore), mutum (putenti), jacaré (minre).
Na ocasião em que recebemos essas informações, ainda não tínhamos visto ninguém trazer da caçada um veado, um caititu, um jacaré. Aliás, Kaututuré disse que, nas noites de lua, não se pode caçar veados; eles não vêm; e até então todas as noites tinham sido enluaradas. Como estávamos no amkrore, já devíamos ter visto ovos de jacaré, mas Kaututuré disse que não havia ali por perto.
Disse-me Kaututuré que o caboclo caçava sozinho porque não havia cachorro. Se houvesse, todos caçariam juntos. Os novos, com os cachorros, perseguiriam o animal, enquanto os velhos, não podendo correr, esperariam que passasse por eles, matando-o. Disse que, indo à caça, cada um levava um arco e quatro flechas (p. 284).
Com os não-índios, os Gaviões se familiarizaram com a caçada de espera, para o que são indispensáveis a rede e a lanterna. Também adotaram a armadilha. Kakukre me levou até a armadilha que fez para gato selvagem, com a finalidade de tirar-lhe o couro, destinado à venda. Tratava-se de uma casinhola toda feita de paus, uns juntos dos outros, de modo que nada se avistasse no seu interior. Lá dentro havia um pau onde estavam espetados um ou dois peixes (não vi bem porque estava escuro). O pau saía fora da casinhola e a ele se prendia um outro pauzinho, de onde saía um fio que segurava a porta. Mexendo-se no pau onde estão os peixes, o pau a que está ligado o fio solta-se e faz cair a porta, à moda de guilhotina. A porta mais me pareceu ser feita de uma lasca de palmeira. Ela tinha o tamanho justo para dar passagem ao gato, e não acredito que ele pudesse se virar dentro da casa, de tão estreita que era (pp. 238-239).
Nossa pesquisa foi na estação seca. As águas do igarapé mais próximo já não corriam. Era uma fileira de grandes poças. Tomava-se banho na poça mais próxima, e a água para beber (cor de chá) era apanhada mais acima. Mais longe se pescava. Numa dessas pescas, foi apanhado um piraquê (p. 225). Segundo Doidinho (9), a pesca se realizava somente na estação seca. Antes não tinham anzol, os peixes eram apanhados com a mão ou com arco e flecha (pp. 353). Conforme a água ia secando e se tornando mais suja, os usuários íamos nos deslocando mais para cima. Felizmente, nos últimos dias da pesquisa, a estação das chuvas estava começando.
Também havia a coleta do açaí, da bacaba, da castanha. A última, com o diamante, constituía o centro da vida econômica da região. Para os Gaviões, apenas um alimento. Mas era o motivo da procura de suas terras e, em breve, também seria o centro de suas atividades.
As poças também eram utilizadas para colocar a mandioca para pubar. Parece que era uma atividade nova para os Gaviões. Nem tive a curiosidade de perguntar se a mandioca era brava ou macaxeira (aipim). De qualquer modo, a puba era prensada, deixando escorrer o líquido para o chão. Não havia tipiti. Nem ralador ou caititu (máquina de ralar de construção e uso sertanejo). O forno era uma grande forma de metal, semelhante a uma frigideira sem cabo, obviamente obtida dos não-índios, posta sobre o fogo. Havia dois fornos, mas um deles quebrado e abandonado. Quase todo dia, um dos casais, marido e mulher, trabalhava, desde a manhã até a tarde, em algumas das etapas da produção da farinha de mandioca: colheita das raízes, colocação delas numa poça do igarapé para pubar, retirada da puba depois de não sei quantos dias, colocação da puba no espremedor, transporte da puba espremida para o forno, onde era remexida com um rodo de madeira até soltar-se torrada como farinha.
Mais tradicional era o outro forno, chamado kia, também em número de dois. Eram os lugares, na borda da aldeia, onde se aqueciam pedras numa fogueira, depois colocadas em cima de embrulhos de folha de bananeira que continham carne envolvida em massa de mandioca. Esses bolos são chamados kupu. Nunca cheguei perto de um forno desses para vê-lo e descrevê-lo!
Vi uma vez Tunure Krepoire fazer beiju, colocando pedras quentes dentro do pilão onde havia milho pilado e água (p. 165).
Vegetais cultivados
Disse-me Aprororenum que, quando os Gaviões eram bravios, já plantavam mamão, banana, mandioca, amendoim, batata, inhame, kupá (entre os Craôs é o nome de um cipó comestível), feijão, milho branco, milho preto, milho vermelho, pimenta, urucum, cabaça, abóbora, kurpeite (parecido com a macaxeira, vermelho). Por outro lado, não tinham macaxeira, manga, laranja, limão (estes dois nem os tinham ainda, parece), cana de açúcar (também não), sal. O sal que tinham era tirado das cinzas do auar-póre, ou auararê-póre, ou karikti-póre (tudo a mesma coisa; póre é tronco), vegetal de que faziam também o kroa kahoko (uma das variedades rituais de toras de corrida). A batata, o inhame, a mandioca, plantavam-nas no amkróre (estação seca), sendo que a batata era plantada antes mesmo da derrubada. Já utilizavam machados de ferro para fazer a derrubada; não se lembrava de ter visto derrubada de outra maneira. Negou a existência de machados de pedra. Falou, certamente brincando, que, quando a árvore era fina e o índio não tinha machado, ele a roía com os dentes. Na verdade Aprororenum já era do tempo do machado de ferro e não sabia como se fazia antes (p. 148).
Variedades de batata doce (p. 240):
Jot-krote – batata pequena;
Jot-kaprikre – batata pequena alaranjada;
Jot-hitxumre – batata comprida e pequena.
Variedades de inhame (p. 240):
Impokaprikte – inhame parecido com um aglomerado de batatas andinas, branco;
Impokaprote – inhame parecido com um aglomerado de batatas andinas, cor de púrpura;
Krempeire – inhame parecido com batata doce pequena;
Krehokti – inhame parecido com uma batata andina enorme.
Disse Zanoi que o milho cresce em três luas. Durante essas três luas, os homens não fazem arco nem flecha porque o milho fica seco se o fizerem; não podem comer carne quente, mas só fria e assim mesmo, para comê-la, só usam a mão esquerda, porque com a direita plantam o milho, depositando os grãos nos buracos. Podem comer porco, veado e caititu, mas não arara, cutia e quati. Quanto ao jabuti, não há tabu algum. Se o homem comer carne com a mão (direita), o milho morre. As mulheres não seguem estes tabus porque não plantam milho. Agora, como há colher, o caboclo pode comer com a mão direita, mas de colher, durante os três meses de crescimento do milho. Não pode nunca, em tempo algum, comer veado pequenino ou tatuzinho, pois o milho cairia todinho. As mulheres não seguem esse tabu (pp. 268-269).
Quando o homem planta amendoim, não pode comer gordura durante cinco luas, sob pena de o amendoim morrer. O amendoim se planta na mesma época do milho. As mulheres não seguem o tabu (p. 269).
Primeiro se planta a mandioca, batata, inhame, banana; depois, quando a chuva vem, planta-se o milho. Quando o milho está pronto para ser colhido, o capitão, em conversa com todos, à noite, diz que no dia seguinte o milho será colhido. No dia seguinte, de manhã cedo, os homens colhem o milho e o amarram nos paus das coberturas das casas. No mesmo dia são cortados as Kroapeie (toras boas, bonitas). Ainda no mesmo dia, os homens dançam às cinco horas da tarde, e de noite os homens cantam a música das Kroapeie. Na manhã seguinte trazem correndo as Kroapeie divididos em Hok e Pane. No mesmo dia, uma mulher velha assa milho no fogo de sua casa. Ela come, o marido come e todos os velhos e velhas da aldeia também vão à sua casa comer o milho. E assim fazem durante quatro dias, depois dos quais todos podem comê-lo, as mulheres assando-o nos kia. A mãe (3z) de Alzirona (21, 3b) já tinha sido velha que assou milho pela primeira vez, depois da colheita (p. 269).
Uma ideia que sempre me vinha à cabeça, quando perguntava sobre roças ̶— tamanho da área, por quanto tempo produzia, quanto tempo levava para se recuperar e voltar a permitir outro plantio, distância da aldeia ̶— era a aplicação de dois artigos de Robert Carneiro. Só guardei o título de um deles, que traduzi na minha ficha de leitura para o português: “Agricultura de coivara: Uma consideração detalhada de suas implicações sobre os padrões de povoamento” (Carneiro, 1960). Lidos no curso de especialização que eu fazia no Museu Nacional, tinha-os como guia para propor a extensão que deveria ter uma área a ser destinada aos Gaviões. O autor procurava demonstrar que era possível a um grupo indígena instalado numa área, permanecer nela, fazendo rodízio de roças, sem precisar migrar. Mas Carneiro não incluía nos seus cálculos as atividades de caça, pesca e coleta. Felizmente abandonei a ideia (pp. 116-117, 123, 138, 142, 148, 242, 273).
Artefatos
Em meu escritório, no alto da parede, ainda tenho expostos um arco e três flechas feitos por Kaututuré, esquecidos e malcuidados. Aprororenum fez um jogo semelhante para Roberto. E vi Kaututuré preparar um ou mais para pôr à venda. Também Cacaraúna os fazia. São peças montadas com matéria-prima tirada da floresta: a madeira para o arco e a vara dianteira das flechas, que é embutida num bambu, que faz a parte traseira do corpo das flechas; fita vegetal (pakate) para envolver as emendas da flecha; ossos de veado, não chifres, para a confecção da ponta; e penas para o extremo oposto; fibras de folhas de ronti-hô para fazer a corda do arco e também revestir um terço de seu corpo plano-convexo, ornamentado com um pequeno tufo de fibra e penas miúdas (pp. 10, 35, 39, 44, 52, 54, 58, 60, 61, 64, 66, 71, 72, 73, 74, 75, 82, 93, 95, 99, 120, 125, 128, 131, 133, 139, 141, 150, 151, 161, 165, 213, 220 e 223).
Ronti é a palmeira de cujas folhas (hô) se tira a matéria-prima destinada à confecção de muitos artefatos, como cordas, esteiras, cestos, paneiros. De seu tronco se fazem as toras de corrida.
Observação do céu, mito, xamanismo e história
Distintas passagens tomadas do Diário parecem apontar as relações entre os fatos do céu, os mitos, o xamanismo e decisões que afetam seu destino.
Em 25 de agosto, ao anoitecer, como se formassem faixas rosa e azul no céu, de oeste para leste, Aprororenum disse ser aquilo caminho de anta. As antas são jogadas do céu para o caboclo caçar (p. 38).
Depois da meia noite (26 de agosto) fomos acordados: Katire (Lua) tinha morrido. Tratava-se de um eclipse. Os índios (eram então apenas seis) tomaram paus da fogueira e começaram a dançar, sacudindo-os no ar. Lua estava zangado (suponho ser do gênero masculino, tal como entre outros Timbiras). Os índios gritavam por ele. Kaututuré dizia que ia caçar porco, mas não captei o motivo. Aprororenum dizia que Katire estava zangado porque os caboclos comeram muita gordura. Disse também que Lua estava atravessando o caminho do Sol. Quando viram que Lua ia ficando cada vez mais claro novamente, sossegaram. Durante o acontecimento, Nakute e as duas mulheres de Kaututuré nada fizeram (pp. 37-38).
Em uma oportunidade posterior, Roberto começou a perguntar quem tinha aparecido primeiro, se Put (Sol) ou Katire. Surgiu assim o mito de criação do homem, dos animais e das plantas, contado por Aprororenum e completado por Kaututuré, ou seja, contado pelos dois juntos (p. 58):
Primeiro Katire apareceu. Vinha uma cabaça boiando na água. Put tirou-a da água, quebrou-a e caboclo saiu. Quem quis ser caboclo foi ser caboclo, quem quis ser kupẽ, foi ser kupẽ. Put esquentou caboclo, que estava com frio. Katire pegou a mão de caboclo e este morreu. Katire não presta. Katire mata caboclo. Put é branco, parece luz. Put bebe em água pequena, não é em água grande não. Katire é zangado. Put ensinou caboclo a caçar e a copular. Caboclo tirou o fogo da onça. Velho ensinou caboclo a fazer arco e flecha, mãna (?) (p. 58).
Caboclo se transformou em anta, em jabuti, em onça, em todos os animais. A mãe de caboclo chorava; não adiantava não. Caboclo virava jabuti e ia embora; virava anta e ia embora; virava porco e ia embora (p. 58).
Caboclo também virou castanha, virou coco. Kupẽ (não-índio) é caboclo (p. 58).
Put guardava jabuti. Jabuti grande. Put bebia em água pouca. Katire foi tirar jabuti. Put disse: não tira jabuti não. Katire tirou e a água saiu: fez rio, igarapé (p. 58).
Ninguém fez a água (p. 58).
Roberto também procurou tomar o nome de estrelas. Conseguiu as seguintes: Katire Teteteré, Katire Apriporore, Katire Kaprire (planeta Marte?), Katire Kroto (planeta Vênus?). A Via Láctea é chamada de Kapure (caminho de anta, tal como as faixas rosa e azul que vimos preceder a noite do eclipse). No interior de uma de suas manchas escuras está Katire Apriporore. E, desta afastada para leste, fora da Via Láctea, está Katire Teteteré (p. 59).
Ajudado pelo Capitão Velho Kumtinum (19), Doidinho (9) me contou a história da criação do Mundo, muito mal, pois parece até que a ouvia pela primeira vez. Disse que sua mãe já lhe contara, mas que ele esqueceu.
Primeiro só havia Ihojê, Lua e o Sol. Veio uma cabaça pelo rio. O Sol apanhou. Havia homem. O Sol guardou; não mexeu não. Veio outra. Havia mulher. Ele guardou. Depois de virem dez cabaças, Katire matou gente. O Sol se zangou com ele e subiu. Lua viu o Sol e subiu também. Mas eles se evitam no céu. Segundo Doidinho, foi Ihojê que fez as cabaças com os homens e as mulheres (p. 341). Nada indaguei sobre Ihojê, quem era exatamente.
Os que vieram para a aldeia ficaram caboclos, enquanto os que atravessaram o rio, flutuando em paus secos, ficaram kupẽ. Então não havia motor nem avião (p. 341).
Os meninos estavam brincando na beira do rio de pintar a água. A água ficou vermelha e, por isso, o rio se chama Put (p. 341).
Soube também de Doidinho que a aldeia não ficou na roça velha porque faltou água. Disse também que Krionhire brigou com Katxarutê, e Ronhore veio em ajuda da primeira. Ambas atacaram Katxarutê, quando então foi morto Iamrite (X-35), paizinho de Kaututuré (1). Os atacantes fugiram todos para Ronhore, enquanto os de Katxarutê fugiram para cá. Quando eles foram a Katxarutê novamente, verificaram que os inimigos tinham roubado tudo (p. 342).
Só se canta para Katire. Não se reza ao Sol nem a Ihojê. O vai (xamã) reza ao Sol. Quando o vai está para morrer, mekaron ensina outro a ser vai. Em Katxarutê, o vai aconselhou os caboclos a procurarem outra terra porque aquela estava ruim. Os caboclos saíram. Ele ficou sozinho e fez mal. Morreram muitos caboclos doentes, e o vai mesmo morreu no dia seguinte. Foi um outro vai que disse que o primeiro tinha feito mal, porque mekaron lhe contou (pp. 341-342).
Termino aqui, sem ter como comentar esses retalhos.

Referências
Araújo, Leopoldina. 2016. Dicionário Parkatêjê-Português. Belém: Edição da Autora. Contém uma seção de Nomes Próprios (pp. 265–310).
Arnauld, Expedito. 1964. “Notícia sobre os índios Gaviões de Oeste – Rio Tocantins, Pará”. Boletim do Museu Paraense Emílio Goeldi, Belém, Nova Série, nº 20.
Borges, Júlio César. 2014. Feira Krahô de Sementes Tradicionais. Tese de doutorado, Universidade de Brasília.
Carneiro, Robert. 1960. “Slash-and-burn agriculture: A closer look at its implications for settlement patterns”. In Men and cultures, editado por A. F. C. Wallace, 229–234. Philadelphia: University of Pennsylvania Press.
Ferraz, Iara. 1984. Os Parkatêjê das matas do Tocantins: A epopeia de um líder Timbira. Dissertação de mestrado, Universidade de São Paulo.
Laraia, Roque de Barros, e Roberto DaMatta. 1967. Índios e castanheiros: A empresa extrativa e os índios do Médio Tocantins. São Paulo: Difusão Europeia do Livro.
Laraia, Roque de Barros, e Roberto DaMatta. 1979. Índios e castanheiros: A empresa extrativa e os índios do Médio Tocantins, 2ª. ed. Rio de Janeiro: Paz e Terra.
Melatti, Julio Cezar. 1978. Ritos de uma tribo Timbira. São Paulo: Ática.
Murdock, George Peter. 1949. Social structure. New York: Macmillan.
Nimuendajú, Curt. 1946. The Eastern Timbira. Berkeley; Los Angeles: University of California Press.
Toprãmre Krõhôkrenhũm Jõpaipaire. 2011. Isto pertence ao meu povo. Marabá: GKNoronha.
Información adicional
redalyc-journal-id: 5998