Recepción: 13 Enero 2014
Aprobación: 07 Abril 2015
Resumen: El objetivo del presente trabajo es analizar el comportamiento del consumo de gasolina por decil de ingreso de los hogares en México de 1984 a 2010 y, a partir de un análisis econométrico, evaluar el impacto del precio de la gasolina, el ingreso de los hogares y el número de vehículos en la demanda de gasolina por grupos de ingreso. El análisis se realiza con base en la información de la Encuesta Nacional de Ingreso y Gasto de los Hogares (ENIGH). Los resultados muestran que el gasto en gasolina es heterogéneo y que el ingreso es una variable significativa para los deciles de más bajos ingresos. El precio de la gasolina resultó ser una variable significativa para todos los deciles; sin embargo, los sectores que más consumen son inelásticos al precio del combustible. Estos resultados sugieren que una política de aumento sostenido en el precio de la gasolina impactará más a los hogares de bajos ingresos que cuentan con vehículo y no representará una reducción importante en el consumo de gasolina.
Palabras clave: gasolina, decil de ingreso, precio, modelo econométrico, Clasificación JEL: C50, D120.
INTRODUCCIÓN
Una gran cantidad de estudios a nivel nacional e internacional sobre el consumo de gasolina han analizado las variables que explican su dinámica. Sin embargo, poco se ha estudiado acerca del consumo de gasolina por grupos de ingreso en una población y cómo las variables que lo determinan tienen efectos diferenciados en cada grupo. Lo anterior tiene implicaciones para el diseño y aplicación de las políticas públicas que, en general, no toman en cuenta la heterogeneidad de ingresos de las familias. Así, para ayudar a llenar este vacío en la literatura empírica, el presente artículo tiene como objetivo analizar las tendencias del consumo de gasolina por decil de ingreso de los hogares en México de 1984 a 2010 y evaluar si existe un consumo heterogéneo por decil de ingresos. Asimismo, se busca determinar si las variables que típicamente determinan el consumo, tales como el precio y el número de vehículos, tienen impactos diferenciados por grupo de ingresos en México.
Nuestro trabajo reporta elasticidades ingreso y precio respecto a la demanda de gasolina para el conjunto de la población. Este resultado es importante para conocer la disminución o aumento de la demanda de gasolinas a partir del cambio de dichas variables y sus consecuentes emisiones de gases de efecto invernadero. No obstante, desde una perspectiva distinta, los resultados del estudio también son relevantes para evaluar el impacto que pudiese tener en los diferentes grupos de ingreso la elevación del precio de la gasolina, ya sea por motivos de mercado, de recaudación fiscal o a partir de impuestos del carbono derivados de una política ambiental para reducir emisiones contaminantes o de gases de efecto invernadero.
Para llevar a cabo este análisis, se utilizan datos de la Encuesta Nacional de Ingreso y Gasto de los Hogares (ENIGH) del Instituto Nacional de Estadística y Geografía (INEGI) y del Sistema de Información Energética (SIE) de la Secretaría de Energía (SENER) para construir series de tiempo anuales, por decil de ingreso, para el consumo de gasolina, los ingresos por familia y el número de automóviles. Dado que los datos de la ENIGH son bianuales, se interpolaron linealmente los datos faltantes para tener series completas de 1984 al 2010. Esta base de datos nos permitió estimar un modelo de series de tiempo multivariado como base para la obtención de las elasticidades relevantes.
Asimismo, para hacer más robustas nuestras estimaciones, también se estimó un modelo de panel del consumo de gasolina por decil de ingresos. Cabe destacar que los resultados de ambos modelos son consistentes y sugieren que el crecimiento de la demanda de gasolina para todo el universo de hogares en México es efectivamente heterogéneo y puede explicarse principalmente por las variaciones en el ingreso, y en menor medida por el precio de la gasolina y el número de automóviles. Específicamente, el ingreso es una variable explicativa del consumo de gasolina exclusivamente para los deciles II, IV y V, mientras el precio de la gasolina afecta a todos los deciles, pero tiene un valor mayor para el caso de los deciles I, II y III (donde el decil I es el de menor ingreso). El número de autos es una variable significativa sólo para los deciles II y IV. Como las elasticidades son heterogéneas entre grupos de ingreso, es necesario llevar a cabo un análisis desagregado de la demanda que conlleve a plantear políticas públicas diferenciadas.
El artículo está estructurado como sigue. En la segunda sección se discuten brevemente algunos de los hechos estilizados más importantes sobre el tema. En la tercera, se presenta la metodología para el análisis empírico. El siguiente apartado revisa los patrones estadísticos presentes en los datos que son útiles para modelar el consumo y también para la interpretación teórica. La quinta sección reporta los hechos estilizados y en la última sección se reportan los modelos con los principales hallazgos.
LITERATURA EMPÍRICA SOBRE EL CONSUMO DE GASOLINA
El análisis de la demanda de gasolina es relevante dado que, después del gas natural, es el combustible que mayor crecimiento ha observado en las últimas décadas en México (véase la gráfica 1). Adicionalmente, un mayor consumo de gasolina genera impactos significativos ambientales, en particular emisiones de gases de efecto invernadero (GEI), y afecta de manera negativa la balanza de pagos. Entre 1990 y 2011, el consumo de gasolina creció en 66%, a una tasa de 2.4% anual (SENER, 2013). A pesar del reciente incremento en el consumo, la capacidad nacional de producción de gasolina se ha mantenido constante desde hace tres décadas, provocando un incremento en las importaciones. En 2012, las importaciones de gasolina representaron 49% del consumo nacional de este combustible, lo que significó una erogación de 19 mil millones de dólares, cerca de 40% del valor de las exportaciones de petróleo crudo (SENER, 2013).
Entre los factores más importantes que tradicionalmente explican el incremento en la demanda de gasolina, en la última década, sin duda se encuentran los precios y el ingreso de las familias. Sin embargo, el acelerado crecimiento de la flota vehicular en nuestro país también ha jugado un papel determinante. De acuerdo con el INEGI, entre 1991 y 2012 el número de vehículos privados pasó de 6.6 millones a 22.4 millones respectivamente. Por otro lado, el rendimiento de los vehículos nuevos tan sólo aumentó en 6% entre 1988 y 2008 (Sheinbaum-Pardo y Chávez-Baeza, 2011).

Existen otros estudios que profundizan en al análisis de las variables explicativas del consumo de gasolina en México pero la mayor parte no hacen énfasis en la heterogeneidad del consumo por grupos de ingresos. Por ejemplo, Eskeland y Feyzioglu (1997) especificaron un modelo econométrico sobre vehículos por hogar para la Ciudad de México. Galindo (2005) explica que todos los tipos de demanda de energía son sensibles al precio en el corto y largo plazos, excepto el sector residencial, determinando que un impuesto sobre la energía es posible a partir del uso de precios relativos como un instrumento exógeno para controlar la demanda de energía, pero costoso en condiciones actuales de política de control energética.
Johnson et al. (2009) explican que el consumo de energía del sector transporte de la economía mexicana se cuadruplicó entre 1973 y 2006, y el parque vehicular se triplicó entre 1996 y 2006, asumiendo que el parque vehicular crecerá los próximos 25 años a causa de un aumento en el ingreso per cápita, el acceso al crédito de vehículos y el bajo costo de los combustibles. Reyes (2012) desarrolla un estudio donde considera que los precios de la gasolina y el diesel son bajos en comparación con los países que pertenecen a la Organización para la Cooperación y el Desarrollo Económicos (OCDE), y que existe una fuerte dependencia del consumo de gasolina con el comportamiento del ingreso y la baja sensibilidad a los precios de la gasolina. Por su parte, Caballero (2012) presenta una evaluación para la implementación de impuestos verdes a la gasolina.
Crôtte, Noland y Graham (2010) estudian las elasticidades de la demanda de gasolina en México y en la Ciudad de México y encuentran que el valor de la elasticidad del precio es menor en nuestro país que en estudios desarrollados en otras partes del mundo. Asimismo, sugieren mayor intensidad en el uso del automóvil y muy poca sustitución entre transporte individual y público.
Algunos estudios recientes sobre demanda de gasolina en otros países son, por ejemplo, el de Broadstock y Papathanasopoulou (2015), que estudian la importancia relativa de variables diferentes al precio en Grecia, para explicar la demanda de gasolina a partir de un modelo estructural de series de tiempo y encuentran la importancia del uso intensivo del automóvil como parte del cambio en los estilos de vida.
Por su parte, Wang y Chen (2014) analizan la variación de la elasticidad del precio de la gasolina en la distancia recorrida por diferentes grupos de ingreso en Estados Unidos, para el año 2009, a partir de un sistema de ecuaciones endógeno. Los niveles más altos de ingreso mostraron más altas elasticidades que los niveles más bajos. El estudio también sugiere impactos negativos en los grupos de bajos ingresos por el incremento en el precio de la gasolina.
Wadud, Graham y Noland (2009) estudian el impacto del precio de la gasolina en diferentes grupos de ingresos en Estados Unidos para probar la heterogeneidad en la respuesta a la demanda. Los resultados muestran que las elasticidades varían de acuerdo al grupo de ingresos y muestran una curva tipo U. El quintil más bajo en los ingresos muestra una mayor elasticidad al precio
En general, nuestra revisión de la evidencia empírica muestra hallazgos relevantes sobre los posibles determinantes de la demanda de gasolina. No obstante, se encontró que en la literatura existe poco énfasis en analizar los posibles impactos diferenciados de los precios del combustible sobre el consumo del mismo, dada la gran heterogeneidad de ingresos de los consumidores en países emergentes como México.
METODOLOGÍA Y DATOS
Análisis de las ENIGH
Se utilizaron los microdatos concentrados de la ENIGH para 1984, 1989, 1992, 1994, 1996, 1998, 2000, 2002, 2004, 2005, 2006, 2008 y 2010 (INEGI, 2013) para conocer el ingreso monetario trimestral, el número de autos (sin contabilizar vehículos de carga como pick up) y el gasto monetario trimestral en gasolina con sus factores de expansión (véase el cuadro 1). Los datos se ordenaron de menor a mayor respecto al ingreso por hogar, y se dividió en conjuntos de diez para obtener los deciles con su respectivo factor de expansión. Se eliminaron los hogares con ingreso y gasto monetario en gasolina cero ya que no representan significancia estadística en el análisis. Dado que el ingreso por hogar está en pesos corrientes, se deflactaron los datos de cada año con base en el Índice Nacional de Precios al Consumidor (INPC) (diciembre 2003 = 100). Finalmente, se asume que el gasto en gasolina reportado en la ENIGH es equivalente a la demanda de gasolina en pesos.

La ENIGH es una encuesta representativa de los hogares a nivel nacional en estratos urbanos y rurales. Su metodología como encuesta de gran escala respecto a su periodicidad de elaboración y muestreo longitudinal en periodos de tiempo permite construir series de tiempo. El diseño muestral de esta encuesta permite estimar parámetros poblacionales estadísticamente significativos (Rao, 2000; Pérez et al., 2007; Huerta, 2010). Según Wadud, Graham y Noland (2009), la clasificación con base en rangos de ingreso permite medidas de distribución fijas en el tiempo, lo que determina uniformidad y buena representatividad para estimar como ciertos factores, como los precios de los combustibles, pueden cambiar los patrones de demanda en el corto y largo plazo.
Precios de la gasolina
El precio de la gasolina se calculó haciendo uso de un promedio ponderado por el consumo de los precios corrientes de las ventas por litro de gasolina Nova, Extra, Magna y Premium, de 1984 a 2010. Para deflactar se utilizó el promedio anual del INPC con base diciembre 2003 = 100. La información de los precios de la gasolina se obtuvo del Sistema de Información Energética (SENER, 2013) y el INPC del Banco de México (2013).1
Modelo econométrico
Dado que las series de demanda, precio e ingreso no son estacionarias, para determinar las elasticidades ingreso y precio de la demanda de gasolina se utilizo el método de Johansen (1988; 1992; Engle y Granger, 1987) para obtener los vectores de cointegración que representan las ecuaciones de largo plazo. Para ello, en primer lugar se estima un modelo de vectores autorregresivos (VAR) estadísticamente apropiado, para lo cual se elige el número de rezagos del VAR con base en el criterio de Akaike. Posteriormente, el modelo VAR se mapea como un vector de corrección de errores (VECM por sus siglas en inglés) que sea estadísticamente apropiado en términos de las pruebas clásicas de los supuestos del modelo tales como la normalidad, la no autocorrelación y la homocedasticidad. Aplicando las pruebas de raíces unitarias Dickey-Fuller Aumentado (ADF por sus siglas en inglés) y Phillips-Perron (PP) para las series por decil, se concluye que son I(1) a un nivel de significancia estadística de cinco por ciento.
La variable dependiente es el gasto en gasolina anual de los hogares como una función del número de autos, el ingreso y los precios de la gasolina, todo en logaritmos naturales, lo cual permite obtener elasticidades de largo plazo por hogar para cada decil. Es importante mencionar que se interpolaron linealmente los datos faltantes para obtener las series anuales cuando fue necesario.
La especificación de los modelos VECM por decil son de la siguiente forma:
[1]donde:

Expresión en la cual gt representa el gasto en gasolina para el periodo t; yt el ingreso total monetario; at el número de automóviles por hogar del decil correspondiente; pt los precios de la gasolina, asumiendo que todos los deciles toman los mismos precios de referencia, y εi el término de error. Las letras en minúsculas representan las series en logaritmos. La longitud del rezago de las variables dependientes e independientes (n) es determinado por el número de rezagos necesarios para una estimación paramétrica correcta y por el criterio de Akaike. Para cada decil de gasto se valora el significado de las diferentes variables independientes.
De acuerdo a la literatura, se espera una relación directa de las variaciones del consumo (gt) con el ingreso (yt) y con el número de autos por hogar (at). Asimismo, se espera una relación inversa con los precios (pt). La verificación empírica de la existencia de dicha relación inversa es la base de una política energética para reducir el consumo de gasolina, pues un aumento del precio, mediante un impuesto, conduciría a una reducción del consumo del combustible, asumiendo que los hogares consideran el aumento en el costo en sus decisiones de consumo.
Finalmente, para verificar la consistencia de nuestras estimaciones, se usa un modelo de panel para el consumo de gasolina para los deciles de ingreso. Este modelo permite verificar si efectivamente hay heterogeneidad en el gasto en gasolina para los diferentes hogares. El método de estimación de los modelos de panel se determina mediante la aplicación de pruebas F de manera sucesiva para detectar la existencia de heterogeneidad individual no observable. Los métodos más usuales son el de efectos fijos y el de efectos aleatorios; el criterio estadístico para decidir cuál de ellos es más apropiado para los datos es la llamada prueba de Haussman.
TENDENCIAS GENERALES DE LA DEMANDA DE GASOLINA EN MÉXICO Y SUS DETERMINANTES
En esta sección llevamos a cabo un análisis preliminar de los datos de nuestra muestra, lo anterior con la finalidad de detectar patrones estadísticos útiles no sólo para la interpretación del modelo, sino también para la especificación de los componentes del mismo.
Tendencias del consumo de gasolina en México
Entre 1984 y 2011 el consumo de combustibles fósiles, incluyendo aquellos para la generación eléctrica y el consumo propio, creció a una tasa de 2.3% promedio anual. La gráfica 1 muestra el crecimiento por combustibles y la gráfica 2 por sectores.
Claramente puede apreciarse que el sector de más rápido crecimiento es el transporte y, en el caso de los combustibles, el gas natural y las gasolinas. El gas natural se usa principalmente en la generación eléctrica, el consumo propio del sector energético y la industria Por su parte, la gasolina se utiliza en un 99% para el sector transporte (1% al consumo propio).

La gráfica 3 muestra el crecimiento del consumo del autotransporte por combustible. Para 2011, la gasolina representó 71.4% del consumo de energía final del autotransporte.
De acuerdo con un estudio reciente (Solís y Sheinbaum, 2013), se estima que en el 2010 los autos privados demandaron 49% del consumo de gasolinas, seguido por las camionetas de carga (35%), los taxis (7%) y otros modos (8%).

Las emisiones de CO2 relacionadas con el consumo del autotransporte (estimadas a partir de la metodología del Intergovernmental Panel on Climate Change, IPCC) alcanzaron en 2011 el valor de 148 millones de toneladas (véase la gráfica 4), lo cual representó 19.8% de las emisiones nacionales de gases de efecto invernadero (GEI) para 2010 (INECC, 2012).

Tendencias del ingreso y número de autos en México
En esta sección se analizan los resultados para todo el universo de hogares. De acuerdo con el análisis de la ENIGH, entre 1984 y 2010 el número total de hogares en el país creció a una tasa promedio anual de 2.6%, pasando de 14.99 a 29.06 millones respectivamente.
Por su parte, el ingreso total trimestral aumentó a una tasa promedio anual de 3.0%, al pasar de 359 mil millones de pesos de 2003 en 1984 a 752.6 mil millones de pesos de 2003 en 2010. Sin embargo, el crecimiento no fue siempre constante (véase la gráfica 5).

El gasto total en gasolina de los hogares mexicanos (que es una aproximación al consumo) pasó de 9 352 millones de pesos de 2003 en 1984 a 24 510 millones de pesos de 2003 en 2010. En 26 años, el gasto real en gasolina creció 2.6 veces (véase la gráfica 6).

En el caso del número total de autos, pasó de 3.5 millones en 1984 a 13.7 millones en 2010.2 El crecimiento del número de autos por hogar, de 1984 a 2010, fue de 2.8% anual, registrando aproximadamente 0.47 automóviles promedio por hogar en 2010. La gráfica 7 nos permite observar una tendencia positiva del número de autos por hogar, con disminución en 2002 y 2004 respecto al 2000 y una recuperación de su valor en el año 2006. La reducción en el 2002 resulta difícil de entender. Es probable que exista una diferencia metodológica en la aplicación de la ENIGH; sin embargo, no tenemos suficiente información para saberlo, por lo que mantenemos la variable tal cual la reporta esta encuesta.

El comportamiento del precio de la gasolina en pesos constantes de 2003 se muestra en la gráfica 8. El nivel más alto del precio de la gasolina es el de 1987, pero el más bajo de todo el periodo se presentó en 1989.

Nota: los precios de la gasolina se obtuvieron a partir de ponderar la sumatoria del precio corriente por tipo de gasolina, asociado a la venta de barriles diarios por petrolífero, entre las ventas totales de barriles diarios por tipo de petrolífero; y deflactados con el INPC (diciembre 2003 = 100).
elaboración propia con datos obtenidos del Banco de México (2013) y Anuarios.TENDENCIAS POR DECIL
Tendencias del ingreso monetario de los hogares en México
El análisis por decil del ingreso monetario trimestral reportado en la ENIGH desde 1984 y hasta 2010 evidencia la desigual distribución del ingreso en México y su evolución. En el cuadro 2 se muestra el porcentaje del ingreso total que cada decil representa en el ingreso total para los diferentes años. Como puede observarse, no hay una tendencia clara en ninguno de los deciles; generalmente va cambiando el porcentaje respecto al nivel de ingreso para diferentes periodos. No obstante, es clara la alta concentración del ingreso, ya que el último decil de ingreso concentra entre 32% (en 1984) y 39% (en el 2000) del ingreso total, mientras el decil I tan sólo entre 1.5 y 1.8 por ciento del ingreso total. Para el 2010 los primeros cinco deciles sólo representaron 20% del ingreso total, mientras los últimos cinco el 80%, porcentaje similar para todos los años. El índice de Gini ha oscilado entre 0.46 y 0.48 para los años analizados.

Tendencias del número de autos por hogar
La gráfica 9 presenta la distribución total de autos por decil de ingreso. Claramente puede observarse como el mayor decil concentra la mayor parte de los vehículos, mientras muy pocos de los hogares de bajos ingresos tienen auto. Esto puede visualizarse mejor en el cuadro 3, donde se expone el número de autos por hogar para los diferentes deciles. Con excepción de una disminución en el número de autos en todos los deciles entre el 2000 y el 2002,3 la tendencia es creciente. Destaca, nuevamente, que sólo en el decil de altos ingresos, en promedio, existe más de un automóvil por hogar.


Tendencias del gasto en gasolina de los hogares en México
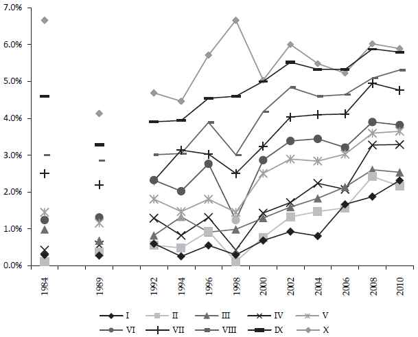
El gasto en gasolina total de los hogares mexicanos en gasolina por decil de ingreso se presenta en la gráfica 10. Aun cuando ha aumentado la participación de los deciles de bajos ingresos, la concentración es mayor en los deciles de altos ingresos. Para el 2010, del gasto total en gasolina, los deciles I al V concentraron tan sólo 15.7% del gasto total, mientras el decil X concentró 36%. Por otro lado, la gráfica 10 muestra el gasto en gasolina promedio por hogar. En este caso, destaca un mayor incremento en el gasto de los hogares de los deciles de bajos ingresos frente al de altos ingresos. Finalmente, el porcentaje del gasto promedio trimestral en gasolina de los hogares mexicanos por decil se presenta en la gráfica 11.


MODELO ECONOMÉTRICO
Elasticidades ingreso y precio de la demanda
En esta sección obtenemos estimaciones de las elasticidades de largo plazo del consumo de gasolina coherentes con la literatura previa. Dichas estimaciones se reportan en el cuadro 4, reflejando una relación positiva respecto al ingreso y al número de automóviles por hogar, y una negativa en relación con su precio a nivel nacional. El número de automóviles por hogar no resultó ser una variable significativa en el largo plazo en nuestro modelo. Cabe destacar que dichas elasticidades corresponden al vector de cointegración obtenido por el método de Johansen. En la mayor parte de los casos la prueba de cointegración de la traza sugirió la existencia de una tendencia lineal en el espacio de cointegración.

Nota: el valor entre paréntesis es la desviación estándar del coeficiente. La significancia global de las variables del modelo se valida mediante la prueba conjunta F. La prueba de normalidad usada es la de Jarque-Bera (JB). La prueba de no autocorrelación es la del multiplicador de Langrange (LM) con 2 rezagos. La prueba de heterocedasticidad se calculó con un modelo autorregresivo condicional (ARCH, usando un rezago. d00 es una dummy para el año 2000. La prueba de la traza de Johansen muestra que la especificación para el modelo incluye una tendencia lineal.
El cuadro 5 nos muestra las elasticidades de largo plazo por decil de ingreso. Estos resultados confirman que el consumo de gasolina es heterogéneo por grupos de ingreso y las variables explicativas afectan de manera diferenciada a los diferentes deciles. De hecho, como puede observarse, sólo el precio de la gasolina es significativo en todos los deciles. El ingreso solamente resulta significativo en los deciles II, IV, V y VI, y el número de autos únicamente resulta parte de la ecuación en los deciles II y IV. Este resultado puede tener su explicación por la variación (alta y baja) en el ingreso por decil, como se aprecia en la gráfica 9.


En el caso del ingreso, el resultado sugiere que el incremento en éste representará un aumento en el gasto en gasolina de los hogares, principalmente para el decil II, seguido por el VI, y, en menor medida, para los deciles IV y V. Para los deciles VII a X no hay relación alguna. Por otro lado, el gasto en gasolina tendría un aumento atribuible al incremento de autos por hogar sólo para los deciles II y IV.
En el caso del precio de la gasolina, el resultado muestra que los deciles que más se ven afectados por el alza en el precio de la gasolina son los deciles de más bajos ingresos; sin embargo, para los deciles de altos ingresos, el gasto en gasolina si responde al aumento en el precio, pero de forma menos significativa. Este resultado es sumamente interesante: tradicionalmente se asume que el aumento en el precio de la gasolina afecta solamente a los deciles de altos ingresos, pues son los que concentran mayor número de automóviles por hogar. No obstante, el análisis econométrico evidencia que la afectación será mayor en los deciles de más bajos ingresos. También se observa, en los deciles II y IV, que el gasto en gasolina es una función positiva con el número de automóviles por hogar.
MODELO DE PANEL
Con la finalidad de asegurar la robustez estadística de nuestros resultados estimamos un modelo de panel con efectos fijos para la primera diferencia del gasto de gasolina por decil de ingresos. Las variables explicativas son las primeras diferencias del precio y los ingresos. El cuadro 6 confirma que los efectos fijos por decil son significativos, lo cual valida los resultados de la existencia de las elasticidades heterogéneas que se obtuvieron con los modelos de series de tiempo por decil. Asimismo, se valida la existencia de una relación positiva con el ingreso y negativa con el precio del combustible. Se reporta el modelo de efectos fijos debido a que el modelo de pool y el de efectos aleatorios fueron rechazados por las pruebas F y la prueba de Hausman para la correcta especificación del modelo.

El modelo también considera efectos temporales. La prueba de Hausman genera un valor p = 0.01, que implica que el modelo apropiado es el de efectos fijos.
COMPARACIÓN CON OTROS ESTUDIOS
Galindo (2005) estima una función de demanda de energía por sector y determina unas elasticidades precio menores a –0.05 en el corto plazo y –0.02 en el largo plazo, para todos los sectores respetivamente. Argumenta que los cambios en el precio básicamente impactan en el consumo de energía en el corto plazo, ya que no existe un sustituto de las fuentes de energía en el largo plazo. Es decir, para los agentes económicos las variaciones de precios no significan cambios permanentes de largo plazo que alteren los niveles de consumo de gasolina.
Crôtte, Noland y Graham (2010) estiman las elasticidades ingreso y precio de la demanda de gasolina por dos métodos, mediante cointegración y un modelo de datos de panel. Mediante cointegración estima una elasticidad ingreso y precio de –0.104 y 0.426; mientras que con datos panel las elasticidades son de –0.152 y 0.469 respectivamente.
Caballero (2012) obtiene una elasticidad precio de la gasolina de –0.15 para 2008 a partir de datos mensuales. Presenta datos por decil que oscilan entre –0.4191 para el decil I y –0.0430 para el X, determinando que un impuesto a la gasolina afecta a los deciles de menores ingresos. Reconoce que el consumo de gasolina aumentará en los próximos años y un impuesto en esencia no es suficiente para reducir su demanda.
Por su parte, Reyes, Escalante y Matas (2010) suponen la demanda de gasolina como función del ingreso y de los precios promedio ponderados de las gasolinas, y pronostica la demanda a 2020 en diferentes escenarios. Determina una elasticidad ingreso y precio de corto plazo de 0.721 y –0.041 respectivamente. Estipula que la alta elasticidad ingreso se debe al incremento de las necesidades de transporte privado en las zonas urbanas y de los sectores económicos, así como de una fuerte asociación con el crecimiento económico que lo hace ser más intensivo. Por lo tanto, el fuerte impacto del ingreso sobre la demanda de gasolina influye en el nivel de las características de los automóviles y de su repercusión en el crecimiento de la cantidad de éstos.
De acuerdo con Reyes, la política de control de precios a los combustibles se centra en la eliminación de la carga fiscal, es decir, los deslizamientos de los precios de la gasolina para eliminar su subsidio no generan un efecto de reducción significativo en el consumo de gasolina. En consecuencia, los incrementos del precio a la gasolina sólo han generado un cambio conductual de los hogares, contrayendo el consumo de gasolina más cara y menos contaminante (Premium) a favor de una más barata y más contaminante (Magna), con base en los niveles de azufre por litro de gasolina. Por su parte Crôtte, Noland y Graham (2010) argumentan que las elasticidades cambian en el tiempo y que difieren entre un nivel nacional y uno local (estatal).
Las elasticidades de largo plazo presentadas en este trabajo son similares a las elasticidades reportadas por otros autores para otros países en desarrollo. Alves y De Losso da Silveira Bueno (2003) calculan una elasticidad precio e ingreso de la gasolina de –0.464 y 0.1217 para Brasil. Ramanathan (1999) estima –0.21 y 1.18 para India; Akinboade, Ziramba y Kumo (2008) determinan elasticidades de –0.47 y 0.36 para Sudáfrica.
CONCLUSIONES
Los resultados del modelo econométrico sugieren que el crecimiento de la demanda de gasolina es heterogéneo para los diferentes deciles del universo de hogares en México y puede explicarse, principalmente, por las variaciones en el ingreso y, en menor medida, por el precio de la gasolina. Sin embargo, al analizar cada decil de ingreso por separado, el resultado es que el ingreso es una variable explicativa del consumo de gasolina exclusivamente para los deciles II, IV y V, mientras el precio de la gasolina afecta a todos los deciles, pero tiene un valor mayor para el caso de los deciles más pobres: I, II y III. El número de autos es una variable significativa sólo para los deciles II y IV. Lo anterior implica que, dado que el ingreso es una variable explicativa para los deciles de ingresos medios y bajos, es de esperarse que un incremento en el ingreso lleve a un aumento en el consumo de gasolina para estos deciles. Por otro lado, el sector de altos ingresos, y que más gasolina consume, no responde a aumentos ni del ingreso ni del precio, por lo que parece ser inelástica al ingreso y poco responsiva al precio.
En otras palabras, un aumento en el ingreso implica mayor gasto en gasolina (o viceversa) solamente para los deciles de bajos ingresos. Un aumento en el precio de la gasolina, aun cuando representa una disminución de la demanda de gasolina en todos los deciles, tiene mucho mayor impacto en los deciles de menor ingreso, es decir, los hogares de altos ingresos son más inelásticos al precio de la gasolina. No obstante, los cinco deciles de menores ingresos tan sólo representan 16% de la demanda total de gasolina.
Dado que la demanda de gasolina es menos elástica ante cambios en el precio en los sectores que más consumen, una política de aumento en el precio de la gasolina sólo disminuye el consumo en aquellos con menores ingresos y que tienen menos automóviles, por lo tanto no se puede esperar que haya una reducción importante en el consumo de gasolina con una política de aumento sostenido en el precio. Finalmente, como las elasticidades son heterogéneas entre grupos de ingreso, es necesario llevar a cabo un análisis desagregado de la demanda que conlleve a plantear políticas públicas diferenciadas.
Agradecimientos
Los autores agradecen los valiosos comentarios y sugerencias de dos dictaminadores anónimos de la revista.
Referencias
Akinboade, O.A., Ziramba, E. y Kumo, W.L., 2008. The Demand for Gasoline in South Africa: An empirical analysis using co-integration techniques. Energy Economics, 30, pp. 3222-3229.
Alves, D.C.O. y De Losso da Silveira Bueno, R., 2003. Short-run, Long-run and Cross Elasticities of Gasoline Demand in Brazil. Energy Economics, 25, pp. 191-199.
Banco de México, 2013. Índice de Precios al Consumidor. Disponible en: ˂http://www.banxico.org.mx/estadisticas/index.html#PMI˃ (Consultado el 30 de junio del 2013).
Broadstock, D.C. y Papathanasopoulou, E., 2015. Gasoline Demand in Greece: The importance of shifts in the underlying energy demand trend. International Journal of Sustainable Transportation, 9, pp. 310-319.
Caballero, K., 2012. Finanzas públicas y cambio climático en México. [pdf] México: Programa de Naciones Unidas para el Medio Ambiente. Disponible en: ˂http://www.undp.org.mx/IMG/pdf/Finanzas_Publicas_y_CC_en_Mexico-2.pdf˃ (Consultado el 6 de enero del 2014).
Crôtte, A., Noland, R.B. y Graham, D.J., 2010. An Analysis of Gasoline Demand Elasticities at the National and Local Levels in Mexico. Energy Policy, 38, pp. 4445-4456.
Engle, R.F. y Granger C.W.L., 1987. Co-integration and Error Correction: Representation, estimation and testing. Econometrica, 55, pp. 251-276.
Eskeland, G.S. y Feyzioglu, T.N., 1997. Is Demand for Polluting Goods Manageable? An econometric study of car ownership and use in Mexico. Journal of Development Economics, 53, pp. 423-445.
Galindo, L.M., 2005. Short- and Long Run Demand for Energy in Mexico: A cointegration approach. Energy Policy, 33, pp. 1179-1185.
Huerta, R.Q., 2010. Pobreza, distribución del ingreso y renta básica. EconomíaUNAM, 9(26), pp. 68-81.
INECC (Instituto Nacional de Ecología y Cambio Climático), 2012. Quinta Comunicación Nacional ante la Convencion Macro de Naciones Unidas sobre el Cambio Climático. México: Secretaría de Medio Ambiente y Recursos Naturales (Semarnat)/INECC Disponible en <http://unfccc.int/resource/docs/natc/mexnc5s.pdf> [Consultado el 30 de junio de 2014].
INEGI (Instituto Nacional de Estadística y Geografía), 2013. Encuesta Nacional de Ingreso y Gasto de los Hogares. Disponible en: ˂http://www.inegi.org.mx/est/contenidos/proyectos/encuestas/hogares/default.aspx˃ (Consultado el 6 de enero del 2013).
IPCC (Intergovernmental Panel on Climate Change), 2006. Directrices del IPCC de 2006 para los inventarios nacionales de gases de efecto invernadero [Volumen 2. Energía]. Preparado por National Greenhouse Gas Inventories Programme, Eggleston H.S., Buendia L., Miwa K., Ngara T., y Tanabe K. (eds). Japón: Institute for Global Environmental Strategiesm (iges). Disponible en: <http://www.ipcc-nggip.iges.or.jp/public/2006gl/spanish/> (Consultado el 4 de Julio de 2014).
Johansen, S., 1988. Statistical Analysis of Cointegration Vectors. Journal of Economics Dynamics Vector, 12, pp. 231-254.
Johansen, S., 1992. Cointegration in Partial Systems and the Efficiency of Single-equation Analysis. Journal of Econometrics, 52, pp. 389-402.
Johnson, T.M., Alatorre, C., Romo, Z. y Liu, F., 2009. México: estudio sobre la disminución de emisiones de carbono. Banco Mundial. Disponible en: ˂http://www.undp.org.mx/IMG/pdf/Finanzas_Publicas_y_CC_en_Mexico-2.pdf˃ (Consultado el 30 de junio del 2013).
Pérez, R.N., Vargas, A.P., Ochoa, I.M. y Medina, C.E.S., 2007. Household Expenditure in Dental Health Care: National estimations in Mexico for 2000, 2002 and 2004. American Association of Public Health Dentistry, 67, pp. 234-242.
Ramanathan, R., 1999. Short- and Long-run Elasticities of Gasoline Demand in India: An empirical analysis using cointegration techniques. Energy Economics, 21, pp. 321-330.
Rao, P.S., 2000. Sampling Methodologies with Applications. Estados Unidos de América: Chapman & Hall/CRC.
Reyes, O., Escalante, R. y Matas, A., 2010. La demanda de gasolinas en México: efectos y alternativas ante el cambio climático. Economía. Teoría y práctica, 32, pp. 83-111.
Reyes, M.T., 2012. Análisis de los precios y de los subsidios a las gasolinas y el Diesel en México, 2007-2011. [pdf] México: Dirección General de Servicios de Documentación, Información y Análisis, Cámara de Diputados. Disponible en: ˂http://www.diputados.gob.mx/cedia/sia/se/SAE-ISS-01-12.pdf> (Consultado el 9 de enero del 2014).
SENER (Secretaría de Energía), 2013. Sistema de Información Energética. Disponible en: ˂http://www.sie.energia.gob.mx/˃ (Consultado el 9 de enero de 2014).
Sheinbaum-Pardo, C. y Chávez-Baheza, C., 2011. Fuel Economy of New Passengers Cars in Mexico: Trends from 1988 to 2008 and prospects. Energy Policy, 39, pp. 8153-8162.
Solís, J.C. y Sheinbaum, C., 2013. Energy Consumption and Greenhouse Gas Emission Trends in Mexican Road Transport. Energy for Sustainable Development, 17, pp. 280-287.
Wadud, Z., Graham, D.J. y Noland, R.B., 2009. Modelling Fuel Demand for Different Socio-economic Groups. Applied Energy, 86, pp. 2740-2749.
Wang, T. y Chen, C., 2014. Impact of Fuel Price on Vehicle Miles Traveled (VMT): Do the poor respond in the same way as the rich? Transportation, 41(1), pp. 91-105.
Notas
Notas de autor