Resumen: En un contexto de libre entrada analizamos los cambios que se producen en el excedente del consumidor y en el bienestar social, así como en las demás condiciones del equilibrio, cuando entra un competidor en un mercado monopolístico en el que existe una firma establecida. Abordamos el equilibrio en un modelo de duopolio asumiendo que el entrante sigue un único periodo de competencia en cantidades Cournot-Nash. Incorporamos los costos de retención al modelo de Klemperer (1988). El entrante, con el fin de atraer a un cliente, asume los costos de cambio de proveedor en que incurre el consumidor; la firma establecida asume los costos de retención para conservarlo. Suponemos una demanda lineal y costos marginales de ambas firmas constantes. Los resultados del trabajo son importantes para el análisis de las implicaciones sobre bienestar social de las políticas regulatorias. Realizamos una simulación del modelo teórico y confirmamos los resultados relevantes en términos de bienestar social, excedente del consumidor, beneficios y cantidades en monopolio y en duopolio con costos de cambio y con costos de cambio y de retención.
Palabras clave:políticas públicas de aperturapolíticas públicas de apertura, costos de cambio costos de cambio, costos de retención costos de retención, excedente del consumidor excedente del consumidor, bienestar social bienestar social.
Abstract: In a context of a market with free entry, we analyse the changes in consumer surplus, social welfare and the other equilibrium conditions when a competitor enters a monopolistic market where there is an established firm. We study the equilibrium in a duopolistic model by assuming that if the potential entrant decides to enter, there then follows a single period of Cournot-Nash quantity competition. We add retention costs in Klemperer model (1988) and, under certain assumptions about who bears these costs, we analyse and compare the results. Assume linear demand and that both firms have constant marginal costs. Work results are important for the analysis of the implications for welfare of regulatory policies. Finally, our work includes a simulation to test the theoretic model and to validate the relevant results in terms of social welfare, consumer surplus, profits and quantities in monopoly, duopoly with switching costs and duopoly with switching and retention costs.
Keywords: openness public policies, switching costs, retention costs, consumer surplus, social welfare.
ARTÍCULOS
Duopolio con costos de cambio y de retención. Efectos sobre el excedente del consumidor y el bienestar social
Recepción: 23 Julio 2014
Aprobación: 28 Abril 2015
Dentro de los instrumentos utilizados por el sector público para actuar sobre la actividad económica se encuentran las operaciones no monetarias extrapre-supuestarias, entre las que destacan la provisión y modificación de la legislación básica y la regulación positiva y negativa de la actividad pública. En este grupo de actuaciones se encuadran las políticas públicas de apertura en servicios de interés general, que intentan promover las ventajas de la competencia en sectores que, durante un periodo de tiempo dilatado, han funcionado con las características de mercados fuertemente monopolizados, como el telefónico, el eléctrico o el postal, entre otros. Entre los principales objetivos de las mismas se encuentra la promoción activa de la entrada de competidores en los diferentes mercados para extender las ventajas de la competencia sobre el bienestar social en los servicios esenciales para la comunidad. Precisamente, es en este ámbito donde adquiere un gran interés el estudio no sólo de cómo se facilita la entrada de competidores, sino también de cuáles son las barreras que pueden presentarse a dicha entrada.
Una de esas barreras es la existencia de costos de cambio de proveedor (switching costs). Armstrong y Sappington (2006) atribuyen un papel preponderante a la reducción de los costos de cambio de proveedor entre las políticas que pueden fortalecer una vigorosa competencia a largo plazo en la industria. La política de reducción de los costos de cambio adquiere un gran interés cuando se procede a la apertura de mercados a la competencia, en donde la disponibilidad de información suficiente y actualizada sobre las alternativas disponibles (Sharma y Patterson, 2000) resulta decisiva para que un cliente pueda evaluar la conveniencia de cambiar de proveedor sin incurrir en elevados costos de cambio.
Cuando los clientes son atraídos por alternativas atractivas, la firma establecida1 puede verse compelida a retener a los clientes, sea de forma genérica o selectiva. En este supuesto, el dominante incurre en costos de retención (retention costs) al tiempo que el consumidor incurre en costos de cambio.
En relación con la investigación pionera de Klemperer (1988), en la que analizaba los efectos de los costos de cambio sobre el equilibrio, nuestro trabajo introduce varias novedades: por un lado, considera conjuntamente la existencia de ambas categorías de costos y, por otro, analiza los efectos sobre el equilibrio de Cournot-Nash, en el supuesto de transformación de un mercado monopolístico en un duopolio de oferta, bajo el supuesto de que el entrante asume los costos de cambio de proveedor como condición para captar un cliente de la firma establecida, y esta última soporta los costos de retención.
Si bien los procesos de apertura de un mercado monopolizado no concluyen necesariamente en un modelo de duopolio, a la vista de la evolución de los procesos de liberalización de los mercados telefónicos o postal en varios países de la Unión Europea, se evidencia una aproximación a este modelo, con un operador dominante que conserva una elevada cuota de mercado y un competidor que lucha por una cuota significativa, junto a otros entrantes con fracciones mínimas del negocio.
Nuestro trabajo se propone el estudio de las transformaciones que se producen en las condiciones de equilibrio cuando un entrante disputa clientes a la firma establecida y compite con ella en la captación de nuevos clientes bajo determinados supuestos. La existencia de costos de cambio y, en su caso, de retención, modifican las condiciones del equilibrio y afectan al bienestar social.
En efecto, la entrada competitiva puede resultar perjudicial en términos de bienestar social, incluso en el caso de entrada eficiente de competidores con costos de producción menores que los de la firma establecida. Tales resultados resultan muy sensibles a las políticas públicas liberalizadoras orientadas al aprovechamiento de las ventajas de la competencia por parte de todos los consumidores. Es en este terreno donde alcanzan gran interés los resultados obtenidos en este trabajo de investigación y donde adquiere relevancia la aportación de recomendaciones de política a las autoridades regulatorias.
Nuestro modelo teórico, que en términos precisos se describe en la sección cuatro, asume como supuestos generales los siguientes:
El mercado monopolístico se transforma en un duopolio, donde existe una firma establecida (el anterior monopolio) y una entrante. No existen barreras de entrada, salvo los costos de cambio en que incurre el cliente que desea cambiar de proveedor. Algunos clientes deciden abandonar al proveedor actual, mientras que otros continúan adquiriendo el bien o el servicio del incumbente. En nuestro modelo, el entrante asume los costos de cambio como condición para que el cambio se produzca.
El proveedor puede adoptar una estrategia de retención de los clientes insatisfechos a través de diferentes medidas, sobre todo políticas de precios (diversos tipos de descuentos) que, en su conjunto, constituyen los costos de retención. Todos estos costos son soportados por la firma establecida como condición para retener al cliente.
Los resultados del equilibrio relativos a las cantidades ofrecidas, los beneficios de las firmas, el excedente del consumidor y el bienestar social son afectados por la existencia de los costos de cambio y por los costos de retención y lo son de manera diferente en función de la importancia de los mismos.
Después de esta introducción, la estructura del trabajo es la siguiente: en la sección dos se expone, de una manera panorámica, el tratamiento que los costos de cambio y de retención tienen en la literatura económica, así como una amplia revisión de la misma; la sección tres presenta el modelo implementado y los resultados del equilibrio en el escenario contemplado; en la sección cuatro se realiza un análisis gráfico comparativo de las condiciones del equilibrio a partir de varios cuadros que se han confeccionado para ello; la quinta sección presenta los resultados de un supuesto práctico adaptado al modelo teórico, y se finaliza, en la sección seis, con las conclusiones del trabajo.
En esta sección se realiza una extensa revisión de la literatura sobre costos de cambio y de retención en tres vertientes: 1) la literatura de marketing y de estrategia empresarial, sobre todo de política de precios; 2) la literatura microeconómica que principalmente se ha ocupado de los costos de cambio, y 3) el trabajo empírico sobre estimación y efectos de tales costos en diferentes mercados, productos o sectores.
En primer lugar, haremos mención al trabajo que se ha ocupado de la conceptualización de ambos tipos de costos y a la evidencia de los mismos en diferentes sectores. En lo que respecta a los costos de cambio, estos han sido definidos como la percepción que tiene el cliente sobre la magnitud de los costos adicionales necesarios para finalizar una relación contractual vigente y asegurarse una alternativa a la misma (Patterson y Smith, 2003, p. 108). Por lo tanto, los costos de cambio están integrados por cualquier factor que dificulte o encarezca al cliente el derecho a cambiar de proveedor (Valenzuela, Pearson y Epworth, 2005, p. 243). El cliente los identifica con los costos del proceso de cambio de proveedor de un servicio (Heide y Weiss, 1995; Roos, Edvardsson y Gustafsson, 2004), y pueden ser específicos a cada cliente (Shy, 2002).
Cuando el cliente abandona a su proveedor habitual incurre en dos tipos de pérdida: la renuncia a las ventajas que la empresa había creado a través de su estrategia de marketing de relaciones aportadoras de beneficios sociales, económicos y de empatía y personalización, y la asunción de costos financieros directos, de tiempo y de esfuerzo. En consecuencia, hay dos tipos de barreras de cambio, positivas y negativas, en la literatura de costos de cambio, como en Jones, Mothersbaugh y Beatty (2000 y 2007), Valenzuela, Pearson y Epworth (2005). Tipologías de costos de cambio se encuentran en Jones et al., (2002) y de Burnham, Frels y Mahajan (2003). Villas-Boas (2011) observa que los determinantes de los costos de cambio son las previsiones de las empresas y de los consumidores, la estabilidad de las preferencias y el horizonte temporal del mercado. Por su parte, Seetharaman (2003) estudia en qué medida la elección de una marca depende de la elección de dicha marca en el pasado (state dependence effects).
En nuestro trabajo entendemos por costos de retención aquellos en que incurre el dominante a través de diversas estrategias de retención (White y Yanamandaram, 2007), como descuentos, renegociación de los contratos, premios a la lealtad y otros similares, que están orientados a impedir la pérdida del cliente cuando éste dispone de alternativas atractivas. Estos costos de retención no forman parte de la estructura de costos de producción de la empresa, sino que constituyen, en síntesis, estrategias empresariales de reducción del precio del producto o servicio. Su finalidad es la de fidelizar al cliente, haciéndole menos atractivo el cambio de proveedor. La pérdida de las ventajas que disfruta un cliente, creadas a través de la estrategia de marketing de relaciones del proveedor, puede funcionar a modo de retención del cliente (Ranaweera y Prabhu, 2003), lo que se consideraría como una barrera positiva al cambio (Jones, Mothersbaugh y Beatty, 2007). Sin embargo, esta barrera protectora del incumbente, capaz de ejercer un poder de retención del cliente, no tiene relación con los costos de retención tratados aquí, en la medida en que no suponen una reducción del precio del producto o servicio.
En relación con la evidencia sobre los costos de cambio, consideremos los casos de los servicios telefónicos y de los postales. En los servicios de telefonía fija y móvil, el ejemplo más utilizado en la literatura es el de la portabilidad, es decir, la conservación del mismo número cuando el cliente cambia de proveedor. En ausencia de portabilidad, un cliente, empresario o profesional, que cambia de proveedor incurre en elevados costos al verse forzado a modificar el número en todos sus documentos y contactos, anuncios publicitarios, carteles, etcétera (Armstrong y Sapppington, 2006, p. 351). Y aun haciéndolo así, se enfrenta al riesgo de perder algunos clientes. Son numerosos los trabajos que abordan esta cuestión. Entre otros, Shi, Chiang y Rhee (2006), Viard (2007), Armstrong y Sappintong (2006), Foster et al. (2003), Markova (2009), Franx (2000), Danner (1999), Eccles (2010). Las políticas de regulación han resuelto el problema imponiendo a las diferentes operadoras telefónicas la portabilidad del número.
En el marco de los servicios postales, existen importantes costos de cambio si no se garantiza el acceso a determinados elementos de la infraestructura de la red postal, como son el sistema de código postal, el apartado postal, los buzones de distribución, la base de datos de los servicios de cambio de dirección y de devolución, etcétera. El acceso a las bases de datos por los diferentes operadores constituye un problema complejo. Véase, por ejemplo, Fratini, Roy y Vantomme (2010), Anderson (2006), Dieke y Schölermann (2008), Moriarty y Smith (2005), entre otros. Una política favorecedora de la competencia es la reducción de los costos de cambio cualquiera que sea su naturaleza. Con este propósito, la Directiva 2008/6/CE exige a los estados miembros de la Unión Europea la garantía de acceso a dichos elementos de la red postal.
Respecto a la evidencia sobre los costos de retención, cabe señalar, por ejemplo, que la retención de clientes en el sector postal a través de descuentos sobre la cantidad es una práctica extendida, aunque constantemente sometida al escrutinio del regulador (Crew y Kleindorfer, 2012, p. 3). En este terreno, Eccles (2012), Wojtek y Zauner (2012) y Pateiro Rodríguez, Barreiro Viñán y García Iglesias (2013) analizan las principales alternativas de retención de clientes vía descuentos: descuentos sobre la cantidad de envíos postales depositados, descuentos sobre el volumen de ventas, reducción de precios por trabajo compartido o worksharing, discriminación de precios en zonas o rutas rentables, etcétera. Otras estrategias de defensa pueden orientarse a la competencia vigorosa en la captación de grandes clientes con precios agresivos. Ésta ha sido, de acuerdo con Cohen et al. (2007), la respuesta del operador sueco cuando se liberalizó aquel mercado postal. Una tercera alternativa consiste en la defensa de la cuota de mercado diferenciando sus servicios sobre una o más dimensiones de la calidad y no solamente sobre estrategias de precios (Jaag et al., 2012, p. 244), si bien, como señalan Crew y Kleindorfer (2009, p. 3), la naturaleza multidimensional de la calidad hace complejo su control debido a la presencia de factores determinísticos y aleatorios. Hauser y Shugan (1983) analizan diferentes estrategias defensivas de marketing.
En el sector de la telefonía fija y móvil y en el servicio de suministro de electricidad, las firmas establecidas practican también diversas políticas de reducción de precios a sus clientes con el fin de disuadirlos del potencial abandono a favor de un competidor entrante. Cuando detecta el potencial abandono del cliente, el proveedor le ofrece algún tipo de descuento, bien sea sobre la cuota fija del abono al servicio o sobre el consumo efectuado durante un periodo de tiempo determinado. Algunos proveedores ofrecen otros servicios complementarios a precio reducido (o a precio cero), como contratos de fusión (fijo-móvil-internet-televisión…) en el caso de operadores telefónicos, servicios de inspección técnica de instalaciones en servicios de gas y electricidad. Actualmente, muchas compañías de telefonía móvil ofrecen importantes descuentos temporales cuando un cliente amenaza con el abandono (descuentos por amago de abandono).
Sin embargo, sea cual sea el enfoque utilizado, lo importante para nuestro trabajo es que las estrategias finales adoptadas, tanto si se trata de alguna modalidad de descuentos como a través de condiciones contractuales más favorables para el cliente, casi todas concluyen en una reducción del precio del servicio para el cliente potencialmente atraído por otro proveedor. Esta es la naturaleza de los costos de retención en este trabajo.
En segundo lugar, haremos mención a la literatura microeconómica que, principalmente, se ha ocupado de los costos de cambio. La literatura microeconómica sobre los costos de retención, ya sea aisladamente o ya en combinación con los propios costos de cambio es menos abundante. En el trabajo de Pateiro Rodríguez, Barreiro Viñán y García Iglesias (2013) se estudian los costos de retención junto con los costos de cambio, pudiendo considerarse pionero en este terreno. Klemperer (1987a) introdujo los costos de cambio en la literatura económica. Posteriormente, Klemperer (1988) analizaría los efectos sobre el bienestar inducidos por la entrada de un competidor en un mercado monopolístico cuando se consideran costos de cambio de proveedor, así como sobre los demás resultados del equilibrio cuando el entrante sigue un único periodo de competencia Cournot-Nash. Un buen número de trabajos sobre costos de cambio se centran en modelos de duopolio en dos etapas, donde las firmas eligen entre aplicar un alto precio para extraer rentas de sus clientes o aplicar bajos precios para atraer clientes de otros competidores (Villas-Boas 2006 y 2011). Para Klemperer (1995) este trade-off puede estar determinado por la amenaza de nuevos entrantes, por los tipos de interés, la expansión de los mercados, el tipo de cambio o el ciclo de los negocios y, en consecuencia, los costos de cambio pueden tener incidencia sobre la organización industrial, la macroeconomía y el comercio internacional. El propio Klemperer (1987b) señalaría que, bajo ciertas condiciones, unos mayores costos de cambio pueden atraer nuevos entrantes. Farrell y Shapiro (1988), Beggs y Klemperer (1992), Padilla (1995), Anderson, Kumar y Rajiv (2004) y Villas-Boas (2006 y 2011) han implementado modelos de costos de cambio de horizonte infinito, con dos firmas y costos de cambio homogéneos, centrándose en la evolución de las cuotas de mercado y los efectos de los costos de cambio sobre los precios y los beneficios. Las consecuencias de la heterogeneidad de los costos de cambio son analizadas por Biglaiser, Crémer y Dobos (2010).
En tercer lugar, sobre las estimaciones empíricas de los costos de cambio y sus efectos en los mercados, puede citarse aquí la literatura sobre lealtad a la marca y state dependence effects: Che, Sudhir y Seetharaman (2007) y Dubé, Hitsch y Rossi (2009) para productos envasados; Shy (2002) para depósitos bancarios; Shi, Chiang y Rhee (2006) y Park (2010) para teléfonos móviles; Viard (2007) para mercados telefónicos; Hartmann y Viard (2008) para la industria aérea; Stango (2002) para tarjetas de crédito, y Strombom, Buchmueller y Feldstein (2002) para planes de salud.
Incorporamos los costos de retención del cliente a los costos de cambio del modelo de Klemperer (1988). Un proceso de apertura transforma un mercado monopolístico en un duopolio con dos proveedores: el dominante y el entrante. Asumimos una función de demanda lineal y costos marginales de las dos firmas constantes e iguales. El cliente que desea cambiar de proveedor incurre en costos de cambio. El dominante incurre en costos de retención cuando intenta que el cambio no se produzca. Los costos de cambio y los costos de retención por unidad de producto son respectivamente s y r, siendo r = λs, 0 < λ < 1. Suponemos que el entrante y el incumbente asumen, respectivamente, los costos de cambio y los costos de retención.

El supuesto relativo a la relación entre costos de retención y costos de cambio está en línea con la abundante literatura económica que sostiene que los costos de retención de un cliente son inferiores a los de su recuperación Si bien los resultados son diferentes según trabajos y sectores, múltiples estudios establecen que recuperar un cliente es entre tres y ocho veces más costoso que retenerlo (Keiningham et al., 2005).
Sea f(p) = a – bp la función de demanda, cI = cE = c el costo marginal de cada una de las firmas, s el costo de cambio y r el costo de retención.
Como en Klemperer (1988), asumimos que si el potencial entrante decide entrar sigue un único periodo de competencia en cantidades Cournot-Nash, en el cual el dominante y el entrante eligen cantidades qI y qE. Los precios son pI y pE y los beneficios πI y πE. La segunda y tercera columnas del cuadro 1 recogen los resultados de Klemperer (1988) correspondientes al equilibrio en la situación de monopolio y en la de duopolio, considerando únicamente costos de cambio.
La ampliación del modelo de Klemperer (1988), con la introducción de loscostos de retención r = λs (0 < λ < 1), modifica las condiciones del equilibrio.
En este caso, pI = a – b(qI + qE) – r y pE = a – b(qI + qE) – s. De la condición de igualdad entre costo marginal e ingreso marginal resultan las dos funciones de reacción:


cuya intersección nos permite conocer las cantidades y los precios del dominante y del entrante en el equilibrio. El cuadro 2 recoge los resultados del equilibrio Cournot-Nash para este caso.
En esta sección se estudia el comportamiento del excedente del consumidor, del bienestar social, del beneficio de las firmas y de las cantidades ofrecidas a fin de comprobar su comportamiento en función de la existencia de entrada competitiva en el mercado. Los resultados obtenidos y su análisis se refieren a los siguientes casos: 1) monopolio, 2) duopolio con costos de cambio y 3) duo-polio con costos de cambio y costos de retención soportados respectivamente por entrante y firma establecida.

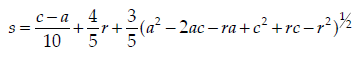
El excedente del consumidor, cuando entrante y dominante asumen respectivamente los costos de cambio y los costos de retención, es superior al correspondiente al duopolio con sólo costos de cambio para todo s que cumpla la condición de entrada en este último caso. A su vez, iguala al excedente del consumidor propio del monopolio cuando:

Sustituyendo r por λs, resulta :

Para valores de s superiores al indicado, que cumplan la condición de entrada, el excedente es inferior al del monopolio. Recordemos que la condición de entrada es en este caso s = (a – c + r)/2. Por su parte, el excedente del consumidor del duopolio con sólo costos de cambio es superior al correspondiente a la situación de monopolio para todo s que cumpla la condición de entrada s < (a – c)/2. Este resultado es el que cabe esperar de la entrada competitiva. La gráfica 1 muestra el comportamiento del excedente del consumidor en los tres escenarios contemplados. Como cabía esperar, el excedente del consumidor mejora con la entrada de un competidor en el sector monopolizado para todo costo de cambio que cumpla la condición de entrada, con la excepción indicada más arriba, para niveles de costos de cambio situados entre las dos condiciones de entrada. No obstante, el excedente del consumidor adopta una tendencia decreciente a medida que aumentan los costos de cambio. La reducción de estos favorece el excedente del consumidor en todo caso. En consecuencia, en las políticas orientadas al fortalecimiento de la competencia de servicios de interés general el regulador deberá promover la reducción de los costos de cambio.

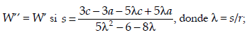
Los niveles de bienestar W, W’ y W’’ que aparecen en los cuadros 1 y 2 corresponden, en este orden, a los casos: 1) monopolio, 2) duopolio con costos de cambio y 3) duopolio con costos de cambio y retención soportados por el entrante y la firma establecida respectivamente. Dichos resultados nos permiten afirmar que:
(en realidad, para este valor de s no hay entrada).

W’’ mayor (menor)que W si s es menor (mayor) que el valor indicado.
El nivel mínimo del bienestar con costos de cambio se alcanza cuandos a 
La comparación del bienestar W’’, cuando dominante y entrante asumen costos de retención y de cambio respectivamente, con las otras situaciones nos permite establecer que:
c.1) 

W’’ < W’ en caso contrario.
c.2)
;

W’’ < W en caso contrario
c.3) W’’ es lineal y decreciente con s.

En la gráfica 2 se representa el comportamiento del bienestar social en función del costo de entrada en los supuestos de nuestro trabajo. Esta gráfica nos permite observar que el bienestar social, como suma del excedente del consumidor y de los beneficios de las firmas, puede ser superior al propio del monopolio para valores pequeños de los costos de cambio. A medida que los costos de cambio aumentan, el nivel de bienestar social desciende en los dos casos de duopolio, y puede resultar inferior al propio del monopolio. La razón que explica el descenso del bienestar por debajo de la situación propia del monopolio es la caída de los beneficios de las firmas y el efecto negativo que el crecimiento de dichos costos ejerce sobre el excedente del consumidor. Con costos de cambio, la suma de los beneficios de las dos firmas es siempre inferior a los beneficios del monopolista. Además, en presencia de costos de cambio y de retención, el beneficio total de las dos firmas es, a su vez, inferior al propio del duopolio con costos de cambio. Si el bienestar social, en los dos casos de duopolio, es superior a la situación monopolística, para determinados niveles de los costos de cambio, se debe al aumento del excedente del consumidor inducido por la entrada competitiva. Por último, en el supuesto de que entrante e incumbente soporten costos de cambio y de retención respectivamente, el bienestar social W’’ es superior al del monopolio para costos de cambio reducidos, e inferior cuando los costos de cambio superan los límites calculados. Lo mismo podemos decir respecto de la comparación entre W’’ y W’. Cabe señalar que, en este caso, aunque el beneficio conjunto de los duopolistas puede aumentar a partir de determinados valores de s (véanse el cuadro 4 y la gráfica 3), el bienestar es siempre decreciente respecto de s debido a que el incremento de los beneficios conjuntos de incumbente y entrante no compensa la caída del excedente del consumidor.
El cuadro 3 muestra el beneficio total de las firmas en las diferentes situaciones contempladas en nuestro trabajo.

La comparación de los beneficios en los supuestos contemplados arroja los siguientes resultados: en primer lugar, el beneficio del monopolista es superior a cualquiera de las dos situaciones de duopolio contempladas en nuestro trabajo; en segundo lugar, el beneficio conjunto de las firmas, cuando se contemplan únicamente los costos de cambio, es superior al correspondiente a las situaciones en las que se introducen costos de retención.
En los dos casos de duopolio contemplados, el beneficio conjunto es decreciente con s hasta alcanzar un mínimo, a partir del cual el beneficio es creciente para valores de s que cumplan la condición de entrada. La gráfica 1 nos muestra el decrecimiento lineal continuo del excedente del consumidor a medida que aumentan los costos de cambio y, en su caso, los de retención en los supuestos de duopolio. La gráfica 2 nos permite observar el comportamiento del bienestar social. Éste sigue una evolución lineal decreciente en presencia de costos de cambio y de retención. Sin embargo, en presencia de costos de cambio sólo el bienestar tiene un comportamiento decreciente hasta un determinado valor de s que lo hace mínimo, y crece para valores de s superiores. La evolución del excedente del consumidor y del bienestar social (véanse las gráficas 1 y 2) es coherente con el comportamiento del beneficio conjunto de las firmas en los casos de duopolio contemplados, tal como muestra la gráfica 3. Los mínimos respectivos de las dos curvas de esta gráfica 3 se expresan en el cuadro 4.


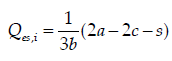
La cantidad ofrecida conjuntamente por las dos firmas es mayor en el supuesto de duopolio con sólo costos de cambio que en el caso del monopolio, para todo s inferior a la condición de entrada. A su vez, es superior a la situación de duopolio con costos de retención. Si denominamos:

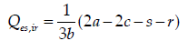
a la cantidad ofrecida por el duopolio con sólo costos de cambio, y

a la cantidad ofrecida por el duopolio en presencia de costos de cambio y de retención, Qes,i > Qes,ir para todo s que cumpla la condición de entrada. En efecto:

donde, como se puede observar, dicha diferencia crece con r (con ls). El cuadro 5 muestra la suma de las cantidades del monopolio y de las dos empresas en el equilibrio en los distintos supuestos contemplados.

Respecto de la cantidad de monopolio, como ya se indicó, ésta es inferior a la correspondiente al supuesto de sólo costos de cambio, para todo s. Pero, en los casos de existencia de costos de retención, puede ser superior para costos de cambio elevados, próximos al límite de la condición de entrada. En particular, la cantidad ofrecida por el duopolio, cuando entrante y dominante asumen res- pectivamente costos de cambio y de retención, es igual a la correspondiente al monopolio cuando
. La cantidad ofrecida por el duopolioes decreciente con la existencia de costos de cambio y de costos de retención,lo que debe constituir una preocupación para las autoridades reguladoras.Cualquier suavización de los costos de cambio reduce el ritmo de descenso delas cantidades en el caso del duopolio, tanto con costos de cambio como con costos de cambio y de retención.

Como ejercicio de comprobación del trabajo teórico desarrollado (véanse los cuadros 1,2,3,4, 5) y para la obtención de las cuatro representaciones gráficas, en esta sección presentamos los resultados de un supuesto práctico que se adapta al modelo propuesto. En nuestro modelo la función de demanda es f(p) = 50 – 2q; el costo marginal cI = cE = 10; el costo de cambio oscila entre s = 0 y el valor de s correspondiente a la condición de entrada en cada caso, tal quesi+1 = si + 0.1, y el costo de retención es ri = 0.20si, de acuerdo con la literatura de marketing que asume en general que es cinco veces más costoso recuperar un cliente que retenerlo. En consecuencia, r oscila entre 0 y 0.2 se, donde se es el costo de cambio correspondiente a la condición de entrada en cada caso.
En el cuadro 6 se resumen los resultados relevantes. Prestamos especial atención a los valores de los costos de cambio que determinan la condición de entrada en cada caso y la evolución del excedente del consumidor, de los beneficios de las firmas, del bienestar social y de las cantidades ofrecidas en función de aquellos costos. De esta manera, conseguimos resaltar la importancia que tiene una política de reducción de los costos de cambio para el fomento de la competencia a largo plazo en una industria.

Los resultados de nuestro trabajo ponen de manifiesto que el excedente del consumidor aumenta con la entrada de un competidor en el mercado. El duo- polio con costos de cambio aporta excedente del consumidor mayor que el monopolio para todo s. Para el supuesto en el cual los costos de cambio y de retención se asuman respectivamente por el entrante y el dominante, el excedente del consumidor puede también ser inferior al del monopolio, si bien loscostos de cambio están muy próximos a la condición de entrada. Se puede probar que en duopolio ∂Ex/∂s < 0. Por su parte, el bienestar social del duopolio es mayor que el correspondiente al monopolio en todos los casos para costos de cambio o de retención reducidos. A medida que estos aumentan, el bienestar del monopolio puede superar al bienestar tras la entrada competitiva. Esta constituye otra razón para las políticas de reducción de los costos de cambio. Las cantidades son decrecientes respecto de s en los supuestos de duopolio. En efecto, ∂Q/∂s < 0. Por último, el beneficio conjunto de las dos firmas tiene un comportamiento decreciente hasta valores de s que han sido determinados (véase el cuadro 4) y adopta una evolución creciente hasta que s cumple la condición de entrada. Sin embargo, en los dos supuestos de duopolio ha resultado ser inferior al correspondiente al monopolio.
En principio, la entrada competitiva en un mercado con características propias de un monopolio induce un incremento de la cantidad intercambiada y un descenso de los precios en el equilibrio. Una de las consecuencias importantes de la nueva situación sería el aumento del excedente del consumidor y del bienestar social. Empero, la presencia de costos de cambio de proveedor o de costos de retención reduce e incluso puede neutralizar las ventajas de la apertura de un sector a la competencia. Cuando esta situación se plantea en el ámbito de servicios esenciales para la comunidad, como el suministro de electricidad, la telefonía, los servicios postales y otros, la detección de la presencia de costos de cambio de proveedor exige la adopción de políticas de reducción de los mismos como una política poderosa para promover la competencia a largo plazo en el sector.
La cantidad ofrecida en un mercado con dos firmas, así como el excedente del consumidor han resultado ser estrictamente decrecientes en relación con los costos de cambio. Dichos costos, de manera aislada o en combinación con los costos de retención, reducen los efectos positivos de la entrada competitiva, pudiendo neutralizarlos e incluso modificar el signo de su variación, como se puede observar en las gráficas 1 y 4, llegando a situarse ambas magnitudes por debajo de las propias de un monopolio.
La imposición de obligaciones informativas sobre los aspectos fundamentales del servicio prestado, los requerimientos de información de las alternativas disponibles potencialmente atractivas para el consumidor y la limitación de cláusulas contractuales que supongan costos de cambio, entre otros, constituyen aspectos destacados en materia de regulación, sobre todo en el ámbito de los servicios públicos con componente de servicio universal. Una regulación adecuada en este campo limita el potencial efecto perverso de los costos de cambio o de retención sobre las ventajas de la entrada competitiva.
El bienestar social, tal como se ha definido en este trabajo, también aumenta con la entrada de competidores en el mercado y supera el bienestar propio del monopolio (W), mientras los costos de cambio son reducidos. Sin embargo, la reducción o eliminación de los efectos positivos de la competencia sigue una evolución muy rápida (decreciente) debido a la caída simultánea del excedente del consumidor y del beneficio conjunto de las firmas para valores crecientes de los costos de cambio y de retención. Aunque, en el caso de duopolio con sólo costos de cambio, el bienestar W’ puede adoptar un comportamiento positivo tras alcanzar su mínimo, no superará los niveles de bienestar del monopolio una vez traspasados a la baja. El comportamiento del bienestar constituye una pieza esencial para la adopción de políticas de liberalización orientadas a promover la competencia a largo plazo.
Los resultados aquí obtenidos bajo los supuestos simplificadores del modelo deben ser considerados dentro del marco delimitado por el mismo. La adopción de otras funciones de costos modificaría los resultados, como también lo haría la reformulación de la función de demanda. Nuestros resultados son atractivos y de gran interés indicativo para la autoridad regulatoria porque muestran con claridad la dirección de los efectos de las políticas orientadas a la reducción de los costos de cambio en todos sus aspectos y, por tanto, al fortalecimiento de la competencia. Pero, dadas las limitaciones impuestas por los supuestos del modelo, deben ser tomadas con cautela cuando se modifican las condiciones relevantes del mismo.
Un trabajo de investigación complementario que nos proponemos llevar a cabo se orienta en cinco líneas: 1) el papel de l (proporción de los costos de retención respecto de los costos de cambio), 2) la generalización del modelo para un número infinito de entrantes en el mercado, 3) la ponderación del excedente del consumidor y del beneficio de las firmas para determinar el papel de dicha ponderación sobre las condiciones de entrada en todos los casos abordados en este trabajo, 4) la consideración de funciones de demanda no lineales o de diferentes funciones de costos y 5) la realización de trabajos empíricos sobre casos reales.









