Abstract: This paper proposes an empirical method to estimate the value of the neutral interest rate in the U.S. and investigates whether the non-conventional monetary policy that has been in effect since the 2008 recession should continue. Specifically, a procedure is established based on a Cointegrated Vector Autoregression (CVAR) model that enables us to conclude that the expansionary monetary policy could continue for at least three more years. Our estimates suggest that the neutral real rate, consistent with full employment and the inflation target in the U.S., will remain negative until 2018. This trend will continue until 2019, when the nominal neutral rate will reach a level of 2%, which remains below the pre-crisis level of 4%. In fact, it seems that the neutral rate has permanently shifted toward a lower level associated with the new fundamentals of the U.S. economy.
Keywords:Neutral interest rateNeutral interest rate, zero interest rate policy zero interest rate policy, CVAR model CVAR model, Classification JEL: E43 Classification JEL: E43, E51 E51, E52 E52.
Resumen: Este artículo propone un método empírico para estimar el valor de la tasa de interés neutral de Estados Unidos (EE.UU.) e investiga si la política monetaria no convencional que ha estado en vigor desde la recisión de 2008 debe continuar. Específicamente, se establece un procedimiento basado en un modelo de vectores autorregresivos cointegrado (CVAR) que nos permite concluir que la política monetaria expansiva podría continuar por lo menos tres años más. Nuestras estimaciones sugieren que la tasa real neutral, consistente con el pleno empleo y el objetivo de inflación de EE.UU., continuará siendo negativa hasta 2018. Esta tendencia continuará hasta 2019, cuando la tasa neutral nominal alcanzará un nivel de 2%, la cual permanecerá por debajo del nivel previo a la crisis, 4%. De hecho, pareciera que la tasa neutral se ha desplazado hacia un nivel menor asociado con los nuevos fundamentos de la economía norteamericana.
Palabras clave: tasa de interés neutral, tasa de interés de política cero, modelo CVAR.
Should the U.S. Federal Reserve increase the federal funds rate in 2016? An assessment based on the neutral interest rate
Received: 01 February 2016
Accepted: 29 April 2016
Can the U.S. Federal Reserve (FED) indefinitely maintain low interest rates to stimulate the economy? Is it possible to accurately predict when the FED could modify its monetary policy rate without adversely affecting the dynamics of the real economy? The answer to these questions is of substantial importance because it is highly likely that in 2016, the FED will gradually increase its monetary policy rate not only to fulfill its mandate to promote economic growth with price stability but also to recover its primary monetary policy instrument[1]. The economic literature suggests that a central bank should set its monetary policy rate at a level at which its average short-term rate equals the neutral interest rate. The latter is the rate that is compatible with the potential output of the economy and the target inflation rate of a central bank. In theory, if a central bank seeks to maintain its monetary policy rate below the neutral rate for a long period, the aggregate demand will exceed productive capacity and generate inflation. Thus, the value of the neutral rate is an important parameter with respect to answering our two questions and to establishing the policy stance of the monetary authorities.
However, a fundamental problem is that the neutral interest rate is not observable and can change over time (Clarida, 2015). Consequently, it is of crucial importance for central banks to possess empirical methods that enable them to project the neutral interest rate to determine with greater certainty when it is possible to withdraw the monetary stimulus without the fear of creating a new recession. In the international literature, various methods have been proposed to estimate this rate, from the use of simple time-series models to highly complex approaches, such as dynamic stochastic general equilibrium models (Giammarioli and Valla, 2004; Barsky, Justiniano, and Melosi, 2014; Cúrdia et al., 2015). However, often, the estimates obtained using these methods have been imprecise and prone to specification errors (Pescatori and Turunen, 2015).
In this context, this article’s objective is twofold. First, a multivariate method is proposed to approximate the long-term neutral interest rate based on a Cointegrated Vector Autoregressive (CVAR) model. Second, an estimate of the value of the neutral interest rate for the U.S. economy is made using this method, and a brief discussion is provided on the appropriateness of the FED gradually increasing its monetary policy interest rate in the coming months. We believe that the result of our estimation method is indicative of and complementary to the estimates obtained with other models. Similarly, the proposed method can be a useful reference in analyzing the positions of a central bank because it enables the determination of how expansive the monetary policy should be in a context such as the current one.
Specifically, to simulate the value of the long-term neutral interest rate, we propose a simple method that is based on the identification of an equation for the federal funds rate in the cointegrating space of a CVAR model, which contains the fundamental variables of the real monetary sector of an economy. Our results for the U.S. economy suggest that the nominal neutral rate in 2016 will be approximately 0.56% and that the neutral real rate will be –0.89%. If we compare our results with the nominal and real rates obtained with the LaubachWilliams method [2] (2003), we can observe that they are above the value of our estimates. In addition, based on our model’s projections to 2021, we can suggest that there remains a place for a longer period of expansionary monetary policy in the U.S. Fundamentally, we conclude that the current position of an interest rate close to zero could be extended without problems until the last quarter of 2018. If the FED determines to gradually increase the rate starting in 2016, economic losses would be generated for the U.S. and countries whose economies are closely linked to that of the U.S., such as Mexico.
This paper is structured as follows. The second section presents the framework of monetary theory that serves as the basis according to which we determine our long-term neutral interest rate measurement. In the third section, the econometric method used to estimate the long-term neutral interest rate is described. The fourth section presents the model and the neutral interest rate. In the final section, possible implications for the U.S. economy are briefly discussed.
The neutral interest rate ( rt* ) is defined as the short-term interest rate that is consistent with full employment and the inflation target of a central bank. It has also been defined as that interest rate that would be established if there was no nominal rigidity (Galí, 2002) in such a way that at any time the real equilibrium would be basically determined by the fundamentals of the economy. Therefore, knowing the accurate value of this rate is of substantial importance for decision making by the monetary authority. The problem is that the long-term neutral rate is a non-observable variable, which complicates its estimation. In theory, its value can be approximated from the estimate of a short-term interest rate equation that depends on the fundamental variables of the economy (Taylor, 1993). Thus, to estimate this rate for the U.S., the parameters of the federal funds interest rate equation rt can be identified and estimated as a function of the fluctuations in the inflation gap (π−π) (i.e., the difference between observed inflation and the target inflation) and the output gap (y − y) (i.e., the difference between potential output and observed output).
[1]
[1a]If

equation [1a] is equivalent to equation [1]. This formulation suggests that the monetary policy rate rt should increase when inflation and the output level of the economy are above the target inflation and the potential output, respectively, and it should decrease otherwise. There is an expanded form of the Taylor rule that incorporates inflation expectations: π t e +1. This model does not substantially differ from the original. The only difference is that the latter contains the neutral interest rate in real terms.
[2]Theoretically, if we can precisely estimate all of the components of equation [1], we can obtain the long-term nominal neutral interest rate through a simple algebraic manipulation as follows:
[3]Based on this simple equation, we can define an empirical method to determine the value of the nominal neutral interest rate. To this end, the identification and estimation of equation [1] is proposed in a CVAR model, which provides the basis for the derivation of the value of the nominal neutral rate defined in equation [3]. In the following, we provided a more detailed explanation of the previously mentioned econometric method. In addition, we compare our results with a more traditional method, which estimates a neutral rate that changes over time, as has been popularized by Laubach and Williams for more than a decade.
[4]That is, once model [4] has been estimated, restrictions are imposed on its error correction structure (αβ’zt–1) to seek the identification of a cointegration relationship statistically significantly associated with equation [1], which can be estimated in the form of the following cointegrating vector:
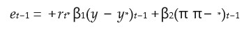
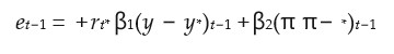
[5]where (y – y*)t–1 is the output gap; (π – π*)t–1 is the inflation gap; et–1 is the error correction mechanism that represents policy rate, and rt * is the non-observable long-term nominal neutral interest rate
Equation [1] must be exactly identified or over-identified in the CVAR, and the economic restrictions imposed in the long-term component must be validated by means of statistical evidence. Finally, the short- and medium-term validation of the CVAR model is performed using the traditional diagnostic tests (see Statistical Appendix) and a plausible modeling of the instantaneous correlations through the impulse response functions.
The third and final step in estimating the nominal neutral interest rate consists of using the estimated long-term equation [5] to estimate the rate based on the difference of the values of the monetary policy interest rate et–1 and the values predicted by the long-term equation, as suggested by equation [6]:
[6]That is, the long-term signal of the non-observable neutral rate, rt * , is extracted using the long-term equation identified and estimated by the CVAR model. This method is more appropriate than a single-equation model because it contains information on the dynamics and interactions between the involved variables.
For the econometric analysis, a statistically appropriate VAR model was estimated using variables from the U.S. monetary sector for the period 2000-2015. The data are released quarterly, and the output series is used in its logarithmic form. The remaining series that were used are the nominal interest rate of the monetary policy, the real U.S. GDP, the potential GDP estimated with the Hodrick-Prescott filter, inflation and expected inflation. The VAR model includes an unrestrictedt constant and three lags. The tests for unit root and for correct individual and joint specification of the model are shown in Tables 1a and 1b in the Statistical Appendix. The number of lags was selected based on the diagnostic of the general model. However, other tests were also used, such as the Schwarz information criterion, the Godfrey portmanteau test and the Likelihood Ratio (LR) test (see Tables 1c and 1d in the Statistical Appendix). First, the cointegration rank is analyzed based on Johansen’s reduced-rank method. The trace statistics suggest that there are at least four cointegrating vectors, as shown Table 1 (Johansen, 1988, p. 235).

To provide more evidence on the subject, Table 2 shows a sequential test, as described by Johansen (1995, chap. 11 and 12), for the joint determination of the cointegration rank and the polynomial trend[3]. Table 2 shows the testing for deterministic components with both the constant and the trend.

The results suggest there are at least four cointegrating vectors at the 95% confidence level. The Johansen maximum likelihood method also enables us to identify the cointegration space. One treatment used to solve the problem of identification is to adopt a set of a priori restrictions that are verifiable in the space of the long-term parameters (αβ’ zt–1 ). In this case, we normalize the first cointegrating vector as a long-term equation of the nominal interest rate of the monetary policy and then consider the hypothesis that the differences between the inflation and output gaps are stationary. That is, the coefficients of output and potential output are equal (β1 = β2) and the coefficients of inflation and expected inflation are equal (θ1 = θ2) in equation [1a]. The results shown in Table 3 suggest that these restrictions are statistically appropriate and enable a sensitive identification of the error-correction structure of the CVAR, as suggested by the over-identification test in the same table. That is, the data on the U.S. economy accept the restrictions associated with the Taylor rule. The normalized cointegrating vector is reported in the following as an equation of the federal funds rate.

[7]
The long-term relationship in Table 3 indicates that it is possible to identify a function according to which the policy interest rate should increase when there are increases in the output and inflation gaps, as indicated by the previous empirical models (Taylor, 1993; Clarida, 2015). More concretely, it is confirmed that the gaps have a permanent effect and transmit macroeconomic information essential to the money market. The estimate of equation [1] using the CVAR model reveals a decrease in the coefficient of the output gap (0.26) and in the coefficient of the inflation gap (1.14) compared with the original coefficients of the Taylor rule (0.5 and 1.5, respectively) (Taylor, 1993; Clarida, 2015). The preceding discussion suggests that the long-term neutral interest rate has probably decreased as a result of significant changes in the fundamentals of the U.S. economy in recent years.
In this section, we provide the estimate of the nominal neutral interest rate and the neutral real rate for the U.S. economy during the period 2000-2015 and their projections up to 2021. To this end, we use the cointegrating vector estimated through the CVAR in equation [7]. The neutral real rate is obtained by subtracting the inflation expectations that are obtained through an order-four autoregressive model of the inflation from the CVAR-projected nominal neutral rate. Table 4 shows our annual average projections of both rates and the estimate made by Williams (2015) to provide a reference parameter for the discussion of the relevance of the FED starting a new period of interest rate increase (Clarida, 2015; Clark and Kozicki, 2005).

The neutral nominal rate estimated with our model reached a level of approximately 0.51 basis points (bps) in the period 2008-2015, whereas the neutral real rate was negative (approximately –1.033). If we compare this result with the neutral real rate results obtained with classical methods[4], such as Laubach and Williams (2003), we can observe that the results from our model coincide in direction but not in magnitude. In fact, our results are lower than the classical method results. The preceding suggests that according to our model the fundamentals of the U.S. economy in 2015 indicated that there was still a need to maintain an expansive policy. It is well known that in 2015, the FED decided for the first time in nearly seven years to increase this rate to a range of 0.25 to 0.50%. Our results and the most recent economic results seem to confirm that there is a full economic recovery and that the FED should defer a little longer the decision to increase its monetary policy rate. Thus, the CVAR estimates constitute a useful tool that can be used as reference to assess the positions of the central bank.
In addition, based on our model’s projections for up to 2021, we can confirm that room remains for a longer period of expansive monetary policy in the U.S. (Pescatori and Turunen, 2015). Fundamentally, we can conclude that the current position of an interest rate close to zero could be extended without problems until the last quarter of 2018 (see Graph 1).

generated for the U.S. and countries whose economies are closely linked to the U.S. economy. In fact, according to our projections, the neutral real rate will remain negative until 2019, which means that the economy will continue to experience inflation below the 2% target and that unemployment will remain above the Non-Accelerating Inflation Rate of Unemployment (NAIRU) (Clarida, 2015). In addition, the graph shows that despite the neutral nominal rate reaching a value between 2 and 3% after 2019, the rate would still be below the 4% estimated in the literature for the period prior to the 2008 crisis. This fact might indicate that the U.S. economy has undergone a structural change in its output potential and that the new neutral nominal
If the FED determines to gradually increase the rate starting in 2016, economic losses would be generated for the U.S. and countries whose economies are closely linked to the U.S. economy. In fact, according to our projections, the neutral real rate will remain negative until 2019, which means that the economy will continue to experience inflation below the 2% target and that unemployment will remain above the Non-Accelerating Inflation Rate of Unemployment (NAIRU) (Clarida, 2015). In addition, the graph shows that despite the neutral nominal rate reaching a value between 2 and 3% after 2019, the rate would still be below the 4% estimated in the literature for the period prior to the 2008 crisis. This fact might indicate that the U.S. economy has undergone a structural change in its output potential and that the new neutral nominal rate associated with it is now substantially lower than the previously estimated 4%. Additionally, the neutral nominal rate is positive but very low in 2020, which indicates a need for the monetary stimulus not to be aggressively reduced because this action could result in a contraction with low inflation. Among other reasons for this outcome are that in the coming months, the GDP will likely be lower than the potential GDP and credit growth will also be very low (Bernanke, 2005; Clarida, 2004; Clarida, 2015; Hamilton et al., 2015).
It seems that although a massive monetary policy intervention to boost the economy in the manner of the 2008 intervention is not required (Summers, 2014), the conditions do not exist for an aggressive increase in the FED bonds interest rate because the estimated figures suggest that the monetary stimulus should continue for at least three years if the economy is to resume sustained growth with an inflation within goal. However, as noted by Clarida (2015), it is likely that the FED will start an aggressive program of monetary contraction once the economy achieves the NAIRU. However, too much anticipation could result in a contraction in the U.S. and closely linked economies, such as that of Mexico.
This article proposed a multivariate method to approximate the value of the long-term neutral interest rate based on a CVAR model. The results of our estimation method are only indicative. However, they may serve as a useful reference in assessing the positions of a central bank because they offer evidence of how expansive the monetary policy should be over time based on projections of the neutral nominal and neutral real rates. Our model projects a negative neutral real interest rate until the last quarter of 2018, which is substantially lower than the estimates reported in recent documents. The preceding discussion suggests that the U.S. economy will experience below-target inflation with an unemployment rate above the NAIRU for at least two more years. Thus, there is a need for the FED not to increase its reference interest rate in the coming months to avoid creating an economic contraction with low inflation. Generally, our empirical evidence suggests that a low neutral rate (approximately 2%) will continue until 2021, which means that this rate will not return to pre-crisis levels for a long time. In fact, it seems that the neutral rate has permanently changed to a lower level associated with the new fundamentals of the U.S. economy.
De manera general, la tasa de interés neutral se define como aquella tasa de in- terés de corto plazo que prevalecería en la economía si esta se encontrara operando en su nivel potencial. De aquí que comparar el nivel de ésta con el nivel de la tasa de referencia establecida por un banco central sea fundamental para identificar la postura de política monetaria. Así, por un lado, si la tasa de referencia se encuentra por encima del nivel neutral, la política monetaria es restrictiva, ya que los distintos canales del mecanismo de transmisión de la política monetaria operan en el sentido de restringir el ritmo de crecimiento de la demanda agregada (con el fin de mitigar las presiones inflacionarias). Por otro lado, si la tasa de referencia se encuentra por debajo de dicho nivel, la postura de polí- tica monetaria es acomodaticia y, a su vez, el mecanismo de transmisión monetario estimula la demanda agregada.
No obstante su relevancia, la tasa neutral es un concepto predominantemente teórico y, por ende, no observable ―su determinación requiere, en principio, conocer el estado de la economía en su nivel potencial en cada momento del tiempo―, lo que hace de su estimación una tarea difícil. Una complejidad adicional para su determinación es que la tasa neutral no es constante, sino que puede variar debido a cambios en factores económicos, que pueden ser poco o muy persistentes, o incluso permanentes.
En este contexto, y dado el proceso de normalización de la política monetaria que la Reserva Federal de Estados Unidos ha comenzado a llevar a cabo, luego de que a raíz de la crisis financiera global de 2008-2009 ésta redujera su tasa de referencia hasta alcanzar niveles de prácticamente cero por ciento ―nivel en el cual permaneció durante siete años―, el análisis presentado en “Should the U.S. Federal Reserve increase the federal funds rate in 2016? An assessment based on the neutral interest rate”, de Armando Sánchez-Vargas, resulta oportuno y relevante.
A grandes rasgos, el artículo puede dividirse en dos partes. En la primera, el autor propone un método empírico para estimar la tasa neutral de la economía estadounidense. Con base en los resultados de esta estimación, en la segunda parte realiza un diagnóstico sobre la conveniencia de que la Reserva Federal incremente la tasa de Fondos Federales, i.e. su tasa de referencia, en los próximos años.
Primero, el autor estima la tasa de interés neutral de Estados Unidos mediante el método de vectores autorregresivos cointegrados (CVAR en inglés), que consiste en establecer una relación de largo plazo entre la tasa de interés neutral respecto a la tasa de interés nominal, la brecha de la inflación y la brecha del producto. Para ello, se realiza la estimación en tres pasos: 1) se estima un VAR de orden tres para el conjunto de variables que determinan la política monetaria (inflación, expectativas de inflación, producto, producto potencial y la tasa de Fondos Federales); 2) el VAR se transforma en un CVAR, es decir, se imponen ciertas restricciones en la relación de largo plazo respecto a la brecha de inflación y la brecha del producto de tal forma que su estructura se asimila a una regla de Taylor y, de esta forma, obtener un vector de corrección de error, y 3) se estima la tasa de interés neutral de largo plazo utilizando el vector de corrección de error. De la estimación del CVAR, el autor encuentra que los coeficientes de la brecha de inflación y del producto disminuyeron en comparación con aquellos de la regla de Taylor (Taylor, 1993), lo que lleva al autor a concluir que hubo un cambio significativo en los fundamentales de la economía estadounidense en años recientes, traduciéndose esto en una disminución de la tasa de interés neutral.
Posteriormente, utilizando el vector de corrección de error estimado mediante el CVAR descrito anteriormente, el autor proyecta la tasa de interés neutral hasta 2021. Los resultados de este ejercicio apuntan a que tanto la tasa de interés neutral real como la nominal se incrementarán gradualmente (lo que, implícitamente, supone que la inflación se acercará paulatinamente a su objetivo de 2%). En particular, la tasa de interés neutral real permanecerá negativa hasta 2017, para luego incrementarse hasta 0.34% en 2021; en tanto que su contraparte nominal aumentará de 0.56% en 2016 a 2.12% en 2021.
Los resultados anteriores llevan al autor a concluir que el hecho de que la tasa neutral nominal sea positiva pero muy baja “indica la necesidad de que el estímulo monetario [prevaleciente en la economía estadounidense] no sea reducido agresivamente, dado que esta acción podría resultar en una contracción [económica] con baja inflación”.[6] Asimismo, el autor señala que existe evidencia para suponer que la tasa neutral de interés no regresará al nivel que tenía antes de la crisis por un periodo largo de tiempo y que, incluso, parecería que su nivel ha cambiado permanentemente a uno menor.
Como ya se mencionó, el tema de este documento resulta oportuno y relevante, a tal grado que, recientemente, la propia Reserva Federal ha divulgado los resultados de sus propios estudios sobre el tema en diversas publicaciones.[7] Por ello, es de suma importancia que el autor realice un esfuerzo adicional para comunicar de manera clara y detallada los principales puntos de su análisis y los argumentos que lo llevan a las conclusiones que plantea. En este sentido, a continuación se mencionan algunas recomendaciones que podrían ser de utilidad.
Sería deseable que el autor describiera con mayor detalle el ejercicio econométrico. Por un lado, no queda claro qué variables se usaron en la estimación del modelo VAR y el CVAR. Por ejemplo, el autor deja entrever que usará las variables descritas en la regla de Taylor, ecuación [1] del documento, que suman tres: la tasa de interés nominal de corto plazo de los Fondos Federales, la brecha del producto y la brecha de inflación de Estados Unidos (por cierto, habría que precisar la tasa de inflación a la que se refiere, e.g. la general, subyacente, la del consumidor o la de gastos del consumo; esta última es la que utiliza la Reserva Federal en sus reportes de inflación). Sin embargo, en la cuarta sección se dice que las pruebas de cointegración arrojan la existencia de cuatro relaciones de cointegración, un número mayor que el de las variables consideradas en la regla de Taylor. Una posibilidad es que el autor haya descompuesto las brechas del producto y de la inflación en sus componentes, es decir en el producto interno bruto (PIB) real y potencial, y en la inflación observada y la meta de inflación de la Reserva Federal o la inflación de equilibrio de largo plazo de Estados Unidos (conocida técnicamente como inflación tendencial o trend inflation, en inglés). Aún si este fuera el caso, sería conveniente que se reportaran más especificaciones y pruebas sobre las variables consideradas. Por ejemplo, ¿qué variables aproximan mejor el producto potencial y la inflación de largo plazo? ¿Por qué no usar el PIB potencial de la US Congressional Budget Office (CBO) en lugar del filtro de Hodrick-Prescott, o la inflación tendencial que resulta de un modelo econométrico (véase Cogley, Primiceri y Sargent, 2010) o la que resulta de las expectativas de inflación de largo plazo? Después de contestar estas preguntas, lo natural sería presentar evidencia de la robustez de los resultados al considerar diferentes aproximaciones. Realizar estas precisiones es importante no sólo para reconfortar al lector sobre la solidez de los resultados, sino para permitir a otros investigadores replicar las estimaciones del autor en otros estudios. En este contexto, es también importante reportar la fuente de donde se obtuvo la información de las variables utilizadas en la estimación.
Otra duda importante sobre las estimaciones es que, a pesar de que los resultados sugieren la existencia de diferentes relaciones de cointegración, el autor decide utilizar solamente una. Sería conveniente discutir por qué las otras relaciones no ofrecen información que pueda aprovecharse para estimar la tasa de interés neutral.
Por último, otra precisión recomendada es la de aclarar el grado de incertidumbre de las estimaciones. Por ejemplo, en los cuadros 3 y 4 no se ofrece información acerca de los intervalos de confianza de los resultados ni de las desviaciones estándar de los coeficientes estimados. Este tipo de información no debería de faltar en un trabajo empírico.
Es necesario esclarecer los supuestos sobre la evolución futura de la economía estadounidense en los cuales se basa la proyección de la tasa de interés neutral presentada en el cuadro 4. Por ejemplo, ¿los pronósticos de la tasa neutral se realizaron tomando como base los pronósticos dinámicos del propio CVAR sin considerar ningún insumo externo, o se complementó el CVAR con este tipo de insumos? En lo particular, en la quinta sección se dice que para calcular la tasa neutral real se usa el pronóstico para la inflación que resulta de un modelo autorregresivo de orden 4. Surge la duda de si para el resto del pronóstico se usan otros insumos para simular el PIB real y potencial en el futuro, o la inflación de equilibrio de largo plazo.
Ante lo anterior, resultaría interesante que el autor contrastara sus resultados, tanto de la trayectoria futura de la economía, del PIB y de la inflación como de la tasa de interés neutral que de ella se derivan, con los pronósticos para la actividad económica publicados cada trimestre por la Reserva Federal y otros analistas económicos. De este modo, constaría si las discrepancias entre los resultados derivados de este análisis y lo establecido en otros estudios se deben a diferen- cias metodológicas o, por el contrario, a diferencias en los supuestos utilizados.
Asimismo, sería recomendable comparar los resultados derivados del modelo estimado no sólo con el modelo propuesto por Laubach y Williams (cuya noción de tasa de interés neutral se refiere a una que prevalecerá en el mediano plazo, condicionada a los factores estructurales, como el crecimiento potencial, que el modelo captura en determinado periodo del tiempo), sino también a modelos con medidas de más corto plazo, como los modelos de equilibrio general dinámicos estocásticos (DSGE en inglés). Yellen (2015) ofrece una comparación entre los DSGEs y el modelo de Laubach y Williams, y sería interesante comparar estas estimaciones con las del autor. Esto es de particular relevancia ante el número de publicaciones de corte académico que han surgido al respecto en los últimos años.[8]
Como complemento al punto anterior, destaca que el autor pueda calcular un nivel para la tasa neutral para cada periodo del tiempo durante el periodo de análisis, como se infiere de la ecuación [5]. Sería pues relevante mostrar la trayectoria de esta variable a lo largo del periodo de estimación e interpretar los resultados. Por ejemplo, muchos estudios sobre la tasa neutral en Estados Unidos concuerdan en que ésta disminuyó de forma considerable a partir de la gran crisis financiera global, y no ha vuelto a niveles precrisis desde entonces. Esta misma conclusión se hace en este artículo, por lo cual es relevante presentar la trayectoria de la tasa neutral estimada por el autor.
El siguiente punto de nuestra discusión se centra en la siguiente conclusión del autor “[…] basados en nuestras proyecciones del modelo hasta 2021, podemos confirmar que existe espacio para un periodo largo de política monetaria expansiva en Estados Unidos”.[9] Una conclusión similar se muestra en el resumen del artículo, cuando se afirma que “[…] la política monetaria expansiva podría continuar por al menos tres años más.” Dado que la tasa neutral es el nivel crítico que identifica si la política monetaria es acomodaticia o restrictiva, la conclusión del autor sugiere que la tasa de Fondos Federales ha estado por debajo de su nivel neutral en los últimos años, y que así puede continuar en el futuro. Sin embargo, esta conclusión no está respaldada por los datos. Como es de todos sabido, la crisis financiera global generó una brecha del producto negativa en Estados Unidos que, hasta el día de hoy, no muestra señales claras de haberse cerrado. Esto implica que la tasa neutral debió haber caído más que la tasa de política monetaria como consecuencia de la crisis. De hecho, si la tasa de Fondos Federales hubiera disminuido tanto como la tasa neutral, la brecha del producto hubiera permanecido cerrada (véase Cúrdia et al., 2015). Sin embargo, la tasa de política monetaria no pudo disminuir lo suficiente debido a su cota inferior de cero. Esto implicó que, en los primeros años de la crisis financiera, la política monetaria de la Reserva Federal haya sido restrictiva a pesar de haber fijado su tasa de referencia en su nivel mínimo desde la Gran Depresión. En consecuencia, la Reserva Federal optó por proveer una mayor estimulación monetaria a través de políticas no convencionales, dado que no le era posible disminuir más su tasa de referencia.
Este episodio demuestra que, para juzgar si una política monetaria es expansiva o restrictiva, es necesario evaluar la diferencia entre la tasa de interés de referencia respecto al nivel actual de la tasa neutral. No se puede, por tanto, identificar la postura de política monetaria a través del nivel de la tasa neutral o de la tasa de referencia en aislamiento; se necesita de las dos tasas. Por consiguiente, el autor no muestra evidencia de que la política monetaria de la Reserva Federal será expansiva en los años venideros, sino sólo que la tasa neutral presenta señales de recuperación. Así, si la tasa de referencia aumentara más rápidamente que la tasa neutral, entonces la economía estadounidense experimentaría costos debido a una postura monetaria restrictiva. Creemos que este cambio sutil en las conclusiones es de vital importancia para entender el papel que juega la tasa de interés neutral en la conducción de la política monetaria de un banco central. Al respecto, una posible guía para el autor sería considerar los argumentos del más reciente discurso de Yellen (2016), en el que señala que la tasa de Fondos Federales real se encuentra modestamente por debajo de la tasa real neutral (cercana a cero por ciento), y que la orientación de la política monetaria en la actualidad debe ser vista como modestamente acomodaticia. Asimismo, menciona que si las perspectivas económicas continúan evolucionando favorablemente esto significaría que la tasa de interés neutral de la misma se moverá hacia arriba, proporcionando así un nuevo impulso para aumentar gradualmente la tasa de Fondos Federales.
Finalmente, se considera importante que el autor ponga en contexto las conclusiones de su análisis en el siguiente sentido. Los que suscriben, no encontramos referencia alguna en Clarida (2015) sobre la previsión de que la Reserva Federal iniciará un programa de contracción monetaria agresiva una vez que la economía alcance la NAIRU. De hecho, en las conclusiones del referido artículo, Clarida señala que el dicho Banco Central ha indicado que planea incrementar su tasa de interés a un paso mesurado (pp. 105-106). Idea que, en efecto, la Reserva Federal ha confirmado en repetidas ocasiones (véase Yellen, 2016).
It seems safe to say that, prior to December 2008, the Federal Reserve (Fed) of the United States (U.S.) used to conduct its monetary policy in a somewhat simple manner throughout the business cycle: the Fed would increase shortterm interest rates ―in particular, the federal funds rate (rf) and the primary credit rate, the Fed’s primary monetary policy tools― to avert inflation during an upswing and, conversely, it would reduce them to spur the economy when a recession came about. Such scheme has recently been christened as conventional monetary policy (cf. Bernanke, 2013). Yet, both the Great Recession that began in December 2007 and the disappointingly slow recovery that ensued, pushed the federal funds rate down the so-called zero lower bound, which is the lower limit on nominal interest rates (Keister, 2011). These events paved the way for monetary policy to become more convoluted in character.
Indeed, on December 16th 2008 a range was set for the target rf of 0% to 0.25% by the Federal Open Market committee (FOMC). That meant also “the end of orthodoxy”, according to former Fed chairman Ben Bernanke (2015, p. 418), as conventional monetary policy was worn out. The Fed could not reduce the rf any further. But in 2009 the U.S. economy was still confronting the toughest recession ever since the Great Depression of the 1930s. So, to provide further boost to economic recovery, and achieve its dual mandate of maximum sustainable employment and price stability, the Fed “turned to less conventional monetary policy” (Bernanke, 2013, p. 102). The tools of the new unconventional monetary policy include (i) balance sheet policies through large-scale asset purchases (LSAPs), also known as quantitative easing (i.e. massive purchases of long-term treasuries and agency-backed MBS (mortgagebacked securities)), (ii) operation twist (replacement of short-term Treasuries with longer-term Treasuries), and (iii) an increasing forward guidance thoroughly stating the FOMC’s future policy initiatives. The Fed’s unconventional monetary policy is mainly geared at putting downward pressure on a broad array of market interest rates by means of increasing excess reserves, the portfolio channel and the ex ante announcement of future low policy rates. Likewise, the Fed’s accommodative stance seeks to ease credit conditions[11] and bolster the economic recovery.
While it has been argued that the unconventional monetary policy will be ditched as the economy returns to normalcy, in the intervening time its end result has been: (i) a more than fourfold increase in total assets held by the Fed (from $891 billion in December 2007 to a record of $4,476 trillion for the week ending 14 January 2015[12]) (see Figure 1); (ii) an unprecedented long-period of low interest rate targets, in particular a low federal funds rate, a situation which is sometimes dubbed an interest rate trap, and (iii) by no means less importantly, an impassioned debate on both the exit ways available to the Fed and the future of the federal funds interest rate.

Armando Sánchez’s paper contributes to this important debate in various respects which, due to both space and time constraints, we cannot discuss at length. My comments, then, fall into three categories. First, I briefly lay out some theoretical issues about the neutral or natural rate of interest which are relevant to the paper’s main subject matter, but, alas, not dealt with therein. Second, a summary of the paper follows highlighting a few topics that seemingly merit further discussion. Finally, I come to the analysis of the author’s policy conclusion.
The neutral interest rate is the cornerstone of Armando Sánchez’s paper. Knut Wicksell, who pioneered the theory of the rate of interest “which is neutral in respect to commodity prices, and tends neither to raise nor to lower them”, explained it as “the current value of the natural rate of interest on capital” (1965 [1898], p. 102; author’s emphasis). Wicksell’s interest-rate mechanism establishes the connection between the endogenous money supply and the supply and demand for credit, as well as the coordination of saving and investment.
It has been argued that the monetary system of various economies currently bear a strong resemblance to the Wicksellian mechanism of interest rates (see Woodford, 2003). While in Wicksell’s model of a “pure credit economy” the capital rate is the centre of gravity of both prices and market interest rates, he envisaged basic information and coordination troubles with regard the determinants of the natural or neutral rate of interest on capital. Coordination failures of interest rates and saving and investment give rise to cumulative effects (inflationary effects when the market rate is lower than the capital rate and contractionary ones in the reverse case). Furthermore, it is important to bear in mind that Wicksell thought of his pure credit economy as an abstract construct or, to use David Laidler’s expression, as an analytic fiction, one in which the natural or neutral rate is determined by real factors alone. Wicksell hardly treated his pure credit economy as a mirror image of a real-world monetary economy; nor he treats it as Woodford’s moneyless economy in which the supply and demand for money plays no role whatsoever in the transmission mechanism of monetary policy. Moreover, even today’s U.S. monetary system hardly works as Wicksell would have it in his theoretical abstraction.
Today’s U.S. economy’s neutral rate, Armando Sánchez maintains, has permanently declined (about 2%), and “will not return to pre-crisis levels for a long time”. Such self-assured avowal, I surmise, suitably derived from Armando’s CVAR model, begs the question of the causes which determine the neutral or natural rate of interest (cf. Wicksell, 1965 [1898]), a puzzle that the Swedish highbrow economist painstakingly endeavoured to unravel theoretically in his notable piece of excavation Interest and Prices: keeping the average level of money prices constant “is to be regarded as the fundamental problem of monetary science” (Wicksell, 1907, p. 219). Yet, Wicksell’s solution to the natural rate conundrum hinges upon a number of convoluted assumptions. Since Armando Sánchez’s paper is meant for the present journal’s section called “for the scientific debate”, some theoretical discussion of the precedent issue would have been appropriate to supplement Armando Sánchez’s original empirical analysis of an economy ―i.e., that of the United States― facing a liquidity trap, stagnation, the zero lower bound, risks of (Wicksellian) cumulative effects and, most importantly, the imperative challenge of a return to normalcy.
Armando Sánchez’s purpose, in this paper, is to empirically gauge, with the aid of a multivariate method, the long-term value of the Fed’s neutral interest rate which is consistent with full employment and price stability. His results, derived from a cointegrated vector autoregressive model, lead him to delve into the rather complex question whether it would be reasonable for the U.S. Fed to increase its policy rate (the if ) any time during 2016-2018.
Some commentators have argued that the Federal Reserve is fuelling the next inflation (cf. Meltzer, 2014), and would like to see drastic rate hikes, and, for that matter, the Fed going back to a monetary policy system akin to that of the Great Moderation period, when inflation declined faster than both the if and the 10-year bond yield, except for the sub-period 2002-2005 in the case of the if when the Fed eased monetary policy to fight the dot-com recession (see Figure 2). However, clearly the long-run bond rate outgrew the federal funds rate for most of the Great Moderation period, until they converged on the eve of the outbreak of the Great Recession in 2007.

It seems that Armando Sánchez’s empirical analysis does not support such a Uhaul which would imply a return to the Great moderation era. In this regard, his most amazing findings are: (i) a seemingly permanent lower long-term neutral interest rate, compared to the pre-Great Recession level; (ii) a lower nominal neutral rate in 2016 (and even beyond 2020), also compared to the 4% level observed before the crisis; (iii) a negative neutral real interest rate between 2016 (–0.899) and the beginning of 2018 (0.054), along with inflation rates below the inflation target (2%) and high unemployment rates; (iv) all these empirical results are indicative of the U.S. economy undergoing deep changes in its fundamentals in the last decades. Therefore, Armando Sánchez concludes, there is policy space for monetary stimulus consistent with price stability, and the Fed should keep its current policy stance “for at least three [more] years if the economy is to resume sustained growth with inflation within goal”. Thus, it turns out that the Fed should stand still on the if , otherwise deflation with output contraction would ensue. As it were, our author here appears to advocate a continuance of the zero interest rate policy (ZIRP), which makes an interest rate scenario similar to that of the post-Great Recession or quantitative easing period (see Figure 3), where the Fed systematically has kept if below the inflation rate target to support economic recovery.

Other authors from different theoretical persuasions have also recommended the Fed should not engage in rate hikes for the time being (see Borg, 2015). Moreover, it seems ―at least to the present commentator― that Armando Sánchez´s main tenet of a permanent lower long-term neutral interest rate implies the Fed should adopt unconventional monetary policy as the new normal, a suggestion already made in another context by Posen (2013), Krugman (2015) and Summers (2015), among other New Keynesian analysts. Yet, this standstill position raises the questions of the potential risks, tradeoffs and costs associated with a zero lower bound and negative interest rates.
On the whole, what seems to be out of the question is that the policy normalization of the Fed will not entertain a return to a state of affairs of volatile interest rates and rampant inflation similar to the pre-Volcker era (see Figure 4), where, for reasons opposite to the ZIRP scenario, the Fed lost control of its policy tool.

Armando Sánchez’s paper raises two important queries (whether the Fed can indefinitely carry on its zero interest rate policy and whether the appropriate time for a benign “litoff” can be predicted). These inquiries belong to a Wicksellian tradition dealing with the influence of the rate of interest on prices and business fluctuations (see Wicksell, 1965 [1898]; Lindhal, 1930; Woodford, 2003).
Armando’s treatment of such queries makes the case for the policy space on hand to postpone the litoff decision until monetary accommodation will no longer be needed (about 2019, according to his econometric projections). What is also out of the question is that the day of reckoning, as it were, will come sooner or later, and the litoff shall take place in the realm of a quite substantial stock of excess reserves in the hands of the financial sector[13]. Yet, the paper under consideration bypasses another puzzling key aspect of the transition to normalcy, i.e., the reduction of the Fed’s balance sheet to a range commensurate with, say, that of the pre-Great Recession balance sheet size, and this is a not too easy trouble to deal with. For such a reduction will be slow and protracted; and what is more, given that the Fed’s accommodative stance has to bear with long-term problems such as risks of financial instability, secular stagnation, slow productivity growth, “savings glut”, debt overhangs and the like, the liftoff decision ―occurring along with or without a balance sheet reduction― involves costs. But the no-liftoff option is not cost-free either: for instance, the ZIRP seems to hamper arbitrage in the federal funds market, and the costs a substantial balance sheet involves hinder interest rate margins (Williamson, 2015). Therefore, and to wrap up, whatever decision is to be taken on the best timing for a liftoff should also include a hint of the best way for the Fed to exit QE in its path to normalcy.
Se agradecen los valiosos comentarios de Jessica Roldán Peña, Julio A. Carrillo y Rocío Elizondo. Sin duda sus aportaciones han contribuido a clarificar el aná- lisis y la aplicación de la metodología propuesta. En lo que sigue, hemos dividido las respuestas a sus comentarios en dos secciones. En la primera se responden las observaciones técnicas sobre la metodología CVAR para la estimación de la tasa de interés neutral. En la segunda se abordan los comentarios sobre la aplicación de la metodología para el caso específico de la economía norteamericana.
La estimación del modelo CVAR utiliza las variables descritas en la regla de Taylor, en la ecuación [1] del documento original, pero la prueba de cointegración arroja la existencia de cuatro relaciones de cointegración porque se descomponen las brechas del producto y de la inflación en sus componentes, es decir en el PIB real y potencial, y en la inflación observada y la meta de inflación de la Reserva Federal. Como el objetivo del artículo es determinar una ecuación de la tasa de interés de corto plazo, sólo se lleva a cabo el proceso de identificación econométrica de dicho vector de cointegración. Sin embargo, como lo afirman los comentaristas, es completamente posible identificar una ecuación de producto, de inflación o alguna otra de acuerdo a la teoría económica. Sin duda, una completa identificación del espacio de cointegración del CVAR podría ofrecer una mayor precisión estadística. Este objetivo nos permitimos plantearlo como una tarea para futuras investigaciones sobre el tema.
Cabe destacar que la tasa de inflación en el CVAR es la tasa de crecimiento del índice de precios de los gastos de consumo personal excluyendo alimentos y energía, que es la misma que utilizan Laubach y Williams (2003) en el artículo donde estiman la tasa de interés neutral para Estados Unidos. Los métodos utilizados para estimar los valores históricos del producto potencial y la inflación de largo plazo son el filtro de Hodrick-Prescott y un modelo AR(4) respectivamente, lo que es muy común en la literatura previa.
Para verificar la robustez de nuestras estimaciones se estimó el mismo modelo CVAR pero usando el PIB potencial reportado por el CBO y la inflación tendencial que resulta de un VAR bayesiano (Primiceri, 2005). Específicamente, se utilizó un VAR conocido como Time Varying Structural Vector Autoregressions (TVP-VAR) con volatilidad estocástica para estimar la inflación de equilibrio. A continuación se comparan dichas variables con las del modelo original (véanse las gráficas 1 y 2).
En principio, las series estimadas para la inflación de equilibrio con el TPVVAR es bastante similar a la estimada con un modelo AR(4) como lo muestra la gráfica 1. Cabe destacar que la serie que tiene una mayor discrepancia cuando se usan diferentes métodos (Hodrick-Prescott versus CBO) es la del PIB potencial. No obstante, las tendencias de las series con diferentes métodos son bastantes similares, lo que nos lleva a pensar que no debería haber cambios muy drásticos en las estimaciones del nuevo CVAR.


Para verificar lo anterior, se estimó y proyectó la tasa de interés neutral siguiendo exactamente la misma metodología propuesta en el artículo pero usando el PIB potencial del CBO y la inflación de equilibrio del TVP-VAR. Los resultados de las proyecciones se reportan en el cuadro 1.

Los resultados de las columnas 3 y 5 son bastante similares a los de las columnas 2 y 4; solamente se observan cambios no muy grandes en magnitud, pero no en la dirección, lo que sugiere que hay evidencia de robustez no sólo ante cambios en las variables utilizadas, sino también ante cambios en los métodos de estimación de las variables no observables. Cabe destacar que habría que probar otros métodos y variables alternativas para aumentar la certidumbre sobre la robustez de las estimaciones que ofrece nuestra metodología.
Ahora bien, la estimación y proyección de la tasa neutral, como bien lo sugieren los comentaristas, es un ejercicio sujeto a una gran incertidumbre porque, por ejemplo, para estimar la brecha de producto se requiere una estimación del producto potencial que no es observable. Esto es, las estimaciones dependen de la precisión de los pronósticos de las brechas de producto y de inflación. Así, los resultados siempre estarán sujetos a los supuestos sobre los fundamentos y la evolución futura de la economía norteamericana. Por ello, para dimensionar adecuadamente la posible utilidad de nuestra metodología y la veracidad de sus resultados es importante aclarar que los pronósticos de la tasa neutral se reali- zaron tomando como base los pronósticos dinámicos del propio CVAR. Esto es, los insumos externos (inflación de equilibrio y PIB potencial) sólo se usaron para la parte histórica de la base de datos, y los pronósticos de la tasa neutral se realizaron tomando como base los pronósticos dinámicos del propio CVAR. Por lo tanto, una correcta especificación del CVAR es de crucial importancia en esta metodología. Es importante mencionar que también se podría incluir insumos externos de los pronósticos de las brechas y comparar resultados.
Con la finalidad de ofrecer más certidumbre a los lectores sobre nuestros resultados, a continuación se contrastan las trayectorias futuras de la tasa de creci- miento del PIB real, del PIB potencial y de la inflación que se derivan del CVAR con los pronósticos para las mismas variables publicados por la Reserva Federal y el CBO.

Las cifras del cuadro 2 sugieren que existe cierta similitud entre los pronósticos de las variables no observables del CVAR con los de la Reserva Federal y el CBO. No parece haber enormes discrepancias ni en las proyecciones de los insumos externos ni en los resultados derivados de nuestro método de análisis en el cuadro 2. Así, se confirma que los supuestos sobre las variables a futuro no son extremadamente diferentes a los utilizados por la Reserva Federal y los del CBO.
En esta sección coincidimos con los comentaristas en que no se puede identificar la postura de política monetaria a través del nivel de la tasa neutral o de la tasa de referencia en aislamiento; se necesita de ambas tasas. En este caso, para juzgar si la política monetaria debería ser expansiva o restrictiva en el futuro, sería necesario evaluar la diferencia entre la tasa de interés de referencia pronosticada (una meta proyectada por el banco en el futuro) respecto al nivel pronosticado de la tasa neutral. En el cuadro 3 comparamos la trayectoria futura de la tasa de Fondos Federales según las proyecciones de la Reserva Federal (2016-208) con la trayectoria futura de la tasa neutral estimada mediante el modelo CVAR:

Estas cifras sugieren que la posición de política monetaria que implican las proyecciones de la tasa de corto plazo de la Reserva Federal seria restrictiva si las comparamos con las tasas neutrales derivadas del CVAR. Cabe mencionar que la anterior conclusión puede cambiar si comparamos contra tasas neutrales de un modelo de otra naturaleza.
Por ejemplo, en 2018 la Reserva Federal espera una tasa de interés objetivo de alrededor de 3 cuando nuestro modelo sugiere que debe ser de alrededor de 1.65. En consecuencia, con base en nuestras proyecciones de la tasa neutral y comparadas con las previsiones de la tasa de fondos federales de la Reserva Federal podríamos sugerir que la postura de política de ésta debería mantenerse mucho más moderada y que hay espacio para una política monetaria acomodaticia por al menos tres años más.
Como bien nos hacen notar nuestros comentaristas, si asumimos que nuestra metodología basada en el CVAR es robusta estadísticamente hablando, entonces el cuadro anterior ofrece cierta evidencia de que la política monetaria que podría seguir la Reserva Federal sería contractiva en los años venideros y que, aunque la tasa neutral muestra señales de recuperación, no alcanzaría a crecer más rápidamente que las proyecciones de la de corto plazo que publica en su prospectiva oficial. Así, la economía estadounidense experimentaría costos debido a una postura monetaria restrictiva. Si nuestras estimaciones son apropiadas, la orientación de la política monetaria debería ser aún más acomodaticia de lo que sugieren sus prospectivas.
Finalmente, se considera que la referencia a Clarida (2015), sobre la previsión de que la Reserva Federal iniciará un programa de contracción monetaria agresiva una vez que la economía alcance la NAIRU, fue una cita colocada en un lugar inapropiado.
I really appreciate Ignacio Perrotini’s comments. His main contribution emphasizes on new theoretical issues about the neutral rate and their links to the current policy stance in the United States. These issues belong to a Wicksellian tradition dealing with the influence of the rate of interest on prices and business fluctuations. Such discussion is definitively an unavoidable task to face in the field of monetary theory nowadays. In this brief response I just want to emphasize that our empirical work might provide some insights on such issues and we plan to work on some those theoretical aspects in the very near future.























