Artículos
Planeación óptima de la red de transmisión eléctrica de Baja California Sur1
Optimal planning of the electric transmission network of Baja California South
Planeación óptima de la red de transmisión eléctrica de Baja California Sur1
Investigación económica, vol. LXXVII, núm. 305, 2018
UNAM, Facultad de Economía
Recepción: 18 Mayo 2017
Aprobación: 02 Junio 2018
Resumen: Analizamos los efectos en el bienestar social de dos distintos procesos de planeación de expansión de la red de transmisión. Un primer modelo (integrado) considera las decisiones de generación y transmisión como actividades interdependientes. Un segundo modelo (desintegrado) supone dichas decisiones de expansión independientes, tal que la expansión de la red sigue un proceso exógeno. Esta dualidad de enfoques ha sido motivo de discusión académica y de política pública en diversos sistemas, como es el caso del sistema eléctrico de Alemania. Los dos modelos se simulan para la red de transmisión de Baja California Sur, el cual es un sistema autocontenido, con relativamente pocos nodos y líneas, y que permite desarrollar un estudio realista de las características de expansión eficiente de su red eléctrica. Demostramos que el enfoque integrado de expansión de la red resulta en mayores niveles de bienestar social para distintas topologías de red de este sistema.
Palabras clave: transmisión eléctrica, modelo de flujo de energía, expansión de la red, manejo de la congestión, Baja California Sur.
Abstract: We analyze the effects on social welfare of two different planning processes for the expansion of the transmission network. A first (integrated) model considers generation and transmission decisions as interdependent activities. A second model (disintegrated) assumes such expansion decisions as independent, such that the expansion of the network follows an exogenous process. This duality of approaches has been the subject of academic and public-policy discussion in various systems, as is the case of the German electricity system. The two models are simulated for the transmission network of Baja California Sur, which is a self-contained system with relatively few nodes and lines allowing a realistic study on the characteristics of efficient expansion within its electricity network. We demonstrate that the integrated network expansion approach results in higher levels of social welfare for different network topologies in this system.
Key words: Electricity transmission, power-flow model, network expansion, congestion management, Baja California Sur.
1. Introducción
Derivado de la aprobación de la reforma energética en México (SEGOB, 2013), en agosto de 2014 se publicó la Ley de la Industria Eléctrica (SENER, 2014a). En tal ley se especifican los objetivos para el sector eléctrico en México. Entre ellos, se busca consolidar al Sistema Eléctrico Nacional como eje estratégico de interconexión entre América del Norte y América Central. Para lograr estos objetivos se requiere de una planeación eficiente de la generación y distribución de energía eléctrica, pero también, y no menos importante, de una planeación óptima de la red de transmisión que permita satisfacer los requerimientos del sistema eléctrico. Este artículo se enfoca en la planeación y expansión de la red de transmisión eléctrica de Baja California Sur.
La planeación de la red de transmisión es parte fundamental para el desarrollo del sector eléctrico ya que sin un canal eficiente de transmisión es imposible satisfacer la demanda por electricidad, aunque se cuente con la tecnología de generación más eficiente. El desarrollo ineficiente de la red de transmisión tiene efectos adversos inmediatos en los consumidores (Green, 2004). Cuando la capacidad de transmisión es relativamente exigua respecto a los requerimientos de demanda y generación del sistema, existe congestión en las líneas de transmisión que limita el flujo eficiente de la electricidad. Esto tiene un costo que los consumidores deben pagar adicionalmente del costo marginal de la generación. Cuando la congestión es aguda, los diferenciales de precios entre dos nodos del sistema eléctrico tenderán a incrementarse, mientras que si la congestión es pequeña, tales diferenciales tenderán a desaparecer y a converger al costo marginal determinado por la tecnología de generación más eficiente. Es por ello que un sistema diseñado de forma eficiente se suele asociar con baja congestión. La inversión en capacidad de transmisión está enfocada a la reducción de la congestión y, por tanto, a la reducción de los precios de la electricidad.
En México, la reforma del sector eléctrico contempla la reestructuración de la industria eléctrica, la cual se transformó en un esquema de libre mercado y competencia en el sector de generación, donde, previo a la reforma, la empresa del Estado, la Comisión Federal de Electricidad (CFE), ejercía poder monopólico en el sector de generación. La nueva arquitectura del mercado permitirá la entrada de generadores privados en este sector. Esto incrementa la relevancia de una planeación eficiente de la red de transmisión, la cual admita que los nuevos competidores se conecten a la red y satisfagan la demanda eléctrica.
Dada la importancia de la planeación de la red de transmisión, en México se creó una entidad pública independiente, el Centro Nacional de Control de Energía, CENACE, responsable de la operación del sistema y la planeación de la expansión de la Red Nacional de Transmisión. Mientras que la CFE seguirá siendo propietaria de la red de transmisión (SENER, 2014b), el CENACE toma las decisiones en cuanto a su planeación y desarrollo. En la literatura económica, este tipo de instituciones independientes se conoce como Independent System Operators (ISOs).2
En este trabajo analizamos los efectos en el bienestar social derivados de dos distintos procesos de planeación de expansión de la red de transmisión. En el primer modelo (integrado) se consideran las decisiones de generación y transmisión como actividades interdependientes y, por tanto, la elección sobre expandir transmisión vis-à-vis generación se realiza de manera conjunta. El segundo modelo (desintegrado) considera las decisiones de expansión independientes de las decisiones de generación de manera tal que la expansión de la red sigue un proceso exógeno, mientras que el despacho de la generación se va adaptando en cada periodo a la nueva configuración de red. La dualidad de enfoques para la expansión ha sido motivo de discusión académica y de política pública en diversos sistemas, como es el caso del sistema eléctrico en Alemania, donde las decisiones de expansión de red se desvinculan del despacho de la generación eléctrica. Ello, se ha demostrado, conlleva a expansiones ineficientes de la capacidad de red (Kemfert, Kunz y Rosellón, 2016; Grimm et al., 2016).
Aplicamos nuestros dos modelos, integrado y desintegrado, a la red de transmisión de Baja California Sur, que es un sistema eléctrico aislado del resto de los sistemas de transmisión de México. Este caso de estudio es interesante por tratarse de un sistema autocontenido, con relativamente pocos nodos y líneas que permite desarrollar un análisis realista de las características de expansión eficiente de su red eléctrica.
Este documento está organizado de la siguiente manera. En la segunda sección hacemos una breve revisión de la literatura académica relevante y del proceso de expansión de red que se utiliza en México. En la tercera sección presentamos los dos modelos propuestos para la expansión de la red, así como los parámetros y variables involucradas. La cuarta sección analiza el sistema eléctrico de Baja California Sur como base para aplicar y evaluar los modelos propuestos, así como la metodología y estructura de los datos utilizados. Los resultados de las simulaciones, tanto para el modelo integrado como para el modelo desintegrado, se exponen también en esta sección para los dos distintos escenarios. Finalmente, en la quinta sección presentamos las conclusiones del trabajo y analizamos las ventajas y limitaciones del enfoque expuesto, así como sus implicaciones de política pública.
2. Literatura
El problema de la transmisión ha sido analizado por diversos autores. Ya Bushnell y Stoft (1997) identificaban las principales condicionantes para una inversión eficiente en la transmisión eléctrica. Afirman que generalmente hay pocos incentivos para invertir en grandes proyectos de expansión dadas las características físicas de los sistemas eléctricos. Por lo tanto, el nivel de inversión suele estar por debajo del nivel socialmente eficiente.
Sauma y Oren (2006) analizan la estrecha relación entre los planes de expansión de la generación y los respectivos planes para la transmisión. Específicamente, miden el impacto en el bienestar cuando las empresas generadoras toman la mejor respuesta ante una expansión planificada de la red. Con base en esta información, elaboran su propia estrategia de generación. Estos autores encuentran que los patrones de generación y transmisión cambian considerablemente cuando la planeación en cada sector se hace tomando en cuenta la estrategia del otro. Sauma y Oren (2009) también establecen las condiciones en las cuales, en un mercado de generación, las empresas generadoras están dispuestas a financiar proyectos de inversión para la expansión de la red que resulten en una mejora del bienestar social. Esto se analiza en un esquema en el cual las empresas pueden adquirir derechos financieros de transmisión.3
Léautier y Thelen (2009) examinan las estrategias de inversión, desarrollo y planeación del sistema eléctrico en 16 países. Los autores encuentran que cuando la planeación la realiza una entidad independiente los sistemas tienden a ser más eficientes en el desarrollo de la red de transmisión y el manejo de la congestión. Aquí la independencia se refiere al grado de separación vertical de la industria y la libertad que tiene el ISO para tomar decisiones estratégicas no influenciadas por las preferencias de las empresas generadoras.4 Se argumenta que la separación vertical de la industria eléctrica es elemento necesario para una planeación eficiente. Para el caso de México, Zenón y Rosellón (2017) utilizan un mecanismo híbrido a través del cual se incentiva la inversión en transmisión mediante un precio máximo sobre una tarifa en dos partes aplicada a la empresa de transmisión. El mecanismo se implementa en las diferentes regiones de transmisión en México y se muestra (mediante simulaciones) que se incentiva la inversión y se reduce gradualmente la congestión en la red.
Alternativamente, Kemfert, Kunz y Rosellón (2016) realizan un análisis para Alemania en el que evalúan la estrategia para reducir la congestión de la red de transmisión. Dicha estrategia se basa en desvincular las decisiones de expansión de la red del despacho de la generación. Este mecanismo se compara con un esquema integrado en el que ambas decisiones se realizan de manera conjunta. Adicionalmente, además de la expansión en transmisión, estos autores consideran otros tipos de medidas para reducir la congestión.5 El proceso en Alemania no contempla un trade-off entre expansión de la transmisión y despacho de la generación, así que el problema de la congestión no se aborda con una estrategia vinculada. En el esquema integrado que proponen los autores como benchmark se da un trade-off entre las estrategias de generación y las de transmisión de forma tal que los costos de utilizar una u otra medida se consideran conjuntamente. Ello permite elegir la combinación óptima que reduce simultáneamente los costos del sistema, así como la congestión de la red. Los autores concluyen que cuando existe una alta fluctuación en la generación de electricidad (como es el caso de la alta participación de energías renovables) un enfoque integrado permite una elección más eficiente para internalizar la congestión de la red.
A partir de la implementación de la reforma eléctrica en México, las bases metodológicas y criterios para la planeación y desarrollo del Sistema Eléctrico Nacional son definidas por la Secretaría de Energía, SENER, a través del Programa de Desarrollo del Sistema Eléctrico Nacional (PRODESEN) [SENER, 2017]. El PRODESEN se actualiza cada año, definiéndose las principales obras de modernización y mantenimiento que el sistema eléctrico necesita para su óptimo desarrollo. La planeación del sistema eléctrico, definida en el PRODESEN, es una tarea que realizan la SENER y el CENACE de manera secuencial. La SENER proporciona los insumos de crecimiento económico y el pronóstico de precios de combustibles, además de las estimaciones de consumo y demanda. Este ejercicio proporciona pronósticos de crecimiento del consumo y de la demanda utilizados por el CENACE para determinar la expansión de la red de transmisión mediante un modelo de flujo de energía (Zenón y Rosellón, 2017).
3. Modelos
En esta sección presentamos dos modelos para la expansión óptima de la red de transmisión.6 Éstos se basan en un modelo de flujo de energía sujeto a las condiciones técnicas intrínsecas en un sistema eléctrico. Típicamente, este tipo de modelos busca la minimización de los costos asociados al despacho óptimo de la energía con base en una regla de orden de mérito, en donde los generadores más baratos son asignados primero y los generadores restantes se van asignando a medida que crece la demanda. Los modelos propuestos están sustentados en la parte baja (lower-level) del modelo bi-nivel presentado por Zenón y Rosellón (2017) y tienen por objetivo la maximización del bienestar social, definido como la suma del excedente del consumidor y del excedente del productor.
Los dos modelos simulan procesos de decisión diferentes. Presentamos primero un modelo que denominamos integrado, en donde las decisiones de inversión en transmisión se toman conjuntamente con las decisiones de despacho de la generación. Un segundo modelo, desintegrado, representa un esquema de planeación en el que estas decisiones son tomadas de manera independiente. El PRODESEN es un programa integrado en el que las decisiones de generación y transmisión se realizan de forma coordinada, lo que lleva a una convergencia óptima del proceso de expansión de la red (Zenón y Rosellón, 2017).
En el Cuadro 1 se presentan las variables de decisión, así como los parámetros que se utilizan en la construcción de los dos modelos.

Para cada periodo t el modelo establece las cantidades óptimas de generación y demanda en cada nodo que maximizan el bienestar social. Dada la topología del sistema, y las asignaciones de generación y demanda que satisfacen las restricciones, el modelo nos proporciona el precio de la electricidad en cada nodo (precio nodal). El precio nodal es el precio que los consumidores de cada nodo deben pagar por el consumo de un mega-watt (MW) extra de electricidad. En este contexto, la reducción de un precio nodal está asociada al aumento del excedente del consumidor y, por tanto, del bienestar social.
3.1. Derivación de los componentes del precio nodal
El precio nodal p captura los componentes de costo marginal de generación y costo marginal de congestión en el sistema:7
donde c g representa el costo marginal de generación y η k el precio sombra de la congestión en el sistema asociado a las capacidades físicas de las líneas de transmisión.8
En esta subsección se presenta de forma general la construcción del precio nodal mediante la obtención de cada uno de sus componentes. Este precio se obtiene como resultado de un problema de optimización, en el cual se maximiza el bienestar social sujeto a las restricciones físicas del sistema (restricciones de capacidad de generación y de transmisión). El precio nodal es en este sentido un precio marginal, pues refleja los costos marginales asociados a la oferta de electricidad.
Para obtener el precio de la electricidad en cada nodo del sistema (precio marginal) se deben estimar los costos necesarios para cubrir la demanda en cada nodo. Por ahora nos abstenemos de la variable t (tiempo). Así, establecemos:
i∈I: Conjunto de nodos del sistema.
g i : Generación en el nodo i.
g = Σ i g i : Generación total del sistema.
d i : Demanda en el nodo i.
d = Σ i d i : Demanda total del sistema.
CTG[g]: Costo total de generación.
El precio marginal de la electricidad por MW se define como el incremento en el costo total de generación derivado de un aumento marginal en la demanda:
De igual manera, el costo marginal de la generación, c g , está dado por el incremento en el costo total de generación derivado de un incremento marginal en la generación:
Asimismo, en todo momento la demanda del sistema debe satisfacerse, por lo que el sistema debe cumplir la restricción de balance entre generación y demanda:
Dada la restricción de balance, se cumple entonces que:
La Ecuación [4] iguala el precio al costo marginal de generación. Ahora se muestra que este precio se obtiene al resolver el problema de maximización del bienestar total del sistema, por lo que representa un precio óptimo.
Dado el precio p, suponemos que el beneficio obtenido por los consumidores está determinado por la siguiente función:
B[d]: Beneficio total de los consumidores
De esta forma, el beneficio neto de los consumidores queda expresado por:
y los consumidores elegirán d a fin de maximizar B[d]. Esto es, se cumplirá la condición:
Si definimos una función de bienestar social que incluya el costo total de generación, tenemos:
Utilizando la Ecuación [7] y la restricción de balance [3] se obtiene el lagrangiano L para deducir las condiciones de optimalidad respecto a g y d:
donde μ1 es el multiplicador de Lagrange de la restricción de balance energético. Dado que la elección de d depende del precio p, podemos escribir d = d(p) y encontrar las condiciones de optimalidad respecto a g y p:
Empleando las Ecuaciones [2] y [9] encontramos que:
De las Ecuaciones [6], [10] y [11] hallamos que:
Por lo tanto, de las Ecuaciones [4], [11] y [12] se concluye que:
Este resultado muestra que el precio marginal del sistema es igual al costo marginal de generación, el cual, a su vez, es igual al multiplicador de Lagrange asociado a la restricción de balance. El precio resultante no considera aún el efecto que sobre el precio tiene la topología de la red de transmisión. A continuación se muestra el resultado de incorporar al análisis las restricciones asociadas a la topología de la red de transmisión.
Cuando al problema se incorporan restricciones físicas asociadas a la red de transmisión, el precio marginal deberá reflejar tanto el componente de generación c g como el componente de red. Definimos así:
l∈L: Conjunto de líneas de transmisión del sistema.
k ij : Energía transmitida (flujo) entre los nodos i y j.
Capacidad máxima de transmisión (flujo máximo) entre los nodos i y j.
Cada línea l de transmisión tiene un límite de capacidad respecto a la cantidad de energía o flujo que puede transmitir. Tal límite establece la restricción física que enfrenta cada línea y que garantiza la confiabilidad del sistema:
Este conjunto de restricciones debe también ser considerado en el problema de maximización del bienestar social asociado al sistema. Consideremos nuevamente la función lagrangiana [8] añadiendo la condición [14]. Se obtiene entonces:
donde λ l es es el multiplicador asociado a la restricción de la capacidad de transmisión. Dadas las propiedades físicas del flujo eléctrico en el sistema, un aumento en la demanda genera una reconfiguración en los flujos de cada línea del sistema. Entonces, el flujo k ij para cada línea depende de la demanda total d del sistema, esto es: k ij = k ij (d).
La condición de optimalidad [10], incorporando las restricciones de red [14], se transforma en:
Utilizando las Ecuaciones [6], [11] y [12] obtenemos:
Este resultado significa que el precio marginal dependerá del flujo (y del grado de saturación o congestión) en cada línea del sistema. En particular, si un incremento en la demanda d provoca que se alcance el límite , entonces el precio marginal aumentará en λ l (donde l es la línea entre los nodos i y j). El aumento en el precio marginal derivado de alcanzar el flujo máximo será igual al multiplicador λ l asociado a la restricción k ij ≤ Mientras k ij sea menor que (no saturación), la condición9 garantiza que λ l = 0. Por lo tanto, si la línea entre los nodos i y j no está saturada, no existe efecto sobre el precio marginal.
Finalmente, denominamos un solo componente de red:
Así se obtiene el precio marginal que incorpora el componente de generación y el componente de red:
En las siguientes subsecciones se presentan los modelos integrado y desintegrado. Dado que el componente de congestión del precio nodal depende de las capacidades físicas de las líneas de transmisión, en cada uno de estos modelos la empresa de transmisión realiza inversiones en capacidad de transmisión para aquellas líneas que se identifiquen como congestionadas. Esto implica reducir el componente de congestión de la red y, por tanto, el precio nodal. La diferencia básica entre los dos modelos dependerá del proceso intertemporal de toma de decisiones de inversión en la capacidad de transmisión.
3.2. Modelo integrado
El modelo integrado contempla como variable de decisión la capacidad que se expande para aliviar la existencia de congestión. El costo de generación y el costo de transmisión forman parte de la función objetivo, y el planeador elige las cantidades óptimas de expansión de la capacidad que garanticen la maximización del bienestar social:
La Ecuación [19] es el problema de maximización de bienestar social. Captura el excedente obtenido por los consumidores que se deriva del consumo de energía eléctrica, así como los costos de generación y transmisión asociados al problema de despacho y planeación del sistema. Las capacidades máximas de generación por cada tipo de planta, y para cada nodo, están expresadas en la restricción [20]. La restricción [21] expresa las restricciones físicas que cada línea de transmisión debe cumplir. Finalmente, la Ecuación [22] garantiza que la demanda de cada nodo será satisfecha, esto es, que el balance entre oferta y demanda se cumpla para el sistema.
3.3. Modelo desintegrado
El modelo desintegrado refleja un proceso en el cual la decisión de inversión en transmisión se hace de forma independiente del proceso de despacho de la generación:
En este modelo, la inversión en transmisión sigue una regla de crecimiento expresada por la función f(·) en la Ecuación [25], y no considera los resultados de congestión estimados por el modelo de flujo de energía como guía para la toma de decisiones de expansión. De esta forma, las decisiones de despacho-generación y transmisión son independientes.
4. Aplicación al sistema de Baja California Sur
Para evaluar la eficiencia de los modelos descritos en la sección anterior realizamos simulaciones con datos del sistema eléctrico de Baja California Sur. Utilizamos este caso de estudio debido a la disponibilidad de información sobre su sistema eléctrico en particular, además de ser un sistema autosuficiente y aislado del resto del país, con un número relativamente pequeño de nodos, lo cual permite realizar simulaciones importantes en la práctica.
Para ambos modelos -integrado y desintegrado- se llevaron a cabo simulaciones usando el software GAMS.10 En este software se escribió y resolvió el problema general descrito en la sección 3.1, con las adaptaciones necesarias para representar las características particulares tanto para el modelo integrado como para el modelo desintegrado. Es decir, resolvimos un problema intertemporal de optimización restringida, donde las restricciones asociadas al problema están dadas por las restricciones físicas de generación y capacidad de transmisión. Calculamos los precios nodales bajo ambos esquemas (modelos) y comparamos el bienestar generado por cada modelo a lo largo del periodo de simulación.
4.1. Datos
Los datos utilizados en nuestro análisis los obtuvimos del CENACE. Se contó con información detallada sobre las subestaciones de generación existentes en Baja California Sur, así como de las líneas de transmisión que conectan las subestaciones y conforman la topología de este sistema. Identificamos cinco tipos de tecnologías, representadas por 21 generadores con diferentes capacidades para la región, así como 39 líneas de transmisión. En el Cuadro 2 se describen los elementos que conforman el sistema eléctrico de este estado.11
| Nodos | 31 |
| Líneas de transmisión | 39 |
| Generadores | 21 |
| Tecnologías | 5 |
La asignación de los generadores en los nodos se hizo por tipo de tecnología, siguiendo lo especificado en el PRODESEN 2015-2029.
En el modelo, la demanda se determina de manera endógena a través de una función lineal d i = a - bp i , donde p i es el precio para cada nodo, lo que permite que se tenga una demanda para cada nodo. Esta última se calcula mediante la función inversa de demanda p(·). Aunque nuestra demanda es endógena, el intercepto a captura la información proporcionada por el CENACE respecto a la demanda horaria real para este territorio en 2015. De este modo, la demanda en cada nodo se mueve de forma proporcional al precio en el nodo en cuestión. En el Cuadro 3 se presentan los valores específicos para a y b, así como para los demás parámetros utilizados en el análisis.

4.2. Resultados
En las simulaciones se utilizaron dos escenarios con distinta topología cada uno. En ambos modelos, y para ambos escenarios, se suponen capacidades de generación constantes para todos los periodos.12
4.2.1. Escenario agregado (tres nodos)
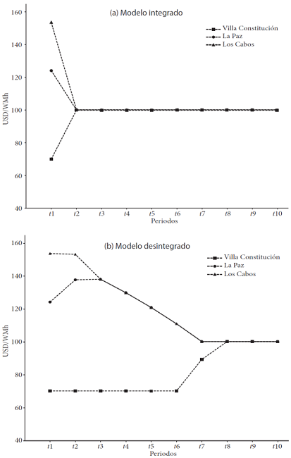
El primer escenario representa una topología agregada del sistema eléctrico de Baja California Sur muy parecida a la presentada en el PRODESEN. Este escenario considera únicamente tres nodos (Villa Constitución, La Paz y Los Cabos) para los cuales se calculan los precios nodales y el correspondiente bienestar asociado durante diez periodos de simulación.
Con la información disponible hicimos una agregación de nodos discriminando por regiones de transmisión definidas por SENER en el PRODESEN 2015-2029. Las capacidades de generación de los 31 nodos se promediaron para construir la generación de estos tres nodos agregados. Las capacidades de las líneas agregadas se tomaron directamente del PRODESEN.
En la Gráfica 1 presentamos el comportamiento de los precios nodales para el escenario agregado para cada uno de los modelos, integrado y desintegrado.

Se puede observar que el modelo integrado logra convergencia de precios 13 a partir del segundo periodo de simulación, y que esta convergencia se mantiene constante bajo los supuestos considerados de generación y demanda. En contraste, el comportamiento de los precios para el modelo desintegrado muestra un desempeño convergente más lento. La convergencia empieza a darse a partir del octavo periodo de simulación.
Sin embargo, en el modelo desintegrado se mantiene un precio nodal comparativamente más bajo (Villa Constitución) durante varios periodos, lo cual garantiza que los consumidores de este nodo tengan un excedente considerable siempre que el precio se mantenga por debajo del nivel de convergencia. El caso inverso aplica para los otros dos nodos. En este sentido, aunque lo precios nodales puedan usarse como referencia para evaluar el cambio en el excedente de los consumidores en un nodo, un análisis de bienestar integral debe considerar otras variables adicionales al comportamiento de los precios.
Por construcción, nuestro modelo permite medir de forma sencilla el bienestar (W) asociado a cada proceso de decisión. En el Cuadro 4 presentamos el análisis del bienestar social asociado a cada modelo.
| Modelo desintegrado | Modelo integrado | |
|---|---|---|
| Bienestar social (USDm/MWh) | 1 388.43 | 1 397.39 |
El escenario nodal agregado puede ser comparado con los precios presentados en el PRODESEN 2015-2029 para las regiones de transmisión Villa Constitución, La Paz y Los Cabos. Las diferencias entre los precios calculados en este estudio y los publicados en el PRODESEN se deben principalmente a los supuestos sobre generación y demanda que hemos asumido.
4.2.2. Escenario desagregado (31 nodos)
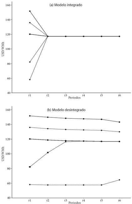
El segundo escenario que analizamos contiene información más detallada del sistema eléctrico de Baja California Sur. Contempla todos los nodos y líneas de transmisión del sistema de acuerdo con la información del Cuadro 1. Este sistema muestra la constitución real actual del mismo.
En la Gráfica 2 mostramos el comportamiento de los precios desagregados. Muchos precios resultaron ser idénticos, sea porque tenían el mismo tipo de tecnología o debido a la existencia de nodos únicamente con demanda. Es por esto que la Gráfica 2 incluye menos de 31 precios.

Para el escenario desagregado se observa un comportamiento similar para el desempeño de los precios nodales bajo el modelo integrado. El modelo desintegrado, sin embargo, muestra un comportamiento aparentemente menos eficiente. Esto se debe a que conforme aumenta el tamaño de la red las diferencias entre ambos modelos se hacen más significativas. Podemos decir que cuando se eleva el número de líneas de transmisión el modelo desagregado tiene todavía mayor dificultad para alcanzar inversiones eficientes debido a la falta de correspondencia entre el despacho de energía y la planeación de la transmisión. Ya que este escenario contempla 31 nodos y 39 líneas de transmisión, las diferencias en el comportamiento de los precios son todavía más significativas.14 En el Cuadro 5 analizamos los resultados en términos de bienestar del escenario que contempla a detalle el sistema eléctrico del territorio estudiado.
| Modelo desintegrado | Modelo integrado | |
|---|---|---|
| Bienestar social (USDm/MWh) | 274.38 | 287.73 |
Tanto en el escenario agregado como en el desagregado, el modelo integrado ha mostrado ser superior en términos de bienestar social para los periodos de simulación contemplados.15 Aunque en el largo plazo los precios nodales son convergentes en ambos modelos, el tener una convergencia rápida permite que el bienestar aumente casi de forma inmediata en el modelo integrado.
El resultado obtenido es representativo y aplicable no sólo al sistema eléctrico de Baja California Sur, sino también al Sistema Eléctrico Nacional. Esto se debe a la aplicación de un mecanismo general de toma decisiones de inversión basado en la optimización del bienestar social. El modelo identifica qué líneas de transmisión tienen problemas de congestión (causando un aumento en el precio nodal), a la vez que pondera entre el costo de aumentar la capacidad en dichas líneas y el beneficio social que se obtendría al disminuir el precio nodal vía disminución de la congestión. La generalidad del modelo descansa en que, sin importar la topología o tamaño de la red, el mecanismo asegura que la inversión en capacidad de transmisión es la más eficiente, tomando como referencia los cambios en el bienestar social.
Es importante mencionar que el modelo desintegrado no contempla de forma explícita los costos asociados a la inversión en transmisión en la función objetivo. El bienestar social asociado a este modelo debería ser aún menor. Los datos de bienestar para el modelo desintegrado están entonces sobreestimados, por lo que las diferencias en bienestar entre el modelo integrado y el desintegrado son aún mayores.16 En particular, en el modelo desintegrado se debe restar el costo de la inversión en transmisión, el cual es más alto en el escenario desagregado debido a que el número de líneas es mayor.
5. Conclusiones
En el presente trabajo analizamos dos procesos de decisión para realizar inversiones en la red de transmisión eléctrica. En el primer modelo (integrado) presentamos un proceso de decisiones conjuntas, en donde la expansión de la red está estrechamente ligada al despacho de la generación. En el segundo modelo (desintegrado) analizamos un proceso en el cual la expansión de la red sigue una trayectoria de crecimiento independiente del proceso de generación. El modelo integrado sigue un esquema de planeación similar al proceso para la elaboración del PRODESEN.
Los modelos propuestos son simulados utilizando datos del sistema eléctrico de Baja California Sur con el fin de evaluar el comportamiento de los precios de la electricidad en cada nodo y medir efectos sobre el bienestar económico. Los resultados muestran que el modelo integrado arroja mayores niveles de bienestar. Esto se debe a que la coordinación entre la planeación de generación y transmisión hace que la congestión del sistema se reduzca de manera considerable desde el segundo periodo de simulación.
El considerar dos escenarios y topologías de red para el mismo sistema nos permite inferir el desempeño de ambos modelos en sistemas eléctricos de diferentes tamaños. El modelo integrado es más eficiente que el desintegrado. Esto se acentúa al ampliarse el tamaño de la red y al considerar un sistema más realista con 31 nodos. La complejidad para tomar decisiones de expansión acertadas aumenta en función del número de líneas de transmisión. Para el caso de México, donde se operará bajo un sistema de precios nodales y con una topología compleja (como la del Sistema Eléctrico Nacional), este resultado nos permite inferir implicaciones de política pública. Una muy importante es que la coordinación eficaz y oportuna entre SENER y CENACE en materia de planeación es determinante para el desarrollo del sector eléctrico nacional.
Adicionalmente, debe considerarse que la mayor penetración de tecnologías renovables implicará fluctuaciones importantes en la forma óptima de realizar el despacho de la energía eléctrica y la consecuente planeación de la expansión de la red de transmisión. El modelo aquí presentado podría ampliarse para capturar las fluctuaciones de las energías renovables mediante el establecimiento de una temporalidad más detallada (en términos de horas). Esto añadiría complejidad computacional al modelo, pero no cambiaría la estructura general. Finalmente, otra extensión sería añadir al análisis algunas medidas de manejo de la congestión basadas en el redespacho de generadores que procuren lidiar con las fluctuaciones de la energía renovable.
Referencias
Bushnell, J.B. y Stoft, S.E. (1997). Improving private incentives for electric grid investments. Resource and Energy Economics, 19(2), pp. 85-108.
Green, R. (2004). Electricity transmission pricing: How much does it cost to get it wrong? [Working Paper no. 04-020]. Disponible a través de: Center for Energy and Environmental Policy Research, <http://ceepr.mit.edu/files/papers/2004-020.pdf>.
Grimm, V., Martin, A., Schmidt, M., Weibelzhal, M. y Zötl, G. (2016). Transmission and generation investment in electricity markets: The effects of market splitting and network free regimes. European Journal of Operational Research, 254(2), pp. 493-509.
Hogan, W. (2002). Financial transmission right formulations. Center for Business and Government, John F. Kennedy School of Government, Harvard University Cambridge, Massachusetts. [Presentación para la HEGP Twenty-Eight Plenary Sessions, 20(2)].
Hogan, W. (2013). Financial transmission rights: point-to-point formulations. En: J. Rosellón y T. Kristiansen, Financial Transmission Rights: Analysis, Experiences and Prospects. Lecture Notes in Energy. Volumen 7. Londres: Springer-Verlag.
Kemfert, C., Kunz, F. y Rosellón, J. (2016). A welfare analysis of electricity transmission planning in Germany. Energy Policy, 94, pp. 446-452.
Kunz, F. (2013). Improving congestion management: How to facilitate the integration of renewable generation in Germany. The Energy Journal, 34(4), pp. 55-78.
Léautier, T.-O. y Thelen, V. (2009). Optimal expansion of the power transmission grid: Why not? Journal of Regulatory Economics, 37(2), pp. 127-153.
Sauma, E.E. y Oren, S.S. (2006). Proactive planning and valuation of transmission investments in restructured electricity markets. Journal of Regulatory Economics, 30(3), pp. 358-387.
Sauma, E.E. y Oren, S.S. (2009). Do generation firms in restructured electricity markets have incentives to support social-welfare-improving transmission investments? Energy Economics, 31(5), pp. 676-689.
Schweppe, F., Caramanis, M., Tabors, R. y Bohn, R. (1988). Spot Pricing in Electricity. Massachusetts: Kluwer Academic Publishers.
SENER (2014a) [Secretaría de Energía]. Decreto por el que se expiden la Ley de la Industria Eléctrica, la Ley de Energía Geotérmica y se adicionan y reforman diversas disposiciones de la Ley de Aguas Nacionales. Diario Oficial de la Federación, tomo DCCXXXI, no. 8, lunes 11 de agosto de 2014, edición vespertina, pp. 44-101.
SENER (2014b). Decreto por el que se crea el Centro Nacional de Control de Energía. Diario Oficial de la Federación, tomo DCCXXXI, no. 21, jueves 28 de agosto de 2014, edición vespertina, pp. 39-46.
SENER (2017). Programa de Desarrollo del Sistema Eléctrico Nacional 2017-2031. [en línea] México: SENER. Disponible en:<https://www.gob.mx/sener/acciones-y-programas/programa-de-desarrollo-del-sistema-electrico-nacional-33462>.
SENER (2013) [Secretaría de Gobernación]. Decreto por el que se reforman y adicionan diversas disposiciones de la Constitución Política de los Estados Unidos Mexicanos, en Materia de Energía. Diario Oficial de la Federación, tomo DCCXXXIII, no. 17, viernes 20 de diciembre de 2013, edición vespertina, pp. 2-13.
Zenón, E. y Rosellón, J. (2017). Optimal transmission planning under the Mexican new electricity market. Energy Policy, 104, pp. 349-360.
Notas