Articles
Redistribution, Inequality, and Growth: GVAR Approach
Redistribución, desigualdad y crecimiento: un enfoque GVAR
Redistribution, Inequality, and Growth: GVAR Approach
Investigación económica, vol. LXXXI, no. 321, pp. 62-87, 2022
Universidad Nacional Autónoma de México, Facultad de Economía
Received: 04 January 2022
Accepted: 05 May 2022
ABSTRACT:
This article investigates the effect of GDP redistribution in 33 economies in the period 1980Q1-2019Q4, using the GVAR model. Redistribution shocks increase GDP to a greater extent in groups of countries with greater inequality, losing their effectiveness in more egalitarian groups. Credit and investment stood out as potential transmission channels for these shocks. By incorporating financial development, the shocks of inequality no longer harm production in most cases. Similarly, the interaction between financial development and redistribution enhanced the effect of redistribution on the production of more egalitarian groups. This evidence suggests that financial development can bring benefits to redistribution and reduce the harm of inequality. Finally, we found significant heterogeneity in the responses of the GDP of each economy to redistributive shocks, suggesting that domestic specificities are relevant for the understanding of redistribution policies.
JEL: E27, E37, O40
Keywords: Redistribution, inequality, gdp, growth, financial development.
RESUMEN:
En este artículo se investiga con un modelo GVAR el efecto de la redistribución del PIB en 33 economías en el periodo 1980Q1-2019Q4. Los choques de redistribución incrementan el PIB en mayor medida en grupos de países con más desigualdad y pierden su efectividad en grupos de países más equitativos. El crédito y la inversión destacan como canales potenciales de transmisión de estos choques. Al incorporar el desarrollo financiero, los choques de desigualdad cesan de perjudicar a la producción en la mayoría de los casos. De igual manera, la interacción entre el desarrollo financiero y la redistribución aumenta el efecto de la redistribución sobre la producción de los grupos de países más igualitarios. Esta evidencia sugiere que el desarrollo financiero puede conferir beneficios a la redistribución y reducir el perjuicio de la desigualdad. Finalmente, encontramos heterogeneidad significativa en las respuestas del PIB de cada economía ante choques redistributivos, lo cual sugiere que las especificidades nacionales son relevantes para la comprensión de las políticas de redistribución.
JEL: E27, E37, O40
Palabras clave: Redistribución, desigualdad, pib, crecimiento, desarrollo financiero.
1. Introduction
The theme of income inequality has gained more and more space in both public debate and academic works. Piketty (2014) argued that inequality has worsened in recent decades in the major countries of the world economy. Consequently, several studies have sought to detail the relationship between inequality and growth, investigating public policies and structural reforms to improve income disparity (Grundler and Scheuermeyer, 2018; Madsen, Islam, and Doucouliagos, 2018).
This article is an addition to this discussion. Our objective is to analyze the effect of income redistribution on production in economies grouped by levels of inequality. The secondary objectives are to investigate the links between redistribution and production, the impact of inequality on production and increased production on inequality.
The method used is the Global Vector Autoregressive (GVAR), which makes it possible to model domestic dynamics for all economies in the sample. By connecting each economy with the others through economic integration variables, this method treats each region as an open economy, subject to the effects of the dynamics of other regions in the face of shocks. The GVAR indicates specificities that each region has in the face of similar shocks, deepening the understanding of economic policies.
We applied redistributive shocks, with a sample of 33 economies between the quarters 1980Q1 to 2019Q4. The results suggest that the Gross Domestic Product (GDP) reacts more in line with the degree of income inequality. In groups with higher inequality, the redistribution effect was more intense than in groups with lower inequality. Credit and investment played the role of the channel in which these shocks were transmitted to groups with higher inequality.
We investigated the relationship between inequality and production with shocks on the two variables. Positive shocks to inequality reduce production. However, when we conditioned this shock to financial development, the drop in production faded, significantly minimizing the negative effect of inequality on production. Concerning groups with lower income inequality, the interaction between redistribution and financial development improved the impact of this shock on GDP. In the case of growth, GDP shocks have contributed to the reduction of income inequality.
On the contributions of the article, we present a new method in this literature. In general, articles use panel data, VAR/VEC, or PVAR (Gu and Tam, 2013; Berg et al., 2018; Samarina and Nguyen, 2019). This article uses the GVAR in redistribution and production analysis.
Madsen, Islam, and Doucouliagos (2018) argue that financial development is one of the main channels linking inequality to growth. In particular, they conclude that economies with a high level of financial development have a reduced adverse effect of inequality on growth. This article incorporates financial development and begins to study this segment with inequality and income redistribution. Berg et al. (2018) evaluated redistribution with growth according to the size of the redistribution. Here, we evaluate redistribution based on the criterion of the level of inequality.
Grundler and Scheuermeyer (2018) state that redistribution significantly affects production in developing countries, and is innocuous in advanced economies. We extend this hypothesis by investigating the interaction between redistribution and financial development.
Regarding the controversy and delicate issue of the endogeneity between inequality and production, we treated it with shocks in both variables instead of instrumental variables, a feature seen in the panel data.
Finally, the last contribution is the presentation of the enormous heterogeneity in the GDP response to the redistribution among the 33 economies in the sample. Domestic shocks show that domestic idiosyncrasies are significant for understanding different GDP trajectories after the shock. Although grouping of economies under criteria is useful in the analysis, this feature omits great heterogeneity. Therefore, as Favero, Giavazzi, and Perego (2011) argued in the study of fiscal policy, it is not easy to maintain only one political standard with similar effects in all countries. Heterogeneity shows that domestic specificities are relevant for the understanding of redistributive economic policies.
In addition to this introduction, we divided the article into 5 sections. Section 2 provides a brief review of the literature; section 3 describes GVAR; section 4 presents the data; section 5 portrays econometric exercises; section 6 makes final comments.
2. Literature Review
The issue of income inequality has gained increasing space in studies on economic growth and fiscal policy. A commonly cited landmark to elucidate this advance is Piketty’s book (2014), which showed the evolution of inequality over the centuries. One of the main topics is the growing income disparity between segments of the population, such as the accumulation of wealth by the richest 1% (Alvaredo et al., 2018, p. 103): “We found that the global top 1% captured twice the total growth of the 50% global low between 1980 and 2016”.
We can see this new focus in works on economic growth. While in the 1990s, it was common for articles not to incorporate income inequality in growth regressions, such as Barro (1991, 1996) and Hall and Jones (1999), it has now become more common to use this variable (Berg et al., 2018). In fiscal policy, Meltzer and Richard (1981) and Easterly and Rebelo (1993) are pioneers in analyzing the influence of inequality on public spending. According to Meltzer and Richard (1981), income inequality can interfere with voters' median preferences, making them prefer more significant redistribution, since it would increase their total income. Easterly and Rebelo (1993), although they do not build a model denoting this idea, present a similar conclusion, that is, income disparity can change fiscal policy, particularly the composition and allocation of expenditures.
A controversial point in this literature is the relationship between inequality and growth. The potential existence of endogeneity between these variables adds enormous difficulty in the causality analysis. Thus, we have studies discussing in different directions regarding the observed effect. According to Berg et al. (2018, p. 264): “It bears emphasizing that the literature has found it difficult to disentangle definitively cause and effect in these relationships”. As pointed out in the introduction, we contributed to this literature by using the GVAR to address this issue.
Using panel data from a sample of 21 Organization for Economic Co-operation and Development (OECD) countries between 1870 and 2011, Madsen, Islam, and Doucouliagos (2018) create a variable of interaction between income inequality and financial development and relate it to economic growth. The authors note that rising inequality is only harmful when a country has low or moderate levels of financial development. When this level is high, inequality no longer negatively affects growth.
One of the justifications, considered as one of the main channels of dissemination of the effect of inequality on growth, is the credit restriction that individuals may face in underdeveloped financial systems (Berg et al., 2018). The frictions in the credit market make the poorest agents unable to become entrepreneurs, advance their ideas and open new companies. Consequently, investment is lower in situations like these.
Rajan and Zingales (2003) explore other channels of an underdeveloped financial market that amplifies the damage generated by income inequality. The poor have more difficulty to obtain credit, adversely impacting the formation of human capital and reducing income mobility. Concerning publicly traded companies, they face insufficient funds to develop long-term investment plans, resulting in a lower investment rate for the economy. In the econometric section, we evaluate credit and investment as possible links between inequality and production.
Most inequality and growth studies use samples from many countries and panel data. One exception is Gu and Tam (2013), who studied the Chinese economy. They conclude that increasing inequality undermines growth, although it has a positive effect on the level of the saving rate. Like Gu and Tam (2013), Kohlscheen, Lombardi, and Zakrajsek (2021) analyzed demand components on inequality, with the difference that, while the first work focused on saving, the second focused on consumption. Kohlscheen, Lombardi, and Zakrajsek (2021) highlighted that in times of economic crisis the drop in consumption is more significant in countries with high levels of inequality. In other words, income inequality can promote changes in savings and consumption, with subsequent effects on production.
Focusing analysis on only one economy provides the advantage of considering domestic idiosyncrasies, enriching the study, as conducted by Gu and Tam (2013). However, this approach suffers from the limitation of treating the country as a closed economy, disconnected from international trade and capital flows. This limitation does not occur with the panel data, but it has only one coefficient for several economies, which hides domestic particularities. The GVAR can deal with these limitations, enabling the modeling of domestic dynamics for all economies in the sample, with the option of grouping countries according to the subjective criteria of the researcher, a path followed in this article.
In addition to the relationship between inequality and growth, Grundler and Scheuermeyer (2018) and Berg et al. (2018) incorporated the redistribution variable. Redistribution consists of the difference between the market Gini index and the post-market Gini index. The higher this value, the greater the evidence of income transfers to equalize income. The first work did not obtain a significant redistribution effect on developed economies, whereas the effect was more evident in developing countries. On the other hand, Berg et al. (2018) showed a positive relationship between these variables, except when redistribution was high.
The present work was mainly motivated by Grundler and Scheuermeyer (2018), with the interest of deepening the study of the effects of redistribution on production, focusing on financial development and investment as channels that connect redistribution and inequality with production.
3. Methodology
The presentation of GVAR is based on those of Pesaran, Schuermann, and Weiner (2004), Dees et al. (2007) and Ricci-Risquete and Ramajo-Hernández (2015). The approach followed here consists of describing isolated regions, and the next step in unifying them into a single global system, the GVAR.
The equation below is a VARX(p,q), characterized by domestic and foreign variables, vectors xit and x*it, respectively, where i denotes a region, ranging from 0 to N regions, in a space of N+1 regions. In this case, the US is commonly assumed as region 0. The term t is the period, ranging from 1 to T. The vector of foreign variables is responsible for connecting all regions, thus incorporating international trade to the model, and the treatment of each region as an open economy:
The other terms are ai0, the intercept vector; ai1 , trend terms vector; Φi1, coefficient matrix of lagged values of domestic variables; Λi0 matrix of coefficients of foreign variables; Λi1, matrix of coefficients of lagged values of foreign variables; and uit is the vector of specific shocks for each region.
Vector uit is assumed to be serially uncorrelated, with zero mean and a non-singular covariance matrix, Σii = (σii,ls), where σii,ls = cov(uilt, uist). Therefore,
The construction of foreign variables takes place based on Equation [3]. This equation shows that the foreign variable of region i results from the weighting of the participation of region i with region j according to a variable chosen by the researcher, wij, weight matrix, multiplied by the domestic variables of xjt:
In general, we use the wij matrix to represent bilateral trade in a given period. In this article, we adopted the average bilateral trade between the years 2014-2016.
Continuing with the construction of the GVAR, we create the vector 𝑧 ??𝑡 = 𝑥 𝑖𝑡 ′ , 𝑥 𝑖𝑡 ∗ , composed of domestic and foreign variables. This vector makes it possible to rewrite Equation [1]:
We incorporate all domestic variables from all regions into the global vector xt =(x’0t ,…,xNt). With the help of the link matrix, Wi, characterized by the relative weights between regions, we can write the identity with the new vectors created: zt = Wi xt. Equation [4] changes with the use of this identity:
Now we stack each model:
In general, the matrix G0 will be non-singular, and we can multiply it by its inverse. Performing this procedure in [6], we have the GVAR:
Where , to m = 1,2,3,…,r; , and .
In the existence of unit root, we use the model in the form of error correction, with all the steps described above. Equation [7] can be solved recursively to obtain future values of the global vector xt. From this point, analyses such as those performed in VAR/VEC models can be used as impulse response functions and variance decomposition.
4. Data
One of the difficulties of this work was reconciling quarterly data to income inequality variables -notably portrayed in annual frequency- with the analyzed period and with the size of the countries in the sample.
The first database is Mohaddes and Raissi (2020), composed of 33 countries and covering 1979Q2 to 2019Q4. From this base, we obtained the weighting matrix of the bilateral trade between the economies. In addition to this data, we extracted the real GDP, the inflation rate, the short-term interest rate, the real exchange rate, and the real value of the stock market. All these variables are quarterly. The justification for incorporating them is the effort to incorporate the macroeconomic environment into the estimates.
We characterize credit by credit provided by the private sector in quarterly proportion to the GDP from the Bank for International Settlements (BIS). As some economies did not have this information, we used the credit/GDP of the World Bank to fill these gaps. From the World Bank, in addition to credit, real investment and real private consumption were collected.
We obtained the income inequality variables from The Standardized World Income Inequality Database (SWIID): The market Gini and the post-market Gini. The first variable is the Gini index without the influence of income redistribution carried out by the government via transfers and subsidies, while the second is the new Gini incorporating these changes. The third and last variable of this base is income redistribution. We calculated it by the difference between the market Gini and the post-market Gini. The greater the redistribution value, the greater the distribution of income to equalize income.
SWIID and World Bank variables are annual, so we deployed the denton method to change the frequency to quarterly.
We decided to limit the period to 1980Q1-2019Q4 because of the redistributive variable (its values go up until 2019). Furthermore, all variables, except for redistribution, are in log. As is common practice in GVAR works, we modeled the Euro area by aggregating eight countries (Austria, Belgium, Finland, France, Germany, Italy, Spain, and the Netherlands) based on the average real GDP in purchasing power parity (PPP) between 2014 and 2016.
Although we apply different specifications during the econometric exercises, one of them is pictured below so that we can visualize the domestic and foreign variables:
Where yit, redit, ginidit, pit, respectively, portray GDP, redistribution, post-market Gini, and prices. These same terms with asterisks denote foreign variables.
The only exception, followed by Pesaran, Schuermann, and Weiner (2004) and Dees et al. (2007), is the reduction in the number of foreign variables in the US. Given the importance of this economy, we follow the recommendation of Dees et al. (2007) to have parsimony in this part of the setup. That’s why we chose to use GDP and the inflation rate for the US as foreign variables.
Econometric analysis will take place in two ways. The first is composed of groups of regions with similarities in terms of inequality. In this case, five groups are created: U++ (very unequal), U+ (unequal), TR (in transition), E+ (equal) and E++ (very equal). Each group consists of 5 economies, with the exception of TR, which has four economies. The real GDP in ppp of each region weights the estimates of the groups.
Table 1 shows the groups (we will also refer to these groups as country clusters in some opportunities), the average post-market Gini index for the group between 1980-2019, and the countries that make up the aggregate. U++ has 4 Latin American countries, along with South Africa, presenting the highest uneven level in the sample (Gini of 0.6), followed by Brazil (Gini of 0.5). U+ mixes countries of Latin America and Asia: There is inequality at a level below U++ but still high, with an average Gini of 0.43. We call the third group “transition” (TR) because it presents intermediate cases: countries that, with future developments, can rise to higher levels of inequality (U+) or reduce them, migrating to the egalitarian group (E+). This group has 3 Asian countries and the US. The E+ and E++ groups stand out for their low level of inequality, with the second group having an average Gini of 0.27, with Sweden having the lowest average Gini in the entire sample (0.24).

The intention of using these groups is to verify whether shocks on redistribution have common traits according to the levels of inequality. That is, we aim to detect patterns of behavior. However, we also implement a disaggregated analysis when each country is analyzed individually, the second form of analysis. Both forms of the analysis are shown as alternatives and contributions to the literature compared to the panel data, which provides only one coefficient for the entire sample.
Model adjustment tests such as unit root, lags, cointegration, weak exogeneity, and persistence profile tests will not be presented due to article space and can be made available upon request. Despite this absence, the results were favorable to the stability of the model.
5. RESULTS
5.1. Redistribution and inequality
This section uses the Generalized Impulse Response Function (GIRF) to proceed with the analysis. GIRFs do not have the identification of the shock as the central objective; its main objective is to show the propagation mechanisms that it implies in the system.
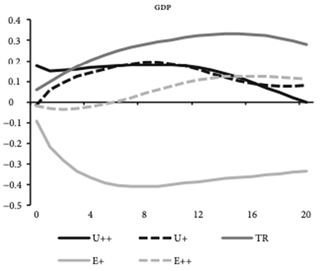
The first part of Figure 1 depicts the response of GDP to a positive shock of a standard deviation on redistribution. The group with the highest inequality (U++) has the most significant expansion of GDP, with 0.4%, followed by the group with lower level inequality (U+) with 0.2%. This shock had a positive effect on the GDP of the E+ group, around 0.2%. The other groups (TR and E++) showed a fall in GDP. Figure 1 suggests that redistribution is more effective in country clusters with a higher level of inequality, notably developing nations. In the configurations applied later, we will argue that this conclusion will be maintained and strengthened: The higher (the lower) the level of inequality, the greater (the lower) the effectiveness of redistribution in increasing GDP.

These estimates agree with the works of Grundler and Scheuermeyer (2018) and Berg et al. (2018). Grundler and Scheuermeyer (2018) point out that redistribution impairs growth, decreasing investment and increasing the fertility rate. The positive results of redistribution were seen only in cases of less developed countries. On the other hand, Berg et al. (2018) defend that the size of the redistribution is the most critical factor. When the level of redistribution was high, this policy had counterproductive effects.
The remainder of Figure 1 explores the discussion of the effects between inequality and GDP. Gu and Tam (2013), Grundler and Scheuermeyer (2018) and Berg et al. (2018) note that inequality negatively affects GDP through different channels, such as human capital and fertility. On the other hand, Madsen, Islam, and Doucouliagos (2018) qualify this result, stating that it depends on financial development: In economies with high financial development, inequality is innocuous for GDP.
The central part of Figure 1 displays a positive shock on the post-market Gini. With the exception of the transition and the egalitarian groups (TR and E+), all other groups revealed a decrease in GDP, with more significant intensity in the group with greater inequality (U++), with an accumulated value of 0.5%. In the other groups, we identified the falls between 0.1 and 0.2%. Later, in this section, the channels responsible for these falls will be explored. We draw attention to the sensitivity of U++ to the two shocks applied. The higher unequal group presented the strongest GDP response to a redistributive shock and portrayed the most vulnerable response to increased inequality -perhaps this last point occurs because these economies have an especially elevated inequality level, which further aggravates the economic environment.
The last part contributes to another controversial point: Whether more production growth is the way to reduce inequality. According to Alvaredo et al. (2018, p. 108): “High growth in emerging countries alone is not sufficient by itself to lift the global bottom half out of poverty. Reducing inequality within countries is also critically important”. Thus, the third part of Figure 1 presents the consequences of the inequality that a GDP shock can bring.
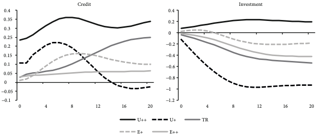
The results are favorable for advocates of higher growth to contain inequality. The groups U++, U+ and E++ indicate a fall in inequality, albeit at a low level, not exceeding 0.1%. The E+ group had no significant value, losing any effect after a few quarters, and the TR group was the only one that showed an increase in inequality over time. The next step is to investigate the channels that contributed to the effect of the redistribution on groups. Figure 2 shows credit and investment reactions after the redistribution shock.

The highlight of Figure 2 is U++, with positive expansions in both credit and investment. Credit advances slowly and gradually over the quarters, reaching 0.35% in the final period. Investment advances from the beginning until it stabilizes in the 12th quarter at 0.2%. As we have been portraying, the redistribution effect tends to be stronger in groups with greater inequality, and U++ reinforces this conclusion in Figure 2. As a transmission channel, credit expanded to all groups except at the end of the period for U+. On the other hand, investment was relevant only to U++ (this result will be questioned over the analysis: Investment, such as credit, is an important bridge between redistributive policies and GDP).
As discussed in the literature review, the income redistribution policy contributes to mitigating the harmful effects of income inequality, such as the exclusion of individuals from low-income strata from access to the financial market. These individuals may suffer impediments or even exclusions from business and entrepreneurial activities in the absence of redistribution. However, with redistribution, these imperfections can be minimized, promoting these people's access to credit markets and, therefore, sustaining capital investments in productive activities.
Figure 2 suggests this relationship with the U++ group. We can speculate that individuals without prior access to the financial market started to have it or that the credit market, perceiving a potential demand, developed mechanisms to serve it. In both cases, we could expect an increase in investment, as we indeed observe.
The results of the TR, E+, and E++ groups indicate that only credit plays the role of the channel between redistribution and GDP. One way to assess and qualify these results is to remember that, in Figure 1, GDP reactions tended to be weaker in groups with lower inequality. Therefore, we can argue that the fall in investments could depict channels through which GDP decreases would occur.
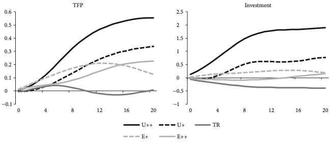
Aghion, Antonin, and Bunel (2021) point out that increasing inequality can be detrimental to firms’ innovation, as the income disparity compromises the emergence of potential innovators and entrepreneurs. In this economy, therefore, fewer ideas would be generated, compromising production. With redistribution, however, these individuals could engage in innovative activities, with investment reacting positively. Figure 3 analyzes this possibility with the incorporation of TFP (total factor productivity) in the model. We obtained this variable using the same Cobb-Douglas production function of Cole et al. (2005), with PWT data for real GDP and real capital per worker and changing its frequency to quarterly with the denton method.

Again, as depicted in Figure 2, the unequal group (U++) presents a stronger expansion of the selected variables than the other groups. TFP has a cumulative increase of 0.6%, and investment reaches almost 2%. Another highlight is the U+, with positive responses in both variables. The TR group keeps showing disparate values, which can be partly attributed to the countries that compose it: They are in an intermediate situation, can go to the unequal groups or improve inequality and migrate to egalitarian groups.
In this way, redistribution seems to encourage an increase in innovation and investment for groups with more prominent inequality, with the aid of credit as a source of financing for these activities (Figure 2). The very movement of these individuals in productive activities, channeled by credit, and portrayed by the increase in investment, can generate a simultaneous increase in innovation, since these variables are often intertwined.
The E+ and E++ groups came close to what we can visualize in the U++ and U+ groups: Despite the increase in TFP and investment, the expansion occurred at lower values. Perhaps because E+ and E++ are made up of developed countries, redistributive policies affect their economies differently from developing countries: TFP or technology-related variables may play more essential roles than GDP, as shown in Figure 1, when these groups had a weak GDP response to the redistributive shock. This qualification reinforces the importance of separating countries by groups to investigate redistributive shock.
The results of this subsection suggest that redistribution has a higher impact on GDP in groups of countries with higher inequality. GDP has expanded more comprehensively than other groups, with credit and investment functioning as transmission channels to the shock. TFP also seems to play this role, as portrayed in Figure 3. In the TR, E+, and E++ groups, we had different responses. Redistributive shock affects TFP more intensely than the GDP of these groups, with credit playing a role in the transmission of the shock.
Regarding the inequality-growth relationship, the GDP shock alleviated the income disparity in most groups, and the inequality shock negatively affected households, without distinguishing by the inequality level.
5.2. Interaction with credit
Figure 1 pointed out that the shock to inequality reduces GDP. However, we did not condition this shock. Madsen, Islam, and Doucouliagos (2018) interact financial development with inequality and perceive that growth is negatively affected only for economies with low or moderate level of financial development. In the case of economies with high financial development, inequality was not harmful.
The exercise of this subsection will follow a similar strategy, with the financial development proxy being the credit/GDP ratio, which we interact with the market Gini index. Figure 4 shows the results of a positive shock on the variable of inequality in interaction with credit and the GDP response.

The results corroborate the argument that financial development can reduce or even eliminate the negative influence of inequality on production. In the group with the most significant inequality (U++), the initial effect is 0.2% positive, decreasing later until it becomes non-significant. In U+, the cumulative effect is 0.1%, while in TR, the value is 0.3%. In E+, production initially drops, but recovers and ends the period with a positive value. The only exception between the groups was E++, which registered a fall in GDP after the shock on the variable of interaction.
Developed financial markets manage to overcome the exclusion that inequality could cause for poor individuals. In the absence of their resources, these people could finance themselves using credit, as long as there is an infrastructure to support this type of transaction (Rajan and Zingales, 2003).
While the estimates in Figure 4 are close to Madsen, Islam, and Doucouliagos (2018), Table 2 questions one of their conclusions: The level of financial development is the primary determinant for distinguishing the negative effect of inequality on production. According to Table 2, which depicts the average credit/GDP between 1980-2019 for inequality groups, as the level of inequality decreases, financial development follows the opposite path, constantly rising. The highest level of financial development is precisely that of the group that presented the only negative GDP response after the shock on the credit-inequality interaction (Figure 4).

One way to reconcile the impulse-response function in Figure 4 with the information in Table 2 (keeping in mind the results in Figure 1, which showed that inequality harms production) is to build a weaker hypothesis than Madsen, Islam, and Doucouliagos (2018), that is, financial development cushions and minimizes the adverse effects of inequality. However, it is not sure that it will eliminate them. Furthermore, the level of financial development does not seem to be the crucial element for maintaining this hypothesis. It is enough that there is a structure that can provide credit and intermediate and connect potential entrepreneurs and innovators with productive activities. This infrastructure can mitigate the harmful effects of inequality on production.
We expanded the study of financial development with inequality by making another interaction variable: Credit/GDP with redistribution. The argument is similar to the previous one. Financial development can leverage the positive effects arising from the redistribution, accelerating processes that could take longer, such as the insertion of individuals in business activities.
Figure 5 presents a shock on the credit-redistribution variable and shows GDP responses. U++ has a positive response up to period 12, when it reverts to a slight fall in the product of 0.06%. On the other hand, the U+ and E+ groups noted positive effects of GDP in the range of 0.1 to 0.3%. The transition group (TR) continued to show a decrease in production after the redistribution shock.

The central information we can extract from Figure 5 is that the groups with the highest level of financial development had improved GDP reactions to the redistributive shock compared to the same shock without the interaction with credit (Figure 1) -this is mainly related to the E++ case, in which the GDP response, although negative, had a lower value in Figure 5 (keep in mind that redistributive policies mainly aim to reduce inequality, not boosting GDP). Grundler and Scheuermeyer (2018) argue that redistribution is harmless in advanced economies. Here, these economies appear in the E+ and E++ groups, which showed mixed reactions to this shock. Therefore, we have evidence that financial development can contribute to a redistributive policy for developed economies.
Considering the interaction analyzed with credit we constructed in this subsection, we present evidence that financial development plays a role in mitigating the negative impact of income inequality and in enhancing the influence of redistributive policies. We can assert that there is potential for the financial market to support the performance of economies in terms of inequality and redistribution. However, this conclusion needs parsimony because the link between the level of financial development and the effectiveness of these shocks was unclear.
5.3. Alternative specification
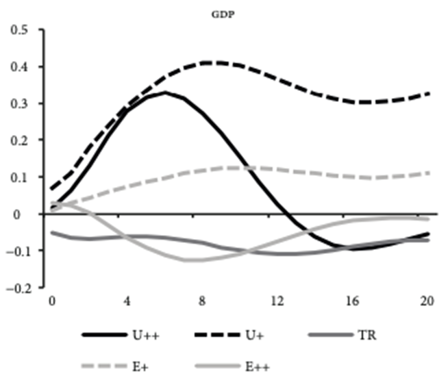
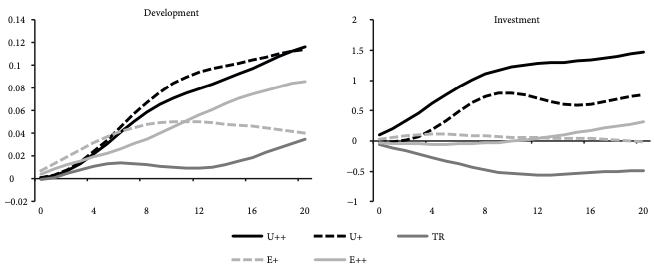
In this subsection, we implement a slight change in the configuration of the model. We change GDP by the real GDP in ppp per worker from the pwt. We can interpret this last variable as economic development or productivity per worker.
Figure 6 presents a redistribution shock and the reaction of GDP per worker and investment. We verify that the U++ and U+ groups have increases in GDP per worker around 0.12%, and the rest of the groups also have positive responses, although at lower magnitudes compared to unequal groups. Once again, we detect the high potency of redistributive policy for groups with high levels of inequality.

We test investment as a channel in the connection between GDP per worker and redistribution. Again, the results reinforce the previous conclusions. The groups with high inequality show the most significant increments, emphasizing the accumulated value of 1.5% for the U++. Aggregates with lower inequality (TR, E+, and E++) had small investment responses, so it does not seem to work as a channel for these economies.
In summary, we present evidence that redistributive policies can increase productivity (Figure 6), production (Figure 1), and innovation (Figure 3) in economies with higher levels of inequality, using credit and investment (Figures 2, 3, and 6) as transmission channels. These results support the perception that redistribution is more effective in groups with greater inequality. In the other groups, the estimates provide less precise results -we hypothesized that, for these groups, because of their economic development, we should look for other variables when considering the redistributive impact, such as its effect on innovation (Figure 3).
5.4. Domestic policies
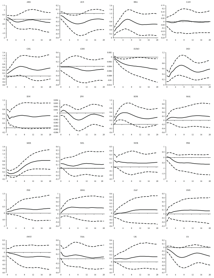
So far, we have analyzed redistributive shocks in the aggregate of countries. This approach can hide the heterogeneity we have in the sample. Figure 7 displays redistributive shocks for each economy, without gathering them in groups. Dashed lines are 90% confidence intervals.

The heterogeneity of the countries is noteworthy, with different behaviors in the face of the same shock on the system. Favero, Giavazzi, and Perego (2011) also registered significant heterogeneity when investigating a shock on the public spending in a sample of eight economies. Here, the sample consists of 33 economies (or 26 considering the aggregation of the Eurozone), giving greater amplitude to the emergence of heterogeneity.
Most economies have had a positive GDP response, except for some countries. One of the most prominent expansions of GDP occurred in Brazil, with a cumulative effect of 0.7% in the last period, while other localities, such as the Eurozone, had a decrease in its GDP. This is one of the shortcomings of the GVAR: This method does not detail the interactions between regions to understand why this result and the disparity.
Drawing again on Favero, Giavazzi, and Perego (2011), the authors concluded that Canada’s GDP benefited from the fiscal policy of its neighbor, the US. However, this statement is a guess, since the GVAR does not explain how other economies, especially border neighbors, contributed to the final result. In a sample of 33 economies, this kind of reasoning becomes even more complex and obscure.
On the other hand, the decentralized analysis of regions is useful to understand the broad heterogeneity and highlight the importance of case studies on the topic of inequality. This heterogeneity suggests that idiosyncratic factors in each region may be necessary to understand the effects of redistribution policies -perhaps even the effect of financial development on the effectiveness of this policy.
As noted in the introduction, this article contributes to the literature, showing the vast heterogeneity in redistributive policies. Although grouped countries are valid to show patterns in academic work, this approach can hide information about domestic specificities.
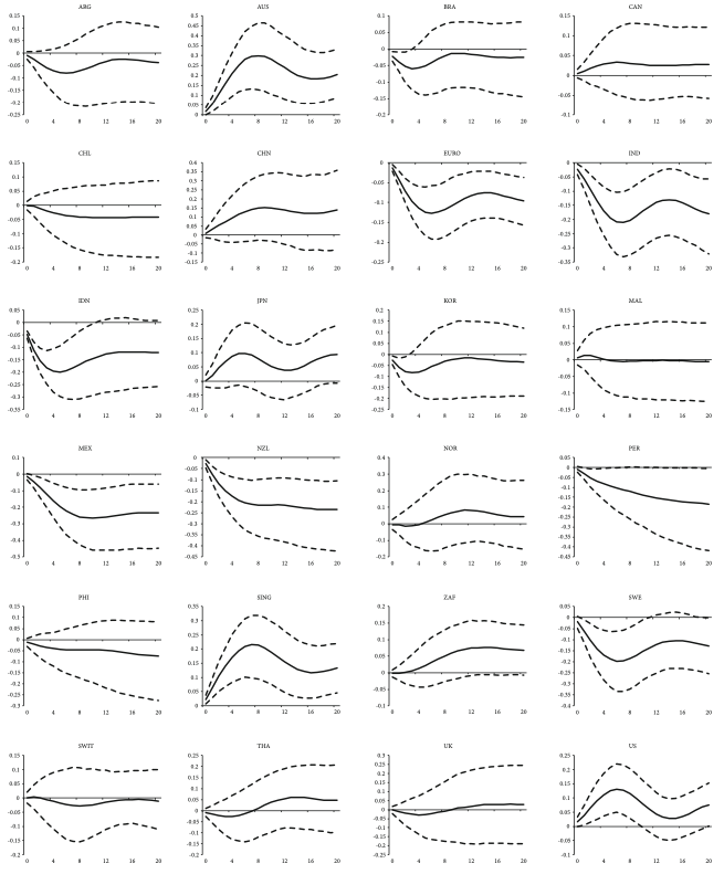
We replicated the same reasoning in Figure 8, presenting a shock on the GDP of each region and showing how inequality reacts. In the same way as Figure 7, we observed a wide variability in the results. Figures 7 and 8 make us assert that it is difficult to build a unique redistributive policy for all regions. Likewise, we should be careful when relating GDP with inequality. Heterogeneity requires parsimony from the researcher.

Finally, we conclude that there is wide heterogeneity in the sample, probably due to the local specificities of each economy. Case studies can help to understand these differences.
6. CONCLUSION
The article explored the effect of GDP redistribution based on the grouping of economies according to levels of inequality. Transmission channels and financial development were incorporated to deepen this study.
The vast heterogeneity in GDP’s response to the shock of redistribution suggests that case studies are essential to deepen understanding between redistribution, financial development, inequality and growth. Therefore, an avenue of research is to analyze specific cases with the treatment of the global economy, incorporating local characteristics of the economy under analysis. GVAR is useful in handling the global economy. Clustering regions/countries assist in the search for directions and possible approaches, but we need to address domestic specifics in individual analyses.
Regarding the recommendation of economic policies, with the reservations made throughout the article, and even in the previous paragraph, we have evidence that redistribution does not harm GDP in economies with a high level of inequality. Incorporating financial development into this policy can enhance the effects of redistribution and alleviate the damaging side of inequality in production. In cases of less unequal economies, evidence was scarcer. However, redistribution and financial development have shown potential to increase production, although further studies may improve and sharpen this preliminary conclusion. Finally, estimates indicate that the increased production contributed to the reduction of income inequality. Therefore, structural reforms that can leverage the increase in GDP may be useful -in spite of the fact that more studies are also needed to verify whether this result remains, given the controversy in the relationship between GDP and inequality.
References
Aghion, P., Antonin, C., and Bunel, S. (2021). The Power of Creative Destruction. Cambridge, MA. The Belknap Press of Harvard University Press.
Alvaredo, F., Chancel, L., Piketty, T., Saez, E., and Zucman, G. (2018). The elephant curve of global inequality and growth. AEA Papers and Proceedings, 108, pp. 103-108. https://doi.org/10.1257/pandp.20181073
Barro, R. (1991). Economic growth in a cross section of countries. The Quarterly Journal of Economics, 106, pp. 407-443. https://doi.org/10.2307/2937943
Barro, R. (1996). Determinants of economic growth: A cross-country empirical study [nber Working paper no. 5698]. National Bureau of Economic Research, Cambridge, MA. https://doi.org/10.3386/w5698
Berg, A., Ostry, J.D., Tsangarides, Ch.G., and Yakhshilikov, Y. (2018). Redistribution, inequality, and growth: New evidence. Journal of Economic Growth, 23, pp. 259-305. https://doi.org/10.1007/s10887-017-9150-2
Cole, H., Ohanian, L.E., Riascos, A., and Schmitz Jr, J.A. (2005). Latin America in the rearview mirror. Journal of Monetary Economics, 52, pp. 69-107. https://doi.org/10.1016/j.jmoneco.2004.09.002
Dees, S., Di Mauro, F., Pesaran, M.H., and Smith, V. (2007). Exploring the international linkages of the Euro area: A global var analysis. Journal of Applied Econometrics, 22, pp. 1-38. https://doi.org/10.1002/jae.932
Easterly, W., and Rebelo, S. (1993). Fiscal policy and economic growth. Journal of Monetary Economics, 32, pp. 417-458. https://doi.org/10.1016/0304-3932(93)90025-B
Favero, C., Giavazzi, F., and Perego, J. (2011). Country heterogeneity and the international evidence on the effects of fiscal policy. IMF Economic Review, 59, pp. 652-682. https://doi.org/10.1057/imfer.2011.25
Grundler, K., and Scheuermeyer, P. (2018). Growth effects of inequality and redistribution: What are the transmission channels? Journal of Macroeconomics, 55, pp. 293-313. https://doi.org/10.1016/j.jmacro.2017.12.001
Gu, X., and Tam, P.S. (2013). The saving-growth-inequality triangle in China. Economic Modelling, 33, pp. 850-857. https://doi.org/10.1016/j.econmod.2013.06.001
Hall, R., and Jones, C. (1999). Why do some countries produce so much more output per worker than others? The Quarterly Journal of Economics, 114, pp. 83-116. https://doi.org/10.1162/003355399555954
Kohlscheen, E., Lombardi, M., and Zakrajsek, E. (2021). Income inequality and the depth of economic downturns. Economics Letters, 205, pp. 1-5. https://doi.org/10.1016/j.econlet.2021.109934
Madsen, J., Islam, Md.R., and Doucouliagos, H. (2018). Inequality, financial development and economic growth in the OECD, 1870-2011. European Economic Review, 101, pp. 605-624. https://doi.org/10.1016/j.euroecorev.2017.11.004
Meltzer, A., and Richard, S.F. (1981). A rational theory of the size of government. Journal of Political Economy, 89, pp. 914-927. https://doi.org/10.1086/261013
Mohaddes, K., and Raissi, M. (2020). Compilation, revision and updating of the global VAR (GVAR) database, 1979Q2-2016Q4. Faculty of Economics, University of Cambridge (mimeo).
Pesaran, M.H., Schuermann, T., and Weiner, S.M. (2004). Modeling regional interdependencies using a global error-correcting macroeconometric model. Journal of Business & Economic Statistics, 22, pp. 129-162. https://doi.org/10.1198/073500104000000019
Piketty, T. (2014). Capital in the Twenty-First Century. Cambridge, MA. The Belknap Press of Harvard University Press.
Rajan, R., and Zingales, L. (2003). Saving Capitalism from the Capitalists. Collins Business.
Ricci-Risquete, A., and Ramajo-Hernández, J. (2015). Macroeconomic Effects of Fiscal Policy in the European Union: A GVAR Model. Empirical Economics, 48, pp. 1587-1617. https://doi.org/10.1007/s00181-014-0843-5
Samarina, A., and Nguyen, A.D.M. (2019). Does monetary policy affect income inequality in the Euro Area? [DNB Working Paper no. 626]. Available at: SSRN <https://ssrn.com/abstract=3352371>. http://dx.doi.org/10.2139/ssrn.3352371
Notes