Review
Espacios de Hardy Hp y BMO: Un breve clásico panorama
Hardy spaces Hp and BMO: A brief classic overview
Espacios de Hardy Hp y BMO: Un breve clásico panorama
Selecciones Matemáticas, vol. 9, núm. 02, pp. 381-394, 2022
Universidad Nacional de Trujillo

Recepción: Mayo , 22, 2022
Aprobación: Noviembre , 20, 2022
Resumen: En esta breve nota damos una visión de los espacios de Hardy Hp y de los espacios de oscilación media acotada BMO, dos clásicos espacios que han jugado un importante rol en las investigaciones de temas centrales en el análisis armónico. La bibliografía dada nos abre muchos caminos a seguir en este campo.
Palabras clave: BMO, Hp, BMOϕ, átomo, operador, Hp,q, Lp, Lamda, dualidad, (p,q)-átomo.
Abstract: In this brief note we give an overview of Hardy spaces Hp and bounded mean oscillation spaces, BMO, two classic spaces that have played an important role in investigations of central branches in harmonic analysis. The given bibliography opens paths to follow in this field.
Keywords: BMO, Hp, BMOϕ, atom, operator, Lp,Lamda, Hp,q, duality, (p,q)-atom.
1. Introducción.
El análisis armónico es poco conocido en nuestro país; algo lamentable pues es una de las teorías centrales de la matemática por la belleza de sus ideas, métodos y sobre todo por sus aplicaciones a muchos problemas concretos. Desde sus inicios, con el cálculo infinitesimal y sobre todo en el siglo XVIII, destacados matemáticos se dedicaron a su cultivo. Esto motivo el proyecto de que escribamos el presente artículo de divulgación, y otros, con el objetivo de motivar a los jóvenes matemáticos el estudio e investigación de esta rama del análisis. Este escrito está dedicado a los espacios de Hardy Hp y a los espacios BMO pues ellos contribuyeron al progreso de varias áreas en distintas escuelas donde las investigaron. Sobre estos espacios se ha escrito mucho, tanto en artículos como en libros. Con el objetivo de orientar su estudio citemos algunos, dentro de los que disponemos, como son: [10], [12], [24], [30], [32], [33], entre otras importantes publicaciones. Ver las Referencias dadas.
Los espacios de Hardy Hp y los espacios BMO aparecieron en varias aplicaciones, como en las ecuaciones en derivadas parciales, por ejemplo. Así los espacios Hp surgieron en estudios de la escuela inglesa siendo G.H.Hardy uno de sus notables investigadores (década de los años 1910, 20’s); en tanto a los espacios BMO, ellos fueron introducidos por F.John- L.Nirenberg en 1961, [15], y fueron aplicados de inmediato a problemas de la matemática aplicada. Veamos algunos argumentos sobre estos espacios.
Por definición se tiene BMO = {f ∈ L1(Q0)/ [f]BMO = supQ⊂Q0 1/|Q| ∫Q |f(x) − fQ|dx ≤ M < ∞}, donde Q0 es un cubo fijo en Rn y tanto Q0 como Q son cubos con lados paralelos a los ejes coordenados; fQ es el promedio 1/|Q| ∫Q f(x)dx. Con la norma ||f||BMO = [f]BMO + ||f||L1(Q0), BMO es un espacio de Banach.
La investigación de estos espacios fue muy significativa pues se aplicaron a otras ramas como son las ecuaciones en derivada parciales (EDP’s), las funciones analíticas, las martingalas en las probabilidades, espacios de tipo parabólicos, la teoría de interpolación, los espacios homogéneos, las variedades diferenciales, ... . Por otro lado, se observa que L∞ ⊂ BMO; además, se verifica que si 1 ≤ p < ∞, BMO ⊂ Lp(Q0), una relación importante pues se comprueba que BMO es el adecuado sustituto de L∞ en ciertos casos que fallan en el límite L∞. También, en el otro extremo, el sustituto de L1 es el espacio de Hardy H1, (H1 ⊂ L1), definido vía: H1 = {f ∈ L1/Rjf ∈ L1, j = 1, 2, ..., n}, donde Rj es la transformada de
Riesz
. H1 es un espacio de Banach con la norma ||f||H1=||f||L1+∑j=1n||Rjf||L1.
Por definición S es el espacio de las funciones f rápidamente decrecientes, esto es, f ∈ C∞ y para todo entero k ≥ 0, lim|x|→∞xkf(x) = 0. También, sea el espacio
, el cual es denso en H1. (D es el espacio de las funciones infinitamente diferenciables con soporte compacto).
2. El Teorema de la Dualidad.[10].
El celebrado resultado de dualidad de Charles Fefferman (1971) establece que (H1)∗ = BMO, donde < f,g >= ∫f(x)g(x)dx, f ∈ S0, g ∈ BMO, lo cual se extiende por continuidad a una forma bilineal continua sobre H1 × BMO. Este resultado ha sido extendido y generalizado en diferentes contextos del análisis armónico. Se tiene la siguiente caracterización:

Desde que Rj: L∞ → BMO es operado continuo, tal representación permite obtener una norma equivalente en BMO. Así, Neri [22] sugiere tomar
. De un modo más general, sobre los espacios BMO y H1 (y sus respectivas generalizaciones) se hacen actuar operadores de tipo convolución, como son, por ejemplo, los operadores integrales singulares de Calderón-Zygmund Tf(x) = v.p. ∫Rn k(x − y)f(y)dy, donde el núcleo k es homogéneo de grado −n, esto es,

; además, k satisface ciertas condiciones de regularidad, como k ∈ C∞(Σ) (contorno de la bola unitaria). Un resultado fundamental de la teoría clásica es: “T: Lp → Lp, 1 < p < ∞, es un operador continuo”. Los casos críticos son p = 1 y p = ∞, lo que resalta el papel de los espacios BMO y H1. De un modo general, en el contexto de los operadores de tipo convolución, se tiene ([22]): “si g ∈ L1, entonces T : H1 → H1, f → g ∗ f, es un operador continuo y se extiende a un operador continuo sobre BMO, con norma ≤ ||g||L1”.

Teorema de Dualidad
La extensión de estos espacios, H1 y BMO, a espacios tipo Sobolev es de alguna manera natural. Así, sea k ∈ Z+; por definición

BMOk = {f ∈ BMO/Dαf ∈ BMO, |a| ≤ k}; ||f||BMOk = ||f||BMO + ∑|α|≤k ||Dαf||BMO, los que con sus respectivas normas son espacios de Banach; entonces se tiene, [22]: “si k es un núcleo de Calderón-Zygmund, entonces T : Hk1 → Hk1 (f → k ∗ f) y T : BMOk → BMOk (f → k ∗ f) son operadores continuos”. Se observa que estos resultados también aparecen en [10]. Se verifica que los espacios Hk1, k = 1, 2, ... son isomorfos entre sí y, así mismo lo son los espacios BMOk. El isomorfismo esta dado por el operador integral fraccional I, definido vía [|fˆ](x) = ϕ−1(x)fˆ(x), donde ϕ ∈ C∞, ϕ(x) = |x| si |x| ≥ 1. De un modo general, si s es un número real, se define |s vía [|sfˆ](x) = ϕ−s(x)fˆ(x), que permite definir los espacios de Banach Hs1 = |s(H1) y BMOs = |s(BMO) con sus respectivas normas ||f||Hs1 = |||−sf||H1 y ||f||BMOs = ||I−sf||BMO. Para s ∈ R, los Hs1 son isomorfos ente sí, así como los son los BMOs. Es conveniente resaltar que H1 ni BMO son espacios de Hilbert, lo que sigue de un argumento debido a Neri, [22], en donde se afirma que H1 no es reflexivo, esto es, (H1)∗∗ = (BMO)∗ ≠ H1.
3. Espacios BMOϕ.
Spanne, [27], ha extendido los espacios BMO a través de los espacios BMOϕ donde ϕ(t) es una función positiva, no-decreciente, definida sobre (0,∞). Por definición, BMOϕ = {f ∈
donde R es la longitud del lado del
cubo Q. Con la respectiva norma, BMOϕ es un espacio de Banach. La importancia de estos espacios es que para casos particulares de ϕ se obtienen clásicos espacios de funciones. Veamos

Spane estudia la caracterización de los espacios BMOϕ y, a fin de evitar expresiones de carácter técnico, remarcamos solo algunos resultados.

Casos Particulares.[27]. Veamos los siguientes argumentos.

4. Caracterizaciones de BMO.. [13, 14]
S. Janson ha obtenido interesantes caracterizaciones de los espacios BMOϕ. La primera de ellas es una extensión de la caracterización de Ch. Fefferman ([10]); la segunda está relacionada a la función conmutador de un operador integral singular. En la primera idea, Janson considera una condición extra para ϕ; así, asume que
(1), (condición de crecimiento). Se observa que se tiene
y que la condición (1) implica que la función
, la que es positiva, no-decreciente y continua, define al mismo espacio BMOϕ, lo que sugiere que bajo la hipótesis (1), ϕ puede ser asumida continua en BMOϕ. Bajo esas hipótesis, Janson prueba que:

La prueba de la condición “si” es un tanto técnica y elaborada [13] En cuanto a la segunda caracterización, sea el operador singular Tg(x) = v.p.∫ k(x − y)g(y)dy; hemos mencionado que T : Lp → Lp, 1 < p < ∞, es un operador acotado y que esta condición falla en los casos límites p = 1,∞; sin embargo
T es de tipo débil (1,1), esto es, satisface la condición
, donde |{...}| es la medida de Lebesgue del conjunto {...}. La característica que Janson da para BMOϕ es vía una condición de regularidad de un operador análogo a T, definido sobre Lp y con valores en un apropiado espacio de Orlicz. Concretamente, sea f definida sobre Rn y sea M la función multiplicación por f, la función conmutador, asociado a T, es por definición cq = MT − TM.
Así cfg(x) = MTg(x) − TMg(x) = f(x)v.p. ∫ k(x − y)g(y)dy − v.p. ∫ k(x − y)f(y)g(y)dy = v.p. ∫ [f(x) − f(y)]k(x − y)g(y)dy. Coifman-Rochberg-Weiss probaron que si f ∈ BMO entonces cf: Lp → Lp, 1 < p < ∞, es un operador acotado. Motivado por este resultado, Janson [14] establece una caracterización para BMOϕ bajo la siguiente hipótesis: sea 1<p<n/ α con α ≤ 1; sean ϕ y ψ dos funciones positivas no-decrecientes sobre R+ tales que
es decreciente, ψ es convexa con ψ(0) = 0, relacionados entre si por ϕ(R) = Rn/ϕ ϕ−1(R−n). Entonces cf: Lp → Lψ es continua si y solo si f ∈ BMOψ, donde Lψ es el espacio definido vía Lψ = {f/ψ(λ|f|)dx < ∞} para algún λ > 0. Además, ||cf||L(Lp,Lψ) ~ ||f||BMOϕ.
5. Espacios de Hardy Hp. [7, 8], [10], [11], [32]
La evolución de los espacios de Hardy está íntimamente ligada a fundamentales cuestiones del análisis real y complejo. Sea f ∈ Lp(R), 1 < p < ∞, a la cual asociamos la función analítica F(x + it) = U(x,t) + iV (x,t), donde U(x,t) = P(x,t) ∗ f, siendo
el núcleo de Poisson y V(x,t) = Q(x,t) ∗ f, con
el núcleo conjugado de Poisson. Entonces se sabe que
, lo que sugiere en general definir

Así tenemos la aplicación inyectiva bicontinua Lp → Hp, f → F(x + it), en donde se tiene además ||f||Lp ≤ ||F||Hp ≤ A||f||Lp . Aún más, tal aplicación es sobreyectiva, esto es, si F ∈ Hp, 1 < p < ∞, ∃f ∈ Lp(R) tal que F es la correspondiente función analítica asociada a f.
En síntesis: si 1 < p < ∞, Lp es isomorfo (topológicamente) con Hp. En el caso p = 1 se verifica que la aplicación H1 → L1(R), F(x + it) → f(x) = limt→0U(x,t), es inyectiva y continua pero no sobre (la imagen de H1 es la clase de las funciones en L1 cuyas transformadas de Hilbert están también en L1). El caso n-dimensional exige condiciones extras para definir Hp(Rn). Así, sean x ∈ Rn, t ∈ R+ y F(x,t) = (u0(x,t),...,un(x,t)), donde las componentes son funciones armónicas en R+n+1 y la correspondiente matriz jacobiana J tiene traza cero. Bajo ciertas condiciones (“condiciones de Cauchy- Riemann generalizadas”) se define Hp(Rn) = {F(x,t)/||F||Hp = (supt>0 ∫Rn |F(x,t)|pdx)1/p < ∞}, 1 < p < ∞ es más delicado y será tratado después.
5.1. Caracterización de los Espacios Hp. [10], [6].
Los espacios Hp son caracterizados en términos de la función maximal no-tangencial. Veamos. Sea u(x,t) una función armónica definida sobre R+n+1 a la que se le asocia la función maximal u∗(x) = sup|x−y|<t|u(y,t)| llamada función maximal no-tangencial de u(x,t) o de f si u(x,t) es la integral de Poisson de f. En particular si n = 1 y F(x,t) = u(x,t)+v(x,t) ∈Hp(R), se verifica que la función F∗(x) = sup|x−y|<t|F(y + it)| está en Lp(R) y ||F∗||Lp ~ ||F||Hp. Además, se tiene que ||u∗||Lp ~ ||F||Hp. Recíprocamente, si u es una función armónica en R+2 , tal que u∗ ∈ Lp, entonces u es la parte real de un elemento en Hp.
En conclusión, se tiene el fundamental resultado de Burkholder-Gundy-Silverstein(1971): “los elementos de Hp se identifican con las funciones armónicas cuyas funciones maximales no-tangenciales están en Lp(R)”. Un argumento similar vale en Rn lo que permite dar la definición:

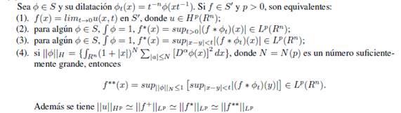
El estudio de los espacios de Hardy y de BMO fueron estimulados por el fundamental trabajo de Fefferman-Stein [10], donde se estudian condiciones equivalentes que permiten dar otra caracterización para Hp(Rn). Si u(x,t) ∈ Hp(Rn), se tiene que existe limt→0u(x,t) = f(x) c.t.p y limt→0 ∫Rn |u(x,t) − f(x)|pdx = 0, p > 0. Así Lp es un espacio traza de Hp, el que tiene significado para p ≥ 1. Así, para incluir el caso 0 < p < 1, en [10] se considera el uso de las distribuciones. Si u(x,t) ∈ Hp y φ ∈ S, entonces limt→0 ∫ u(x,t)φ(x)dx existe y es finito. Así, para cada u ∈ Hp existe f ∈ S’ tal que limt→0u(x,t) = f(x) en S’. Aún más, se tiene la caracterización de Fefferman-Stein:

Así se tiene otra definición de Hp, la que no depende de las funciones analíticas o armónicas: Hp = {f ∈ S’/ se satisface (2), (3) o (4)}; en otras palabras:
Hp = {distribuciones frontera de funciones en Hp(Rn)}. Este enfoque de los espacios Hp permite obtener resultados que con los espacios de Hardy clásicos no es posible; tal es el caso de la idea de átomo debido a Coifman [6], quien construye una representación explícita para los elementos f ∈ Hp en la recta, 0 < p ≤1.
5.2. Hp-Atómicos. [6].
De un modo general, para Rn, n ≥ 1, se tiene la definición:
“sea 0 < p ≤ 1; la función a(x) es llamada un p-átomo si

Teorema 5.1. (Coifman, [6]). Descomposición atómica de elementos de Hp(R). “Sea f ∈ S’. Entonces, f ∈ Hp(R), 0 < p ≤ 1, si y solo si existe {λj}, i = 1,2,3, ... de números reales tal que

y una sucesión de p-átomos {ai} tal que
en el sentido de las distribuciones temperadas. Además, ||f||Hp = inf{∑i |λi|p/f = ∑i λiai}”.
Este teorema, de gran significado analítico, ha sido objeto de importantes extensiones. Para la prueba de la condición suficiente ver [23], pág. 51. La prueba del teorema hace uso de significativos argumentos geométricos y de la descomposición de Calderón-Zygmund para elementos de Hp, argumentos que son fundamentales en este tipo de análisis. Las ideas usadas en la prueba de la parte “y solo si” pueden extenderse a Rn, lo que no ocurre con “si”, ya que, en Rn, n > 1, existe la dificultad topológica de descomponer todo abierto en una sucesión disjunta de cubos, como ocurre en la recta (y que es la base de la prueba de Coifman). La parte crucial para tal extensión es para el rango 0 < p < 1, ya que el caso p = 1 es extendido a Rn vía dualidad. Este problema fue resuelto por Latter, [16], quien uso argumentos geométricos del tipo descomposición - Whitney. El problema de la descomposición atómica de elementos en un espacio de Hardy ha sido ocupación de los analistas en décadas pasadas. Muchas otras descomposiciones se han logrado en diferentes contextos de los espacios Hp (parabólicos, homogéneos, martingalas, ...).
6. Espacios BMO y su Relación con Operadores Maximales.[10], [26].
En la sección anterior ya hemos visto como los espacios Hp pueden ser definidos en términos de ciertas condiciones maximales; en esta oportunidad veremos la relación entre los operadores maximales de Hardy-Littlewood y los espacios BMO. Tales operadores juegan además un papel fundamental en el desarrollo del análisis armónico moderno. La idea básica moderna se remonta al teorema fundamental del cálculo integral y a su extensión según el teorema clásico de diferenciación de Lebesgue: “si f ∈ L1loc(Rn), entonces
c.t.p, donde Q(x,R) es un cubo de centro x y lado de longitud R”. De alguna manera, esto sugiere considerar el operador maximal de Hardy-Littlewood definido vía: “si f : Rn → R es medible-L, Λf(x) = supR 1/|Q(x,R)| ∫Q(x,R)|f(t)|dt. Observamos que el papel de los cubos Q(x,R) puede ser hecho por las esferas S(x,R), de centro x y radio R (en general en análisis tal sustitución no siempre es factible). Un dato esencial es que Λ: Lp → Lp, 1 < p ≤ ∞, es un operador continuo y que Λ es de tipo débil (1,1). Este resultado y el teorema de diferenciación de Lebesgue implican que si 1 < p ≤ ∞, f ∈ Lp si y solo si Λf ∈ Lp. Miremos ahora a la definición de BMO dada. Si f ∈ L1loc se considera ahora un análogo operador maximal:
Λ# f(x) = supR 1/|Q(x,R)| ∫Q(x,R) |f(t)−fQ|dt; (el hecho de que el cubo este centrado en x no es esencial;´ podría Q solo contener a x). Hemos dicho que f ∈ L∞ si y solo si Λ f ∈ L∞; en el caso Λ# solo se tiene que f ∈ L∞ implica que V# f ∈ L∞. La otra implicancia es lo que caracteriza a BMO. Así, si f ∈ L1loc y V# f ∈ L∞ entonces f ∈ BMO. Si 1 ≤ p0 ≤ p, 1 < p < ∞ y f ∈ Lp0 entonces f ∈ Lp si y solo si Λ# f ∈ Lp. Estas consideraciones fueron expuestas y estudiadas significativamente por Fefferman - Stein [10] y también se encuentran en el libro de C. Sadosky [26].
7. Espacios BMO Pesados.[21].
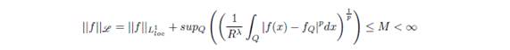
Muckenhoupt - Wheeden (1976) han considerado los espacios pesados BMOw, donde el peso w es una función positiva en L1loc(Rn). Por definición: f ∈ BMOw si f ∈ L1loc(Rn)y existe una constante M < ∞ tal que
, donde fQ es el promedio 1/|Q| ∫Q fdx. Observamos que si w = 1, BMOw BMO de John - Nirenberg. Algunas veces BMOw es definido por la condición

, donde
. Si w ≡ 1, cQ = fQ y
BMOw = BMO. De un modo general, la consideración de espacios de funciones pesados es una actitud natural de generalizar los espacios clásicos; la cuestión es determinar las propiedades de la función w a fin de que ciertos hechos esenciales sigan valiendo, como lo es (por ejemplo) caracterizar w para ciertos operadores usuales sean continuos sobre espacios pesados. Fue Benjamín Muckenhoupt quien descubrí o las condiciones esenciales para que la teoría de estos espacios pesados sea compatible con los hechos conocidos en el caso no pesado. En esta dirección, se dice que: w ∈ Ap, 1 < p < ∞, si existe una constante c tal que
w ∈ A1 si existe una constante c tal que Λw(x) ≤ cw(x), donde Λ es el operador maximal de Hardy - Littlewood.
w ∈ A∞ si existen constantes α y β tal que 0 < α, β < 1, y para todo cubo Q y todo subconjunto medible E de Q, si |E| < α|Q|, entonces ∫E wdx < β ∫Q wdx (equivalentemente, w ∈ A∞ si y solo si w ∈ Ap, para algún p).
A manera de ejemplo veamos una generalización, al caso pesado, de un teorema esencial en la teoría de los espacios BMO debido a John - Nirenberg. Se trata de la estimación de la función distribución de elementos de BMO vía una exponencial. Concretamente, si f ∈ BMO y α > 0 entonces |{x ∈ Q/|f(x) − fQ| > α}| ≤ Be−bα||f||BMO -1|Q|, Q ⊂ Rn, donde B y b son apropiadas constantes que dependen solo de n.
El recíproco de este resultado es inmediato, obteniéndose así una generalización de BMO vía la naturaleza exponencial de la función distribución de sus elementos. La generalización al caso pesado, debido a Muckenhoupt - Wheeden [15], establece: si f ∈ BMOw, α > 0 y w ∈ A1, entonces existen constantes B y b tal que
. Obsérvese que si w ≡ 1 se recupera el teorema de John - Nirenberg.
8. Espacios BMO y Hp en Espacios Homogéneos. [7, 8], [17], [18, 19, 20], [29], [1].
Sectores importantes del análisis armónico han sido llevados al contexto de los espacios homogéneos por, entre otros, R. Coifman - G. Weiss, R. Macías - Segovia, D. Stengenga, A. P. Calderón. Veamos la definición de estos espacios. Sea X un espacio topológico asociado de una medida positiva de Borel µ y de una casi distancia d: X × X → R+ tal que

Definición. (X,µ,d) es llamado un espacio homogéneo.
En este universo el BMO homogéneo es el espacio de las funciones medibles f ∈ L1loc(X) tal que

, con
∞, se considera ||f||BMO(X) = [f]BMO(X) y si µ es finito, ||f||BMO(X) = |∫X f(x)dµ(x)|+[f]BMO(X).
Con las identificaciones del caso, f ∼ g si f −g es constante, entonces BMO(X) es un espacio de Banach.
Rn con la usual distancia euclidiana y con una medida de Borel, es un espacio homogéneo. Así mismo lo es la esfera ∑n−1 = {x ∈ Rn/|x| = 1} con la medida µ invariante por rotación y con la casi - distancia d(x,y) = |1− <x, y>|α, donde
. Muchos resultados clásicos han sido llevados al lenguaje de los espacios homogéneos; así se tiene, por ejemplo, que el operador maximal de
Hardy – Littlewood
es un operador de tipo débil-(1,1).
Así mismo se obtiene el apropiado teorema de Lebesgue sobre diferenciación de integrales. Stegenga ha probado la versión homogénea del teorema de caracterización, exponencial de John - Nirenberg haciendo uso del apropiado lema de descomposición de Calderón - Zygmund.
A fin de comprender la versión homogénea del teorema de dualidad de Ch. Fefferman, y que es probado en Macías [17] y en Coifman - Weiss [7], veamos la idea de (p,q) - átomo la que servirá para definir a los espacios de Hardy Hp(X). Sean 0 < p < q con p ≤ 1 ≤ q ≤ ∞. La función a(x) es un (p,q) - átomo si:

Observemos que en ii. no tiene sentido la expresión a(x)xα pues X no posee necesariamente una estructura algebraica.
Consideremos ahora a los espacios de Lipschitz homogéneos Λα,


9. Los Espacios Hp,q.

Sea 0 < p < 1 ≤ q; por definición
, descomposición atómica donde aj es un (p,q) - átomo y ∑|λj|p < ∞}. La condición ∑|λj|p < ∞ garantiza la convergencia de la serie ∑λjaj, lo que hace consistente a la definición; si
||h||Hp,q = inf {∑|λj|p/h = ∑λjaj}, ello no es una norma pero d(f,g) = ||f − g||Hp,q es una métrica y Hp,q es un espacio métrico completo. Un resultado esencial en la teoría de estos espacios es que si p < q < ∞, entonces Hp,q = Hp,∞, con métricas equivalentes. Este hecho permite definir a los espacios de Hardy homogéneos vía: si p ≤ 1 entonces Hp ≡ Hp(X) es cualquiera de los espacios Hp,q, p < q ≤ ∞, 1 ≤ q.

En otras palabras, por (i) cada funcional lineal continua sobre Hp es una aplicación de la forma h → ∑λj ∫ajfdµ, donde f ∈ Λα y h = ∑λjaj ∈ Hp. Por (ii), si h = ∑λjaj ∈ H1 entonces
es una funcional lineal continua h →< h,f > bien definida para cada f ∈ BMO, con norma equivalente a ||f||BMO. Además, cada elemento de (H1)∗ tiene esa forma.
10. Funciones Armónicas con Trazas en Espacios de Funciones. [3, 4, 5], [27], [28].
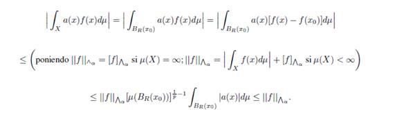
Los espacios BMO están contenidos en un interesante espacio de funciones, los espacios Lp,λ estudiados por Campanato, Spanne, Stampacchia, entre otros (ver los citados trabajos). Por definición: sea, 1 ≤ p < ∞, 0 ≤ λ < n + p y f ∈ L1loc(Rn). Entonces, f ∈ Lp,λ si

donde R es la longitud del lado del cubo Q. Formalmente, L1,n ~BMO. La importancia de los espacios Lp,λ está en que ellos globalizan ciertos espacios de funciones clásicos, como son los espacios Lp, Lp,λ (Morrey), ∧α y a los propios espacios BMO. Es sabido la gran utilidad de esos espacios en problemas de EDP de tipo elípticos y parabólicos, lo que estimula su estudio en problemas concretos. Un problema´ fundamental en la evolución del análisis fue el problema de Dirichlet. Veamos. Sea R+n+1n0{(x,t) xϵRn, t ∈ R+}. u(x,t) es una función armónica si
, donde
Dado f definida sobre Rn, el Problema de Dirichlet consiste en encontrar u(x,t) tal que Δu = 0 sobre
y lím u(x,t) = f(x) cuando t → 0 sobre Rn. Es claro que para tenerse un problema bien puesto es necesario dar ciertas condiciones extras a f. Informalmente, sabemos que la solución de este problema está dado por la integral de Poisson de f, u(x,t) = (P ∗ f)(x), donde
es el núcleo de Poisson. En esta orientación se tiene las siguientes caracterizaciones, según la ubicación de las trazas de las funciones armónicas. Si 1 < p ≤ ∞, HP es el espacio de Hardy ya considerado. Se tiene HP = Pt ∗ Lp, con equivalencia de las normas. Si B es la clase de las medidas de Borel finitas, HB es el espacio de las funciones armónicas u(x,t) tal que supt>0 (||u(.,t)||) < ∞. Se tiene HB = Pt ∗ B, con equivalencia de las normas. Este tipo de ecuaciones sugirió considerar otras nuevas con f en espacios trazas; ¿qué sucede si f ∈ BMO? Esta cuestión está relacionada con el trabajo de Fefferman - Stein [10].
Si f ∈ BMO, entonces
, lo que da consistencia a la integral de Poisson u(x,t) = (Pt ∗ f)(x) de una función en BMO. Además, se verifica que para todo´ f ∈ BMO y todo cubo Q de lado d > 0 se tiene que existe una constante A > 0 tal que
, donde

. Tal implicancia dio lugar a una
nueva caracterización en la dirección señalada antes. Así Fabes - Johnson - Neri [9] consideran al espacio

Corolario inmediato es que si f ∈ BMO entonces su integral de Poisson u(x,t) = (Pt ∗ f)(x) está en HMO. La caracterización de Fabes - Johnson - Neri es HMO = Pt ∗ BMO, con equivalencia de las normas.

Dado que BMO está inmerso en Lp,λ surge la cuestión de llevar esta última ecuación a espacios con trazas en Lp,λ. Este problema fue también resuelto por Fabes - Johnson - Neri [6]. El siguiente resultado permite hacer un cambio de variables y poner Lp,λ en otro lenguaje de notación. Si
, entonces L2p,λ2 ⊂ Lp1,λ1.

10.1. Una Visión de las Ecuaciones de Tipo Parabólico. [2].
El estudio de ecuaciones de tipo parabólico Δxu -ut = 0 llevan a caracterizaciones análogas. Llamando temperatura a una solución de tal n
.
11. Algunos Clásicos Espacios de Funciones. Una breve Visión. [25].
Ver también “History of Banach Spaces and Linear Operators”. Albrecht Pietsh.
En esta sección damos un breve panorama del surgimiento de algunos clásicos espacios de funciones a fines del siglo XIX e inicios del XX. Veamos, en 1888 G. Peano introdujo el concepto de espacio vectorial, así como introdujo las aplicaciones lineales sobre estos espacios. En 1896 H. Minkowski introdujo los espacios vectoriales normados de dimensión finita y fueron llamados los “espacios de Minkowski”, quien dio importantes ejemplos de normas definidas sobre Rn.
Por otro lado, H. Lebesgue, en 1902, hace una gran contribución al progreso del análisis matemático y que sería la base, el fundamento de la introducción de nuevas y más generales ideas, en particular a la´ introducción de nuevos espacios de funciones. Así, J. Hadamard, en 1903, considera por primera vez al espacio C[a,b], que es el conjunto de todas las funciones reales continuas sobre el intervalo [a,b], que se probaría que es un espacio de Banach posteriormente. La estructura de este espacio motivo la introducción del espacio de las funciones lineales continuas sobre [a,b]. G. Hamel, en 1905, observa que R puede ser visto como un espacio vectorial sobre los números racionales y prueba que R tiene una base, prueba que fue extendida a los espacios vectoriales reales y complejos por F. Hausdorff en 1932.
En 1906 fueron introducidos los espacios métricos por el matemático francés M. Fréchet y desarrollada por Hausdorff contribuyendo así con una teoría importante en el desarrollo de la topología general, la topología conjuntista, así como en los espacios de funciones. Este mismo año, D. Hilbert introduce los espacios l2, que es definido vía:
, que posteriormente se llamaría un “espacio de Hilbert” y así va surgiendo el análisis funcional. El cuadrado adjunto nos da una´ visión de los distintos espacios abstractos introducidos en el siglo pasado.
Como observamos, los primeros años del siglo pasado fueron de gran actividad en el campo del análisis matemático y nuevas teorías habrían de surgir. Así Fréchet también investigó, en 1905, problemas donde

el espacio C[a,b] es reemplazado por otro espacio de funciones pues considera al espacio B[a,b] de todas las funciones limitadas e integrables en [a,b], donde las funciones pueden ser continuas o no; además, se considera la topología de la convergencia uniforme. Por otro lado, motivado por los trabajos de Hilbert, Fréchet en 1908 y F. Riez, en forma independiente, probaron que “toda funcional lineal continua sobre el espacio l2, con la topología fuerte, puede ser escrita en forma única como x → (x,a), donde a ∈ l2”. (Ver: J. Dieudonne, “History of Functional Analysis” 1983. Cap. VI.) Posteriormente, en 1909, Riesz mejora su resultado estableciendo: “si U es una funcional lineal continua, U : C[a,b] → R, entonces se tiene

, donde α(x) es una función de variación limitada sobre [a,b], que tiene ciertas condiciones exactas.
E. Fischer y F. Riesz, en 1907, crearon el espacio L2[a,b], posteriormente Riesz considera a los espacios Lp[a,b], 1 < p < ∞, en donde aún no se considera una norma. En 1908, Schmidt estudia las propiedades geométricas del espacio l2, establece que (ei)i∈I es ortogonal y prueba la desigualdad de Bessel
∑i | < x,ei > |2 ≤ ||x||2,∀x ∈ l2. Años más tarde, en 1927, J. Von Neumann formula la teoría axiomática de los espacios de Hilbert con dimensión infinita y separables; en 1932 prueba la desigualdad de Cauchy - Schwarz. En 1934, Lowig investiga a los espacios de Hilbert no - separables; prueba a la igualdad de Parseval: ∑i∈I |< x,ei >|2 = ||x||2.
11.1. Los Espacios de Banach.
Remarcamos que la gran contribución de H. Lebesgue con su teoría de la medida y de la integral influyo mucho en el desarrollo de la matemática en general y del análisis en particular; la evolución de los espacios de funciones recibió tal influencia y más todavía con el punto de vista abstracto que formulo Fréchet en 1915. En este ambiente surge un gran matemático polaco, Stefan Banach quien nació en 1892, se graduó a los 22 años y pronto estallo la Primera Guerra Mundial y durante este conflicto Banach continua con sus investigaciones matemáticas; tuvo amistad con Hugo Steinhaus con quien publica su primer trabajo sobre series de Fourier. Se inicia su brillante trayectoria científica. Junto con otros notables matemáticos polacos convierte a Polonia en el centro mundial del análisis funcional. Fue hecho prisionero durante la Segunda Guerra Mundial; salió en libertad en 1944 pero con su salud muy maltratada, falleciendo en 1845 a la edad de 53 años cuando a un podía contribuir al desarrollo de la matemática.
En 1932 salió publicado el libro “Théorie des Opérations Linéaires” de Banach el cual contiene sus investigaciones sobre el análisis funcional y fue el inicio de la edad madura de los espacios normados, siendo C[a,b],Lp[a,b],lp,..., los clásicos espacios de Banach.
Posteriormente, por los años 1930’s, Bourbaki investiga la teoría de la integral en los espacios localmente compactos desde un punto de vista abstracto; por ese tiempo, 1938, N. Dunford investiga a los espacios de Banach Lp(M,A,µ) y más tarde M. Stone, motivado por el trabajo de P.J. Daniell (1918) es-´ tudia a los espacios de Banach de funciones (1948 - 49). Si M es un espacio topológico se investiga al´ espacio de Banach C(M) de las funciones continuas sobre M. Por esa época, Dunford, Grothendieck y´ otros investigaban el punto de vista abstracto de los espacios de funciones.
12. Algunos Espacios de Funciones
12.1. Espacios Lp(X,B)

12.2


El espacio Lp,∞ es conocido también como un espacio Lp− débil o espacio de Marcinkiewicz. También se tiene Lp,p = Lp con ||f||p,p = ||f||p. Por definición, ||f||∞ = sup ess|f| = límt→0 f∗(t). Además, con la norma ||f||p,q, Lp,q es un espacio de Banach. Estos espacios Lp,q fueron introducidos por G.G. Lorentz en 1950 y aparecieron relacionados con la teoría de interpolación, un área que tuvo como precursores en los´ trabajos de M. Riesz, G.O. Thorin, J. Marcinkiewicz, entre otros.
12.3. La Función Promediada f∗∗(t).
En los años 1963-64-66 A.P. Calderón publicó tres trabajos donde estudia cuestiones sobre la teoría de interpolación y se ocupa de los espacios de Lorentz, usando un lenguaje compatible a sus estudios. En el primer año señalado considera al espacio de Lorentz Λp,R y prueba resultados de interpolación para tales espacios. En el segundo trabajo (1964) Calderón considera a la función promediada f∗∗ asociada a la función µ−medible f definida para t ∈ (0,∞) vía

Si E ⊂ X((X, A,µ) un espacio de medida tal que µ(E) = t, entonces

Sea X un espacio de Banach y por definición sea X∗ = {f medible sobre A / f∗∗ ∈ X}; también, por definición ||f||X∗ = ||f∗∗||X, entonces X∗ es un espacio de Banach. Calderón establece que X∗ es una extensión de Lp,q.
Por otro lado, en 1996, Calderón prueba la siguiente caracterización
Sea M un espacio medida σ−finito, 1 < p < ∞, 1 ≤ q < ∞, y define

Entonces f ∈ Lp,q(M),1 < p < ∞,1 ≤ q < ∞, si y solo si

Se tienen los casos particulares: L1,1(M) = L1(M), L∞,∞(M) = L∞(M); los espacios Lp,q(M) son espacios completos con las normas mencionadas. Además, Calderón observa que Lp,q(M) ⊂ L1(M) + L∞(M) con inclusión continua.
12.4. Espacios de Lipschitz.
La idea de “espacio de Lipschitz” fue introducida por Rudof Lipschitz en 1864 en relación con las series trigonométricas y también en relación con las ecuaciones diferenciales ordinarias. También, en 1882, 0. Hölder considero tal idea, pero en relación con la teoría del potencial. Por definición, sea el dominio Ω ⊂ Rn, 0 < α < 1; f ∈ ∧α si f es acotada y si existe c > 0 tal que |f(x) − f(y)| ≤ c|x − y|α, x,y ∈ Ω.
Posteriormente, en 1934, Schauder considera la norma

, donde α es real arbitrario, α = [α] + α0, siendo [ ] la parte entera, 0<alfao<1. Se tiene el espacio

Nota. El lector interesado en estos espacios de Lipschitz puede consultar ”Trigonometric Series”, Antoni Zygmund, cap. VII. Vol.1.
12.5. Espacios de Sobolev.
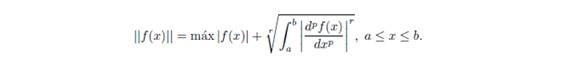
Estos espacios son conocidos cuando se estudia un curso de EDP, pues ellos permiten estudiar los clásicos problemas de Dirichlet y de Neumann. Veamos algunos argumentos colaterales. En 1920 S. Banach en su tesis y en el caso unidimensional introduce la idea de lo que sería los ”espacios de Sobolev”. En efecto, veamos: el conjunto de las funciones teniendo (p − 1) - esima derivada absolutamente continua y la p - ésima derivada integrable´ (L) con la r - ésima potencia, la norma siendo dada por

Ciertas dificultades llevaron a la necesidad de introducir una nueva definición de diferenciación sobre dominios en Rn. Esta búsqueda retardo la introducción de unos nuevos espacios. Este problema fue clarificado por el matemático ruso S.L. Sobolev en 1938 en su trabajo: ”On a Theorem of Functional Analysis”, en donde introduce la noción de función generalizada, m´ as amplia que la noción de distribución, la que fue motivada por lo métodos variacionales en problemas de problemas de valor de contorno elípticos. Se observa que Sobolev no uso la idea de espacio de Banach. Para otros detalles, ver [25].
Veamos, sucintamente, otro punto de vista de estos espacios de Sobolev debido a A.P. Calderón quien en 1961 publica su trabajo:” Lebesgue Spaces of Differentiable Functions and Distributions”, en donde estudia a los espacios Lp cuyos elementos tienes derivadas en Lp; con tal objetivo Calderón considera un operador potencial, de orden z (un numero complejo) actuando sobre distribuciones temperadas f. Así, por definición


Existen otros espacios de funciones que han contribuido con el progreso del análisis matemático a nivel avanzado. Para algunos detalles de los espacios a mencionar, ver [25]. Asi tenemos a
12.5.1. Los espacios de Besov (homogeneos).
Bpα,q(Rn), 0 < α < 1, 1 < p < ∞,1 < q < ∞, los que están relacionados con los espacios de Sobolev y de Lipschitz; estos espacios fueron introducidos por Oleg V. Besov y fueron aplicados a las EDP, entre otras cuestiones.
12.5.2. los espacios de Lizorkin-Triebel.
También, en 1972 P.i. Lizorkin y en 1973 Hans Triebel construyeron, aun, espacios más generales: Fpα,q 0 < p,q < ∞,0 < α < 1, cuyos elementos son distribuciones temperadas. Se tienen los casos particulares-identificaciones:

. LΘ es un espacio de Banach con esta norma.
12.6. Los Espacios Lp(x)(Ω)
Con Exponentes Variables. [25] para algunos detalles. Hace relativamente poco tiempo surgió un interés en estudiar los espacios de Lebesgue Lp(x)(Rn) y a sus derivadas, espacios de Sobolev, en un contexto más general respecto a su exponente´ p, se trata de reemplazarlo por una función p(x). Esta idea ya había sido considerada por Orlicz en 1931, vistos anteriormente. Con esta motivación, y otras, se ha considerado al espacio Lp(x). Sea Ω ⊂ Rn un dominio, n > 1 y p : Ω → [1,∞) una función, entonces

Si Ω = Rn y p(x) = p constante entonces Lp(x) es isomorfo e isométrico con Lp(Rn). En esta dirección, se consideró a los espacios de Sobolev generalizados

probándose que

es denso en estos espacios generalizados bajo la condición de que p(x) satisfaga la condición de Lipschitz (-Dini). Entre otros, Stefan Samko ha contribuido al progreso de esta teor´ıa relativamente nueva. Ver sus trabajos: “Denseness of

in the Generalized Sobolev Spaces Wm,p(x)(Rn) (2000)”y “On a Progress in the Theory of Lebesgue Spaces with Variables Exponent: Maximal and Singular Operators (2005)”.
12.7. Los Espacio Hα,p parabólicos. [2]
a génesis de estos espacios parabólicos está, de alguna forma, en observar el núcleo de una integral singular según Calderón-Zygmund. Al respecto, E. Fabes-N.Riviere, en ”Singular Integral with Mixed Homogeneity”. 1996, sugieren la transformación At = Rn → Rn, donde At(x1,··· ,xn) = (tα1x1,··· ,tαnxn),t > 0. Esto motivó considerar transformaciones lineales más generales de Rn tales que aun conserven la continuidad de los operadores integrales singulares cuando actúan sobre los espacios Lp(Rn) u otros espacios. Así, en los años 1960’s va surgiendo la generalización de la teoría de Calderón-Zygmund a través del llamado grupo {At}. En esta dirección se tienen los trabajos de M. Guzman, N.Riviere y A. Torchinsky. Para otros detalles ver [25], pág. 199.
Motivación. El clásico problema de Dirichlet condujo, en su evolución, a estudiar de un modo sistemático a la ecuación X = Pt ∗ Y, donde X e Y son apropiados espacios de funciones y Pt es el núcleo de Poisson. Se probo que HMO = Pt ∗ BMO, donde HMO es el espacio de funciones, introducido por Fabes-Johnson-Neri [9],

Identificando u con u + c, HMO es un espacio normado completo. Además, ||u||HMO ~||f||BMO. Esta ecuación sugirió extender los espacios´ HMO y BMO a otros más amplios y que se tenga aún la ecuación
mencionada. Así, el problema de Dirichlet estaría establecido en contextos más generales.
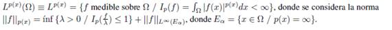
Bien, se sabe que BMO está inmerso en el espacio Lp,α,1 ≤ p < ∞,0 ≤ λ ≤ n + p y que si

entonces se tiene la inclusión Lp,α ⊂ Lp1,α; lo que sugiere el cambio de variables (Peetre)

y poner Eα,p ≡ Lp,α y por la condición sobre λ, se tiene

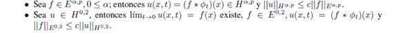
Se observa que BMO = Lp,n = E0,p, ¿Cuál es la extensión de HMO?... Fabes-Jhonson-Neri, en 1976, [9], responden a esta pregunta y consideran el espacio de funciones, 0 ≤ α < 1,1 ≤ p < ∞,

onde Q es un cubo en Rn de centro x0 y lado de longitud R. Identificando funciones que difieren en una constante, Hα,p es un espacio completo con tal norma. Además, H0,2 = HMO. El teorema de caracterización de Fabes-Jhonson-Neri es: si 0 < α < 1, 1 < p < ∞, entonces Hα,p = Pt × Eα,p. Además, ||u||Hα,p = ||f||Eα,p. Con esta motivación pasamos a ver el caso parabólico motivado por el hecho de que en algunos problemas concretos, las funciones u(x,t) pueden ser no armónicas, es decir no satisfacen la ecuación de Laplace Δu = 0, pero si se satisfacen ecuaciones de tipo parabólico, por ejemplo. Para mayores detalles de este enfoque ver Calderón, A. Torchinsky, A. [2], Calderón, A. [1], Torchinsky, A. [32]; Stromberg, J.O-Torchinsky, A. [31].
Bien, sea {At} un grupo de transformaciones de Rn tal que: (1) AsAt = Ast; (2) la aplicación π:

es continua con respecto a la topología uniforme de operadores (topología del espacio normado

); (3) el grupo satisface ||Atx|| ≤ t||x||, para 0 < t ≤ 1, x ∈ Rn; así ||At|| ≤ t. Ciertos argumentos llevan a la notación: {At} = {exp P logt} = {tP}, t > 0. Donde P es el operador infinitesimal (una matriz n × n). Ver más detalles en [2].
Sea P la matriz infinitesimal de {At} y u(x,t) = (φt ∗ f)(x), donde φt es la dilatación φt(x) = t−r(At-1x) con r = traza de P y φ(x) = e−π|x|2. Se observa que u(x,t) no es una función armónica. Bien, el objetivo ahora es ver una extensión de los espacios Hα,p considerados por Fabes-Jhonson-Neri en términos del grupo {At}, Así, sea 0 < α,k = [α](mayor entero); 1 ≤ p < ∞; entonces decimos que fϵ Eα,p (Rn)≡ Eα,p

donde Q es un cubo parabólico (ρ(x − x0) ≤ r) de centro x0 y lado de longitud r; P(y,x0,r) es un polinomio de grado ≤ k.
Cuando la matriz P es la identidad se tiene el caso de Fabes-Jhonson-Neri.
En este contexto parabólico, la función φ(x) = e−π|x|2 juega un papel importante desde que ella satisface la ecuación Aφt(x) = 0, donde

, donde φt es la dilatación de

indica el adjunto.

Entonces se tiene, [34];

Referencias
[1] Calderón AP. Inequalities for the maximal function relative to a metric. Studia Math. 1976; 57(3):297-306.
[2] Calderón AP, Torchinsky A. Parabolical maximal functions associated with a distribution. Adv. in Math. 1975; 16(1):1-63.
[3] Campanato S. Propietá di una famiglia di spazi funcionali. Ann. S. N. S. di Pisa. 3 serie, 1964; 18(1):137-160.
[4] Campanato S. Propietá di hölderiantá di alcune classi di funzioni. Ann. S. N. S. di Pisa 3 serie. 1963; 17(1-2):175-188.
[5] Campanato S. Equazioni elliptiche del II° ordine espazi $\mathscr{L}^{(2,\lambda)}$. Ann. Mat. Pura Appl, 1965; 69:321-380.
[6] Coifman R. Real variable characterization of H^p. Studia Math. 1974; 71(3):269-274.
[7] Coifman R, Weiss G. Extension of Hardy spaces and their use in analysis. Bull. Am. Math.S. 1977; 83(4):569-646.
[8] Coifman R, Weiss G. Anayse harmonique non-commutative sur certains spaces homogenes. Berlin-New York: Springer-Verlag. Vol. 242. 1971.
[9] Fabes EB, Jhonson RL, Neri U. Spaces of harmonic functions representable by Poisson integrals of fuctions in BMO and L^p,lambda. Ind. Univ. Math.J. 1976; 25(2):159-170.
[10] Fefferman Ch. Stein E. H^p spaces of several variables. Acta Math. 1972; 129:137-193.
[11] Fefferman Ch. Harmonic analysis and H^p spaces. Studies in Harmonic Analysis, JM Ash, 1976; 13:38-75.
[12] García-Cuerva J. Rubio de Francia J. Weighted norm in equalities and related topics. N. York: North-Holland, 1985.
[13] Janson, S. On functions whit conditions on the mean oscillation. Ar Kirv. For Math. 1976; 189-196.
[14] Janson, S. Mean oscillation and conmutators of singulatar integral operators. Archiv der Math. 1978: 16:263-270.
[15] John F, Nirenberg L. On functions of bounded mean oscillation. Comm. P. Appl. Match. 1961; XIV:415-426.
[16] Latter R. A descomsition of H^p (\Rn{n}) in terms of atoms. Studia Math. 1977: 92-101.
[17] Macias R. Interpolation theorems on generalized Hardy spaces. Ph.D. Thesis. Washington Univ. 1974.
[18] Macías R, Segovia C. Algunos aspectos da teoría dos espacos de Hardy. Univ, Federal de Pernambuco. 1798.
[19] Macías R, Segovia C. Lipschitz functions on spaces of homogeneous type. Adv. in Math. 1979; 33(3):257-270.
[20] Macías R, Segovia C. A maximal theory of general Hardy spaces. Proc. of Symp. in pure Math. 1979.
[21] Muckenhoupt B, Weeden R. Weighted bounded mean oscillation and the Hilbert transform. Studia Math. 1976; 54(3):221-237.
[22] Neri U. Fractional integration on the space H^1 and its dual. Studia Math. 1975. LII:176-189.
[23] Ortiz A. Espacios de oscilación media acotada. 2da Edición, IV ELAM. 1978.
[24] Ortiz A. Tópicos sobre análisis armónico. Nota de Matemática N° 4, UNT. Trujillo; 1988.
[25] Ortiz A. fi-Espacios de funciones. PUCP. 2010.
[26] Sadosky C. Interpolation of operators and singular integrals. Marcel Dekker. 1979.
[27] Spanne S. Some function spaces defined using the mean oscillation over cubes. Ann. Sc. Sup. di Pisa er Serie. 1965; 19(4):593-608.
[28] Stampacchia G. The L^p,lambda spaces and application to the theory of partial differential equations. Proc. Cong. Diff. Eq. and Appli. 1969.
[29] Stegenga DA. Bounded mean oscillation on pseudometric space. Pre - preprint.
[30] Stein EM. Harmonic analysis: Real - variable methods, orthogonality, and oscillatory integrals. Pricenton. N.J.: Princenton University Press. 1993.
[31] Strömberg J-O, Torchinsky A. Weighted Hardy Spaces. Springer-Verlag. 1989.
[32] Torchinsky A. Real-Variable Methods in Harmonic Analysis. N.York: Academic Press, INC. 1986.
[33] Zhu K. Operator theory in fuction spaces. Marcel Dekker, Inc. N.Y. 1990.
[34] Ortiz JA, Torchinsky A. On a mean value inequality. Indiana U. Math. J. 1977; 26(3):555-566.
Información adicional
How to cite this article: Ortiz F. Espacios de Hardy Hp y BMO: Un breve clásico panorama. Selecciones Matemáticas. 2022;9(2):381–394. http://dx.doi.org/10.17268/sel.mat.2022.02.13
Reconocimiento: Dedicado a la memoria del maestro Prof. Antoni Zygmund, formador de generaciones de matemáticos.