Review
Un breve paseo por las Ondículas
A brief tour through the Wavelets
Un breve paseo por las Ondículas
Selecciones Matemáticas, vol. 9, núm. 02, pp. 395-422, 2022
Universidad Nacional de Trujillo

Recepción: Febrero , 22, 2022
Aprobación: Septiembre , 30, 2022
Resumen: El objetivo de estas notas es dar un breve panorama de la teoría de ondículas, tanto de los argumentos matemáticos fundamentales como de las ideas que ella encierra. Además, la teoría sirve para un trabajo multidisciplinario.
Palabras clave: Ondículas, Fourier, Haar, AMR, bases ortonormales, transformada.
Abstract: The objetive of these notes is to give a brief overview of wavelet theory, both of the fundamental mathematical arguments and of the ideas it contains. In addition, the theory is suitable for multidisciplinary work.
Keywords: Wavelets, Fourier, Haar, AMR, orthonormal basis, transform.
Introducción.
Vivimos una era digital, de la informática, llena de nuevas y novedosas contribuciones a la ciencia y la tecnología; en este panorama la matemática también está presente; así, en la década de los 1980’s surgió una teoría que habría de contribuir en tal desarrollo, la teoría de ondículas (”wavelets”); ver
[10] para tener un breve panorama de la teoría, [9] nos da una amplia visión de las ondículas. Ver también [7], [3], [5], ..., para mayores detalles entre muchas otras referencias. El objetivo de este ” paseo” es dar un breve panorama matemático e ideas que se requieren para introducirnos en este bello universo, el libro [4] nos fue útil en esta tarea. Remarcamos que la formación matemática de actuales investigadores en diferentes áreas de la ciencia es cada vez m´ as exigente, lo que fue una motivación para escribir este breve ”tour”.
Nuestro universo está lleno de ondas y de ondículas las cuales son ondas pequeñas en cierto sentido que precisaremos oportunamente; la teoría de ondículas es muy útil para profesionales que trabajan en el procesamiento de la señal, en comprensión de datos e imágenes, en modelación de fenómenos multiescalas, ...; surgió el análisis de ondículas (a.o.) para investigar diversos problemas en el campo de la ciencia y de la tecnología en estos 36 años pasados. El a.o. provee una sistemática y eficiente representación universal para una amplia clase de funciones (o señales). El a.o. fue el resultado de un esfuerzo multidisciplinario de matemáticos, físicos, ingenieros, ..., quienes reconocieron que desarrollaban ideas similares en formas diferentes, tal conexión creo un flujo de nuevas ideas que producen, a su vez, resultados cada vez más novedosos. Se creo una interrelación entre los matemáticos puros con los científicos aplicados.
Nuestro mundo está inmerso en un universo en movimiento, de constantes cambios, así el mundo transitorio es más amplio y más complejo que el mundo de las señales estacionarias; el análisis de ondículas es más útil en el mundo transitorio, en la matemática aplicada donde ha producido instrumentos diseñados para procesar ciertas señales e imágenes. El gráfico siguiente ubica a las ondículas en el universo de las ciencias.

1. Antecedentes.
Alrededor de dos mil años antes de Cristo ya existieron culturas con un gran nivel en el conocimiento de la matemática. Así, en la antigua Babilonia existen textos matemáticos que posiblemente se remontan al 2100 A.C. Ellos ya conocían una escala numérica (en base 60) y en geometría (con énfasis en medidas prácticas), sabían calcular áreas de distintos triángulos, así como de cientos de trapezoides, sabían calcular volúmenes de paralelepípedos, de prismas rectos, de cilindros circulares rectos, sabían que un ángulo inscrito en una semicircunferencia es recto... y algo que nos interesa en relación con las ondículas, tuvieron un conocimiento aproximado de π: π =31/8.
En el álgebra conocieron ciertas reglas prácticas para resolver ecuaciones particulares. Llegaron a establecer que
, formula que fue probada por primera vez por Arquímedes.
Otra gran cultura de la antigüedad fue la egipcia. En el papiro Moscú, 800 A.C.) ya se encuentran complicados problemas, como el calcular el volumen de una pirámide truncada. En el papiro de Rhind (1650 A.C.) se encuentran 85 problemas de aritmética, de álgebra y de geometría. Acá también se tiene un problema de aproximación. Respecto a la Gran Pirámide afirmaron que: ” la mitad del perímetro de la base dividido por su altura es igual a 3.14”. Posiblemente ellos conocieron que π tiene el valor aproximado de 3.16.
Es con la Gran cultura griega que la matemática habría de alcanzar la categoría de ciencia. Tales de Mileto (600 A.C.), Pitágoras (570-500 A.C), Euclides (300s A.C.), Arquímedes (+212 A.C.),..., realizaron verdaderas construcciones matemáticas, sobre todo Arquímedes, uno de los más grandes científicos de todos los tiempos. Con el la matemática casi llega al nivel de los tiempos modernos; en verdad, Arquímedes escribió verdaderos ”papers”. En su estudio de la cuadratura de la parábola, él llega a un problema de ”límite”. Se trata de encontrar el área del segmento de parábola ACB.
Llega a establecer que el área segmento parabólico= área del
= área ΔABC.
Arquímedes tuvo un alto conocimiento de la idea de aproximación y del error. Ello se puede inducir al estudiarse algunos de sus notables trabajos teóricos.

Luego de un período glorioso de esplendor científico, la cultura griega fue terminando. En el año 529 de nuestra era, la Academia de Platón fue cerrada, y en 641 la biblioteca de Alejandría fue incendiada, desapareciendo muchísimos tesoros del conocimiento. Luego siguió un largo periodo de estancamiento científico (en general, un promedio de mil años). En el siglo XVII se produce el amanecer de la matemática moderna; los científicos se nutren del legado de los griegos. La ciencia moderna nace en el siglo anterior bajo la influencia de Galileo, Descartes, Kepler, Leibniz y sobre todo gracias a la obra de Newton. La creación del cálculo diferencial e integral fue un acontecimiento singular en la historia de la ciencia y de la tecnología. La ciencia del siglo XVIII fue el desarrollo de la mecánica; y en la matemática surgieron nuevas y poderosas ideas y métodos. Fue una pléyade de matemáticos los encargados de realizar tal tarea. Entre ellos, algunos de la familia Bernoulli, Euler, Lagrange, Laplace, ..., quienes a fines del siglo XVIII van preparando el terreno para el trabajo de Fourier, a inicios del siglo XIX. De algún modo, por esta época van surgiendo ideas que conducirían a las ondículas. A fines del siglo XVIII e inicios del XIX, la física matemática se enfrenta con la solución de problemas de ecuaciones en derivadas parciales. El origen de las series trigonométricas, usadas por Fourier, está en el estudio del problema de la cuerda vibrante. La ecuación de la onda, deducida por d’Alembert en 1747, describe el comportamiento de la vibración de una cuerda. La solución del problema es una superposición de ondas. Si son conocidas ciertas condiciones iniciales, es factible predecirse el comportamiento futuro en la cuerda. Una arbitraria función se podría representar vía una serie trigonométrica. Más o menos, esto fue el panorama que encontró Fourier.
2. Alfred Haar: Proyección de su obra.
En 1807, Fourier afirma que cualquier función 2 periódica f(x) puede ser representada por la serie trigonométrica
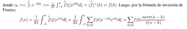
, donde a0, ak y bk son apropiadas constantes. En aquella época el análisis matemático aun no existía, por ello la obra de Fourier sobre la conducción del calor adolecía de deficiencias formales, pero la intuición por el modelo matemático fue correcta. Una situación crítica surgió en 1873 cuando Dubois-Reymond construye una función continua de variable real x, 2π−periódica, cuya serie trigonométrica (serie de Fourier) asociada diverge en un punto dado. Solucionar esta situación condujo a A. Haar a introducir un ingenioso argumento, que ochenta años después habría de ser el punto de partida de la teoría de ondículas. En estos primeros años del siglo pasado, Haar estudia el problema de construir una base ortonormal (b.o.n) h0(t),h1(t),h2(t),...,hm(t) para el espacio L2([0,1]) tal que para todo f ∈ C0([0,1]) tengamos
, donde la serie converge uniformemente. El punto de partida fue la función:

Haar establece que la familia {hm(x)}m=0,1,2,... es una b.o.n. de L2([0,1]). Si f ∈ C0([0,1]) ⊂ L2([0,1]), entonces los elementos básicos hm que se usan para aproximar f no son continuos. Es deseable que tales funciones básicas o átomos también pertenezcan al espacio considerado.
También, si f ∈ C1([a,b]) la aproximación más natural sería usando polígonos inscritos y no con funciones escalera hn. Volvamos ahora a la representación

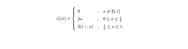
Remarcamos aún que las sumas parciales Smf(t) =< f, h0 > h0(t) + ...+ < f, hm > hm(t) aproximan f(t) vía funciones que son constantes sobre intervalos (función escalera). El trabajo de Haar fue el inicio de una serie de esfuerzos hechos a fin de corregir defectos cuando se trabaja en espacios más generales o de diferentes tipos. Esto es una interesante historia en la teoría de bases y de espacios de funciones. Así, si f ∈ C1([0,1]), los h’ms no son apropiados, un avance fue logrado por Faber y Schauder en el periodo 1910-20. así, parten de la función

y construyen Δm(x) = 4(2jx,k), donde m = 2j + k, j ≥ 0,0 ≤ k < 2j.
Nuevamente, soporte de Δm=[k/2, k+1/2].
Si Δ0(x) = x, la familia 1, Δ0(x), Δ1(x), ..., Δm(x),... es una base de Schauder para C0([0,1]); esto es, si f ∈ C0([0,1]) entonces
, donde la convergencia es uniforme en [0,1].
Lamentablemente, tal familia no es una base de Schauder para C1([0,1]). Esto motivo la introducción del espacio Cα([0,1]),0 < α < 1 donde f ∈ Cα([0,1]) si existe una constante C tal que |f(x) − f(y)| ≤ C|x − y|α. (Ver[8]).
En los años 1930s surge una interesante teoría dentro del análisis de Fourier, es la teoría de Littlewood-Paley en R1. Ellos consideran descomposiciones diádicas, lo que de algún modo es una idea que existe en los ”wavelets”. Así tenemos los bloques diádicos:

y la descomposición:

Con los espacios Lp,1 < p < ∞, se tiene la siguiente conexión: “ existen constantes ap y Ap, 0 < ap ≤ Ap, tal que

Si p = 2 entonces L2(R1) es un espacio de Hilbert), y a2 = A2 = 1.”
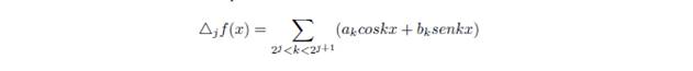
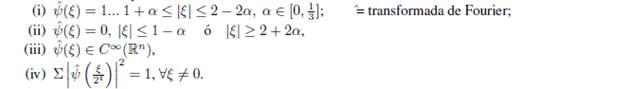
El profesor Antoni Zygmund y sus alumnos (la “Escuela de Chicago”) llevaron la teoría al caso n-dimensional. Así surge la divulgada “ondículas madre” ψ, la que es una función de clase C∞(Rn), rápidamente decreciente tal que:

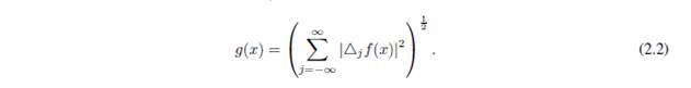
Ahora se consideran las dilataciones ψj(x) = 2njψ(2jx), y la convolución Δjf = f ∗ ψj. Se obtiene así la llamada función de Littlewood - Paley - Stein:

Entre esta función g y f ∈ L2(Rn), se tiene que g ∈ L2(Rn) y la conservación de la energía ||f||2 = ||g||2. En el caso 1 < p < ∞, se obtiene algo similar: existen constantes 0 < ap < Ap tal que:

Algunos años después, el análisis de Littlewood - Paley se usó como fundamento matemático para la creación de algoritmos en el procesamiento numérico de imágenes (Marr, Mallat, otros). En verdad, en los años 1930’s se crearon teorías matemáticas, de inicio solo de interés para un reducido número de matemáticos, pero que con los años que encontraron interesantes aplicaciones; tal fue el caso de las llamadas “ondículas de Lusin”.
Veamos: Sea P = {z = x+iy/y > 0} el semiespacio complejo superior. Ahora definimos el espacio de Hardy:

Se tiene que ||f(x+iy)−f(x)||Lp → 0 si y → 0; estos espacios resultaron útiles en el procesamiento de señales. Así, sea f(t), −∞ < t < ∞, una señal real de energía finita (f ∈ L2(R)); a ella se le asocia la señal analítica F(t) para la cual f(t) es su parte real. Así, se requiere que
, esto es, que F ∈ H2(R).
De esta manera F(t) = f(t) + ig(t), donde g es llamada la transformada de Hilbert de f.

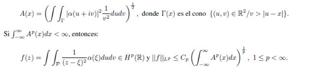
Se observa que α(ξ) juega el papel de los coeficientes de Fourier (o de ”wavelets”). Ver el libro ”Wavelets; Tools for Sciencie and Technology”de S. Jaffard - y. Meyer - R. Ryan (J.M.R.) (citado en [12]) donde encontramos un amplio panorama de esta teoría.
La síntesis en Hp es vía el siguiente argumento. Sea α(ξ) una función medible cualquiera y pongamos

Los fundamentos teóricos de la teoría de ondículas se nutrieron de resultados en el campo del análisis de Fourier; es significativo que estudios en dominios estrictamente teóricos hayan tenido, años después, aplicaciones en variados campos de la ciencia y tecnología. G. Weis, junto con R. Coifman, concibió la idea de construir elementos básicos, los ”átomos”, y que permitan representar todo elemento del espacio en términos de tales átomos. Por ejemplo, en el caso del espacio de Hardy Hp(R), las funciones 1/(z-ξ)2, ξ ϵ P, son los átomos (sujetos a ciertas condiciones). Remarquemos que en el caso de Fourier, la familia coskx, senkx,k ≥ 1, son los átomos que permiten las representaciones conocidas. Sin embargo, para el espacio de Lebesgue Lp([0,2π]) tales funciones no serían los átomos requeridos ya que no tienen el comportamiento adecuado que les permita ser útiles en la práctica. En 1938, Marcinkiewicz probó que las más simple descomposición atómica para los espacios Lp([0,1]),1 < p < ∞, es dado por el sistema de Haar.
2.1. La identidad de Calderón. [1964].
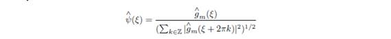
Alberto P. Calderón fue uno de los más grandes analistas del siglo XX; en su profundo trabajo sobre interpolación compleja, introduce una identidad, la que años después se relación o con la teoría de ondículas; ella es una descomposición atómica. Veamos. Sea ψ ∈ L2(Rn), la que Grossmann y Morlet en los años 80´s llamaron una ondículas analizante. ψˆ es su transformada de Fourier sujeto a la condición

Si ψ ∈ L1(Rn), tal condición implica que ∫Rn ψ(x)dx = 0.

La identidad de Calderón es una descomposición del operador identidad, y lo podemos escribir simbólicamente vía:

esto es: ∀f ∈ L2(R) tenemos:

donde se remarca que el límite de la integral impropia es tomado en el sentido (norma) de L2(R).
Pasaron 20 años desde el trabajo de Calderón hasta el redescubrimiento hecho por Grossmann y Morlet en Francia en el marco de las aplicaciones. Consideraron a lo que llamaron la ondículas analizante ψ, la que genera las ondículas vía:

Esta familia de ondículas ha de jugar el papel de una base ortonormal. Si f ∈ L2(Rn), los coeficientes de ondículas son los productos internos:

De esta manera la señal o función f es analizada vía W(a,b).
La síntesis de f es obtenida vía

La naciente teoría de ondículas se enriqueció mucho con el aporte, del entonces joven estudiante de ingeniería, Stephane Mallat, quién descubrió semejanzas existentes en teorías en ingeniería y en la teoría matemática de ondículas. Esto fue en 1985. Así, Mallat observo la íntima conexión entre las bases ortonormales de ondículas, descubiertas por Strömberg y Meyer, con los filtros espejos cuadratura inventados por Croisier, Esteban y Galand para el teléfono digital, así como con los algoritmos piramidales de Burt y Adelson, inventados en el contexto del procesamiento numérico de la imagen. Otro notable progreso fue conseguido con la introducción de las ondículas de soporte compacto por I. Danbechies (1988), quien completo el trabajo de Haar.
Así, para cada entero r, ella construye una base ortonormal para L2(R) de la forma 2j/2Ψr (2jx − k), donde j,k son enteros tal que:

Si r = 0, lo propuesto se reduce al sistema de Haar.
De aquel entonces (inicios de los años 1990’s) hasta la actualidad, la producción de nuevas ideas, teorías y aplicaciones a variados campos ha sido muy abundante, lo que se objetiviza en una gran abundancia de trabajos producidos, y en la publicación de un también gran número de libros que se han escrito sobre ondículas y sus aplicaciones.
3. En los dominios del análisis de Fourier.
3.1. El espacio l2(Z). (Ver [4] para mayores detalles).
Primero veamos algunas consideraciones generales sobre espacios de Hilbert. Sea X un espacio producto interno (complejo), de dimensión infinita (o de dimensión finita), con producto interno <,>.
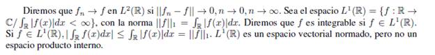
Si u ∈ X, su norma es ||u|| =< u,u >1/2. Una sucesión (u.)n∈Z converge a u ∈ X si

Diremos que (un)n∈Z es una sucesión de Cauchy en X si ∀ε>0, ∃ Nϵ N tal que ∀m,n > N, ||um-un||< ε.
Si (un) es convergente en X, entonces ella es de Cauchy en X. El recíproco no es cierto en general.
Definición 3.1. Un espacio producto interno (complejo) X es llamado un espacio de Hilbert (o un espacio completo) si en X toda sucesión de Cauchy es convergente.
Series en un espacio de Hilbert. Sea H un espacio de Hilbert y (un)n∈Z una sucesión en H; sea SN = ∑Nn=−N un una suma parcial simétrica. Decimos que la serie ∑n∈Z un converge a u en H si la sucesión (SN) converge a u en H en el sentido dado antes.
(un)n∈Z es un conjunto ortonormal en H si < un,um >= 0,n ≠ m;< un,un >= ||un||2 = 1.
Diremos que (un)n∈Z en H es un sistema ortonormal (s.o.n.) completo si es ortonormal y si el único elemento u ∈ H tal que < u,un >= 0,∀n ∈ Z, es u = 0.
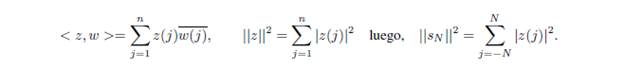
Entremos ahora al espacio de Hilbert particular l2(Z), donde remarcamos que Z es el conjunto de números enteros. Consideramos sucesiones de números complejos definidos sobre los enteros: z = (...,z(−2),z(−1),z(0),z(1),z(2),...) ó z = (z(n))n∈Z.

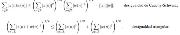
Así, l2(Z) es un espacio normado, también un espacio métrico con la métrica d(z,w) = ||z − w||. Para muchos propósitos son útiles las desigualdades:

Remarcamos, si zk y z están en l2(Z), diremos que
tal que ∀k > N, tenemos
es una sucesión de Cauchy en
tal que
∀k,m > N, tenemos
, entonces, l2(Z) es un espacio de Hilbert, de dimensión infinita, donde se considera la base estándar (ej)j∈Z definida así:

Luego, si z = (z(n)) ∈ l2(Z), tendremos z = ∑j∈Z z(j)ej.
Nota 3.1. l2 desempeña un papel natural en el estudio de los espacios de Hilbert de dimensión infinita. Así, tenemos los siguientes resultados:
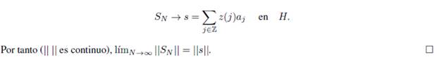
Lema 3.1. Sea H un espacio de Hilbert; (aj)j∈Z un conjunto ortonormal (o.n.) en H y z = (z(j))j∈Z ∈ l2(Z). Entonces la serie ∑j∈Z z(j)aj es convergente en H y tenemos:
[3.1]Demostración: Sea
Para N > M tenemos:
[3.2]Pero

luego (sN) es una sucesión de Cauchy, esto es: dado ε>0, ∃KϵN tal que para N > M > K, ∑M<|j|<N|z(j)|2 <ε.
Desde que H es completo, (SN)N ∈ N es convergente en H, esto es: ∑j∈Z z(j)aj converge en H.
Finalmente probemos (3.1). Sean
, donde {v1, ...,vn} es un
conjunto ortonormal; entonces:

Pero

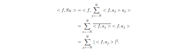
Lema 3.2. Sea H un espacio de Hilbert, (aj) un conjunto o.n. en H; f ∈ H. Entonces:

Demostración: Sea SN=∑j=-NN <f,aj>aj, N=1,2,…; entonces

Pero

También,

Además, (versión finita de (3.1)):

Por tanto:

esto es:

Si N → ∞, obtenemos la tesis.
Resumiendo:
Dados (aj)j∈Z y f en H, la sucesión (< f,aj >)j∈R está en l2(Z) y por el lema3.1, la serie ∑ < f,aj > aj converge en H.
Ahora, ¿Bajo qué condiciones sobre (aj), tendremos ∑ < f,aj > aj = f, ∀f ∈ H?
El siguiente resultado nos da una respuesta.
Lema 3.3. H es un espacio de Hilbert; (aj)j∈Z un conjunto o.n. en H. Entonces, (aj)j∈Z es un conjunto o.n. completo si y solo si f = ∑j∈Z < f,aj > aj, ∀f ∈ H.
Demostración:
⇒) Sea f ∈ H. La serie g = ∑j∈Z < f,aj > aj converge en H (lemas 3.1 y 3.2).
Se tiene < g,am >=< f,am >,∀m ∈ Z. Luego, < f − g,am >= 0,∀m ∈ Z.
Pero, por hipótesis (aj)j ∈ Z es o.n. completo. Así f = g.
⇐) Se tiene que ∀f ∈ H, f = ∑ < f,aj > aj; luego, si < f,aj >= 0 ∀j, es claro que f = 0.
Lema 3.4. Sea (aj)j∈Z un conjunto o.n. en H. Entonces, son equivalentes:

Demostración:

Definición 3.3. Un espacio de Hilbert es llamado separable si posee un conjunto o.n. completo (que puede ser finito o enumerablemente infinito).
3.3. Proyección Ortogonal.
Un importante concepto en el análisis multiresolución, que permite construir ondículas es el de proyección en espacios de Hilbert. Veamos brevemente algunas ideas. Sea (aj) un conjunto o.n. en un espacio de Hilbert H, y el subespacio de H,

Definición 3.4. Si f ∈ H, definimos PS(f) = ∑j∈Z < f,aj > aj (la serie converge por los lemas 3.1 y 3.2). PS(f) es llamado el operador proyección de f sobre S. PS es llamada la proyección ortogonal sobre S.
Lema 3.5. Sea H un espacio de Hilbert. S y PS son como antes; entonces,

Para mayores detalles ver M. Frazier [4].
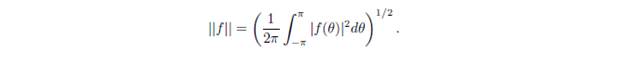
3.4. El espacio L2([−π,π]) ([4]).

Se le asocia la norma

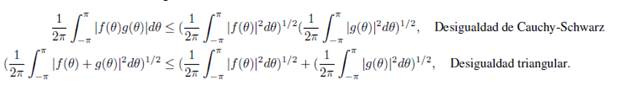
Son también útiles las desigualdades:

3.4.1. L2([−π,π]) es un espacio de Hilbert.
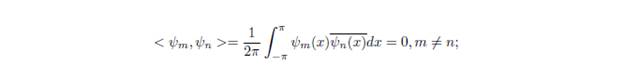
El conjunto de funciones {einθ}n∈Z es llamado un sistema trigonométrico, y un polinomio trigonométrico es una función de la forma
, para algún N ∈ N y algún conjunto de números complejos {cn}n=−N,...,N. Se verifica que un sistema trigonométrico es un conjunto o.n. en L2([−π,π]).
Algo más; el mencionado sistema trigonométrico es completo en L2([−π,π]).
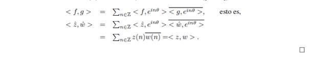
Sea f ∈ L1([−π,π]), esto es,
es llamado el n-ésimo coeficiente de Fourier de f. La serie ∑n∈Z < f,einθ > einθ es llamada la serie de Fourier de f.
Lema 3.6.

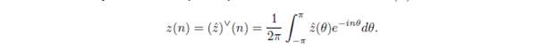
3.5. La transformada de Fourier sobre l2(Z).
Definición 3.6. La aplicación

es llamada la transformada de Fourier sobre l2(Z).
La serie es interpretada como su límite en el L2([−π,π])-sentido. La existencia de este límite está garantizado por el lema 3.1 y por el hecho de que el sistema trigonométrico es un conjunto o.n. en L2([−π,π]). Por otro lado, el lema 3.2 y por la mencionada propiedad del sistema trigonométrico se tiene que la sucesión (< f,einθ >)n está en l2(Z), donde f ∈ L2([−π,π]). Así, tenemos:
Definición 3.7. La aplicación

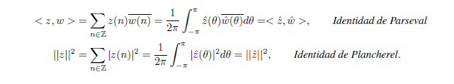
Lema 3.7. La aplicación ∧ es inyectiva y sobre, con inversa ∨. Si z ∈ l2(Z) se tiene

Además, si z,w ∈ l2(Z), se tiene:

Demostración: Sea z ∈ l2(Z), entonces

luego (zˆ)∨ = z. Por tanto, si zˆ(θ) = wˆ(θ), (zˆ(θ))∨ = (wˆ(θ))∨, ó z = w.
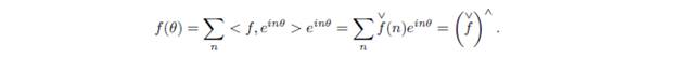
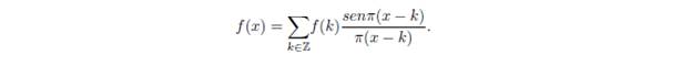
Luego ∧ es inyectiva. Veamos que ∧ es sobre. Sea f ∈ L2([−π,π]). Luego, por Lema 3.6 parte 4, tenemos

Luego ∧ es sobre, con inversa ∨.
Por otro lado, si z,w ∈ l2(Z), sean f = zˆ y g = wˆ, con f,g ∈ L2([−π,π]). Luego:

3.6. Convolución en l2(Z) [4].
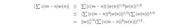
Sean z,w ∈ l2(Z),m ∈ Z; por la desigualdad de Cauchy-Schwarz,

Definición 3.8. Sean z,w ∈ l2(Z) y m ∈ Z. Definimos la convolución de z y w, z ∗ w, vía:


Luego, z ∗ w es una sucesión acotada, esto es, z ∗ w ∈l∞(Z), pero, no necesariamente tenemos que z*w ∈ l2(Z), para lograr esto se introduce la siguiente idea:
Sea z = (z(n)) una sucesión de números complejos. Decimos que z es sumable si ∑n∈Z |z(n)| < ∞.
Definición 3.9. l1(Z) = {z(n)n∈Z = z/z(n) ∈ C,z es sumable}
Si z ∈ l1(Z), definimos la norma ||z||1 = ∑n∈Z |z(n)|. Entonces l1(Z) es un espacio vectorial, normado. Tenemos ahora el:
Lema 3.8. Sea z ∈ l2(Z), w ∈ l1(Z), entonces z ∗ w ∈ l2(Z) y ||z ∗ w|| ≤ ||z|| ||w||1.
Demostración: Para cualquier m ∈ Z, tenemos:

Luego,

Otras propiedades de la convolución son dadas por el
Lema 3.9. Sean v,w ∈ l1(Z),z ∈ l2(Z). Entonces,
(z ∗ w)∧(θ) = zˆ(θ)wˆθ c.t.p.
z ∗ w = w ∗ z
v ∗ (w ∗ z) = (v ∗ w) ∗ z.

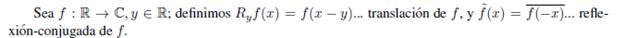
3.7. El espacio de Lebesgue L2(R) [4].
Inicialmente, el análisis - ondículas era referido a las ondículas sobre la recta R. Luego se la extendió a dominios más generales. En esta sección veremos aspectos básicos del análisis de Fourier sobre R.


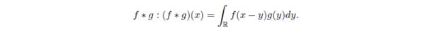
3.7.1. Convolución sobre R.
Sean f y g dos funciones definidas sobre R, tal que c.t.p. x ∈ R se tiene
∫R f(x − y)g(y)dy| < ∞. En estas condiciones se define la convolución

Nota 3.2. (f ∗ g)(x) = 0 si ∫R|f(x − y)g(y)|dy = ∞.
Vía un cambio de variables, verificamos que f ∗ g = g ∗ f.
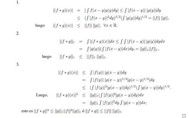
Lema 3.10.

Demostración:

De la anterior discusión extraigamos dos ideas:

Se verifica que si f,g ∈ L2(R),x,y ∈ R, entonces:

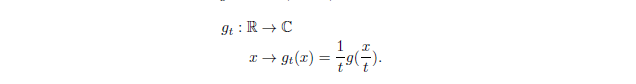
3.7.2. Dilatación.
Para la función g : R → C, t ∈ R, t > 0, definimos la dilatación

Definición 3.10. Sea g: R → C una función tal que:

Entonces {gt}t>0 es llamada una aproximación de la identidad.
Definición 3.11.
Sea f ∈ L1(R) ,x ∈ R es llamado un punto de Lebesgue de f si límh→0+ 1/2h ∫-hh |f(x-y)- f(x)|dy = 0.
Lema 3.11. Si f ∈ L1(R), entonces c.t.p. x ∈ R es un punto de Lebesgue de f.
Teorema 3.1.
Sea f ∈ L1(R) y {gt}t>0 una aproximación de la identidad, entonces para todo punto de Lebesgue de f (para c.t.p. x ∈ R) tenemos limt→0+(gt ∗ f)(x) = f(x).
3.7.3. Transformada de Fourier sobre R.
Sea el producto interno < f,eixξ >= ∫R f(x)e−ixξdx. Si f ∈ L1(R), tenemos |∫R f(x)e−ixξdx| ≤ ||f||1. Esto justifica la
Definición 3.12. Si f ∈ L1(R), ξ ∈ R, definimos f(ξ^)=∫R f(x)e−ixξdx.
f∧ es la transformada de Fourier de f; la aplicación ∧ es llamada la transformada de Fourier.
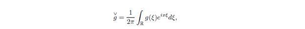
Si g ∈ L1(R), x ∈ R, definimos g∨, la transformada de Fourier inversa de g

la aplicación ∨ es llamada la transformada de Fourier inversa.
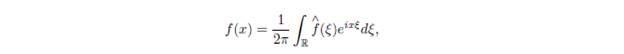
Para tener la deseada formula de inversión f(x)=(f∧) ∨(x)= 1/2π∫R f∧ (x)e−ixξdx, se impone la condición de que f y f∧ pertenezcan a L1(R).
Además, tales condiciones permitirán definir f^ si f ∈ L2(R). Obviando la introducción de una adecuada función gaussiana, se tiene la siguiente versión de la inversa de Fourier sobre L1(R).
Teorema 3.2. Sea f ∈ L1(R), tal que f ∈ L1(R) entonces:

en todo punto de Lebesgue x de f.
Corolario 3.2 (Unicidad de la transformada de Fourier en L1(R)). Sean f,g ∈ L1(R) tal que f∧ = g∧
c.t.p. Entonces f = g c.t.p.
Demostración: Por el teorema 3.2, f − g = (f∧ − g∧)∨ = 0 c.t.p.
Nota 3.3. También se tiene f = (f∨)∧
Lema 3.12. Sean f,g ∈ L1(R) y f∧, g∧ ∈ L1(R), entonces:


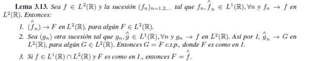
Definición 3.13 (Transformada de Fourier en L2(R)).
Sea f ∈ L2(R); (fn) tal que fn,fn^ ∈ L1(R),∀n y fn → f en L2(R). Definimos la transformada de Fourier de f,f^, siendo el límite de (fn) en el sentido L2(R). Así, f^ = limfn^ en L2(R).
También definimos f∨, la transformada de Fourier inversa de f ∈ L2(R) via f∨ = lim fn∨ en L2(R).
Nota 3.4. Observemos que para f ∈ L2(R), f^ es definida como una función de L2(R), y no puntualmente como en el casi de f ∈ L1(R).
Se tiene ∧ : L2(R) → L2(R) y ∨: L2(R) → L2(R).
Teorema 3.3. si f,g ∈ L2(R), entonces

Corolario 3.3. Sea f ∈ L2(R), (fn) en L2(R), tal que fn → f en L2(R), entonces:
[3.3, 3.4]Finalmente, en nuestro recorrido por los dominios del análisis de Fourier, tenemos el siguiente resultado central:
Teorema 3.4. Si f ∈ L2(R), entonces f=(f^)∨ y f=(f∨)^
Demostración: Seleccionemos una sucesión (fn), donde fn, fn ∈ L1(R) tal que fn → f en L2(R).
Por la definición de f^, se tiene fn^ → f^ en L2(R).
Por (3.4) del corolario, tenemos (fn^)∨ → (f^)∨ en L2(R). Pero, (fn^)∨ = fn → f en L2(R). Luego (f^)∨=f.
Similarmente, por (3.3) del corolario, tenemos:

Observación 3.1. Observación El teorema 3.4 nos permite afirmar que ∧: L2(R) → L2(R) es un operador inyectivo y sobre, con inversa ∨ : L2(R) → L2(R). Nota 3.5. Para mayores detalles ver M. Frazier [4].
4. En el mundo de las ondículas (ver [7], [3], [5], [11]).
4.1. Ondas y Ondículas.
Vivimos en un mundo lleno de ondas y de ondículas, una ondículas es una onda pequeña, es decir, es una onda amortiguada que tiende a cero en el infinito. Los hombres y los animales en general, nos comunicamos gracias a ciertas ondas que son procesadas por el oído ”con un algoritmo tipo ondículas”. Al presionar una tecla de piano, observamos que el sonido va decayendo hasta desaparecer (va a cero en el infinito-tiempo). Escuchar el Quinto concierto de piano de Beethoven (”El Emperador”) significa desde el punto de vista matemático disponer de un conjunto de ondículas de diversas frecuencias, ritmos, tiempos, ... y de ”más cosas”, cuya resultante (síntesis) es la hermosa melodía que escuchamos. El procesamiento de tal enorme conjunto de información es hecho en forma veloz por nuestro oído y por nuestro cerebro.
Venimos de recorrer parte del dominio del análisis de Fourier. Por muchas décadas este análisis (series y transformadas de Fourier) sirvió para estudiar diversos problemas (periódicos) del análisis armónico, de la física, de la ingeniería, entre otros dominios. Como hemos mencionado tal análisis, aun cuando sigue vigente, es insuficiente en diversas situaciones que provienen de la teoría de la señal, sobre todo de señales, por ejemplo, que provienen del cerebro humano que son altamente singulares, sujetos a cambios violentos en breves espacios de tiempo.
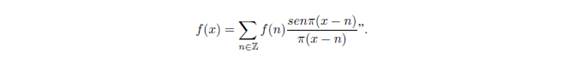
Como sabemos, la idea fundamental es asociar a una función f, que está en un cierto espacio de funciones, una serie trigonométrica de la forma ∑∞n=-∞ cneinx
, donde los coeficientes cn dependen de f.
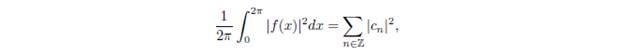
La función básica es la onda sinusoidal ψ(x) = eix = cosx + isenx, y es la única requerida para generar todas las funciones 2π− periódicas, cuadrado-integrables (L2(0,2π)). Pongamos ψn(x) = einx, n ∈ Z; ψn representa dilataciones de ψ. Si n es muy grande en valor absoluto, diremos que ψn(x) tiene alta frecuencia y si |n| es pequeño, ψn(x) tiene baja frecuencia. Por tanto, cuando representamos f ∈ L2(0,2π) en su serie de Fourier, estamos representando f como una composición de ondas de diversas frecuencias (incluyendo las bajas y las altas). Por otro lado, se sabe que

es decir, la familia (ψn)n∈Z es ortogonal, y tendremos f(x) = ∑n∈Z cnψn(x). Así mismo, en el análisis de Fourier conocemos a la identidad de Parseval

” puente” que permite comunicar a los espacios de Hilbert L2(0,2π) y l2(Z). Tal ”puente “deseamos que exista cuando definamos a la ondículas. Remarcamos que ψ y ψn son ondas, no ondículas. Ahora recordemos al espacio de Hilbert L2(R). Lamentablemente las ondas ψn no pertenecen a L2(R) pues ellas no tienden a cero en el +∞, lo que si sucede con toda función de L2(R).
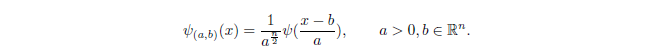
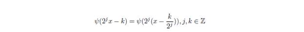
Así surge la tarea de buscar o construir ondas pequeñas u ondículas que generen L2(R). Como en el caso L2(0,2π) se desea construir una sola función ψ y que vía dilataciones (y traslaciones), generen L2(R). Las translaciones surgen en la necesidad de abarcar toda la recta R. Por razones de eficiencia computacional, se usan potencias enteras como dilataciones, dilataciones binarias. De esta manera las ondas pequeñas tendrán la forma

donde observamos que se consideran translaciones diádicas. Para toda función (o señal) f ∈ L2(R), se desea que ella sea representada en la función de todas las ondículas ó átomos.
Conclusión:
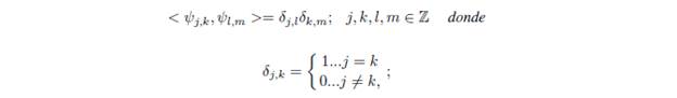
Dada o construida ψ ∈ L2(R), con ||ψ|| = ||ψ||L2 = 1, consideramos la familia {ψj,k(x)}, con ψj,k(x) = 2j/2ψ(2hx − k),j,k ∈ Z donde observamos que el coeficiente 2j/2 ha sido colocado para tenerse ||ψj,k|| = 1 = ||ψ||. Luego se puede ensayar la siguiente noción de” ondículas ortonormal” (o.o.n.).
Definición 4.1. Una función ψ ∈ L2(R) es llamada una ondículas ortonormal si la familia {ψj,k} ≡ {2j/2ψ(2jx − k)}j,k∈Z es una base ortonormal, esto es, si tenemos

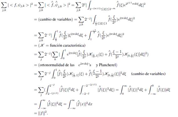
y para todo f ∈ L2(R) se tiene
[4.1]donde la convergencia de la serie es la topología de L2(R), esto es, tenemos

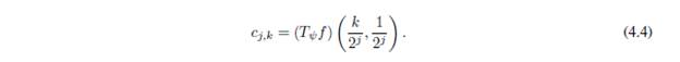
La serie (4.1) es llamada una serie ondículas. Por analogía con las series de Fourier, los coeficientes cj,k son llamados los coeficientes de ondículas y son dadas por
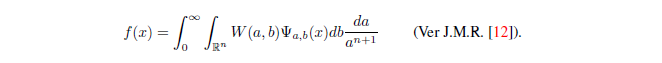
[4.2]Nuevamente, en analogía con la transformada de Fourier, consideramos la siguiente transformada integral sobre L2(R); si a > 0,−∞ < b < ∞,
[4.3]Entonces los coeficientes de ondículas cj,k son dadas vía:
[4.4]Tψ es llamada transformada (integral) de ondículas relativa a la ondícula ψ. Tψ es la transformada de ondículas continua. En analogía a la relación entre las series de Fourier con las transformadas de Fourier, la serie ondícula y la transformada de ondícula están relacionadas vía (4.4).
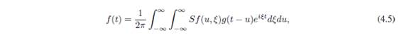
Históricamente, en el espacio de tiempo entre la transformada de Fourier y la transformada de ondícula continua, se consideraron otras transformadas, entre las que destacamos a la transformada de Gabor, que presentamos a continuación.
4.2. La transformada de Gabor ([2],[5]).
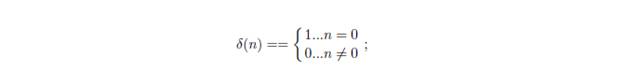
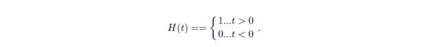
Las señales pueden ser digitales o analógicos. Un ejemplo de señal digital es la ”delta”

y de señal analógica, la función ”escalón” de Heaviside

En general, la idea es aproximar señales analógicas vía señales digitales. Sea f una señal analógica, con energía finita, esto es, f ∈ L2(R). Su transformada de Fourier f proporciona información espectral de la señal. Recordando que:



G(f) localiza a la transformada de Fourier en una vecindad de x = n.
Definición 4.3. v ∈ L2(R) es llamada una función ventana si xv(x) ∈ L2(R).
El radio de la ventana v(x) es definido siendo


Conclusión: f^ es descompuesto en función de una familia de transformadas de Gabor (Gnf)n∈R para dar información espectral.
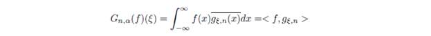
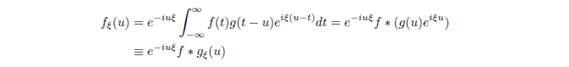
Ahora hagamos un simple pero sugestivo reemplazo: gξ,n(x) = eiξxgα(x − n); luego,

es decir, Gn,α es una localización de la señal f usándose la ventana gξ,n. Esto es la idea de la transformada de ondículas.

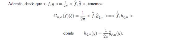
Así, la información obtenida investigándose la señal f(x) en x = n, usándose la ventana gξ,n(x) = ∧
eiξxgα(x − n), puede también ser obtenida observándose el espectro f(y) de f en una vecindad de la frecuencia y = ξ, usándose ahora la ventana hξ,n. gξ,n es una ventana-tiempo (o espacio) y hξ,n es una ventana-frecuencia.

Generalización
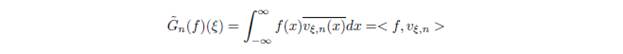
Sea v una ventana en general, y f ∈ L2(R). Definimos la transformada de Fourier localizada via

Si ponemos vξ,n(x) = eiξxv(x − n), obtendremos nuevamente

Así G˜n(f) nos da información local de la señal f en la ventana-tiempo [x* + n − 4v, x* + n + 4v], donde x* es el centro,

Si v^(ξ) fuera una ventana (frecuencia, ξv^(ξ) ∈ L 2(R)), en forma análoga se define el centro ξ* y el Δv^ radio de la ventana v^(ξ).
Consideremos ahora la ventana (con centro ξ* + ξ y radio Δv^), entonces, por Parseval, tendremos

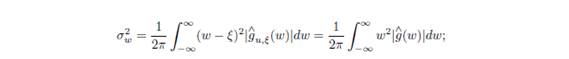
, de donde concluimos que G˜n(f) nos da también información local espectral de f en la ventana-frecuencia [ξ* + ξ − Δv^, ξ* + ξ + Δv^].
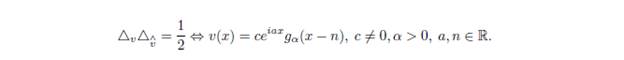
Así, nuevamente, se ha construido una ventana tiempo-frecuencia: [x* +n− Δv^, x* +n+ Δv^]×[ξ* + ξ − Δv^,ξ* + ξ + Δv^], con ancho 2Δv^ y con área constante 4 Δv Δv^
Se observa que no es posible encontrarse una ventana de “tamaño” más pequeño o igual que el de las funciones gaussianas gα(x). Mas precisamente, se tiene el
Teorema 4.1 (Principio de incertidumbre [1]). Sea v ∈ L2(R) una ventana tal que ∧v es también una ventana. Entonces, Δv Δv^>1/2 (el área de la ventana tiempo-frecuencia es ≥ 2). Ademas,

El principio de incertidumbre establece que la energía difundida por una función y por su transformada de Fourier no pueden ser simultáneamente pequeñas. El clásico principio de incertidumbre fue desarrollado en el marco de la mecánica cuántica (Heisenberg, Pauli, Weyl, Wiener, ...) y fue interpretado por el físico Gabor en el contexto de la teoría de comunicaciones (1946), quien define átomos tiempo-frecuencia como formas de ondas elementales, y que tienen una mínima difusión en el plano tiempo. frecuencia. Con el propósito de medir la “información” tiempo-frecuencia contenida en una señal, Gabor propuso descomponer la señal en base a esos átomos formas de ondas. Así, el demostró la importancia del procesamiento de la señal vía localizaciones tiempo-frecuencia. La década de los años 1920’s, alrededor del gran matemático David Hilbert, fue un periodo del desarrollo del análisis matemático moderno (el análisis funcional) y de la física teórica. [10].
Luego de la segunda guerra mundial se produjeron muchos avances científicos y tecnológicos. Así, C. Shannon descubrió las leyes que gobiernan la codificación y la transmisión de señales e imágenes. N. Wiener y J. V. Newmann trabajan en la relación entre la lógica matemática, la electrónica y la neurofisiología, entre otros campos; todo esto ha de preparar el terreno para el surgimiento de las primeras computadoras. Se abrieron nuevos caminos en la ciencia; la teoría del muestreo, en particular el famoso teorema de Shannon, es importante en la tecnología digital, así en la ingeniería de comunicaciones, en el análisis de la señal, de la imagen, en la imagen médica, en radares, ..., Las ondículas están relacionadas con el resultado de Shannon.
Teorema 4.2 (de Shannon). Sea f ∈ L1(R) tal que el soporte de f^ está contenido en [−π,π]. Entonces,

Demostración: Extenderemos f^,2π−periódicamente, a R. Sea su serie de Fourier: f^(ξ) = ∑k∈Z
cke−ikξ,

4.3. El análisis tiempo-frecuencia.
Hemos visto que en el análisis de Fourier las señales que se estudian son funciones continuas, 2π−periódicas. La idea es descomponer la función en sus detalles básicos, como son los senos y cosenos. El análisis es dado por los coeficientes de Fourier, al que sigue una síntesis, Sin embargo, el análisis de Fourier no es el único método para estudiar tal tipo de funciones. Existen otros, como es el análisis de ondículas, el que es más eficiente que Fourier en diversas situaciones. Mientras en el análisis de Fourier, los elementos básicos son únicos (senos y cosenos), en el análisis - ondículas tenemos muchas clases de ondículas, es decir, se dispone de un banco de elementos básicos. Justo, el análisis de la señal consiste en elegir apropiadamente las ondículas - átomos, en función de las cuales la señal es descompuesta. La ciencia contemporánea basa mucho de su progreso en técnicas usadas en el procesamiento de la señal. Por ejemplo, es usada en las telecomunicaciones (TV, teléfono, ...), en el análisis de la variación del clima, en el análisis de imágenes vía satélites y otras aplicaciones. Las señales 2-dimensionales son llamadas imágenes. ([1],[6],[11],[12]).
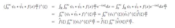
4.3.1. Los átomos tiempo-frecuencia.
La idea, ya presentada, es usar una familia de formas de ondas básicas, las que son bien concentradas en tiempo y en frecuencia. A tal familia se le asocia una transformación lineal tiempo-frecuencia. Tales formas de ondas son llamadas átomos tiempo-frecuencia o elementos básicos. Denotemos con (ϕν)ν∈Γ (donde ν podría ser un parámetro multi-índice) una familia general de átomos tiempo-frecuencia, que asumimos en L2(R), con ||ϕν|| = 1. A tal familia (ϕν), y a cualquier f ∈ L2(R), le asociamos el operador lineal tiempo-frecuencia T, definido vía

Sabemos, por la fórmula de Parseval, que

Un caso particular de tal T es la transformada de Gabor, la que es conseguida usando ϕν(t) = gu,ξ(t) = eiξtg(t − u), (átomo de Fourier localizado o ”ventanizado”).
Como sabemos, estos átomos fueron introducidos por Gabor en 1946 para medir los componentes frecuencias localizadas de sonidos. La ventana g es de valor real y simétrica (g(t) = g(−t)), es trasladada por u y es modulada en la frecuencia ξ. Observemos que si ||g|| = 1, entonces ||gu,ξ|| = 1,∀(u,ξ) ∈ R2. Así obtenemos la ya conocida transformada de Gabor (con una variante respecto a la anterior notación)

la que también es llamada transformada de Fourier “corto-tiempo” (pues la transformada de Fourier es localizada por g(t − u) en una variedad de t = u).
Volvamos al caso general de los átomos tiempo-frecuencia. Sea ψ una ondículas ”progenitora” en el sentido de que ella genera átomos - ondículas de la forma

Las funciones de Fourier localizadas y las ondículas tienen sus energías bien localizadas en tiempo, en tanto que la transformada de Fourier es bien concentrada en bandas de frecuencia limitadas. ¿Como es la representación tiempo-frecuencia de un átomo ϕν? Veamos.

El centro-frecuencia de ϕν es entonces definido vía:

y la difusión alrededor de ξν es


Definición 4.4. PT(f)(u,ξ) = | < f,ϕν(u,ξ) > |2 es llamado una densidad de energía.
En el caso de los átomos de Gabor, la densidad de energía se llama un espectrogramo:

lo que mide la energía de f en la vecindad tiempo-frecuencia de (u,ξ), dada por la caja de Heisenberg de gu,ξ.
El átomo de Gabor g es una función par, luego gu,ξ(t) = eiξtg(t − u) está centrada en u. Luego:

es decir, el tiempo se propaga alrededor de u, independiente de u y ξ. Así mismo, g es real y simétrica (g es real y simétrica) y se tiene:

es decir, la ventana frecuencia está centrada en ξ. La propagación frecuencia alrededor de ξ es dada por:

(nuevamente la propagación es independiente de u y ξ). ([1]).

De esta manera, gu,ξ corresponde a una caja de Heisenberg que tiene área σtσw, con centro en (u,ξ). Ver la figura adjunta. Observemos que el tamaño de la caja es independiente de (u,ξ); esto significa que la transformada de Fourier localizada tiene la misma resolución a través del plano tiempo-frecuencia. Notemos que cuando los puntos tiempo-frecuencia (u,ξ) recorre R2, las cajas de Heisenberg de los átomos gu,ξ cubren todo el plano tiempo-frecuencia. De esta manera se puede conjeturar que una señal, de energía finita, se pueda recuperar usándose la transformada de Fourier localizada Gf(u,ξ). La respuesta es afirmativa y se tiene el siguiente resultado.
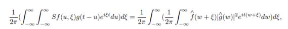
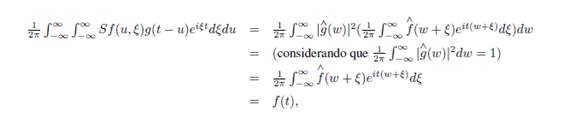
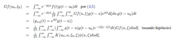
Teorema 4.3. Sea f ∈ L2(R). Entonces,
[4.5]y se tiene la conservación de la energía:
[4.6]Demostración: [1] Probemos (4.5). Pongamos fξ(u) = Gf(u,ξ). Entonces, usando g(t) = g(−t):

Luego:

Por tanto, el segundo lado de (4.5) es:

donde hemos usado que: (g(t − u))∧, respecto a u=g^(w)e-itw.
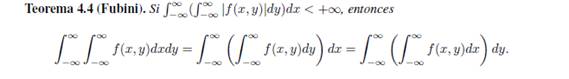
Recordemos ahora al teorema de Fubini, que nos permite intercambiar el orden de integración.

Luego, si f ∈ L1(R) (si no se tuviera esta condición, entra en juego un argumento de densidad entre los espacios de Lebesgue) aplicamos el teorema de Fubini para obtener:

(considerando la fórmula de la transformada de Fourier inversa).
Prueba de (4.6): Tenemos [Gf(u,ξ)]^, respecto a u, = f^(w + ξ)g^(w), luego:

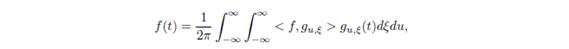
Observación, Observemos que la fórmula de reconstrucción (4.5) se puede escribir en la forma

la cual, recuerda a la descomposición de una señal en una base ortonormal, pero con el cuidado de que en este caso la familia (gu,ξ)u,ξ∈R2 es redundante en L2(R).
Sigamos con la transformada de Gabor Gf. Es claro que f(t) es una señal uni-dimensional, en tanto que su transformada de Fourier localizada Gf(u,ξ) es una función bi-dimensional, definida en el plano tiempo-frecuencia. La fórmula (4.6) nos dice que si f ∈ L2(R), entonces Gf ∈ L2(R). Sin embargo, por la anterior observación, Gf es redundante y por tanto no es verdad que cualquier φ ∈ L2(R2) es la transformada de Gabor de algún f ∈ L2(R). ¿Como obtener una caracterización de esta situación? Se tiene el siguiente resultado al respecto.

Demostración:
⇒) Supongamos que ∃f ∈ L2(R) tal que φ(u,ξ) = Gf(u,ξ). Tenemos:


4.3.2. Colección de átomos tiempo-frecuencia [7], [11], [3].
El análisis tiempo-frecuencia en el procesamiento de señales es un campo de gran investigación en los últimos años. En esta dirección es conveniente considerar algunos aspectos como son: los átomos tiempo - frecuencia; disponer de descomposiciones optimas de la señal en función de átomos tiempo-frecuencia; buen manejo del plano tiempo-frecuencia y su partición optima. El problema esencial es construir un algoritmo que permita descomponer una señal dada, de un modo optimo, como una combinación lineal de átomos tiempo-frecuencia, elegidos de un modo adecuado. Cada señal admite, en general, un número infinito de tales representaciones; la idea es escoger la ”mejor” entre ellas, de acuerdo a algún criterio. Ya conocemos a los átomos tiempo-frecuencia de Gabor.
Una colección Ω de átomos tiempo-frecuencia es un subconjunto de L2(R), que es completo, esto es, el conjunto de las combinaciones lineales ∑αiai, ai ∈ Ω es denso en L2(R).
Por conveniencia tomamos ||a||L2 = 1, ∀a ∈ Ω. Se requiere, además, que a ∈ Ω tenga una estructura simple y que sea óptimamente localizada en el plano tiempo-frecuencia. Algunos ejemplos de colecciones de átomos tiempo-frecuencia son: las ondículas de Gabor, la colección completa de átomos tiempo- frecuencia de Gabor, las ondículas de Malvar-Wilson, los paquetes de ondículas, entonces, ¿Que colección Ω deberá uno escoger para estudiar una dada señal? Pues bien, habiendo escogido Ω, ¿Como debemos descomponer una signal f óptimamente en una serie ∑i=0∞αiai, ai ∈R, ai∈ Ω? Las respuestas a tales cuestiones han permitido una serie de investigaciones en el campo del procesamiento de la señal. Por ejemplo, un elegante algoritmo que permite una óptima descomposición es el propuesto por S. Mallat y llamado ”matching pursait”. [7], tercera edición.
4.4. La transformada de ondícula. ([2],[1],[5],[9])
En la sección 4.1 ya hemos considerado una función ψ ∈ L2(R) y a la familia que ella genera, {ψj,k}j,k∈Z. Consideramos ahora también ϕ ∈ L2(R) y {ϕj,k}j,k∈Z, donde ϕj,k(x) = 2j/2ϕ(2jx−k). Es claro que ||ψj,k||L2 = ||ψ||L2 y que ||ϕj,k|| = ||ϕ||L2.
ϕ jugara el papel de aproximación y ψ el del error. En aquella oportunidad definimos cuando ψ es una ondícula ortonormal. Completemos ahora la idea.
Definición 4.5. Un sistema de Ondículas para L2(R) es un conjunto ortonormal (o.n) completo en L2(R) de la forma {ψj,k}j,k∈Z, para algún ψ ∈ L2(R). ψ es llamada la ondícula progenitora, y ψj,k’s las ondículas.
Una esencial tarea es construir un sistema de ondículas.
Sea {ψj,k}j,k∈Z un sistema de ondículas, entonces

y la aplicación f → {< f,ψj,k >} es llamada la transformada de ondícula discreta.
La identidad de ondícula nos dice que la señal f es descompuesta en sus componentes, a diferentes escalas 1/2j, y centradas en diferentes ubicaciones k/2j , para j,k ∈ Z.
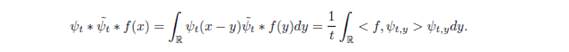
4.4.1. Una fórmula de Calderón.
Teorema 4.6. Sea ψ ∈ L1(R) ∩ L2(R) tal que

Para t > 0, y ∈ R sea la dilatación ψt(x)=1/t ψ(x/t).
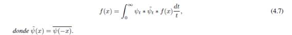
Entonces, para todo f ∈ L2(R) se tiene la representación
[4.7]Recordemos que este profundo resultado de Calderón ya fue enunciado en la sección 2.1, donde enfatizamos que
Demostración: Tomemos transformada de Fourier en el lado derecho de 4.7 y cambiando el orden de integración, obtenemos:

Si ξ > 0, hagamos el cambio de variables s = tξ en la última integral, obtenemos:

Finalmente, si ξ < 0 pongamos s = −tξ y obtendremos

Corolario 4.1. Bajo las hipótesis del teorema 4.6, pongamos
. Entonces:

Demostración:


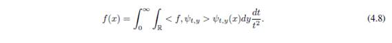
Nota 4.1. Si f ∈ L2(R), entonces f puede ser escrito, vía (4.8), como una superposición de las funciones básicas {ψt,y}t>0,y∈R.ψt,y está a la escala t y está centrada en y.
Definición 4.6. La aplicación f → < f,ψt,y >t>0,y∈R es llamada la transformada de ondícula continua.
(4.8) es llamada identidad de ondícula continua.
Es claro que, desde el punto de vista computacional, (4.7) y (4.8) no son fáciles de manipular cuando se desee obtener aproximaciones finitas. Sin embargo, la prueba matemática de tales representaciones es relativamente más fácil que demostrar la identidad de ondícula. Dentro de este panorama, S. Mallat introdujo la idea de análisis multiresolución, la que ha de servir para construir ondículas. [6].
Definición 4.7. Un análisis multiresolución (AMR), con función escala ϕ, es una sucesión {Vj}j∈Z de subespacios (cerrados) de L2(R) tal que:

Vía cambio de variables, se verifica que {ϕj,k}k∈Z es un sistema o.n. completo (una base) para Vj.
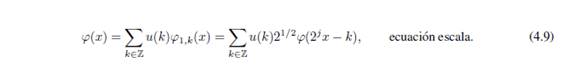
Desde que ϕ∈V0⊂V1 se tiene:
[4.9]donde (u(k))k∈Z ∈ l2(Z) y u(k) =< ϕ,ϕ1,k >. u = (u(k)) se llama sucesión escala.
En forma muy breve, el camino para construir una ondícula a partir de una AMR es como sigue:

Estudiemos ahora al fundamental resultado de Mallat.
Teorema 4.7. [4],[5],[9] Sea {Vj}j∈Z un AMR, con función escala ϕ y sucesión escala u = (u(k)) en l1(Z).

entonces, {ψj,k}j,k∈Z es un sistema de ondículas en L2(R).
Demostración: Vía dilatación, la o.n. de {ψ0,k}k∈Z implica que {ψj,k}k∈Z es o.n. ∀j ∈ Z.
Definamos Wj = {∑k z(k)ψj,k/z = (z(k)) ∈ l2(Z)}.
Vía dilatación verificamos que f(x) ∈ W0 ⇔ f(2jx) ∈ Wj.
Luego, Vj+1 = Vj ⊕ Wj,∀j ∈ Z [tenemos V1 = V0 ⊕ W0;def(x) ∈ V0 ⇔ f(2jx) ∈ Vj y f(x) ∈ W0 ⇔ f(2jx) ∈ Wj, se tiene la igualdad].
La tesis es equivalente a verificar que B = {ψj,k}j,k∈Z es un conjunto o.n. completo en L2(R).
Probemos que B es un conjunto o.n. en L2(R). En efecto, sabemos que {ψj,k}k∈Z es o.n. para cada j. Probemos que < ψj,k,ψl,m >= 0 si j ≠ l.
Bien, asumamos j > l; entonces, ψl,m ∈ Wl ⊂ Vl+1 ⊂ ... ⊂ Vj. Pero, ψj,k ∈ Wj y Wj ⊥ Vj, luego ψj,k ⊥ ψl,m. Por tanto, B es o.n.
Probemos ahora que B es completo en L2(R). Usaremos el siguiente resultado:
Nota 4.2. ”Si g ∈ Vj para algún j ∈ Z tal que ∀l ≤ j − 1, se tiene g ⊥ Wl (esto es, ∀w ∈ Wl,< g,w >= 0), entonces g = 0.”
De esta manera, si f ∈ L2(R) tal que < f,ψj,k >= 0,∀j,k ∈ Z (esto es, f ⊥ Wj,∀j ∈ Z), debemos probar que f = 0. En efecto, para cada j ∈ Z sea Pj : L2(R) → Vj el operador proyección; así, Pj(f) es la proyección de f sobre el subespacio cerrado Vj. Luego, Pj(f) = ∑k∈Z < f,ϕj,k > ϕj,k. Sabemos que Pj(f) ∈ Vj y (f − Pj(f)) ⊥ Vj. Si l ≤ j − 1 entonces Wl ⊂ Vl+1 ⊆ Vj. Luego, (f − Pj(f)) ⊥ Wf, ∀l ≤ j − 1. Desde que f ⊥ Wl,∀l, la linealidad implica que Pj(f) ⊥ Wl,∀l ≤ j − 1.

Nota 4.3. Si f ∈ L2(R), entonces ||f − Pj(f)|| → 0.
4.5. Ejemplos.
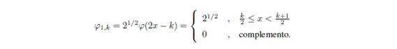
4.5.1. La ondícula de Haar. ([2], [1],[5],[9]).
Sea ϕ(x) la función característica de [0,1), cuyo soporte compacto es [0,1]. De ella se construye la ondícula
[4.10]ψ genera la familia φj,k,j,k ∈ Z, las que también son de soporte compacto. Usando la idea de AMR, y siguiendo a Daubechies [2], probamos que la familia {ψj,k}j,k∈Z es una b.o.n (base ortonormal) para L2(R). Para ello se verifica que:

En efecto, probemos (1). El lector es invitado a graficar las funciones ϕ(x), ψ(x), ψ(2x), ψ(2x−1),... por ejemplo. Se observa que, en general,

donde soporte de ψj,k =[k/2j, k+1/2j[.
De esta manera observamos que ψj,k y ψj,k’, con k≠k’, tienen soportes disjuntos (salvo posiblemente, conjuntos de medida cero); luego, ψj,k ⊥ ψj,k’. Consideremos ahora ψj,k y ψj’,k con j≠ j’, digamos j’ < j. Observemos que la longitud del soporte de ψj,k =1/2j . Luego, si j’ < j, 1/j < 1/j’ y tenemos que soporte de ψj,k ⊂ soporte de ψj’,k. Entonces, ψj,k ⊥ ψj’,k.
Desde que ||ψj,k|| = 1,∀j,k ∈ Z, concluimos que {ψj,k}j,k∈Z es ortonormal.
La prueba de (2) es técnica y larga, por ello la omitimos, Ver [5][9].
Por otro lado se observó en la prueba de que {ψj,k}j,k∈Z, es una b.o.n. de L2(R) esta implícita la idea de AMR. Así, para cada j ∈ Z pongamos

donde Ij,k es el intervalo diádico [k/2j, k+1/2j]. Se tiene: si k es par, entonces Ij+1,k ⊆ Ij,k/2 ; y si k es impar,
Ij+1,k ⊆ Ij,k-1/2. Luego, si f ∈ Vj entonces f es constante sobre intervalos diádicos de longitud 2−j, y
por tanto, f es constante sobre intervalos diádicos de longitud 2−(j+1). Por tanto, f ∈ Vj+1. Así, se ha verificado i) Vj ⊆ Vj+1, ∀j ∈ Z.

Por esta última conclusión, y por el teorema de Mallat, se puede construir un sistema de ondículas en L2(R).
Veamos; tenemos ϕ(x) = ∑k u(k)ϕ1,k(x). Calculemos los coeficientes u(k), k ∈ Z. Sabemos que:
u(k) =< ϕ, ϕ1,k > ya que {ϕ1,k}k∈Z es o.n. Pero,

Luego u(0) =< ϕ,ϕ1,0 >= 2−1/2, u(1) =< ϕ,ϕ1,1 >= 2−1/2 y u(j) = 0, si j ≠ 0,1.
Por tanto tenemos ϕ(x) = ∑k u(k)21/2ϕ(2x − k), esto es

Corolario 4.2. {ψj,k}j,k∈Z es una b.o.n. para L2(R). ψ es llamada la ondícula de Haar. El sistema de Haar {ψj,k} es la más antigua b.o.n. de ondículas.
4.5.2. Ondículas de Shannon. ([1], [5], [3], [9])
Recordemos al teorema de muestro de Shannon: “Si f ∈ L1(R) tal que el soporte de fˆ ⊂ [−π,π], entonces

En esta dirección tenemos el siguiente argumento:

Observemos que ||ψ^|| = 1. Por otro lado, antitransformando,
Objetivo: probar que {ψj,k}j,k∈Z es una b.o.n. para L2(R).
Para probar esta afirmación, debemos verificar que ||ψj,k|| = 1,∀j,k ∈ Z, y que {ψj,k} es un marco (frame) casi ortogonal, con cota-marco igual a 1 (esto significa que debemos probar: ∑j,k | < f,ψj,k >
|2 = ||f||2). Si estas dos condiciones se satisfacen, es conocido que ello implica que {ψj,k} sea una b.o.n. para L2(R). En efecto,
Primero veamos que se cumple: i) ||ψj,k|| = ||ψ|| = ||ψ^|| = 1,∀j,k ∈ Z.
En segundo lugar tenemos:

∴ {ψj,k}j,k∈Z es una b.o.n. para L2(R).
Definición 4.8.
es llamada ondícula de Shannon.
4.5.3. Ondículas Splines. ([1])
Este ejemplo es una regularización del sistema de Haar. Sea g0(x) = K[0,1](x).
Por definición, gm = gm−1 ∗ g0, m ≥ 1 entero. gm se llama la función spline de orden m. De esta manera, gm(x)=∫10 gm-1(x-t)dt. Sea la familia {gm(x − k)}k∈Z.
Vm0 denota al espacio generado por{gm(x − k)}k∈Z. Vmj es definido vía dilatación:

Sea m ≥ 1 entero. Por definición

En particular,
S1 = {f constante sobre [k,k +1], k ∈ Z}, espacio en donde consideramos la base (g0(x−k))k∈Z. En general:
4.5.4. Sjm es el espacio de los splines, con puntos nudos en 2−jZ, j ∈ Z. Así en particular Sm es el espacio de los splines, con nudos en Z(Sm ≡ Sm0 ).

Corolario 4.3.

Construcción de las ondículas splines. Siendo {Vmj}j∈Z un AMR para L2(R), la función escala ϕ se construye via:

Se verifica [1] que (ϕ(x−k))k∈Z es una b.o.n. paraVm0. Las ondículas splines son construidas a través de la fórmula:

Nota 4.4. Estas ondículas son también conocidas como ondículas de Battle-Lemarie.
4.6. Comentarios generales.
En este breve paseo por el mundo de las ondículas hemos recorrido algunos pasajes de un universo que cada vez se va ampliando más, tanto en sus fundamentos teóricos, como, y sobre todo, en sus diversas aplicaciones. Este camino podría ser continuado por otros caminos de igual belleza y atracción. Bosquejemos algunos de ellos:


3. Ondículas de soporte compacto. En su interrelación con la teoría de filtros y problemas concretos, en la teoría de ondículas surgieron algunas cuestiones como, ¿es posible construirse bases o.n. de ondículas que corresponden a filtros finitos? ¿tales ondículas serán más útiles en problemas concretos, como en la teoría de señales? Estas, y otras cuestiones, fueron clarificadas por I. Daubechies, en 1988, al introducir las ondículas de soporte compacto, quien fue motivada por un trabajo de S. Mallat relativo a un algoritmo rápido para calcular transformadas de ondículas. Ver [2] y [6].
4. Ondículas y sus múltiples aplicaciones. Se ha publicado mucho sobre ondículas, tanto en artículos, como en libros. Esta tendencia parece incrementarse día a día. Una razón es por sus múltiples aplicaciones a muchas áreas de la ciencia y de la tecnología. El lector es invitado a visitar la biblioteca de ciencias de la PUCP, en donde existen muchos libros sobre ondículas, tanto teóricos como de aplicaciones. Vía esa visita, este paseo puede continuar...
Referencias
[1] Chui CK. An Introduction to Wavelets. San Diego: Ac.d. Press; 1992.
[2] Daubechies I. Ten Lectures on Wavelets. Philadelphia: SIAM; 1992.
[3] Debnat L, Shah FA. Wavelet Transforms and Their Applications. 2d editon. Boston: Birkhäuser; 2015.
[4] Frazier M. An Introduction to Wavelets Through Linear Algebra. New York: Springer; 1999.
[5] Hernández E, Weiss G. A First Course on Wavelets. Boca Raton: CRC. Press; 1996.
[6] Mallat S. Multiresolution Approximations and Wavelet Orthonormal Base of L^2(R). Trans.Am.Math.Soc. 315. 1989.
[7] Mallat S. A Wavelet Tours of Signal Processing. Second Edit. USA: Academic Press; 2000.
[8] Meyer Y. Wavelets and Operators. Cambridge University Press. Vol.1; 1992.
[9] Ortiz A. Ondículas ("Wavelets"), un Paseo Histórico-Analítico. Lima: Sec. Matem. PUCP. Vols.1, 2; 2012.
[10] Ortiz A. Ondículas, Evolución de Algunas Ideas y Aplicaciones. Selecciones Matemáticas. 2019; Vol.06(01): 119-127.
[11] Strang G, Nguyen T. Wavelets and Filter Banks. Wallesley - Cambridge Press; 1996.
[12] Jaffard S, Meyer Y, Ryan RD. Wavelets: Tools for Science-Technology. Philadelphia: SIAM; 2001.
Información adicional
How to cite this article: Ortíz A. Un breve paseo por las Ondículas. Selecciones Matemáticas. 2022;9(2):395–422. http://dx.doi.org/10.17268/sel.mat.2022.02.14
Agradecimiento: A mi profesor Dr. Geraldo Avila, UNB, por su amistad y enseñanzas