Predicción de esfuerzos axiales de barras cilíndricas huecas y sólidas torsionadas
Predicción de Resistencia Axial en Barras Cilíndricas Sólidas y Huecas Torsionadas
Predicción de esfuerzos axiales de barras cilíndricas huecas y sólidas torsionadas
Revista Técnica de la Facultad de Ingeniería, Universidad del Zulia, vol. 41, núm. 2, pp. 71-78, 2018
Universidad del Zulia
Recepción: 09 Junio 2017
Revisado: 01 Marzo 2018
undefined: A simple methodology is proposed for the prediction of axial tensile yield and ultimate strength of solid and hollow cylindrical bars previously cold worked by means of a torsion process, based on the assumption of an angle of twist. For the validation of the method annealed AISI 1020 and AISI 1045 steel samples were torsioned under different angles of twist. The AISI 1020 samples were later drilled to remove the core, and all were subjected to tensile tests to measure the yield and ultimate strength. As expected, it was found that the strength increased with the angle of twist, and that hollow samples have even higher strength values than the solid ones. The proposed formulation showed good accuracy with errors not greater than 9.78 and 6.81% for solid and hollow samples, respectively.
undefined: Se propone una metodología simple para la predicción de la resistencia a fluencia y máxima a la tracción axial de barras cilíndricas sólidas y huecas previamente trabajadas en frío por medio de un proceso de torsión, basada en la suposición de un ángulo de torsión. Para la validación del método muestras de acero recocido AISI 1020 y AISI 1045 se torsionaron bajo diferentes ángulos de torsión. Las muestras de AISI 1020 fueron posteriormente perforadas para eliminar el núcleo, y todas fueron sometidas a ensayos de tracción para medir resistencia a fluencia y máxima. Como se esperaba, se encontró que la resistencia aumentaba con el ángulo de torsión, y que las muestras huecas tenían valores de resistencia incluso mayores que los sólidos. La formulación propuesta mostró una buena precisión con errores no superiores a 9,78 y 6,81% para muestras sólidas y huecas, respectivamente.
Introducción
En los procesos de conformado de metales, la torsión de probetas sólidas o huecas se utiliza para obtener altas tasas de deformación plástica, sin cambios dimensionales significativos en diámetro y longitud. Al girar, la estructura interna de los componentes mecánicos se puede alterar convenientemente y se recomienda ya que aumenta el rendimiento y la resistencia a la tracción de las piezas como ejes, ejes y brocas helicoidales. En consecuencia, como informó Knap (1) , el conocimiento de las tensiones residuales resultantes de los procesos de trabajo es particularmente importante.
Se han realizado numerosos estudios para determinar las relaciones entre el proceso de torsión y las propiedades mecánicas. Yang y Welzel [2], utilizando técnicas de ensanchamiento de la línea de difracción de rayos X, microscopía electrónica de transmisión y microdureza en muestras de Ni, cuantificó la distribución del tamaño de grano y la microdeformación a lo largo de la dirección radial de los discos torsionados. Observaron que existe un gradiente de microdureza, mostrando los valores más altos en la región exterior, como resultado de un tamaño de grano ligeramente menor, y una microestructura más homogénea en la periferia.
Experimentos realizados para evaluar el efecto de la torsión en una aleación de aluminio y cobre puro, por Horita y Langdon [3] , mostró que se logra un refinamiento significativo del grano en ambos materiales con tamaños de grano de 150 y 140 µm, respectivamente. También informaron que las mediciones de microdureza demostraron aumentos en los valores cerca de los bordes de los discos en factores de aproximadamente tres y dos para estos materiales, respectivamente.
Recientemente, Janecek et al. [4] torsión aplicada a muestras de acero libre intersticial de grano ultrafino. Descubrieron que, después de 0,5 vueltas, el centro del disco tiene el valor de dureza más bajo y la dureza aumenta casi linealmente desde el centro hasta el borde, alcanzando un valor máximo en el borde. La mayoría de estos resultados fueron confirmados por Huang et al.[5] por torsión en tantalio puro. Un estudio de Jiang et al.[6] sobre la torsión de una aleación Ti5553 mostró que la dureza y la resistencia máxima a la tracción aumentaron con el procesamiento, acompañadas de una disminución en el alargamiento hasta la falla.
Se han llevado a cabo enfoques empíricos para interpretar los datos de torsión y convertirlos en relaciones intrínsecas tensión / deformación, pero este proceso no siempre es sencillo.
Canova y col. [7] propuso un método para realizar la derivación de la curva de esfuerzo cortante / deformación cortante a partir de los datos de par / torsión, y convertir la curva anterior en una relación esfuerzo / deformación equivalente. Demostraron que, cuando se utilizaron las conversiones corregidas, la tasa de endurecimiento por trabajo calculada a partir de las pruebas de torsión fue menor que la obtenida a partir de las pruebas uniaxiales.
Empleando una prueba de torsión en un cilindro sólido, Batdorf y Ko Robert[8] , mostró que la solución exacta para encontrar la relación esfuerzo cortante / deformación de un material se obtiene fácilmente como una corrección a la aproximación cuasielástica. La solución propuesta se extiende al caso de cilindros huecos y también es aplicable a condiciones donde se presenta un esfuerzo axial constante.
Hematiyan y Doostfatemeh presentan una fórmula simple. [9] para análisis de torsión de tubos huecos con formas poligonales, en los que los espesores de los segmentos de la sección transversal pueden ser diferentes. Para derivar las fórmulas, se utilizaron las ecuaciones de gobierno en términos de la función de tensión de Prandtl. Presentaron varios ejemplos para mostrar la precisión y eficiencia de la formulación y los resultados obtenidos también fueron verificados por soluciones precisas de elementos finitos. Los resultados demostraron que las fórmulas propuestas pueden ser útiles para el análisis de tubos huecos de paredes delgadas y moderadamente gruesas.
Yang y col.[10] desarrolló una solución de procedimiento recursivo de base analítica para el análisis de muestras cilíndricas huecas bajo torsión, y se empleó directamente una solución analítica para muestras sólidas de torsión. Se examinaron ejemplos relacionados con estos dos casos, y las curvas de esfuerzo cortante / deformación resultantes se compararon con las basadas en varios métodos empíricos. Concluyen que los enfoques analíticos propuestos pueden servir como punto de referencia para verificar la precisión y validez de esas proposiciones empíricas.
De la literatura mencionada anteriormente, queda claro que varios investigadores han llevado a cabo estudios. Aún así, sigue siendo importante obtener una mejor comprensión de cómo el proceso de fabricación por torsión afecta el comportamiento funcional de las piezas. Por lo tanto, el objetivo de este estudio es desarrollar una formulación simple para la predicción de la relación tensión / deformación axial en el análisis de torsión. En la metodología, se supone un ángulo de torsión para el esfuerzo cortante a través de las barras cilíndricas macizas o huecas. Las fórmulas derivadas son lo suficientemente simples como para llevarlas a cabo con una calculadora.
Procedimiento experimental Metodología propuesta
Al someter una barra cilíndrica a un proceso de torsión, debido a la conservación del volumen, el diámetro y la longitud inicial no cambian, y la deformación longitudinal de las fibras aumenta con el radio, por lo que el endurecimiento en la superficie de la barra es superior a en el interior, volviéndose casi cero en su centro.
Suponiendo que en un radio (r) desde el centro de la barra hay una fibra horizontal pa de longitud (l a .) (Figura 1). Seleccionar arbitrariamente un punto b, de modo que pb tenga una longitud (l o .) Y forme un ángulo ( a ) por encima de pa. Después de girar el extremo derecho del cilindro en un ángulo ( 0 ), el punto b se mueve ac, por lo que la fibra pb se deformará a pc en un ángulo ( y ), quedando con una longitud final (l a .).
La geometría tridimensional de la Figura 1 se puede apreciar mejor como una superficie plana en la Figura 2, y de ambas se pueden obtener las relaciones necesarias para calcular la deformación longitudinal que experimenta la fibra en estudio al ser desplazada de pb a pc 11


La longitud inicial de la fibra (lo) se define como:

Después de la torsión, la longitud final (lf) se puede obtener de la siguiente manera:

Sustituyendo la ecuación. (3) y Eq. (4) en la ecuación. (2) resulta en:

(5) De la definición de deformación, usando la Ec. (1) y Eq. (5), viene:

Al diferenciar la ecuación. 6 en relación con el ángulo ( a ), y equiparando el resultado a cero, es posible determinar el valor del ángulo ( a ) que da la mayor deformación para cualquier cantidad de ángulo de torsión ( 0 ). La fórmula obtenida se expresa de la siguiente manera:

La fibra con mayor deformación se ubica en un ángulo ( o ) con respecto a la horizontal (Figura 3). La fórmula del ángulo
( o ) se define como:


Sustituyendo la ecuación. (3) y Eq. (4) en la ecuación. (8) da:

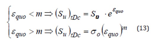
La resistencia longitudinal de esta fibra será (Si) t o t o (Si) tLt (resistencia a la tracción en o ), una fibra a 90 ° estará bajo compresión, con una resistencia (Si) t (90- o ) co (Si) tDc (Figura 3)
Entonces la resistencia axial (Si) axial se puede expresar como:

Fuerza máxima axial
La resistencia última longitudinal de la fibra de mayor deformación (Su) tLt en términos de funciones de deformación ulaástica equivalentes de Datsko [11], para una barra recocida antes de la torsión, se puede escribir de la siguiente manera:

donde la cepa equivalente es:

Para la fibra comprimida a 90 °, la resistencia última (Su) tDc se puede obtener como:

dónde:

Fuerza de rendimiento axial
La relación para el límite elástico longitudinal (Sy) tLt, nuevamente en términos de funciones de deformación ulaástica equivalentes de Datsko [11], de la fibra de mayor deformación en una barra recocida antes de la torsión, se puede representar mediante la siguiente ecuación:
( Sy .tLt = σ. (Ε qys ). (15)
donde la cepa equivalente es:

La resistencia (Sy) tDc de la fibra comprimida a 90 ° se puede expresar como:
( S y .tDc = σ. (Ε qyo ). (17)

Fuerza media axial
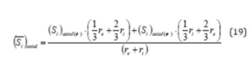
En una barra cilíndrica hueca torcida, para cualquier ángulo (0), estarán presentes dos ángulos (a1) Y (a2.), Dado el radio (r1.) Y (r2), Respectivamente. Evaluar la resistencia media axial (Si.)
axial (ri), se deben calcular dos resistencias axiales (Si) axiales (ri) y (Si) axiales (re), para las superficies externa (re.) e interna (ri.) (Figura 4).
Esto se puede lograr usando el segundo teorema de Pappus, que dice: “El volumen. de un sólido de revolución generado por la revolución de una lámina alrededor de un eje externo es igual al producto del área. de la lámina y la distancia. viajado por el centroide geométrico de la lámina. x ”[12].
El volumen del toro triangular generado por la revolución de (Si) axial (ri) y (Si) axial (re) sobre el eje central debe calcularse e igualar al volumen del toro rectangular producido por la revolución de (Si .) axial (ri) y (Si.) axial (ri) , para calcular este último. Ambos volúmenes deben desplazarse una distancia (r1.) Del centro de la barra.

Finalmente, se puede escribir la siguiente relación:

Si (ri) tiende a cero (( Si .axial.ri ) = ( Si .axial (0)), la ecuación para la resistencia axial media de una barra cilíndrica sólida retorcida se obtiene:

donde ( ... axial (0) es la resistencia axial de la barra antes de la torsión.
En la Figura 5 se puede observar una representación gráfica de la metodología propuesta para el cálculo del límite elástico axial.

Material de la pieza de trabajo
Se cortaron cilindros de aproximadamente 170 mm de longitud con un diámetro de 38,1 mm a partir de barras redondas de acero AISI 1020 (0,18 ± 0,01% C, 0,035 ± 0,001% S y 0,40 ± 0,01% Mn) y acero AISI 1045 (0,455 ± 0,01 % C y 0,82 ± 0,01% Mn). Estos aceros se suministraron estirados en frío y longitudes de 3.000 mm.
Preparación de muestras de trabajo
Las probetas (Fig. 6) se mecanizaron a las dimensiones requeridas (Tabla 1) torneando en un torno CNC, utilizando el código ISO - DCMT11T308MU insertos de carburo con un radio de punta de 0,8 mm. Todos los procesos de corte se realizaron con parámetros de corte constantes, y abundante cantidad de aceite refrigerante soluble en agua, para asegurar una buena calidad superficial [13, 14].

| Prueba | Sólido (AISI 1045) | Hueco (AISI 1020) | |||
| d e , mm | l, mm | d yo , mm | d e , mm | l, mm | |
| 1 | 9,8 | 50 | - | - | - |
| 2 | 9,6 | 50 | 6,80 | 9.22 | 46.25 |
| 4 | 9,7 | 50 | 5,90 | 8,90 | 51,33 |
| 5 | 9.4 | 50 | 6.16 | 10.54 | 56,40 |
| 3 | 9,7 | 50 | - | - | - |
Tratamiento térmico
Las muestras se templaron a 870 ° C durante 1 h para obtener una estructura libre de cepas ferríticas y perlíticas completamente recristalizada y sin textura. Las propiedades mecánicas y la ecuación de endurecimiento por trabajo obtenidas de los ensayos de tracción, realizados de acuerdo con la norma ASTM E8 / E8M-13a [15], se muestran en la Tabla 2.
utilizando una máquina de torno para asegurar la alineación con el eje de la muestra, con suficiente refrigerante y las condiciones de corte adecuadas para evitar cambios en la integridad de la superficie [16] del material.
Ensayos de tracción
Los ensayos de tracción de las probetas sólidas y huecas, de acuerdo con la norma ASTM E8 / E8M-13a [15], se realizaron para apreciar las variaciones límite de resistencia del material resultantes del proceso de torsión. Finalmente, el rendimiento promedio y la resistencia última se calcularon descartando los valores que estaban considerablemente fuera del rango demarcado por las otras medidas y comparándolos con los predichos por la metodología propuesta.
Resultados y discusión
Para las condiciones evaluadas, las pruebas de tracción y la metodología propuesta arrojaron los siguientes resultados.
Como se esperaba, el rendimiento axial experimental y previsto y la resistencia última de las barras cilíndricas sólidas deformadas por torsión aumentan con el ángulo de torsión del proceso, como se muestra en la Tabla 3. Esto se debe al endurecimiento superficial del material generado por la cantidad de deformación plástica, es decir, el desarrollo y distribución de deformaciones y tensiones en la pieza de trabajo durante el procesamiento. Por tanto, la deformación equivalente inducida en la muestra es proporcional al ángulo de torsión.
La tendencia general de la fluencia axial prevista y la resistencia última es tener valores más altos en huecos.
| Acero | S y , MPa | S u , MPa | , MPa σ = σ o (ε) m |
| AISI 1020 | 268,90 | 434,34 | Importar imagen |
| AISI 1045 | 362.05 | 676,86 | Importar imagen |
Pruebas de torsión
Se utilizó una máquina de torsión de extremo libre para las pruebas de torsión, en las que la muestra se deforma a una tasa de deformación constante en la superficie. El acero AISI 1045 se torció aplicando ángulos de 90, 180, 270, 360 y 450 grados, y 630, 720, 810 grados para el acero AISI 1020, con cinco repeticiones cada uno. A partir de los especímenes retorcidos, se perforaron muestras de acero AISI 1020 para quitar el núcleo y lograr los diámetros internos (di) que se muestran en la Tabla 1. El proceso se llevó a cabo cilindros, como se muestra en la Tabla 4. Esto también se esperaba debido a la eliminación de fibras internas con menos deformación plástica. El endurecimiento por deformación de las fibras exteriores es mayor que el de las centrales, debido a la proporcionalidad de la deformación plástica con el radio. El endurecimiento varía simétricamente alrededor del centro de las muestras procesadas debido a la menor tensión impuesta en el área central que conduce a un menor endurecimiento, mientras que se logra una mayor deformación plástica en el área periférica que recibe una alta tensión impuesta.
| Ángulo de giro, grados | S y , MPa | S u , MPa | ||||
| Experimental | Predicho | Error, % | Experimental | Predicho | Error, % | |
| 90 | 542,31 | 549.01 | 1,22 | 706.08 | 703.41 | 0,38 |
| 180 | 617,82 | 638,62 | 3,26 | 726,97 | 729,35 | 0,33 |
| 270 | 657.05 | 698,45 | 5,93 | 761,98 | 757.19 | 0,63 |
| 360 | 671,76 | 735,85 | 8,71 | 763,45 | 781,48 | 2,31 |
| 450 | 696,27 | 771,73 | 9,78 | 826.01 | 863,42 | 4.33 |
Se puede observar en las Tablas 3 y 4 que el modelo propuesto se ajustó muy bien a los valores experimentales, con errores máximos de 9,78% para cilindros macizos y 6,81% para cilindros huecos, lo que destaca la buena precisión del método.
| Ángulo de giro, grados | S y , MPa | S u , MPa | ||||||
| Sólido | Hueco | Sólido | Hueco | |||||
| Predicho | Experimental | Predicho | Error, % | Predicho | Experimental | Predicho | Error, % | |
| 630 | 560,29 | 643,23 | 690,23 | 6,81 | 652,97 | 677,55 | 699.08 | 3,08 |
| 720 | 559,89 | 640,38 | 684.01 | 6,38 | 652,32 | 655.07 | 694.21 | 5,64 |
| 810 | 572.22 | 671,74 | 698.13 | 3,78 | 673,19 | 698,14 | 715,82 | 2,47 |
Conclusiones
En relación a la metodología propuesta y las condiciones experimentales evaluadas en este trabajo se pueden extraer las siguientes conclusiones de los resultados:
(1) Se presentó una metodología relativamente simple para la predicción del rendimiento axial y la resistencia última basada en el supuesto de un ángulo de torsión de barras cilíndricas huecas y sólidas recocidas.
(2) Cuando aumenta el ángulo de torsión del proceso de torsión, también aumentan el rendimiento axial y la resistencia última.
(3) Después del proceso de torsión, las barras cilíndricas huecas tienen valores pronosticados más altos de rendimiento axial y resistencia última en comparación con los cilindros sólidos.
(4) La formulación propuesta da resultados aceptables, con errores no mayores a 9,78 y 6,81% para cilindros macizos y huecos, respectivamente.
Referencias
[1] Knap, F. “Torcer alambre y barra redonda para aumentar la resistencia”, Wire World Int., Vol. 29, N ° 4, (1987), 94-96.
[2] Yang, Z. y Welzel, U. “Microestructura - relación microdureza de Ni nanoestructurado producido por torsión a alta presión”, Mater. Lett., Vol. 59, núm. 27, (2005), 3406-3409.
[3] Horita, Z. y Langdon, T. “Microestructuras y microdureza de una aleación de aluminio y cobre puro después del procesamiento por torsión a alta presión”, Mat. Sci. Ing. A, vol. 410-411, (2005), 422-425.
[4] Janecek, M. Krajnák, T. Stráská, J. Cížek, J. Lee, DJ Kim, HS y Gubicza, J. “Evolución de la microestructura en acero libre intersticial de grano ultrafino procesado por torsión a alta presión”, IOP Conf. Ser .: Mater. Sci. Eng., Vol. 63, (2014), 12055-12063.
[5] Huang, Y. Maury, N. Zhang, NX y Langdon, TG “Microestructuras y propiedades mecánicas del tantalio puro procesado por torsión a alta presión”, IOP Conf. Ser .: Mater. Sci. Eng., Vol. 63, (2014), 12100 - 12107.
[6] Jiang, BZ Emura, S. y Tsuchiya, K. “Microestructuras y propiedades mecánicas de la aleación Ti5553 procesada por torsión a alta presión”, IOP Conf. Ser .: Mater. Sci. Eng., Vol. 63, (2014), 12069-12075.
[7] Canova, G. Shrivastava, S. Jonas, J. y G'sell, C. “El uso de pruebas de torsión para evaluar la conformabilidad del material”, ASTM Spec. Tech. Publ., Vol. 753, (1982), 189-210.
[8] Batdorf, S. y Ko Robert, W. “Relación tensión-deformación plástica de corte obtenida de datos de torsión-torsión”, J. Eng. Mater-T., Vol. 108, N ° 4, (1986), 354-357.
[9] Hematiyan, MR y Doostfatemeh, A. “Torsión de tubos huecos moderadamente gruesos con formas poligonales”, Mech. Res. Comun., Vol. 34, núm. 7/8, (2007), 528-537.
[10] Yang, Z. Li, X. y Yang, J. “Interpretación de los resultados de cizallamiento torsional para la relación tensión-deformación no lineal”, Int. J. Numer. Anal. Met., Vol. 32, núm. 10, (2007), 1247–1266.
[11] Datsko, J. Selección de materiales para el diseño y la fabricación: teoría y práctica, Marcel Dekker, Inc., Nueva York, 1997.
[12] Weisstein, E. Concise Encyclopedia of Mathematics, 2ª ed., CRC Press, Nueva York, 2003
[13] Hussein, SG "Un estudio experimental de los efectos del líquido refrigerante sobre la rugosidad de la superficie en la operación de torneado de aleaciones de latón", J. Eng., Vol. 20, N ° 3, (2014), 96-104.
[14] Deepak, D. y Rajendra, B. “Investigaciones sobre la rugosidad de la superficie producida en el torneado de Al6061 (As-Cast) por el método Taguchi”, Int. J. Res. Ing. Technol., Vol. 04, núm. 08, (2015), 295-298.
[15] ASTM E8 / E8M-13a, Métodos de prueba estándar para pruebas de tensión de materiales metálicos, ASTM International, West Conshohocken, PA, 2013.
[16] Field, M. y Kahles, J. "Revisión de la integridad de la superficie de los componentes mecanizados", Ann. CIRP, vol. 20, (1971), 153-163.