Diseño y construcción de un módulo de control analógico tipo adelanto-atraso como herramienta de aprendizaje en la teoría de control
Design and construction of an analogue control module leadlag type as a learning tool in control theory
Diseño y construcción de un módulo de control analógico tipo adelanto-atraso como herramienta de aprendizaje en la teoría de control
Revista Técnica de la Facultad de Ingeniería, Universidad del Zulia, vol. 43, núm. 3, pp. 150-158, 2020
Universidad del Zulia
Recepción: 09 Octubre 2019
Aprobación: 06 Julio 2020
Publicación: 01 Septiembre 2020
Resumen: Los compensadores de adelanto y atraso aún son utilizados para el control de diversos sistemas reales, por lo cual es un tema indispensable en las cátedras de control automático de procesos. En la enseñanza de la teoría de control es cada vez más necesario contar con sistemas didácticos que ofrezcan la posibilidad de fortalecer los conocimientos teóricos con la práctica. El presente trabajo tiene por objetivo describir el diseño e implementación de un módulo de control basado en controladores de tipo adelanto-atraso como herramienta física en la enseñanza los principios teóricos del control automático. El módulo de control fue construido con elementos de fácil uso y bajo costo en Venezuela. Este presenta cuatro sub-módulos independientes: dos controladores y dos sistemas eléctricos a controlar, que pueden conectarse entre si. Los resultados obtenidos con el módulo de control difieren muy poco de las simulaciones. Este módulo diseñado permite al usuario desarrollar habilidades de análisis en los sistemas de control por la interacción amigable, sencilla y segura al momento de variar los parámetros del controlador.
Palabras clave: sistemas de control, módulo didáctico de control, controlador adelanto-atraso, control analógico.
Abstract: Lead-lag compensators are still used for the control of various real systems, therefore, they are an indispensable topic in the study of automatic process control. In the teaching of control theory, the need for didactic systems is evident to offer the possibility of experimenting with analog controllers, this way the theoretical knowledge is strengthened with practice. The object of this work is to describe the design and implementation of a control module based on lead-lag controllers as a physical tool in teaching the theoretical principles of automatic control. The control module was built with easy use and low cost elements in Venezuela. This module features four independent sub-modules: two controllers and two electrical systems to be controlled, which can be connected to each other. The results obtained with the control module slightly differ from the simulations. This designed module allows the user to develop analysis skills in control systems by single, friendly and safe interaction when varying controller parameters.
Keywords: control systems, control teaching module, lead-lag controller, analogue control.
Introducción
La teoría de control implica el estudio de un conjunto de estrategias o leyes que permiten regular los procesos y lograr que estos se comporten de una forma deseada. Entre estas leyes destacan el control PID, control por modo deslizante [1], control con compensación anti-windup [2], además de otras leyes de control clásicas. Para tal efecto, es necesario un dispositivo que permita regular las variables bajo estas leyes de control, conocido como controlador. Un controlador analógico es un sistema que implementa una ley de control, el cual está constituido por un conjunto de elementos electrónicos básicos como resistencias, condensadores y circuitos integrados. Existen diferentes tipos de leyes de control analógicas, tales como: PID, realimentación del vector de estado, compensadores de adelanto, atraso, entre otras [3].
Los compensadores de adelanto-atraso permiten el seguimiento de la referencia, además de mejorar la respuesta del sistema controlado. La compensación en atraso logra incrementar la ganancia en lazo cerrado, lo que permite mejorar el error en el estado estacionario sin modificar el estado transitorio del sistema; mientras que, la compensación por adelanto crea un adelanto de fase en el sistema ajustando la respuesta del régimen transitorio a las especificaciones de comportamiento requeridas [46]. Los controladores de tipo adelanto-atraso son unos de los controladores analógicos más usados, diseñados para mejorar las condiciones transitorias y el régimen permanente del sistema a controlar. Entre sus usos se encuentran el control de sistemas de doble rotor para superar deficiencias de los controladores PID [7], control en la velocidad de deslizamiento en sistemas de tres máquinas [8], control de sistemas de orden fraccional obtenidos por la aproximación de orden entero de Matsuda [9], entre muchos más.
Los avances tecnológicos en la enseñanza de la teoría de control, exhortan al estudiante de hoy en día a dominar tanto la teoría como la práctica [10-12]; sin embargo, es difícil contar con equipos y componentes físicos para desarrollar tales prácticas. Es por ello, que estas actividades académicas están siendo remplazadas por simulaciones para el estudio e interacción de los sistemas de control [6,11,13-15]. Por tanto, es de importancia para el proceso de enseñanza de la ingeniería de control contar con plataformas físicas didácticas que permitan experimentar con las variaciones en los parámetros de un controlador analógico [12,16].
Actualmente existen varias propuestas de módulos didácticos académicos y comerciales para el estudio de la teoría de control. Particularmente existen módulos que implementan la ley de control PID [16-20] y módulos académicos con diferentes controladores que utilizan componentes y equipos de difícil acceso [10,20-23]. Entre las opciones comerciales que utilizan compensadores de adelanto-atraso, destacan equipos de laboratorio de alto costo, esto presenta una desventaja para la adquisición [13]. Por tanto, se desea contar con equipos de similares propósitos, pero a bajo costo. Por lo antes mencionado, el presente trabajo tiene como finalidad describir el diseño e implementación de un módulo de control basado en controladores de tipo adelanto-atraso como herramienta física en la enseñanza los principios teóricos del control automático.
Metodología
Diseño del módulo de control LCBox
El diseño del módulo de control (Lead-Lag Control Box, LCBox) es un diseño simple y eficiente basado en el clásico esquema de lazo cerrado. Consta de dos bloques, el primero aloja los controladores electrónicos (adelanto o atraso y adelanto-atraso) y el segundo bloque contiene dos sistemas electrónicos lineales de segundo y tercer orden. Tanto los controladores como los sistemas, permiten el intercambio de los parámetros físicos, condensadores o resistencias, a través de conectores.
El esquema de configuración de los diferentes submódulos que componen el LCBox se representa en el diagrama de bloques ilustrado en la figura 1. Las líneas punteadas representan conexiones intercambiables, las líneas a la izquierda de los sistemas representan las señales de control de los diferentes controladores y la línea de la derecha representan la conexión hasta el punto de salida.

Por ser un sistema de control en lazo cerrado es necesaria la incorporación de un elemento restador unitario implementado con un amplificador operacional en su configuración de diferenciador según la figura 2. Se seleccionaron fuentes de +12V y -12V para ajustar el rango permitido de voltaje de alimentación para los amplificadores operacionales.
En cuanto la elección de los sistemas lineales, se usó un sistema de segundo orden y otro sistema de tercer orden. El sistema de segundo orden seleccionado es mostrado es la figura 3. El modelo matemático que describe el comportamiento de este sistema viene dado por las ecuaciones 1 y 2:



Se definió como variable controlada el voltaje en el condensador C. (VC2), para evitar la aparición de ceros finitos en la función de transferencia. La aparición de un cero puede influir significativamente en el control a lazo cerrado, interfiriendo en la salida del sistema. La función de transferencia para este caso corresponde a la ecuación 3.


El sistema de tercer orden seleccionado se muestra en la figura. 4. Las ecuaciones 4 y 5 describen el modelo matemático en el espacio de estados del sistema.

(4)
En este caso, se define la salida como el voltaje en el condensador C. (VC.), por las razones expuestas en el caso del sistema de segundo orden.

Tomando en cuenta la ecuación 5, la función de transferencia equivalente se describe en la ecuación 6.

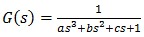
Donde los parámetros del polinomio son descritos en la ecuación 7.

Diseño del controlador por adelanto o atraso
Este diseño incluye dos amplificadores operacionales como se ilustra en la figura 5. La función de transferencia del circuito está dada por la ecuación 8.


La relación de los parámetros del controlador con los componentes físicos se describe en la ecuación 9.

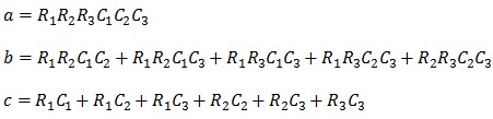
Para reducir el número de parámetros se hace C=C.=C.. Entonces, la ecuación 8 se reescribe como la ecuación 10.

La equivalencia entre los parámetros del controlador y los componentes físicos están dados por la ecuación 11.

La función de transferencia, ecuación 10, representa un controlador de atraso de fase, siempre que se cumpla α > 1 o de adelanto de fase si se cumple la desigualdad 0 < α < 1 [24].
Diseño del controlador adelanto-atraso
Este controlador combina ambas redes (adelanto y atraso) en un solo elemento de control. El diseño de los compensadores se realiza por separado, la ecuación 12 representa la función de transferencia clásica del mismo.

Se debe cumplir con las inecuaciones 0 < α1 <
1 y α2 > 1, para ello se realiza el ajuste la red de adelanto y luego la red de atraso. La figura 6 representa el circuito equivalente a la función de transferencia descrita en la ecuación 13.

La relación entre los parámetros y componentes físicos está dada por la ecuación 14.

Debe verificarse que 0 <α. < 1 y α. > 1 [24].

Selección de componentes para la implementación
Los elementos usados presentan características de fácil uso, adquisición y bajo costo en Venezuela. El amplificador operacional LM741, es utilizado en diversas aplicaciones analógicas relacionadas con control. Se eligió este integrado por su amplia ganancia y variada gama de voltajes de operación, permitiendo lograr un excepcional rendimiento como integrador y amplificador sumador [25]. La configuración de los compensadores se pudo realizar con otros integrados más económicos, sin embargo, para efectos de la realización de esta investigación y disponibilidad de adquisición se decidió optar por el integrado LM741.
En la implementación del restador del bucle de control se utilizó cuatro resistencias de película de carbón de 1KΩ para garantizar la ganancia unitaria del mismo. La selección del controlador deseado por el usuario se realiza a través de un interruptor dip o dip switch. Se usó una placa de baquelita con cara de cobre de (150x90) mm para la impresión del circuito. Las conexiones entre los controladores, los sistemas, y los componentes electrónicos intercambiables es efectuada utilizando bases header. Se emplearon bornes tipo banana para las conexiones de entrada, tierra, +12V y -12V del LCBox, y la salida de dicho módulo de control. Sobre la placa se fijaron conectores, con la finalidad de realizar el intercambio de algún componente en caso de avería.
Protección de las entradas
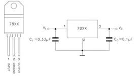
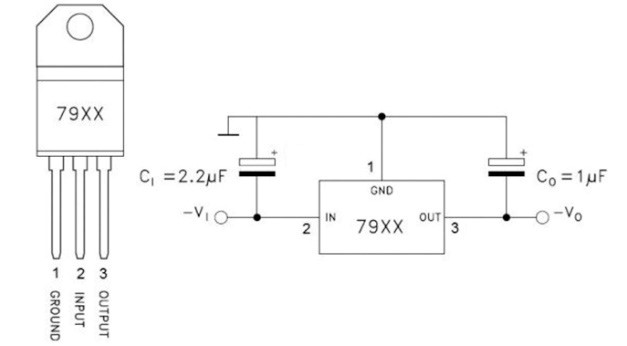
La entrada de referencia del sistema y las entradas de alimentación de los amplificadores operacionales (+12V y -12V) son protegidas. Se incluyó un fusible de 0,1A para la protección ante sobrecargas o cortocircuitos, el rango de intensidad nominal aceptable varía entre 0,1A; 0,25A o 0,5A. La alimentación de +12V y -12V del LCBox son protegidas usando dos reguladores de voltaje: Un LM7812 para la entrada de +12V y un LM7912 para la entrada de -12V. En las figuras 7 y 8 se ilustran las configuraciones usadas. La tabla 1 resume los componentes empleados para la elaboración del módulo de control LCBox y sus precios en dólares americanos estadounidenses.


Construcción del módulo de control LCBox
El diseño esquemático del módulo de control LCBox hecho en el software ISIS se ilustra en la figura 9. Una vez realizado el diseño, se usó el software ARES, para crear las pistas o conexiones entre los componentes del circuito impreso, como se muestra en la figura 10. Para el circuito impreso se utilizó la técnica de impresión en baquelita, el resultado se aprecia en la figura 11. Posteriormente se construyó la caja metálica para la contención del mismo. La parte superior del LCBox contiene un diagrama de conexión de guía para el usuario, este se ilustra en la figura 12.
La parte superior del LCBox cuenta con cinco bornes, cuatro de entrada (referencia, tierra, 12V, -12V) y uno de salida (para fines de visualización de la salida de los sistemas), así mismo, también cuenta con conectores header.






A diferencia de la parte superior, el resto del módulo está fabricado en acero. En el interior del mismo se construyeron bases aislantes para la placa que protegen los componentes y líneas ante un cortocircuito. La tapa del LCBox y el contenedor se unieron a través de un par de bisagras. El resultado final de la construcción del LCBox se observa en la figura 13.

Rango de funcionamiento del módulo LCBox
La tabla 2 y la figura 12 describen los límites del funcionamiento y la ubicación de cada componente a conectar en el módulo. El voltaje máximo y mínimo que puede soportar la entrada de referencia viene dado por la capacidad de los amplificadores operacionales utilizados. Estos valores se encuentran en el datasheet del encapsulado UA741 [25]. Los valores mínimos y máximos de los capacitores y resistencias representan el rango de valores con los cuales fue probado el LCBox satisfactoriamente.
| Símbolo en la cubierta | Valor límite mínimo | Valor límite máximo |
| Entrada | -15V | 15V |
| 12 Volts | 7,5V | 35V |
| -12 Volts | -35V | -6,1V |
| C1, C2, C5, C6 | 0,1 µF | 100 µF |
| R1, R2, R3, R4, R7, R8, R9, R10, R11, R12 | 39Ω | 180KΩ |
Resultados y Discusión
Para comprobar el desempeño del módulo de control se realizaron diferentes pruebas. Se usó como señal de referencia una onda cuadrada obtenida del generador de señales y con ayuda de un osciloscopio se observó la señal de salida del sistema controlado en lazo cerrado.
Control por adelanto en el sistema de segundo orden
Para el sistema a controlar se usaron los siguientes parámetros C3 = 1µF, C4 = 2,2µF, R5 = 1000Ω y R6 = 2000Ω, que proporcionan una dinámica sobreamortiguada. En este caso se desea que el sistema en lazo cerrado cumpla con los siguientes requerimientos: error. < 6% (error de posición) y 10% < %SD < 20% (variación del sobredisparo). Aplicando el algoritmo de diseño del controlador por adelanto, a través del método frecuencial se obtuvieron los parámetros del controlador Kc= 22,6659, α = 0,7059 y T = 5,7499x10-4. La función de transferencia del compensador por adelanto se describe en la ecuación 15.

Los valores para la implementación del controlador, fueron calculados usando la ecuación 11 y los parámetros usados fueron: R1 = 4721Ω ≈ 4700Ω, R2 = 1029Ω ≈ 1000Ω, R3 = 120Ω, R4 = 12783,56Ω ≈ 13000Ω, C1= 0,1µF y C2 = 0,47 µF. Los datos de la salida real del sistema en lazo cerrado se almacenaron y compararon con las simulaciones efectuadas en el software PSIM y MATLAB, como se observa en la figura 14. Las curvas fueron graficadas en MATLAB para su comparación. Las gráficas de salida arrojan una muy buena aproximación de los datos reales con los simulados en el software PSIM. Se puede ver claramente como alcanza el sobredisparo máximo deseado y cumple el seguimiento de la referencia dentro del rango establecido, este comportamiento se debe a la buena elección de los parámetros del controlador.

Control por atraso en el sistema de segundo orden
Para este caso se usaron los siguientes parámetros C3 = 0,1µF, C4 = 0,22µF, R5 = 1000Ω y R6 = 2000Ω, con los cuales se obtiene una dinámica sobreamortiguado en lazo abierto en un sistema de segundo orden. Se desea controlar el sistema para que cumpla con los siguientes requerimientos: error. < 3% y %SD = 0%. Igual al caso anterior, se calcularon los parámetros para el controlador por atraso Kc= 1,2136, α = 28,8403 y T = 0,022 y su función de transferencia se describe en la ecuación 16.

Se calcularon los siguientes parámetros realespara la implementación del controlador: R1 = 2047Ω ≈2000Ω, R2 = 62101Ω ≈ 62000Ω, R3 = 120Ω, R4 = 1354Ω ≈1500Ω, C1= 10μF y C2 = 10μF. La respuesta del sistemase muestra en la figura 15, en ella se aprecia claramentecomo la curva real corresponde a la curva simulada por elsoftware PSIM, cumpliendo así con el valor de la referenciaplanteado y la dinámica simulada.

Control por adelanto-atraso en el sistema de tercer orden
Para este sistema se empleó un controlador por adelanto-atraso. Los parámetros del sistema fueron los siguientes: C7 = 0,1µF, C8 = 0,22µF, C9 = 0,33µF, R13 = 2000Ω, R14 = 1000Ω y R15 = 3000Ω, correspondiente a un sistema de tercer orden con dinámica sobreamortiguada.
El sistema en lazo cerrado debe cumplir con:errorp < 2% y %SD < 10%. Se aplicó el algoritmo de diseñodel controlador por adelanto-atraso bajo el métodofrecuencial y se obtuvieron los siguientes parámetros Kc=48,07168, α1 = 0,2169, α2 = 5,7544, T1 = 3,4633x10-4, T2= 0,0028, se obtuvo la función de transferencia para elcontrolador descrita en la ecuación 17.

Tomando en cuenta las equivalencias de laecuación 14, se determinaron los parámetros físicos másadecuados para el controlador. Los valores usados fueron:R7 = 1500Ω ≈ 2000Ω, R8 = 411,764Ω ≈ 410Ω, R9 = 500Ω ≈510Ω, R10 = 1963,299Ω ≈ 1900Ω, R11 = 410Ω, R12 = 31291Ω≈ 3000Ω, C5= 0,10829μF y C6 = 6,8μF. En la figura 16 sepuede observar como la salida real del sistema controladopor el compensador de adelanto-atraso se aproxima conbuena exactitud a la curva simulada en el software PSIM yMATLAB logrando las especificaciones de diseño.

Conclusiones
El LCBox es una plataforma de gran potencial diseñada para ser usada en la enseñanza de la teoría de control, por su sencillez en la elaboración, uso y manejo. Permite al usuario implementar compensadores de tipo adelanto, atraso o adelanto-atraso diseñados en teoría y puestos en marcha con elementos básicos de electrónica para controlar sistemas eléctricos, evitando así errores en el cableado y configuraciones erróneas en los amplificadores. Al ser un diseño simple, permite al usuario de diferentes especialidades de la ingeniería desarrollar habilidades de análisis en los sistemas de control por la interacción amigable y segura al momento de cambiar los parámetros del controlador.
Es de destacar que la construcción del módulo se realizó con elementos y dispositivos electrónicos de fácil adquisición y de bajo costo, por lo que convierte el LCBox en un controlador simple, potente, robusto y de fácil elaboración. El módulo de control solo contiene dos tipos de controladores, sin embargo, esto presenta una desventaja para el estudio de otras diferentes estrategias de control analógico.
Referencias Bibliográficas
[1] Baldeón, J., Escorza, J., Chávez, D., & Camacho, O.: “Control for hexacopters: A sliding mode control and PID comparison”. Rev. Téc. Ing. Univ. Zulia, Vol. 39, No. 3(2016), 137-144.
[2] Ríos-Bolívar, A.: “Controller synthesis with compensation AW and performance in H2/H∞”.
Rev. Téc. Ing. Univ. Zulia., Vol. 30, No. 3 (2007), 263272.
[3] Ogata, K.: “Ingeniería de control moderna”. Pearson Educación, S.A., Madrid, 2010.
[4] Kuo, B.: “Sistemas de control automático”. Prentice Hall, México, 1996.
[5] Hassaan, G.: “Robustness of feedback first-order lag-lead, feedforward second-order lag-lead and feedforward first-order lag-lead compensators used with second-order processes”. International Journal of Advances in Engineering&Technology, Vol. 7, No.6(2015), 1711.
[6] Martínez, J., Padilla, A., Rodríguez, E., Jiménez, A., & Orozco, H.: “Diseño de herramientas didácticas enfocadas al aprendizaje de sistemas de control utilizando instrumentación virtual”. Revista Iberoamericana de Automática e Informática industrial, Vol. 14, No. 4 (2017), 424-433.
[7] Deniz, M., Tatlicioglu, E., y Bayrak, A.: “Experimental Verification of Lead-Lag Compensators on a Twin Rotor System”. Electrical, Control and CommunicationEngineering, Vol. 14, No. 2 (2018), 164-171.
[8] Jalali, S., & Shahgholian, G.: “Designing of power system stabilizer based on the root locus method with lead-lag controller and comparing it with PI controller in multi-machine power system”. Journal of Power Technologies, Vol. 98, No. 1 (2018), 45-56.
[9] Dogruer, T., & Tan, N.: “Lead and lag controller design in fractional-order control systems”. Measurement and Control, (2019), doi:0020294019858094.
[10] Silva, L., Pereira, R., Gonzatti, R., da Silva, L., LambertTorres, G., Mollica, D., & Santana Filho, J.: Low-cost didactic module for single-phase inverter teaching. In: IEEE (ed), 2017 Brazilian Power Electronics Conference (COBEP),(2017).doi: 10.1109/ COBEP.2017.8257232.
[11] Tapia, J., Rodas, A., & Camacho, O.: “Comparación de dos enfoques para la enseñanza en Control de Procesos: Simulación versus Implementación”. Revista Ibérica de Sistemas e Tecnologias de Informação, No.E23 (2019),206-219.
[12] Brito, M., Melo, F, Freitas, L., Vieira, J., Coelho, E., Farias, V., & Freitas, L.: “Didactic platform for teaching of three-phase rectifier circuits in power electronics”. International Journal of ElectricalEngineeringEducation, Vol. 51, No. 4(2014), 279-291.
[13] Bermúdez C.: “Diseño y construcción de un módulo didáctico de control analógico con controladores de tipo adelanto-atraso”. Tesis de Pregrado, Universidad de Los Andes, Mérida – Venezuela(2017).
[14] Serra, G.: “Experimental approach applied to practical classes on digital control systems: a contribution from model-based control theory”. The International Journal of Electrical Engineering & Education, Vol. 57, No. 2(2020), 99-132.doi: 10.1177/0020720918788723
[15] Takács, G., Gulan, M., Bavlna, J., Köplinger, R., Kováč, M., Mikuláš, E., & Salíni, R.: “HeatShield: a Low-Cost Didactic Device for Control Education Simulating 3D Printer Heater Blocks”. In: IEEE (ed), 2019 IEEE Global EngineeringEducationConference (EDUCON), (2019), 374-383.
[16] Sánchez J.: “Diseño y construcción de un controlador PID analógico”.Tesis de Pregrado, Universidad de Los Andes, Mérida – Venezuela(2009).
[17] Pruna, E., Chang, O., Jiménez, D., Pérez, A., Ávila, G., Escobar, I., & Gordon, A.:“Building a training module for modern control”. In: IEEE (ed), 2015 CHILEAN Conference on Electrical, Electronics Engineering, Information and Communication Technologies (CHILECON), (2015), 369-373.
[18] Oltean, S., Dulău, M., & Duka, A.:“Didactic system for the experimental study of digital pid control structures”. Scientific Bulletin of the PetruMaior University of TarguMures, Vol. 13, No.2 (2016).
[19] Andrade, R.: “Módulo didáctico para controlar nivel y caudal de agua, mediante sistema SCADA, PLC y algoritmo PID”. Revista de Investigaciones en Energía, Medio Ambiente y Tecnología, Vol. 4, No.2 (2020), 50-62.
[20] Barba, C., & Eduardo, R.: “Desarrollo de práctica de automatización a través de un módulo didáctico con el plcsimatic s7-1200 para el control de electroválvulas”. Tesis de Grado, Universidad Técnica de Cotopaxi, La Mana – Ecuador (2017).
[21] Koleff, L., Valentim, G., Rael, V., Marques, L., Komatsu, W., Pellini, E., & Matakas, L.: “Development of a Modular Open Source Power Electronics Didactic Platform”. In: IEEE (ed), 2019 IEEE 15th Brazilian Power Electronics Conference and 5th IEEE Southern Power Electronics Conference (COBEP/ SPEC), (2019).
[22] Chávez, J., & Díaz, L.: “Work in Progress: Design and implementation of a didactic module with manual interface, PLC interface and PC serial interface for teaching process control techniques”. In: IEEE (ed), 2019 IEEE World Conference on Engineering Education (EDUNINE), (2019).
[23] Magos, M., Chávez, J., Flores, Z., Sánchez, M., Zúniga, R., & Espinoza, D.: “Tablero didáctico para prácticas con controladores lógicos programables”. Pistas Educativas, Vol. 38, No. 120 (2018).
[24] Dorf R &Bishop R.: “Ingeniería de control moderna”. PEARSON Prentice Hall, México 1998.
[25] Fairchild Semiconductor. “Datasheet LM78XX/ LM78XXA 3-Terminal 1 A Positive Voltage Regulator”, Fairchild Semiconductor Corporation (2006).