Artículos
Comunidades de macroalgas en puntas rocosas de la costa de Rocha, Uruguay
Macroalgae communities in rocky outcrops in Rocha, Uruguay
Comunidades de macroalgas en puntas rocosas de la costa de Rocha, Uruguay
INNOTEC, núm. 14, pp. 17-30, 2017
Laboratorio Tecnológico del Uruguay

Recepción: 27 Octubre 2017
Aprobación: 05 Diciembre 2017
Resumen: Las macroalgas son fundamentales para los ecosistemas marinos y son muy sensibles a los cambios ambientales (por ejemplo, temperatura, salinidad). La costa atlántica uruguaya es clave para la biogeografía regional de macroalgas, transición entre la ficoflora subtropical y subantártica. El objetivo de este trabajo fue evaluar la riqueza de especies y biomasa de macroalgas, su distribución espacial y relación con variables ambientales en puntas rocosas de la costa de Rocha (33°S; 54°O), Uruguay. Se realizaron dos muestreos (verano e invierno) en puntas rocosas de Cerro Verde (La Coronilla), Cerro Rivero (Punta del Diablo) y El Cabito (La Paloma). Mediante transectas se cubrieron distintas profundidades, midieron variables ambientales y colectaron muestras. Se identificaron en total 36 taxa (21 rodofitas, 11 clorofitas y 4 ocrofitas). La riqueza de especies y biomasa fue mayor en verano para todos los sitios con especies principalmente subtropicales, y la temperatura fue un factor clave. Las ocrofitas ocurrieron en menor frecuencia, asociadas a aguas frías y claras. Se alcanzó el 50 % del total de especies registradas para Uruguay; el complejo Ulva spp. (clorofita) fue el más frecuente. El conocimiento generado aportará al manejo de las macroalgas uruguayas retomando la línea de investigación y favoreciendo el desarrollo de trabajos futuros en el tema.
Palabras clave: Riqueza de especies, macrofitas, variabilidad espacio-temporal, intermareal rocoso.
Abstract: Macroalgal communities are fundamental for marine ecosystems and very sensitive to environmental changes (e.g temperature, salinity). The Uruguayan Atlantic coast represents a transition between subtropical and subantarctic phycoflora and therefore has a key role to the regional biogeography of macroalgae. The objective of this study was to analyze the macroalgal community richness and biomass, its spatial distribution and its changes along diverse environmental gradients in rocky outcrops of Rocha coast (33°S; 54°W), Uruguay. Two samplings were carried out (summer and winter) in rocky shores of Cerro Verde (La Coronilla), Cerro Rivero (Punta del Diablo) and El Cabito (La Paloma). Transects were used to cover different microhabitats and depths, environmental variables were measured and samples collected. A total of 36 taxa were identified (21 Rhodophyta, 11 Chlorophyta and 4 Ochrophyta). The species richness and biomass were higher in summer for every site, with communities dominated by subtropical species. Temperature was a key modulating factor. For all the species, 50 % were previously registered in previous literature for Uruguay and Ulva spp. complex (Chlorophyta) was the most frequent. Ochrophyta were less frequent being associated with cold and clear waters. Present results provide a basis for the macroalgae management of the Uruguayan coast, reopening a line for future research in the subject.
Keywords: Species richness, macrophytes, spatio-temporal variability, intertidal rocky shore.
Introducción
Las macroalgas constituyen uno de los grupos más variados de organismos fotosintéticos. Abarcan principalmente las divisiones clorofita (algas verdes), rodofita (algas rojas) y ocrofita (algas pardas). Dentro de las algas existe una gran diversidad de especies (aproximadamente 10.000 especies de algas verdes, por ejemplo), con características fisiológicas (por ejemplo pigmentos), ciclos de vida y respuestas a los cambios ambientales muy variadas (Hurd, et al., 2014). Las macroalgas marinas se encuentran fijas a diversos sustratos por distintas estructuras de adhesión, confinadas principalmente al sustrato consolidado rocoso o firme para soportar la acción mecánica de las olas (Oliveira, et al., 2001; Harley, et al., 2012).
Estos organismos son fundamentales para el funcionamiento de los sistemas costeros; modulan los ciclos de nutrientes y aportan materia orgánica a través de su producción primaria (Santelices, et al., 2009; Hurd, et al., 2014). Su rol es clave, además, en cuanto a que proporcionan alimento y refugio a diversos animales (Santelices, et al., 2009; Wahl, 2009). Las macroalgas marinas son muy sensibles a los cambios ambientales (por ejemplo, nivel del mar o salinidad) y modificaciones menores en el ambiente pueden generar cambios importantes en su composición y distribución (Harley, et al., 2012). Algunas especies de macroalgas son invasoras y afectan negativamente la comunidad residente y el ecosistema en general (Williams y Smith, 2007). Muchas especies son utilizadas con fines productivos como el consumo humano, la producción de materias primas y como insumos para productos farmacéuticos y biotecnológicos (Pellizzari y Reis, 2011).
Factores condicionantes de la comunidad de macroalgas
La distribución, abundancia y composición de las macroalgas están determinadas por factores físicos (como nivel del mar, salinidad, temperatura u oleaje) y biológicos (como herbivoría o competencia) que ocurren a diversas escalas espaciales y temporales (Kerswell, 2006; Smale, et al., 2010). La conjunción de factores latitudinales y locales afecta también la estructura de esta comunidad (Harley, et al., 2012; Sanches, et al., 2016).
Los gradientes latitudinales modifican las características de las masas de agua (salinidad y temperatura, por ejemplo) y las corrientes, lo que resulta en una distinta distribución de las macroalgas debido a diferencias en su capacidad de dispersión y preferencias ambientales (Kerswell, 2006; Harley, et al., 2012; Sanches, et al., 2016). La riqueza total de especies de macroalgas se incrementa hacia mayores latitudes, observándose diferencias para los distintos grupos (Kerswell, 2006). Las ocrofitas aumentan su diversidad hacia regiones frías, los patrones de diversidad de las rodofitas varían entre hemisferios, aumentando de los polos a los trópicos en el hemisferio norte y disminuyendo de los polos a los trópicos en el hemisferio sur; mientras que las clorofitas tienen un patrón menos asociado a la latitud con un leve aumento hacia zonas tropicales (Santelices, et al., 2009; Liuzzi, et al., 2011; Keith, et al., 2014).
La zona intermareal o mesolitoral rocosa se caracteriza por una abundante presencia de macroalgas. En esta zona el estrés ambiental (desecación, variaciones del nivel del mar, oleaje), la estructura espacial y características del sustrato (tipo, orientación y rugosidad superficial) afectan fuertemente la abundancia y diversidad de macroalgas (Liuzzi, et al., 2011; Harley, et al., 2012; Holloway-Adkins, et al., 2015). Sustratos con mayor rugosidad retienen más humedad, favoreciendo la sobrevivencia de más especies de macroalgas, mientras que sedimentos de grano fino (arena, limo-arcilla) asociados o próximos a las rocas pueden quedar en suspensión limitando el desarrollo de las macroalgas y disminuyendo su capacidad fotosintética (Schiel, et al., 2006). Como resultado de los factores bióticos y abióticos se observa un patrón de bandas longitudinales (zonación) en la estructura de la comunidad de macroalgas. En zonas más expuestas del intermareal dominan las algas verdes, las algas rojas en zonas más protegidas y parcialmente cubiertas por agua, mientras que en la zona submareal de mayor profundidad dominan las algas pardas (Holloway-Adkins, et al., 2015; Pellizzari, et al., 2016a).
El desarrollo de actividades antrópicas, como el turismo y la urbanización, en los ambientes costeros generalmente degrada el hábitat de las macroalgas, modificando la dinámica dunar, la disponibilidad de sustrato y generando contaminación, ocasionando así la disminución de su riqueza y abundancia (Portugal, et al., 2016). Las especies exóticas, cuya introducción generalmente se asocia a actividades antrópicas, como el agua de lastre de los barcos o la acuicultura (Carlton, 1993), compiten por el espacio y sustrato disponible con las macroalgas nativas generando también una disminución en su biodiversidad y la de organismos asociados (Schaffelke y Hewitt, 2007).
Macroalgas en Uruguay
El conocimiento de las macroalgas en Uruguay es limitado. Según la literatura existente, la costa atlántica de Uruguay es una zona de escasa diversidad de macroalgas y exhibe la riqueza específica más baja en el Atlántico sudoccidental (Coll y Oliveira, 1999; Liuzzi, et al., 2011; Steigleder, 2015). Sin embargo, estas observaciones se basan en estudios muy aislados, discontinuados y usualmente con escasa conexión entre sí, en los que se estudiaron distintos puntos de la costa de Montevideo, Maldonado y Rocha (Howe, 1931; Taylor, 1960; Coll, 1976, 1979; Scarabino, et al., 1975; Maytía y Scarabino, 1979; Méndez, 1983; Hareau y Silva 1984a, 1984b; Coll y Oliveira, 1999). Maytía y Scarabino (1979) realizaron una caracterización cualitativa y sin considerar variaciones estacionales de la zonación del macrobentos de las puntas rocosas de la costa uruguaya. Estos autores reportaron especies de macroalgas características de cada nivel en donde la zona mesolitoral se encontró principalmente habitada por las especies Pterocladiella capillacea, Hypnea musciformis, Polysiphonia tepida, Gelidium cardinale, Porphyra sp.,Enteromorpha sp.,Hildenbrandia sp. yUlva lactuca. Posteriormente, Coll y Oliveira (1999) relevaron para toda la costa de Uruguay un total de 72 taxa de macroalgas (41 especies de rodofitas, 24 especies de clorofitas y 7 especies de ocrofitas). Entre estas se incluyen varias especies cosmopolitas de los tres principales clados, pertenecientes, por ejemplo, a los géneros Cladophora, Ulva (clorofita), Chondracanthus, Grateloupia y Polysiphonia (rodofita).
Keith et al. (2014) proponen que la biodiversidad en las regiones templadas y polares está controlada principalmente por las variaciones ambientales, mientras que en las zonas tropicales los factores bióticos serían más importantes (Wiens y Donoghue, 2004). En este marco, la costa uruguaya es una región clave para estudiar los procesos subyacentes a los patrones de biodiversidad y la biogeografía regional (Scarabino, et al., 2016) ya que es una zona de transición entre la ficoflora subtropical y subantártica (Coll y Oliveira, 1999). Por otro lado, la costa atlántica de Uruguay se encuentra fuertemente influenciada por los aportes de agua dulce rica en nutrientes del Río de la Plata (35°S) (Campos, et al., 2008; Pivel, 2009; Kruk, et al., 2015). De esta forma, el estudio de la ficoflora de esta región puede además contribuir a comprender el efecto de las actividades antropogénicas, incluyendo la eutrofización, las modificaciones físicas y el cambio climático en las comunidades de macroalgas a escala regional.

Mapa de la costa de Uruguay dividida en la zona estuarina (Estuario Río de la Plata) y la zona oceánica (Océano Atlántico). Las imágenes muestran las localidades de muestreo: A: El Cabito (La Paloma); B: Cerro Rivero (Punta del Diablo) y C: Cerro Verde (La Coronilla).
En Uruguay las macroalgas constituyen una importante fuente de alimentación para los juveniles de la tortuga verde (Chelonia mydas) (López-Mendilaharsu, et al., 2006, Vélez-Rubio, et al., 2013, Vélez-Rubio, et al., 2016). Por otra parte, numerosas especies de invertebrados obtienen refugio entre las distintas especies de macroalgas, especialmente aquellas que forman matas densas que retienen sedimentos. Se destacan por su abundancia los crustáceos (anfípodos, isópodos y decápodos), poliquetos, nemertinos, bivalvos y gasterópodos (Brazeiro, et al., 2006, Scarabino, obs. pers.). En este sentido, los estudios de la comunidad de macroalgas aportan también al análisis de las relaciones tróficas de las especies y sus posibles efectos dentro de los ecosistemas.
El objetivo de este trabajo fue realizar un relevamiento de la riqueza de especies y biomasa total de macroalgas en puntas rocosas del Este de la costa atlántica de Uruguay. Para ello, se seleccionaron diferentes zonas representativas de distintas condiciones ambientales y presión antropogénica. Éstas incluyeron puntas rocosas: Cabo de Santa María (Balneario La Paloma), Cerro Rivero (Balneario Punta del Diablo) y Cerro Verde (Balneario La Coronilla). En ellas se evaluó la distribución de macroalgas a lo largo de la zona litoral en verano e invierno, se analizaron las condiciones ambientales (temperatura, salinidad) y sustrato (composición, pendiente) y cómo estas afectaron a las macroalgas.
Materiales y Métodos
Área de estudio
El estudio se llevó a cabo en tres zonas rocosas de la costa de Rocha (Este de la costa atlántica uruguaya): El Cabito (La Paloma), Cerro Rivero (Punta del Diablo) y Cerro Verde (Área Protegida Costero Marina de Cerro Verde e Islas de La Coronilla, La Coronilla) (Figura 1, Tabla 1). El Cabito es una zona costera con importantes infraestructuras y gran afluencia turística. Cerro Rivero presenta un desarrollo costero en pleno crecimiento con una gran influencia turística. Cerro Verde tiene baja afluencia de visitantes y no presenta infraestructuras costeras. Esta última zona ingresó al Sistema Nacional de Áreas Protegidas (SNAP) en el 2011 (Uruguay, 2011) bajo el dominio de «Área de manejo de hábitats y/o especies». En los tres casos el número de visitantes aumenta notoriamente durante la temporada estival.
Cerro Rivero y Cerro Verde comparten la misma unidad geológica, denominada Complejo Granítico Santa Teresa (edad 543±7 millones de años), que integra el Ciclo Brasiliano que continúa hacia Santa Catarina, Brasil. El Cabito corresponde a metasedimentos de fondo marino de la Formación Rocha, secuencia turbíditica integrada por areniscas, vaques y pelitas de bajo grado de metamorfismo y al menos tres fases de deformación, su sedimentación corresponde a flujos gravitacionales submarinos en un arco continental activo (edad 610 y 550 millones de años) (Basei, et al., 2013; Blanco, et al., 2014).
Las mareas de tipo astronómico tienen escasa amplitud (ca. 40 cm) en la costa atlántica uruguaya y han sido escasamente caracterizadas. Determinan un intermareal relativamente estrecho, donde a su vez se puede definir una zona alta dominada por el cirripedio Chthamalus bisinuatus y una zona baja dominada por el bivalvo Brachidontes rodriguezii (Maytía y Scarabino, 1979; Scarabino, obs. pers.). En el área de estudio el principal condicionante del nivel del mar es el viento; vientos fuertes del sector norte generalmente determinan bajantes excepcionales, principalmente en verano, alcanzando el submareal somero en el concepto aquí utilizado (por ejemplo, -1 metro o más). En forma contraria, vientos fuertes del sector S determinan, principalmente en invierno, subidas excepcionales que alcanzan el supralitoral, renovando el agua de las pozas supralitorales (MTOP, et al., 1980; Ortega en Demicheli y Scarabino, 2006; Scarabino, obs. pers.).
Muestreo
Se realizaron dos muestreos en cada sitio, uno en verano (marzo) y otro en invierno (setiembre), durante el año 2016. Para Cerro Verde solo fue posible muestrear en verano. En cada sitio se registraron las características geológicas de cada área, identificando el tipo de roca, características mineralógicas y estructurales en base a información bibliográfica existente para cada sitio (Basei, et al., 2013; Blanco, et al., 2014).
En cada sitio se realizaron tres transectas perpendiculares a la línea de la costa separadas a una distancia de 50 a 100 m entre sí, abarcando distintas profundidades e incluyendo la zona supralitoral, intermareal y submareal somero (aproximadamente un metro de profundidad máxima). Para cada sitio se seleccionó una transecta y se estimó la pendiente realizando un perfil con una regla graduada (Leyca CLR 102), desde el mayor nivel de la pleamar hasta la zona de mayor profundidad muestreada, midiendo la pendiente cada 3 m. A partir de esos datos se calculó un indicador de la variabilidad de las alturas: cociente entre el desvío estándar de la altura y el largo de la transecta. Para estimar la riqueza de especies y abundancia de macroalgas en cada sitio y estación del año, se realizaron colectas de macroalgas a lo largo de tres transectas, separadas 100 m entre sí, que abarcaron la zona desde el último nivel alcanzado por la pleamar hasta 1 m de profundidad en el submareal. Para cada transecta, se utilizó como superficie de muestreo un cuadrante de 35x35 cm. Estos fueron ubicados cada 5 m de distancia entre sí a lo largo de todas las transectas y alcanzando hasta un total de 38 cuadrantes para todo el estudio. En cada uno se removieron los organismos con talos mayores a 0,5 cm de largo. Además se tomaron muestras de macroalgas en un área definida de 2 m de radio alrededor de cada cuadrante, considerando distintos microhábitats y profundidades y detectando así el mayor número de especies posibles. Las muestras fueron guardadas en bolsas de plástico con agua de mar y se mantuvieron congeladas para su posterior análisis en laboratorio.
En los mismos sitios donde se ubicaron los cuadrantes se midieron variables abióticas del agua y se caracterizó el tipo de sustrato y micro-hábitat (pozas, tipo de roca, arena). Se registraron otras características categóricas como distancia al mar, profundidad y zonificación (supralitoral, intermareal, o submareal). Las variables ambientales del agua se midieron con un multiparámetro (Horiba U-50) e incluyeron temperatura (Tagua, °C), salinidad (S, ppt), pH, turbidez (NTU) y oxígeno disuelto (OD, mg/l).
Análisis de laboratorio
En el laboratorio se identificaron los organismos al nivel taxonómico más detallado posible y se estimó la biomasa (kg/m2) de macroalgas para cada sitio y estación. Se midió el peso húmedo PH (g) y luego del secado de las muestras en estufa durante tres días a 60 ºC se midió el peso seco PS (g) por cuadrante. Los taxa fueron identificados por métodos convencionales, considerando morfología, niveles de organización, pigmentación, tipo de ramificación, entre otros. Cuando fue necesario se realizaron cortes histológicos para observación en el microscopio para evaluar estructura y distribución celular, y otros elementos clave para la identificación como estructuras reproductivas. Se utilizaron claves de identificación taxonómica de la región (Taylor, 1960; Coll, 1976; Wynne, 2011) y recursos de la web AlgaeBase (Guiry y Guiry, 2017). Para los organismos registrados e identificados a nivel de género pero que no fue posible diferenciar especie se desarrollaron tres estrategias: [1] si pertenecían a uno o más de un género dentro del cual se esperaría encontrar una o más especies, pero no fue clara la separación entre morfotipos, se consideró el nombre genérico (por ejemplo, Porphyra.Pyropia spp.); [2] especies que pertenecían a un mismo género con diferencias morfológicas relevantes pero que no fue posible su identificación se denominaron con un número (por ejemplo, Polysiphonia sp.1); [3] si pertenecían a uno o más géneros sin clara identificación taxonómica, se las consideró como integrantes de un complejo (por ejemplo, Ulva spp.). El complejo Ulva spp. se clasificó en dos morfotipos distintos (morfotipo tubular y morfotipo laminar). Se conservaron muestras de referencia en el Centro Universitario Regional del Este (CURE, Sede Rocha, Uruguay) y en la Dirección Nacional de Recursos Acuáticos (DINARA, Base La Paloma, Rocha, Uruguay), para lo cual algunos ejemplares fueron fijados en húmedo con formol al 4 % y otros en seco en formato de herbario y con silicagel.
Análisis de datos
La biomasa total húmeda y seca (kg/m2) se calculó sumando el PH y PS de todos los cuadrantes y dividiendo sobre la superficie total de los cuadrantes por sitio en cada fecha. La riqueza de especies (S) se estimó como el número de taxa presente en la muestra para cada sitio y estación del año, organizando la información también por grupo filogenético S clorofitas, S rodofitas y S ocrofitas. Se identificaron las especies dominantes como aquellas que se encontraron con mayor frecuencia (mayor al 70 % del total de cuadrantes de cada transecta). Se analizaron las relaciones entre variables biológicas (PS, PH, S, S clorofitas, S rodofitas y S ocrofitas y biomasa seca) utilizando correlaciones no paramétricas de Spearman. En los casos en los que se observaron relaciones significativas se ajustaron modelos lineales (y = ax + b) y se estimó el R.. Para analizar la relación entre el PS y PH las variables fueron estandarizadas y transformadas con log10 (x+1), luego se ajustaron modelos lineales y se estimó el R2. Se analizaron los cambios en las variables biológicas y ambientales entre estaciones del año, sitios y zonas dentro de cada sitio (supra, inter y submareal). Se utilizó la prueba de log-likelihood ratio (LRT) para poner a prueba las diferencias en las medias y varianzas de las variables ambientales entre estaciones del año y zonas en el litoral (supralitoral, intermareal y submareal) usando el paquete de R nlme (Pinheiro, et al., 2016). Se utilizaron análisis de componentes principales (ACP) para describir grupos de casos y su organización en gradientes ambientales incluyendo las variables temperatura del agua, pH, salinidad, oxígeno disuelto, turbidez, TDS, temperatura del aire e intensidad del viento, previamente estandarizadas.
Resultados
Geomorfología de los sitios
Los sitios se diferenciaron en tipo de sustrato y estructura (Tabla 1). En relación al perfil, el Cabito se caracterizó por presentar una zona intermareal más larga (120 m), con menor pendiente y más homogénea, así como rocas en disposición perpendicular a la costa con numerosas canaletas. Se destacan también los alvéolos que generan micro-oquedades. Cerro Verde y Cerro Rivero tuvieron una zona intermareal más corta (ca. 45 m), con mayor pendiente y heterogeneidad espacial asociada a un mayor número y diversidad de pozas (Gráfico 1 y Tabla 1).
Riqueza y composición de especies
Se identificaron un total de 36 taxones que incluyeron un total de 27 géneros (Tabla 2). Para algunos géneros no fue posible separar ni identificar las especies mediante su morfología (Bryopsis spp., Ceramium spp., Porphyra/Pyropia spp., Rhodymenia spp.); si bien es tácita la existencia de al menos dos especies, se cuantificó como un taxón. Para el complejo Ulva spp. se identificaron dos morfotipos distintos (morfotipo tubular y morfotipo laminar).
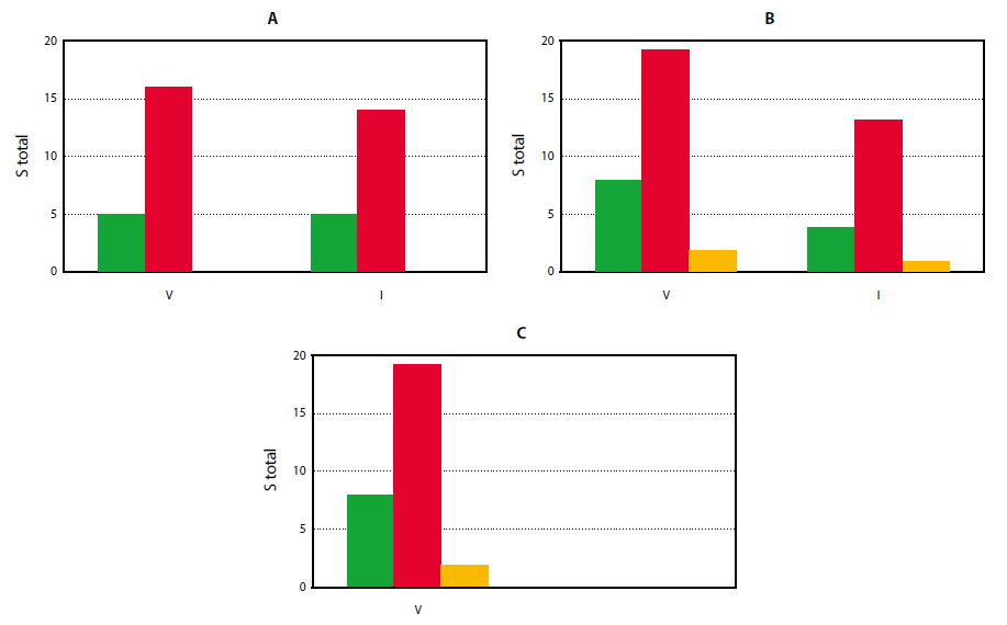
Se observó una mayor riqueza de especies de rodofitas, seguida por clorofitas y un escaso número de ocrofitas para todos los sitios y estaciones del año (Tabla 2 y Gráfico 2). Dentro de las rodofitas (22 especies, 16 géneros), las especies más frecuentes fueron Jania rubens, Cryptopleura ramosa . Polysiphonia sp. 1, halladas en su mayoría en el verano. Para las clorofitas (11 especies, seis géneros) el complejo Ulva spp. morfotipo laminar y Cladophora sp. 1 fueron las dominantes. Las ocrofitas fueron el grupo con menor riqueza (cuatro especies); la más frecuente fue Myriogloea major.

Descripción de los sitios de muestreo en cada localidad, incluyendo la descrpición del tipo de sustrat y estimación de pendientes. DS: desvío estándar.

Perfil topográfico de cada sitio: A: El Cabito (La Paloma); B: Cerro Rivero (Punta del Diablo),y C: Cerro Verde (La Coronilla).
De todos los taxones identificados se encontraron dos nuevos registros para Uruguay, los cuales corresponden a las especies Dasya sp. 1 y Grateloupia turuturu (exótica). Para los sitios El Cabito y Cerro Rivero, donde se realizaron muestreos en verano e invierno, se encontró una mayor riqueza de especies en verano con respecto al invierno (Tabla 2 y Gráfico 2). La relación entre la riqueza total de especies (S) y de los distintos grupos filogenéticos (S clorofitas, S rodofitas y S ocrofitas) mostró que, en general, las riquezas estuvieron positivamente relacionadas entre sí, excepto ocrofitas con rodofitas y clorofitas (Tabla 3). En particular, se ajustaron modelos para la relación entre riqueza total y la riqueza de especies de rodofitas y especies de clorofitas y se halló que las primeras eran muy buenas indicadoras de la riqueza total (R.=0,96) (Gráfico 3, Tabla 3).

Lista de las macroalgas colectadas e identificadas al nivel taxonómico más detallado posible y grupo filogenético (GFilo: clorofita, rodofita y ocrofita) en los diferentes sitios (EC: El Cabito; CR: Cerro Rivero y CV: Cerro Verde) y estaciones del año (V: verano; I: invierno). Se incluyen referencias bibliográficas previas para Uruguay.
*Referencias de registros para Uruguay: 1. Arechavaleta 1884; 2. Howe 1931; 3. Herter 1933a; 4. Herter 1933b; 5. Herter 1939a; 6. Herter 1939b; 7. Herter 1939c; 8. Taylor 1939; 9. Silva 1960; 10. Taylor 1960; 11. Méndez 1983; 12. Hareau y Osorio 1983; 13. Hareau 1984; 14. Hareau y Silva1984; 15. Coll y Oliveira 1999; 16. Steigleder 2015; 17; Pellizzari et al. 2016a. **Primer registro: Dasya sp. 1 y Grateloupia turuturu (especie exótica).

Riqueza de especies total (S total) según grupo filogenético: clorofita (color verde), rodofita (color rojo) y ocrofita (color amarillo) para cada sitio. A, El Cabito (La Paloma); B, Cerro Rivero (Punta del Diablo) y C, Cerro Verde (La Coronilla) y para V, verano e I, invierno.

Valores de correlación de Spearman entre la riqueza total de especies (S) y la riqueza de cada grupo filogenético (S clorofitas, S rodofitas y S ocrofitas).

Relación y modelos lineales ajustados entre riqueza total de especies (S) y riqueza de los grupos filogenéticos A (verde), S clorofitas (R2=0,52 p<0,001; S=2,46*Sclorofitas+1,68) y B (rojo), S rodofitas (R2=0,92 p<0,001; S=1,23*Srodofitas+1,14).
Frecuencia de ocurrencia de especies
El complejo Ulva spp. fue el más frecuente para todos los sitios y estaciones del año. Presentó una amplia distribución espacial y vertical, abarcando todas las subdivisiones litorales y zonas (supralitoral, intermareal y submareal), incluyendo las pozas de marea. En las pozas supralitorales se encontró un dominio del complejo Ulva spp. (morfotipo tubular) y especies del género Cladophora. En la zona intermareal expuesta se encontró una elevada frecuencia de Ulva spp. (morfotipo laminar), Gymnogongrus griffithsiae, Porphyra/Pyropia spp., Hypnea musciformis. Polysiphonia spp. En la zona menos expuesta del intermareal se encontraron con mayor frecuencia Chondracanthus teedei y Grateloupia cuneifolia; también se destacó la presencia del cordón de coralinas formado principalmente por Corallina officinalis . Jania rubens. Además, las pozas de la zona intermareal presentaron una elevada riqueza de especies, asociada a una mayor frecuencia del complejo Ulva spp. y especies coralináceas (Corallina officinalis y Jania rubens), destacándose asimismo la presencia de Codium decorticatum. La zona submareal estuvo dominada principalmente por Cryptopleura ramosa . Pterocladiella capillacea.
Biomasa de macroalgas
La biomasa seca total (kg/m2) de macroalgas fue mayor en verano para Cerro Rivero y El Cabito (Gráfico 4). Se estimó la biomasa total húmeda y seca para todos los sitios en conjunto y los valores hallados fueron mayores en verano (PH: 2,17 kg/m2, PS: 0,80 kg/m2) que en invierno (PH: 0,98 kg/ m², PS: 0,30 kg/m2).
Se encontró una relación lineal positiva entre el PS (g) y el PH (g) de macroalgas para todos los sitios en conjunto y ambas estaciones del año, ajustándose un modelo para estimar el PS a partir del PH (Gráfico 5).
Variables ambientales
La salinidad, la temperatura del aire y la temperatura del agua fueron mayores en verano (Gráfico 6A y 6B y Tabla 4). La temperatura del aire en el muestreo de verano varió entre 21,6 °C y 25,3 °C mientras que en el invierno varió de 17,5 °C a 21,1 °C (Tabla 4). La temperatura del aire y la temperatura del agua presentaron una relación lineal positiva (R2=0,70, p<0,001; Taire = 1,35*Tagua - 10,94). La turbidez no tuvo diferencias significativas entre estaciones del año y presentó una importante variabilidad (Gráfico 6C) (Tabla 4).

Biomasa total seca de macroalgas (kg/m2) para cada sitio (El Cabito, Cerro Rivero y Cerro Verde) y estación del año.

Relación y modelo ajustado entre el peso húmedo (Log10 (PH+1)) y el peso seco (Log10 (PS+1)) de la comunidad de macroalgas combinando los sitios y ambas estaciones del año (R2=0,78 p<0,05; log10(PS+1)=0,80*log10(PH+1) – 0,27).

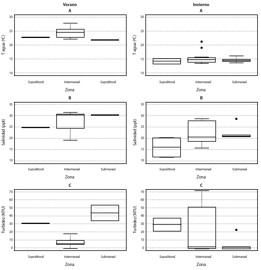
Boxplot de variables ambientales de: A: temperatura del agua (°C); B: salinidad (ppt) y C: turbidez (NTU), para cada estación del año (verano e invierno). En todos los casos la línea horizontal oscura representa la mediana de los datos, el rectángulo representa el 1er y el 3er cuartil y la línea vertical punteada representa el rango de distribución.

Resultados de las pruebas LRT comparando variables ambientales entre estaciones del año y zonas.

Boxplot de variables ambientales del agua: A: temperatura (°C); B: salinidad (ppt), y C: turbidez (NTU) para cada zona (supralitoral, intermareal y submareal) y según la estación del año (verano e invierno). En todos los casos la línea horizontal oscura representa la mediana de los datos, el rectángulo representa el 1er y el 3er cuartil y la línea vertical punteada representa el rango de distribución.

Diagrama biplot del análisis de componentes principales incluyendo con números y letras todos los sitios (Puna del Diablo: PdD, El Cabito: EC y Cerro Verde: CV) y transectas muestreados en ambas estaciones del año (invierno y verano). En flechas se incluyen las variables ambientales medidas en aire y agua incluyendo: temperatura del aire (Taire, °C); intensidad del viento (m/s); temperatura del agua (Tagua, °C); salinidad (ppt); turbidez (NTU); pH y oxígeno disuelto (OD, mg/L).
Se observó que para todas las variables abióticas del agua analizadas la zona intermareal presentó una mayor variabilidad con respecto a las demás zonas (Gráfico 7 y Tabla 4). Si bien se observaron algunas tendencias, como el aumento de la salinidad desde la zona supralitoral hacia el submareal, no se observaron diferencias significativas (Gráfico 7 y Tabla 4).
Finalmente, el ACP mostró que las variables más relevantes para explicar las diferencias en las condiciones ambientales de los distintos sitios fueron la temperatura del agua, la salinidad y la turbidez. Con base en estas variables los sitios se organizaron principalmente en función de la estación del año. Los muestreos de verano e invierno fueron distintos en la mayoría de las variables. El verano fue más cálido, con más viento y mayor salinidad, mientras que el invierno fue más frío y presentó mayores valores de pH y oxígeno disuelto en el agua. La turbidez del agua tuvo un comportamiento distinto: se ubicó en forma perpendicular al gradiente estacional y fue más alta en Cerro Rivero durante el invierno que en los demás sitios. Asimismo, en verano los sitios se diferencian menos entre sí que en invierno, cuando principalmente la turbidez y en menor grado la salinidad se organizaron a lo largo de un gradiente de aguas más claras (El Cabito) a más turbias (Cerro Rivero). Para el sitio El Cabito se observaron además diferencias entre transectas y un cambio en la turbidez con la distancia a la costa.
Discusión
En este trabajo se realizó un relevamiento de la riqueza y composición de especies así como de la biomasa total de macroalgas en puntas rocosas de la costa atlántica de Uruguay. Estos sitios se diferenciaron en términos topográficos, geomorfológicos, en grado de presión antrópica y estado de conservación, entre otros. Los principales resultados indicaron que el verano fue la estación del año con mayor biomasa y riqueza de especies, principalmente en Cerro Rivero. A su vez, esta estación presentó fundamentalmente rodofitas y clorofitas. Cerro Rivero y Cerro Verde presentaron mayor riqueza de especies en comparación con El Cabito; estas diferencias entre sitios podrían estar principalmente asociadas a mayor heterogeneidad del sustrato (pozas de marea), con diferencias más claras en verano que en invierno. La menor alteración por actividades antrópicas para el caso de Cerro Verde podría ser un factor que contribuya a la riqueza. Esta localidad se encuentra dentro de un área protegida, donde la comunidad de macroalgas es considerada «objeto focal asociado» a dos objetos focales de conservación de su plan de manejo: las islas y puntas rocosas y la tortuga verde (MVOTMA, 2014).
El número de especies registradas en este estudio (36 taxones) alcanzó el 50 % del total de las especies registradas por Coll y Oliveira (1999) (72 especies) cuyo trabajo abarcó varios puntos de la costa de Montevideo, Canelones, Maldonado y Rocha. Estos autores incluyeron las tres localidades muestreadas en este trabajo, aunque no detallaron los sitios, y observaron una mayor riqueza para el departamento de Rocha frente al resto de las zonas analizadas (Coll y Oliveira, 1999). Si bien el número de especies identificadas en nuestro caso fue menor al registrado por estos autores, los taxones observados en este trabajo serían los representativos para la zona en términos de biomasa. De hecho, Coll y Oliveira (1999) consideraron muestras colectadas a lo largo de varios años, así como también especies microscópicas y epífitas (aproximadamente 10 especies menores a 1 cm de altura del talo, de las cuales cinco eran epífitas). En este estudio no fueron considerados aquellos talos menores a 1 cm de altura por lo que la riqueza total podría estar subestimada. La futura evaluación de las especies identificadas a nivel de género y el uso de herramientas moleculares para análisis taxonómicos incrementaría el número de taxones registrados en este estudio.
En este trabajo la mayor riqueza de especies estuvo asociada al grupo de las rodofitas (58,3 %), seguido por clorofitas (30,6 %), mientras que las ocrofitas estuvieron poco representadas (11,1 %). Las proporciones fueron similares a las registradas por Coll y Oliveira (1999) (57 %; 33,3 % y 9,7 %, respectivamente) y a otros estudios realizados en la región que también mostraron una mayor proporción de especies de rodofitas con respecto a los demás grupos (Brasil: Figueiredo, et al., 2009; Argentina: Liuzzi, et al., 2011; Brasil: Portugal, et al., 2016). La temperatura es una de las principales variables moduladoras de la riqueza de cada grupo filogenético en distintas latitudes. El aumento de la temperatura actúa favoreciendo a las rodofitas frente a los demás grupos filogenéticos en términos de diversidad; este grupo, además, suele presentar estructuras que les brindan protección frente a disturbios (por ejemplo, herbivoría) como es en el caso de las coralináceas o géneros con talos duros o cuerosos (por ejemplo, Chondracanthus, Gymnogongrus, Pterocladiella, entre otros) (Zhuang, 2006; Liuzzi, et al., 2011; Harley, et al., 2012; Keith, et al., 2014; Holloway-Adkins, et al., 2015; Pellizzari, et al., 2017).
La mayor riqueza de especies encontrada en verano en Cerro Rivero y Cerro Verde, en comparación con El Cabito, estuvo asociada al tipo de sustrato y a una mayor heterogeneidad espacial representada principalmente por un mayor número y diversidad de pozas. Según Steneck y Dethier (1994), los ambientes que están menos expuestos a situaciones de disturbios como la remoción por el oleaje o herbivoría o estrés ambiental como la desecación y exposición a la luz solar facilitan el crecimiento y el desarrollo de una mayor biomasa de macroalgas. En este sentido, la mayor riqueza de especies encontrada en las pozas de marea podría verse asociada a que generan microhábitats más protegidos y menos expuestos a situaciones de disturbio, favoreciendo de esta forma el crecimiento de un mayor número de especies.
Se registraron por primera vez para Uruguay dos especies: Grateloupia turuturu y Dasya sp (ambas rodofitas). Grateloupia turuturu es una especie exótica invasora originaria del océano Pacífico (Acevedo, et al., 2015), que fue introducida accidentalmente en la última década hacia el Atlántico suroccidental y se ha reportado en las costas de Santa Catarina en 2015 (Acevedo, et al., 2015). Dasya sp. es un género que actualmente cuenta con aproximadamente 81 especies y se encuentra ampliamente distribuido en mares subpolares, templados y tropicales (Guiry y Guiry, 2017), y que fue registrada por primera vez en Uruguay en el invierno en El Cabito y en Cerro Rivero en el año 2016.
Las zonas intermareal y supralitoral se caracterizaron por una gran variabilidad de las condiciones ambientales del agua (temperatura, salinidad y turbidez) en comparación con la zona submareal. Esto es debido a su mayor exposición al oleaje y evaporación, lo cual genera cambios de temperatura y salinidad por mezcla de aguas con distintas características, así como también cambios en los niveles de turbidez por la suspensión de sedimento por acción de las olas (Schiel, et al., 2006; Holloway-Adkins, et al., 2015; Pellizzari, et al., 2017). Los ambientes más expuestos a disturbios suelen presentar dominancia de algunos organismos tolerantes como es el caso de algunas especies del género Cladophora spp. y Ulva spp. (clorofita) (Steneck y Dethier, 1994; Holloway-Adkins, et al., 2015; Portugal, et al., 2016; Pellizzari, et al., 2017). Este fue el caso de El Cabito, un ambiente con menor número de pozas y sustrato más expuesto, donde se encontró alta abundancia del complejo Ulva spp. Además de las características del sustrato, este sitio es el que presenta mayor presión antropogénica durante el verano, generando aún más disturbios por remoción de biomasa o favoreciendo el crecimiento del complejo Ulva spp. a través del incremento de los nutrientes (Portugal, et al., 2016).
Las especies que se encontraron dominando en todos los sitios y en ambas estaciones del año fueron especies del complejo Ulva spp. (clorofita) (Tabla 2). Se caracterizan por un ciclo de vida corto, de 2 a 3 meses, que incluye las fases de colonización, desarrollo y crecimiento (Steneck y Dethier, 1994; Holloway-Adkins, et al., 2015; Pellizari, et al., 2017). Son especies cosmopolitas y con amplia distribución espacial, incluyendo el supralitoral (expuestas a la desecación), el intermareal (expuestas a la acción de las olas) y zonas del submareal con mayor profundidad y escasa luz solar (Steneck y Dethier, 1994; Santelices, et al., 2009; Holloway-Adkins, et al., 2015; Pellizari, et al., 2017). Esto explicaría la elevada frecuencia de aparición de estas especies en todas las profundidades, microhábitats y sitios muestreados para ambas estaciones del año. Algo similar se encontró para las especies Corallina officinalis . Jania rubens (rodofitas), aunque en zonas más profundas o un poco más estables (por ejemplo, pozas de marea). Estas se caracterizan por un talo calcáreo que les proporciona protección frente a los disturbios (por ejemplo, la herbivoría) (Steneck y Dethier, 1994; Pellizari, et al., 2017). Este rasgo les permitiría crecer y desarrollarse en una variedad de ambientes y condiciones, lo cual coincide con lo hallado en este trabajo, donde las especies coralináceas se encontraron con una gran distribución espacial, desde ambientes expuestos del intermareal a ambientes más protegidos del submareal o pozas de marea.
Al comparar la frecuencia de ocurrencia de las especies en relación a las zonas (supralitoral, intermareal y submareal) encontramos una distribución similar a la zonación descrita por Maytía y Scarabino (1979) para las puntas rocosas de Uruguay. Estos autores indican que la presencia ocasional de Nemalion sp. en zona alta del intermareal se vincula al agua retenida entre los cirripedios Chthamalus bisinuatus y a especies del complejo Ulva spp. Para estos autores la zona menos expuesta del intermareal está dominada por Pterocladiella capillacea y la zona submareal es definida por la presencia de Codium sp. arraigado conjuntamente con especies coralináceas como Corallina officinalis y Jania rubens, lo cual coincide con lo hallado en este estudio.
Las rodofitas siguieron el patrón de la riqueza total, al igual que las clorofitas, con algunas excepciones como la ausencia de diferencias en la riqueza en El Cabito entre invierno y verano. Esto podría estar asociado a la mayor tolerancia de las especies de clorofitas a los cambios ambientales del agua (temperatura, salinidad y turbidez) y del aire (temperatura, intensidad del viento) (Santelices, et al., 2009; Keith, et al., 2014). La baja riqueza de especies de algas pardas registradas (cuatro taxones) coincide con la hallada en estudios anteriores para Uruguay (siete taxones) (Coll, 1976; Coll y Oliveira, 1999). Esto podría deberse a que las ocrofitas están mayormente asociadas a latitudes mayores donde predominan aguas con menor temperatura y baja turbidez a lo largo de todo el año (Santelices, et al., 2009, Liuzzi, et al., 2011; Keith, et al., 2014).
Las diferencias en la estructura y heterogeneidad del sustrato estuvieron ligadas a las características geológicas de cada sitio, ya que Cerro Rivero y Cerro Verde comparten la misma unidad geológica (Complejo Granítico Santa Teresa), mientras que El Cabito corresponde a metasedimentos de fondo marino de la Formación Rocha (Basei, et al., 2013; Blanco, et al., 2014). Si bien la heterogeneidad del sustrato fue un factor clave en determinar la estructura comunitaria, su efecto fue solo notorio en verano, ya que en invierno para El Cabito y Cerro Rivero se encontró la misma riqueza de especies (18 especies). Esto indicaría que la temperatura tiene un rol preponderante y el incremento de la riqueza asociada a diferencias en la heterogeneidad de sustrato ocurre a mayores temperaturas, como ha sido observado en otros trabajos (Zhuang, 2006).
Se encontró una relación lineal positiva entre el peso seco y el peso húmedo de las muestras de macroalgas colectadas. El modelo ajustado a esta relación permitiría estimar el peso seco a partir del húmedo, el cual es necesario para realizar cálculos de biomasa de macroalgas. Aplicar el modelo ajustado podría ser muy útil para futuros estudios, ya que disminuiría el trabajo de laboratorio evitando realizar el secado de las muestras.
Conclusiones
Este trabajo permitió retomar una línea de investigación poco transitada en las últimas dos décadas en Uruguay. Fue posible por primera vez realizar un registro estacional de la riqueza de especies de macroalgas, analizando su abundancia y distribución en tres sitios con diferentes características de la costa atlántica uruguaya. Los principales resultados muestran que las rodofitas son el grupo con mayor diversidad, seguido de las clorofitas y finalmente las ocrofitas; las especies más dominantes son el complejo Ulva spp. (clorofita) y las especies Cryptopleura ramosa, Jania rubens y Polysiphonia spp (rodofitas). El verano fue la estación del año con mayor biomasa y riqueza de especies, principalmente rodofitas y clorofitas, lo que indica que la temperatura es un factor importante en determinar la composición de la comunidad de macroalgas. En verano, la heterogeneidad del sustrato y potencialmente las actividades antrópicas pasarían a ser los principal factores moduladores. Cerro Rivero y Cerro Verde presentaron una mayor riqueza de especies en comparación con El Cabito, lo cual puede estar principalmente asociado a características del sustrato y a la menor alteración por actividades antrópicas, principalmente para Cerro Verde, ya que se encuentra dentro de un área protegida donde las macroalgas están asociadas a los objetos focales de conservación.
A partir de los resultados obtenidos se espera contribuir a incrementar la información actual disponible sobre la temática y realizar en el futuro un monitoreo continuo de macroalgas en Uruguay. Esto aportaría al análisis de aspectos de ecología y a la creación de una línea de base para el manejo, la evaluación del impacto ambiental de megaemprendimientos y del avance de especies invasoras y el análisis de escenarios en relación al cambio climático.
Reconocimientos
Al programa PAIE-CSIC (Universidad de la República), PEDECIBA Geociencias (Uruguay) y al proyecto CSIC i+d 1972016 que financiaron este trabajo. A las estudiantes Victoria Vidal y Soledad Pascuariello, a Paula Laporta y guardaparques del SNAP (Manuel Barreneche y Dante Roibal), a Alejandro Fallabrino, a voluntarios de Karumbé, a Paula Laens y a Matías Morales por su colaboración en los muestreos. A DINARA y Karumbé por toda su colaboración y préstamo de materiales e instalaciones. Agradecemos también a Graciela Fabiano por su apoyo general a lo largo del desarrollo de este estudio, así como a las especialistas de Brasil y Argentina, Franciane Pellizzari, Michelle Silva, Paulo Horta y Paula Raffo por su apoyo y aporte bibliográfico.
Referencias
Acevedo, C. A. A. D., Cassano, V., Júnior, P. A. H., Baista, M. B. y de Oliveira, M. C., 2015. Detecting the non-native Grateloupia turuturu (Halymeniales, Rhodophyta) in southern Brazil. En: Phycologia, 54(5), pp.451-454.
Basei, M.A.S., Sánchez Bettucci, L., Peel, E. y Muzio, R., 2013. Geocronología U-Pb LA-ICP-MS en circones del complejo granítico Santa Teresa, terreno Punta del Este. En: Sociedad Uruguaya de Geología. VII Congreso Uruguayo de Geología, 2013. Montevideo, Uruguay (13-15 de noviembre de 2013). Montevideo: SUG.
Brazeiro, A.I., Borthagaray, A.I. y Giménez, L., 2006. Patrones geográficos de diversidad bentónica en el litoral rocoso de Uruguay. En: Menafra, R., RodríguezGallego, L., Scarabino, F. y Conde, D., eds., 2006. Bases para la conservación y el manejo de la costa Uruguaya. Montevideo: Vida Silvestre. pp.171-178.
Campos, E.J.D., Piola, A.R., Matano, R.P. y Miller, J.L., 2008. Plata: A synoptic characterization the southwest Atlantic shelf under influence of the Plata River and Patos Lagoon outflows. En: Cont. Shelf Res., 28, pp.1551-1555.
Carlton, J.T. y Geller, J.B., 1993. Ecological roulette: the global transport of nonindigenous marine organisms. En: Science, 261, pp.78-82.
Coll, J.F., 1976. Algas marinhas bentônicas do Uruguai. São Paulo: Universidade de São Paulo, Depto. de Botânica. (Tesis de Doctorado).
Coll, J.F., 1979. Catálogo de algas citadas para el Uruguay. Montevideo: SOHMA-ORCYT (UNESCO).
Coll, J.F. y Oliveira, E.C., 1999. The benthic marine algae of Uruguay. En: Bot. Mar., 42, pp.129-135.
Demicheli, M. y Scarabino. F., 2006. Invertebrados bentónicos de La Paloma (Rocha, Uruguay). En: Menafra, R., Rodríguez-Gallego, L., Scarabino, F. y Conde, D., eds., 2006. Bases para la conservación y el manejo de la costa Uruguaya. Montevideo: Vida Silvestre. pp. 523-534.
Figueiredo, M. A. D. O., Horta, P. A., Pedrini, A. D. G. y Nunes, J. M. D. C., 2009. Benthic marine algae of the coral reefs of Brazil: a literature review. En: Oecologia Australis, 12(2), pp.258-269.
Guiry, M.D. y Guiry, G.M., 2017. AlgaeBase. World-wide electronic publication [En línea]. Galway: National University of Ireland. [Consulta: 15 de abril de 2017]. Disponible en: http://www.algaebase.org
Hareau, A., 1984. Ficoflora marina bentónica del Depto. De Montevideo (Uruguay). Punta Mansa a Punta Brava. En: Contrib. Depto Oceanogr., 1(4), pp.1-9.
Hareau, A. y Osorio, H.S., 1983. Ficoflora marina bentónica del Dep.Montevideo entre Punta Mansa y Punta Brava. En: Res Com Jorn C Nat Montevideo, 3, pp.1-2.
Hareau, A. y Silva, S., 1984a. Contribución a la ficoflora marina bentónica de Montevideo, Uruguay. En: Comunicaciones Botánicas del Museo de Historia Natural de Montevideo, 4(65).
Hareau, A. y Silva, S., 1984b. Resultados del primer relevamiento de la ficoflora bentónica de Isla Gorriti (Uruguay). En: Contrib Depto Oceanogr (FHC) Montevideo, 1(6).
Harley, C. D., Anderson, K. M., Demes, K. W., Jorve, J. P., Kordas, R. L., Coyle, T. A. y Graham, M. H., 2012. Effects of climate change on global seaweed communities. En: Journal of Phycology, 48(5), pp.1064-1078.
Holloway-Adkins, K.G. y Hanisak, M.D., 2015 Macroalgal community within a warm temperate/subtropical biogeographic transition zone in the western Atlantic Ocean. En: Bull Mar Sci, 91, pp.295–319.
Howe, M.A., 1931. Notes on the algae of Uruguay. En: Bull. Torrey Bot Club, 52, pp.605-610.
Hurd, C.L., Harrison, P.J., Bishof, K. y Lobban, C.S., 2014. Seaweed ecology and physiology. 2a ed. Cambridge: Cambridge University Press.
Keith, S.A., Kerswell, A.P. y Connolly, S.R., 2014. Global diversity of marine macroalgae: environmental conditions explain less variation in the tropics. En: Global Ecology and Biogeography, 23, pp.517–529.
Kerswell, A. P., 2006. Global biodiversity patterns of benthic marine algae. En: Ecology, 87(10), pp.2479-2488.
Kruk, C., Martínez, A., Nogueira, L., Alonso, C. y Calliari, D., 2015. Morphological traits variability reflects light limitation of phytoplankton production in a highly productive subtropical estuary (Río de la Plata, South America). En: Marine Biology, 162(2), pp.331-341.
Liuzzi, M. G., López Gappa, J. y Piriz, M.L., 2011. Latitudinal gradients in macroalgal biodiversity in the Southwest Atlantic between 36º and 55º S. En: Hydrobiologia, 673(1), pp.205-214.
López-Mendilaharsu, M., Estrades, A., Caraccio, M.N., Calvo, V., Hernandez, M. y Quirici, V., 2006. Biología, ecología y etología de las tortugas marinas en la zona costera uruguaya. En: Menafra, R., Rodríguez-Gallego, L., Scarabino, F. y Conde, D., eds., 2006. Bases para la conservación y el manejo de la costa Uruguaya.Montevideo: Vida Silvestre. pp. 247-257.
Maytía, S. y Scarabino, V., 1979. Las comunidades del litoral rocoso del Uruguay: zonación, distribución local y consideraciones biogeográficas. En: UNESCO, 1979. Memorias del seminario sobre Ecología Bentónicas y Sedimentación de la Plataforma Continental del Atlántico Sur. Montevideo: UNESCO, ORCYT. pp. 149-160.
Méndez, H., 1983. Florula de chlorophytas bentónicas de «La Paloma», Departamento de Rocha (ROU). En: Res Com Jorn C Nat Montevideo, pp.33-34.
MTOP, PNUD y UNESCO, 1980. Conservación y mejora de playas: URU 73.007. Montevideo: UNESCO.
MVOTMA, 2014. Objetos focales de conservación en el área protegida Cerro Verde e Islas de La Coronilla. Montevideo: SNAP/DINAMA. 25p.
Oliveira, E.C., Horta, P.A., Emancio, E. y Anna, C.L.S., 2001. Algas e angiospermas marinhas bênticas do litoral brasileiro. En: Ministério do Meio Ambiente, org., 2001. Macrodiagnóstico da zona costeira do Brasil, RJ. Río de Janeiro: Ministério do Meio Ambiente.
Pellizzari, F. y Reis, R.P., 2011. Seaweed cultivation on the Southern and Southeastern Brazilian Coast. En: Brazilian Journal of Pharmacology, 21(2), pp. 305-312.
Pellizzari, F., Vélez-Rubio, G. M., Cristine-Silva, M. y Carranza, A., 2016a. The seaweeds Myriogloea major Asensi (Chordariacea, Phaeophyceae) and Gayralia oxysperma (Kützing) KL Vinogradova ex Scagel et al. (Ulvophyceae, Chlorophyta): a case of range extension in the Southwestern Atlantic Ocean?. En: Marine Biodiversity, 46(4), pp.853-860.
Pellizzari, F.M., Silva, C., Silva, M., Medeiros, E.A., Oliveira, M.C., Yokoya, N.S., Rosa, L.H. y Colepicolo, P., 2017. Diversity and spatial distribution of seaweeds in the South Shetland Islands, Antarctica: an updated database for environmental monitoring under climate change scenarios. En: Polar Biol., 40(8), pp.1671-1685.
Pivel, M., 2009. Reconstrução da hidrografia superficial do Atlântico Sul Ocidental desde o Último Máximo Glacial a partir do estudo de foraminíferos planctônicos. São Paulo: Universidade de São Paulo. (Tese de Doutorado).
Pinheiro, J., Bates, D., DebRoy, S., Sarkar, D. y Core Team, R., 2016. nlme: Linear and nonlinear mixed effects models [En línea]. R package version 3.1–127. [s.l.]: [s.n.]. [Consulta: 6/2/2016] Disponible en: http://CRAN.R-project.org/ package=nlme
Portugal, A.B., Carvalho, F.L., Carneiro, P.B.M., Rossi, S. y Soares, M.O., 2016. Increased anthropogenic pressure decreases species richness in tropical intertidal reefs. En: Mar. Environ. Res., 120, pp.44e54. http://dx.doi. org/10.1016/j.marenvres.2016.07.005.
Sanches, P.F., Pellizzari, F. y Horta, P.A., 2016. Multivariate analyses of Antarctic and sub-Antarctic seaweed distribution patterns: an evaluation of the role of the antarctic circumpolar current. En: Journal of Sea Research, 110, pp.29–38.
Santelices, B., Bolton, J.J. y Meneses, I., 2009. Marine algal communities. En: Witman, J.D. y Roy, K., eds., 2009. Marine macroecology. Chicago: University of Chicago Press.
Santelices, B. y Hommersand, M., 1997. Pterocladiella, a new genus in the Gelidiaceae (Gelidiales, Rhodophyta). En: Phycologia, 36, pp.114-119.
Scarabino, V., Maytia, S. y Cachés, M., 1975. Carta bionómica del departamento de Montevideo. I. Niveles superiores del sistema litoral. En: Comunicaciones a la Sociedad Malacológica del Uruguay, 4(31- 32), pp.177-288.
Scarabino, F., Zelaya, D., Orensanz, J.M., Ortega, L., Defeo, O., Schwindt, E., Carranza, A., Zaffaroni, J.C.; Martínez, G.; Scarabino, V. y García-Rodríguez, F., 2016. Cold, warm, temperate and brackish: Bivalve biodiversity in a complex oceanographic scenario (Uruguay, southwestern Atlantic). En: American Malacological Bulletin, 31(2), pp.284-301.
Schaffelke, B. y Hewitt, C.L., 2007. Impacts of introduced seaweeds. En: Botanica Marina, 50, pp.397-417.
Schiel, D.R., Wood, S.A., Dunmore, R.A. y Taylor, D.I., 2006. Sediment on rocky intertidal reefs: Effects on early postsettlement stages of habitat-forming seaweeds. En: Journal of Experimental Marine Biology and Ecology, 331, pp.158172.
Smale, D.A., Kendrick, G.A. y Wernberg, T., 2010. Assemblage turnover and taxonomic sufficiency of subtidal macroalgae at multiple spatial scales. En: Journal of Experimental Marine Biology and Ecology, 384, pp.76-86.
Steigleder, K., 2015. Estrutura das comunidades de macroalgas no mesolitoral rochoso do Atlântico Sudoeste Central (26ºS -34ºS). Rio Grande: Universidad Federal Rio Grande, Rio Grande. (Tesis de Maestría).
Steneck, R.S. y Dethier, M.N., 1994. A functional group approach to the structure of algal dominated communities. En: Oikos, 69, pp.476-498.
Taylor, W.R., 1939. Algae collected by the «Hassler», «Albatross» and Schmitt expeditions. II. Marine algae from Uruguay, Argentina, the Falkland Islands, and the Strait of Magellan. En: Papers of the Michigan Academy of Sciences, Arts and Letters, 24, pp.127-164, Plates 1-7.
Taylor, W.R., 1960. Marine algae of the eastern tropical and subtropical coasts of the Americas. Michigan: Univ. Michigan Press.
Uruguay. Decreto 285/011, de 11 de agosto de 2011. Diario Oficial, 22 de agosto de 2011, No. 28.291, p. 451A.
Vélez-Rubio, G.M., Estrades, A., Fallabrino, A., Tomás, J., 2013. Marine turtle threats in Uruguayan waters: insigths from 12 years of stranding data. En: Mar Biol 160, pp.2797–2811.
Vélez-Rubio, G.M., Cardona, L., Martinez Souza, G., LópezMendilaharsu, M., González-Paredes, D., Carranza, A. y Tomás, J., 2016. Ontogenetic dietary changes of green turtles (Chelonia mydas) in the temperate South-Western Atlantic. En: Marine Biology, 163(57).
Wahl, M. ed., 2009. Marine hard bottom communities: patterns, dynamics, diversity, and change. Berlín: Springer. (Ecological Studies, 206).
Wiens, J.J. y Donoghue, M.J., 2004. Historical biogeography, ecology and species richness. En: Trends in Ecology and Evolution, 19, pp.639–644.
Williams, S.L. y Smith, J.E., 2007. A global review of the distribution, taxonomy, and impacts of introduced seaweeds. En: Annual Review of Ecology, Evolution, and Systematics, 38, pp.327-59.
Wynne, M.J., 2011. A checklist of benthic marine algae of the tropical and subtropical western Atlantic: third revision. En: Nova Hedwigia Beiheft, 140.
Zhuang, S., 2006. Species richness, biomass and diversity of macroalgal assemblages in tidepools of different sizes. En: Marine Ecology Progress Series, 309, pp.67-73.