Artículos
Experiencia de aplicación de microorganismos efectivos nativos (MEN) para el tratamiento de aguas residuales
Application of effective microorganisms from native origin (MEN) for wastewater treatment
Ensaio de aplicação de microorganismos efetivos nativos (MEN) para o tratamento de águas residuais
Experiencia de aplicación de microorganismos efectivos nativos (MEN) para el tratamiento de aguas residuales
INNOTEC, núm. 24, e623, 2022
Laboratorio Tecnológico del Uruguay

Recepción: 05 Agosto 2022
Aprobación: 02 Diciembre 2022
Resumen: La contaminación fecal es uno de los principales problemas de calidad del agua dulce a nivel mundial. Una de las soluciones propuestas para este problema es el tratamiento de los efluentes a nivel doméstico o local con preparados biológicos tales como los microorganismos efectivos nativos (MEN). En este trabajo se evaluó la eficacia de un preparado de MEN producido en Uruguay para disminuir la contaminación fecal en efluentes domésticos. Para ello se realizaron experimentos a distintas escalas: desde in vitro hasta en pozos sépticos de viviendas y un tramo del arroyo Malvín (in situ), combinando preparado líquido con sólido y empleando a los coliformes fecales (CF) y la materia orgánica particulada como indicadores del rendimiento. En el laboratorio y en los pozos sépticos, los CF disminuyeron significativamente luego de 8 semanas de aplicación. En el arroyo Malvín se observó una disminución de los CF y una recuperación visual del curso de agua, con un aumento de la transparencia y el oxígeno disuelto. Los resultados de este trabajo sugieren que la aplicación de MEN en aguas residuales domiciliarias constituye una aproximación promisoria para reducir la contaminación fecal de los efluentes domésticos y enfatizan la necesidad de cambiar los hábitos de construcción de los pozos sépticos.
Palabras clave: aguas residuales, tratamiento, pozos sépticos, coliformes fecales.
Abstract: Fecal contamination is one of the main freshwater quality problems worldwide. One of the proposed solutions for this problem is the treatment of the effluents at domestic or local level with microbial consortia such as effective microorganisms from native origin (MEN in Spanish). In this work we evaluated the ability of a MEN formulation produced in Uruguay to reduce fecal contamination in domestic effluents. To achieve this, experiments were carried out at different scales, from in vitro to domestic septic tanks and in a section of the Malvín stream (in situ), combining liquid with solid MEN formulation and using fecal coliforms (FC) and particulate organic matter as performance indicators. Both at the laboratory level and in the septic tanks, CF decreased significantly after 8 weeks of application. In the Malvín stream, a decrease in CF and a visual recovery of the water course were observed, with increased transparency and dissolved oxygen concentration. The results from this work suggest that MEN application to domestic wastewater represents a promising approach to reduce fecal contamination of freshwater and emphasize the need to change the manufacturing habits and management of septic tanks.
Keywords: Pwastewater, treatment, septic tanks, fecal coliforms.
Resumo: A contaminação fecal é um dos principais problemas de qualidade da água doce em todo o mundo. Uma das soluções propostas para este problema é o tratamento dos efluentes em nível doméstico ou local com consórcios microbianos como microrganismos efetivos nativos (MEN em espanhol). Neste trabalho avaliamos a capacidade de uma formulação MEN produzida no Uruguai para reduzir a contaminação fecal em efluentes domésticos. Para isso, foram realizados experimentos em diferentes escalas, desde in vitro até fossas sépticas domésticas e em um trecho do arroio Malvín (in situ), combinando formulação líquida com sólida de MEN e utilizando coliformes fecais (CF) e matéria orgânica particulada como indicadores de desempenho. Tanto a nível laboratorial como nas fossas sépticas, a FC diminuiu significativamente após 8 semanas de aplicação. No arroio Malvín, observou-se diminuição da FC e recuperação visual do curso d’água, com aumento da transparência e concentração de oxigênio dissolvido. Os resultados deste trabalho mostram que a aplicação de MEN em águas residuais domésticas representa uma abordagem promissora para reduzir a contaminação fecal da água doce e enfatiza a necessidade de mudar os hábitos de fabricação e gestão de fossas sépticas.
Palavras-chave: águas residuais, tratamento, fossas sépticas, coliformes fecais.
INTRODUCCIÓN
Microorganismos efectivos: el biopreparado
La tecnología de microorganismos efectivos, más conocida por su sigla en inglés EM (effective microorganisms), se basa en el uso de un consorcio de microorganismos de origen natural. Las propiedades metabólicas de los EM les confieren la capacidad de ser usados en una variedad de aplicaciones consideradas beneficiosas para la producción agrícola y la salud humana y animal, entre otras. Esta tecnología fue desarrollada originalmente en Japón, en la Universidad de Ryukyus (Higa, 1996; Talaat, et al., 2015), y hoy en día se utiliza en distintos lugares del mundo.
Los microorganismos que dominan el consorcio de microorganismos efectivos pertenecen a cinco grupos: 1) bacterias ácidolácticas (BAL, principalmente especies del género Lactobacillus) que promueven la fermentación y descomposición de la materia orgánica y simultáneamente producen ácido láctico, limitando la presencia de patógenos (por ejemplo patógenos de plantas, en el caso de su aplicación en suelo); 2) bacterias fototróficas del género Rhodopseudomonas, capaces de realizar fotosíntesis anoxigénica para obtener energía y sintetizar aminoácidos y compuestos antioxidantes a partir de materia orgánica vegetal. Los metabolitos producidos por estas bacterias promueven a su vez la presencia de levaduras y bacterias acidolácticas, favoreciendo la permanencia de los demás miembros del consorcio; 3) levaduras del género Saccharomyces, cuya producción de enzimas, hormonas y metabolitos es utilizada como sustrato por el resto de los microorganismos del preparado, así como otros microorganismos benéficos que puedan estar presentes en el medio donde se aplicó el preparado; 4) hongos filamentosos pertenecientes a diferentes géneros (por ejemplo Penicillium y Aspergillus spp.) que descomponen la materia orgánica rápidamente y producen compuestos que inhiben la proliferación de patógenos (por ejemplo antibióticos); 5) actinobacterias con una vasta capacidad metabólica para descomponer diversas sustancias orgánicas, además de producir compuestos antimicrobianos que suprimen microorganismos perjudiciales (Higa y Parr, 1994; Margulis, et al., 2014; Miao y Davies, 2010).
Estos preparados han sido empleados en todo el mundo para solucionar múltiples problemas en la agricultura, como inoculantes de suelos y enmiendas orgánicas; en la ganadería, cumpliendo funciones de probiótico para eliminar enfermedades del tracto digestivo y en criaderos de cerdos y avícolas, eliminando moscas y malos olores; y en el medio ambiente, como tratamiento de aguas contaminadas y acelerador de la descomposición en los vertederos de residuos sólidos urbanos (Ab Muttalib, et al., 2016; Higa y Parr, 1994; Kyan, et al., 1999; Sharma, et al., 2017). La combinación de estos grupos de microorganismos constituye el consorcio efectivo. Cabe destacar que cada grupo (o especie dentro de un grupo) por separado no tiene el mismo efecto sobre la degradación de la materia orgánica, siendo necesaria la interacción de los distintos miembros del consorcio (Margulis, et al., 2014).
Las mezclas de microorganismos efectivos son muy eficientes para acelerar significativamente la degradación de materiales vegetales de manera aerobia (compostaje). Se ha demostrado además que el consorcio de microorganismos efectivos mejora los indicadores de salud del suelo a través de la degradación de la materiaorgánica y del reciclaje de nutrientes. En los últimos años se comenzaron a aplicar para el tratamiento de efluentes y aguas residuales, así como en la recuperación de lagos. En este sentido, se ha reportado que su aplicación en lagos eutrofizados genera una reducción de la concentración de clorofila a (indicador de eutrofización) del 90.5 % (Zakaria, et al., 2010). Se hipotetiza que el preparado afecta la dinámica ya que disminuye la disponibilidad de los nutrientes, especialmente de nitrógeno (N) y fósforo (P), limitando así el crecimiento del fitoplancton. Se encontraron resultados similares luego de la aplicación de EM en el embalse de Muchawka (Polonia), con características eutróficas. Allí se halló una disminución de la concentración de N y P, y la desaparición de floraciones de cianobacterias (Sitarek, et al., 2017).
Por otro lado, Lurling, et al. (2010) realizaron experimentos con agua de lago empleando EM combinado con bolas de barro (EM-mudball) pero no encontraron una disminución de la clorofila ni de la abundancia de cianobacterias. Estos autores proponen que la ausencia de eficacia se debe a que los EM no remueven el fósforo de los sistemas eutróficos ni tienen efecto inhibidor directo sobre las cianobacterias. En este sentido, la forma en que se emplea el EM puede llegar a ser un determinante de su acción.
Uso de microorganismos efectivos en aguas residuales
La expansión de la agricultura industrial con un uso ineficiente de insumos (por ejemplo fertilizantes) y la ausencia de manejo de nutrientes provenientes de diversas actividades de origen antrópico han generado un aumento significativo del nivel trófico de los ecosistemas acuáticos (Khan y Ansari, 2005; Li, et al., 2022; Yu, et al., 2020). En Uruguay, la intensificación de la eutrofización fue detectada décadas atrás (Alonso, et al., 2019a, 2019b). En la actualidad, la eutrofización ocasiona graves problemas de deterioro en los ecosistemas acuáticos, donde el exceso de nutrientes como el fósforo y el nitrógeno provenientes de la agricultura, la ganadería y los efluentes de las ciudades propician la generación de floraciones de cianobacterias tóxicas, lo cual constituye un serio problema de salud ambiental y humana que no está siendo abordado (Bonilla, et al., 2015; Chalar, 2006; Goyenola, et al., 2021; Huisman, et al., 2018; Kruk, et al., 2020). En este contexto, se ha reportado el empleo de EM para la remediación de aguas residuales y ha demostrado ser efectivo en la remoción de sólidos en suspensión, disminuyendo la demanda biológica (DBO) y química de oxígeno (DQO) (Okuda y Higa, 1999) (Park, et al., 2016). Sin embargo, son pocos los estudios existentes sobre este tema y la información se encuentra dispersa y poco sistematizada.
Microorganismos efectivos nativos (MEN)
El proyecto MEN Entrebichitos surgió en el año 2015, a partir de una actividad pedagógica de la Escuela Nº 319 República de China, localizada en el barrio Borro, cuenca de la cañada Casavalle, en la zona periurbana de Montevideo. El proyecto trata sobre la generación de conocimiento acerca de la formulación, las propiedades y los modos de aplicación de la tecnología MEN. A partir de agosto de 2015 se comenzó a producir el biopreparado mediante la activación de un inóculo comercial. En 2016 se decidió capturar a los microorganismos que componen esta preparación con el fin de emplearlos como inóculo y reproducirlos en las mismas condiciones que a los comerciales, logrando así independizarse de la empresa que distribuye y vende el producto. Para ello se buscaron diversas formas de captura y producción, a pequeña y gran escala, pudiendo sistematizar aquellas que demostraron ser más efectivas en diversas aplicaciones (Mesa, 2020). Posteriormente se recurrió a los vínculos existentes con el Programa Huertas en Centros Educativos de la Facultad Agronomía y con el Instituto de Investigaciones Biológicas Clemente Estable (IIBCE). Junto a la comunidad se conformó un grupo de trabajo que actualmente es una cooperativa formal que lleva el mismo nombre con el que nació el proyecto: Cooperativa de Trabajo Entrebichitos.
Desde ese momento y gracias a la interacción entre distintas personas e instituciones, se comenzó a producir el biopreparado e investigar acerca de su formulación, propiedades y modos de aplicación, generándose el producto “Entrebichitos”, producido por la cooperativa antes mencionada. Dicho producto ha sido extensivamente caracterizado (Ruíz, et al., 2019; Trasante, et al., 2019) y ensayado para su uso en la transición hacia la agricultura orgánica.
En el presente trabajo se evaluó la eficacia del biopreparado MEN de Entrebichitos para el tratamiento de efluentes domésticos (aguas servidas), principalmente a través de su capacidad para degradar y remineralizar materia orgánica de origen fecal. Se realizaron experimentos a distintas escalas, desde el laboratorio a pozos sépticos (“pozos negros”), incluyendo un arroyo urbano que recibe la descarga difusa de aguas servidas. La estrategia involucró la combinación de preparado líquido con sólido, y empleando a los coliformes fecales y la materia orgánica particulada como indicadores del rendimiento de los MEN para disminuir la contaminación fecal. Nuestra hipótesis de trabajo es que la capacidad del consorcio MEN para degradar la materia orgánica provoca una disminución de su disponibilidad, limitando e impidiendo el crecimiento de organismos heterótrofos potencialmente dañinos tales como los patógenos (E. coli y Salmonella spp., entre otros), y mejorando la calidad sanitaria de los efluentes tratados respecto de aquellos que no lo son.
MATERIALES Y MÉTODOS
Preparación de los MEN
La Cooperativa Entrebichitos elabora microorganismos efectivos nativos (MEN) a partir de la captura de microorganismos nativos que se encuentran en el suelo. A partir de ese material se elabora la masa madre con materiales y bajo condiciones que harán que se multipliquen los microorganismos deseados. Posteriormente la masa madre se activa con agua, alimento energético y condiciones óptimas para lograr el producto final con la composición microbiana esperada.
Caracterización de los MEN
Para asegurar que la composición de microorganismos cultivables en el preparado MEN se mantenga estable en distintos lotes se envían de rutina al Laboratorio Ecotech (Montevideo). En la Tabla 1 se muestra un ejemplo de los valores que se obtienen del control de rutina realizado al MEN Entrebichitos.
Tabla 1. Resultado del análisis de composición y calidad del preparado líquido y sólido de MEN.

Evaluación de la disminución de contaminación fecal por los MEN
Se llevaron a cabo experimentos in vitro en el laboratorio (saneamiento de la ciudad de Montevideo) y experimentos in situ, tanto en pozos sépticos de viviendas como en el arroyo Malvín.
Experimento in vitro
Se obtuvo una muestra de 500 mL del efluente perteneciente al sistema de saneamiento de la ciudad de Montevideo (cedida por el Laboratorio de Calidad Ambiental de la Intendencia de Montevideo, en Punta Carretas). La muestra se tomó el mismo día del experimento y se trasladó al laboratorio en frío. Una vez en el laboratorio, se repartió en tubos de plástico estériles (40 mL de muestra por tubo), a los que se les agregó MEN líquido en una proporción 1:1000 (40 µL por tubo) (Federico Mesa, comunicación personal). Se realizaron tres réplicas de dicho tratamiento (saneamiento + MEN) y se dejaron tres tubos sin aplicación (saneamiento). Los tubos se incubaron en la oscuridad a 21-22 ℃ durante 8 días y se tomaron muestras a tiempo 0, 2, 5 y 8 días para cuantificar coliformes fecales (CF) y sólidos totales en suspensión (STS).
Experimentos in situ
Pozos sépticos. Se evaluaron 9 pozos negros de las viviendas del barrio Santa Catalina (Montevideo), que fueron tratados con MEN de acuerdo con el protocolo que se detalla más adelante. Se tomaron muestras de 100 mL de agua de cada pozo al inicio (T0) y luego de 8 semanas. Cada muestra fue analizada por triplicado para determinar la abundancia de CF. Por otro lado, en la Unidad 14 Piedra de los Indios del Instituto Nacional de Rehabilitación (Colonia) se evaluaron 5 pozos sépticos pertenecientes a diferentes módulos que fueron denominados como Granero, Cámara, Intramuros, Femenino y Testigo (control sin MEN) y que comprenden un total aproximado de 200 usuarios. En todos los pozos se tomaron muestras de 100 mL de agua al inicio (T0) y luego de 8 semanas. Cada muestra fue analizada por quintuplicado para determinar la abundancia de CF. Durante el transcurso del ensayo se detectó una pérdida en el pozo Intramuros, observándose que la mayor parte del contenido del pozo se perdía a través de una rotura del material de la pared. Por este motivo se decidió eliminar dicho pozo del grupo experimental.
Se realizaron aplicaciones de MEN durante 8 semanas, combinando la preparación líquida (1 L de MEN por semana) con la sólida (una pastilla de 300 cm3 de MEN sólido). En todos los casos, la primera aplicación del tratamiento (T0) consistió en 1 L de MEN más una pastilla de MEN sólido. Se repartieron cartillas a los usuarios de los pozos sépticos evaluados con información acerca del preparado e instrucciones a seguir tales como evitar el vertido de sustancias desinfectantes (hipoclorito de sodio o aromatizantes con formol) en los pozos.
Arroyo Malvín. Se utilizó como área de estudio y vertido de la solución de MEN un punto situado próximo a la Facultad de Ciencias de la Universidad de la República (34º53’3.06”S, 56º 7’8.57”O). Este tramo del arroyo (30 m de longitud) se encuentra a cielo abierto y cuenta con presencia muy próxima de zonas residenciales y espacios de recreación pública. El caudal se calculó en 7,4 L/s mediante el método de trazador, vertiendo una solución salina de conductividad conocida (Elosegui, 2009). En base a la profundidad promedio y al ancho del cauce, medidos en transectas cada 3 metros en el tramo de estudio, se estimó un volumen de agua aproximado de 19000 L para esa sección. Con el volumen y el caudal se calculó el tiempo de residencia del agua en el tramo Vol/Caudal = 0,70 h. Una vez calculados el caudal y el volumen total se vertieron 20 L de MEN líquido al arroyo (proporción 1:1000 del volumen de agua estimado para el tramo) a velocidad constante, empleando un bidón con salida controlada del líquido. Con el fin de determinar si las bacterias del preparado de MEN líquido permanecieron en la columna de agua durante los días de incubación, se determinó la abundancia de bacterias del género Lactobacillus dominante en el preparado MEN (Tabla 1). Para ello, se empleó la técnica de recuento en placas de agar MRS (De Man-Rogosa-Sharpe) y una atmósfera conteniendo 5 % de CO2.
Inmediatamente después de la aplicación (T0) se tomaron 5 muestras de agua en el tramo de 30 m (cada 6 m) para determinar la abundancia de CF (American Public Health Association y American Water Works Association and Water Environment Federation, 2012) y de Lactobacillus spp. en la columna de agua. Se registró la conductividad, la temperatura, el oxígeno disuelto y el pH del agua con una sonda multiparamétrica portátil (Horiba U-52) y sus características organolépticas como el color y el olor. A los 3 días se tomaron muestras en los mismos sitios que a T0 y se registraron las mismas variables. Todas las determinaciones de abundancia de CF se realizaron al menos por triplicado para cada muestra obtenida (réplicas técnicas).
Determinación de coliformes fecales y sólidos totales en suspensión
La enumeración de CF se realizó en base a la técnica de filtración en membrana, empleando diluciones seriadas de la muestra en solución salina estéril (American Public Health Association y American Water Works Association and Water Environment Federation, 2012). Todas las determinaciones de abundancia de CF se realizaron al menos por triplicado para cada muestra obtenida (réplicas técnicas).
La concentración de STS se determinó mediante la técnica de filtración, empleando membranas de fibra de vidrio y secado de acuerdo con el método de la American Public Health Association y American Water Works Association and Water Environment Federation (2012). La abundancia de CF se expresó como unidades formadoras de colonias por mL (UFC/mL) y los STS en g/mL.
Análisis de datos
Para determinar si las diferencias en la abundancia de CF observadas entre tratamientos y tiempos fueron significativas se realizaron análisis de ANOVA (con test post-hoc de Tukey) o Wilcoxon, dependiendo de la distribución de los datos. Para las comparaciones entre grupos se aplicó un t-test no pareado de una cola o Mann-Whitney (MW).
RESULTADOS
Eficacia in vitro del preparado MEN
En los experimentos realizados en el laboratorio con aguas de saneamiento de Montevideo se observó una disminución significativa de la abundancia de CF en ambos tratamientos (saneamiento solo, t-test, p = 0,03). Sin embargo, en el tratamiento saneamiento + MEN la abundancia disminuyó por debajo del límite de detección de la técnica empleada (t-test, p = 0,02) (Figura 1A). Los STS también disminuyeron en el tratamiento saneamiento + MEN, aunque dicha disminución no fue significativa (t-test, p = 0,3) (Figura 1B).

Figura 1. A) Abundancia de coliformes fecales (UFC/mL) en los tratamientos saneamiento solo y saneamiento + MEN a tiempo inicial (T0, barra sombreada, misma abundancia de UFC/mL en ambos tratamientos) y final (8 días, barras blancas). El asterisco indica diferencias significativas entre tratamientos (p < 0,05). B) Imagen y concentración de los sólidos totales en suspensión en ambos tratamientos.
Eficacia del preparado MEN en pozos sépticos (in situ)
Viviendas del Barrio Santa Catalina: en la Figura 2 se muestra la abundancia de CF en los pozos tratados con MEN (líquido y sólido) al inicio (T0) y luego de 8 semanas de tratamiento. Se observó una disminución significativa de la abundancia de CF luego de 8 semanas de su aplicación (MW, p = 0,04).

Figura 2. Abundancia de coliformes fecales (UFC/mL) registrada al inicio (T0) y al final (8 semanas) del tratamiento con MEN en los pozos sépticos (N = 9). El asterisco indica diferencias significativas entre ambos tiempos (MW, p = 0,04).
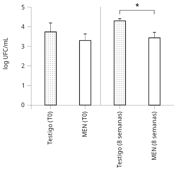
Instituto Nacional de Rehabilitación, Unidad 14 Piedra de los Indios: no se observaron diferencias significativas en la abundancia de CF entre el inicio (T0) y el final del experimento (8 semanas) para ninguno de los dos grupos (testigo y tratados con MEN). Sin embargo, se observó una disminución significativa de la abundancia de CF luego de 8 semanas en los pozos tratados con MEN en relación con el testigo (Tukey, p = 0,01) (Figura 3).

Figura 3. Abundancia de coliformes fecales (UFC/mL) en el pozo testigo y en los pozos sépticos tratados con MEN al inicio (T0) y al final (8 semanas) del experimento (N = 4). El asterisco indica diferencias significativas entre ambos tratamientos a las 8 semanas. Las barras sombreadas representan el pozo testigo y las blancas los pozos tratados con MEN.
Eficacia del preparado MEN en el arroyo Malvín
Se observó una disminución de un orden de magnitud en la abundancia de coliformes fecales entre el T0 y a los tres días después de la aplicación de MEN (promedio en T0: 2,1 x 105 y promedio a los 3 días: 5,0 x 104 UFC/mL), aunque no fue significativa (t-test, p = 0,08) (Figura 4). Se produjeron aumentos significativos de la temperatura y la concentración de oxígeno disuelto en el agua (Tukey, p ≤ 0,0001) así como del aspecto del agua, registrándose una mayor transparencia y ausencia de olor desagradable (Figura 5). La abundancia de bacterias pertenecientes al género Lactobacillus disminuyó de 1 x 108 UFC/mL (concentración en el preparado de MEN líquido) a 1,40 UFC/mL

Figura 4. Abundancia de CF en el T0 y a los 3 días de aplicación de MEN en un punto del arroyo Malvín (A). Variación del pH, la concentración de oxígeno disuelto (OD), la conductividad (Cond) y temperatura (Temp) del agua del tramo del arroyo Malvín antes y después del tratamiento con MEN (B). Los asteriscos indican diferencias significativas entre el inicio (T0) y el final del tratamiento (3 días).

Figura 5. Características visuales del tramo del arroyo Malvín en el que se aplicó la solución de MEN. A) antes (T0) y 3 días después (B) de la aplicación de MEN. Se muestra el aumento de transparencia y penetración de la luz en la fotografía B), con crecimiento de algas bentónicas.
DISCUSIÓN
En Uruguay, los sistemas de saneamiento se desarrollan mediante la construcción de redes públicas y plantas de tratamiento por parte del gobierno departamental en Montevideo y del gobierno nacional en el resto del país, en este último caso a través de la empresa estatal Obras Sanitarias del Estado (OSE) desde 1952. Este sistema alcanza al 60 % de la población del país, el restante 40 % cuenta con saneamiento individual o doméstico, que en la mayoría de los casos es ineficiente debido a su construcción (se construyen “robadores” para evitar el desborde, se perfora el piso de los pozos negros intentando infiltrar las aguas del subsuelo, etcétera), y al tratamiento y disposición final de los efluentes inadecuados. Esto genera la contaminación de las aguas a nivel local y en las microcuencas asociadas, aumentando el riesgo de enfermedades infecciosas, especialmente en comunidades de menores recursos (Uruguay, 2020). A modo de ejemplo, se han reportado ya casos de contaminación fecal de las napas superficiales, cañadas y playas en la zona costera de Uruguay, detectándose incluso la presencia de bacterias patógenas (Kruk, et al., 2019; Soumastre, et al., 2022).
Una alternativa para el tratamiento y descontaminación de efluentes domésticos es el empleo de preparados biológicos compuestos por consorcios microbianos con alta eficiencia de degradación de materia orgánica, tales como los MEN.
Si bien existen numerosos reportes del empleo de los consorcios microbianos denominados microorganismos efectivos como promotores del crecimiento y la salud de los cultivos, compostaje de restos vegetales e incluso descontaminación de suelos radiactivos (Cremeneac y Boclaci, 2018; de Araujo Ávila, et al., 2021; Domenico, 2019; Nikitin, et al., 2018; Pereira, et al., 2019; Pires, et al., 2021), la información acerca de su uso para el tratamiento de efluentes domésticos es escasa.
En este trabajo se muestran resultados sobre la actividad de los microorganismos efectivos nativos (MEN) para el tratamiento de efluentes domésticos (pozos sépticos) y en un tramo de un curso de agua contaminado (arroyo Malvín, Montevideo). Empleando los coliformes fecales como indicadores de contaminación se observó una reducción significativa de su abundancia luego de aplicar MEN según un protocolo que combina el preparado en sus versiones líquida y sólida, tanto en los pozos tratados como en el tramo del arroyo evaluado. Una hipótesis para explicar dicha disminución es la gran capacidad de degradación de materia orgánica particulada que presentan los microorganismos que forman parte del preparado, en este caso mayormente especies del género Lentilactobacillus (antes pertenecientes al género Lactobacillus), especialmente L. buchneri (datos no mostrados). Este grupo de microorganismos está ampliamente distribuido en la naturaleza ocupando diferentes nichos ambientales, donde juegan un papel relevante en distintos procesos de fermentación. Por ello son empleados en diversas aproximaciones biotecnológicas como la producción de bioetanol, queso, bebidas y ensilaje de forraje (Heinl y Grabherr, 2017).
Los MEN empleados en este trabajo cuentan con una alta proporción de estos organismos (>60 % de la comunidad), lo cual explicaría su gran potencial de degradación. En este sentido, es importante la reproducibilidad del preparado, es decir, el mantenimiento de la proporción de Lentilactobacillus y otros componentes del consorcio (Tabla 1) y su estabilidad a lo largo del tiempo, lo cual requiere controles de calidad realizados de manera regular como los aplicados en esta aproximación. Esto evita el crecimiento o enriquecimiento en grupos microbianos diferentes a los deseados y con metabolismos no efectivos para la aplicación en cuestión, generando a veces mal olor e incluso pudiendo favorecer el crecimiento de patógenos. Asimismo, la ausencia de metales pesados contaminantes también es relevante.
En el caso de la aplicación de preparados de microorganismos efectivos para aguas residuales domésticas se han reportado resultados contradictorios. Por ejemplo, Szymanski y Patterson (2003) encontraron que la aplicación de estos microorganismos en plantas de tratamiento de aguas residuales resultó en una disminución significativa de los niveles de pH, pero en un aumento de la DBO, así como niveles significativamente mayores de sólidos. Además, ensayaron la aplicación de preparados de EM en tanques sépticos y encontraron un patrón similar, sin reducción de los sólidos suspendidos en el efluente (Szymanski y Patterson, 2003). Una de las explicaciones que se han planteado para la falta de correlación entre los ensayos publicados es la dificultad de lograr un tiempo de residencia alto del preparado cuando es administrado en forma líquida, por lo que se han sugerido distintas maneras de producción del biopreparado en medios sólidos tales como bolas compuestas por suelo, barro u otros materiales que permiten aumentar el tiempo de retención de los microorganismos en el agua, logrando que su acción tenga efecto (Park, et al., 2016). En este sentido, se puede atribuir la ausencia de efecto observada en algunos de los pozos sépticos ensayados en este trabajo a la presencia de roturas, fugas o sistemas denominados “robadores” (muy comunes en Uruguay) que sirven a modo de sistema de desagüe cuando el pozo se encuentra muy lleno. Estas prácticas de perforar o construir sistemas para desagotar los pozos deberían ser evitadas antes de recurrir a la aplicación de MEN para el tratamiento de los efluentes.
Si bien en el ensayo in vitro la abundancia de CF en el agua de saneamiento tratada con MEN disminuyó a cero (más de tres órdenes de magnitud), se confirmó también una disminución en el tratamiento control (menos de un orden de magnitud). Esto podría ser consecuencia del sistema cerrado empleado -sin ingreso de nuevos nutrientes-, lo que eventualmente detuvo el crecimiento de todos los microorganismos, ocasionando el comienzo de la fase de muerte (Maier y Pepper, 2015). En un sistema como los pozos sépticos, donde hay una entrada de materia orgánica regular, es de esperar que las bacterias fecales no disminuyan su actividad ni crecimiento (Soumastre, et al., 2015). Esto se pudo confirmar en los ensayos de los pozos del instituto de rehabilitación, donde la carga de CF se mantuvo constante a lo largo del tiempo en ambos tratamientos, pero con una disminución significativa en los pozos tratados con MEN en relación con los no tratados. Al igual que lo reportado por Namsivayam, et al. (2011), en el ensayo in vitro se detectó una disminución notoria en la concentración de sólidos totales en el tratamiento con MEN, que sugiere una gran actividad de degradación de materia orgánica particulada.
Una de las variables que entra en juego en este tipo de experimentos en viviendas es que no se puede descartar el empleo en los hogares de sustancias antimicrobianas que se encuentran en los productos de limpieza (hipoclorito de sodio, alcoholes, ácidos, etcétera), cuyo uso pudo haber influido en los resultados observados, disminuyendo en algunos casos la eficacia de los MEN.
Todas las observaciones realizadas dan cuenta de los diversos factores a tener en cuenta para la aplicación de MEN a nivel doméstico: estabilidad y calidad del preparado, estado del pozo séptico, tipo de biopreparado (sólido o líquido o una combinación de ambos), empleo de sustancias tóxicas para la vida y aplicación regular del consorcio microbiano. Si esto se tiene en cuenta, la aplicación de MEN surge como una práctica promisoria de saneamiento “básico o mejorado”, cuya definición según las Naciones Unidas es “la tecnología de más bajo costo que permite eliminar higiénicamente las excretas y aguas residuales y tener un medio ambiente limpio y sano tanto en la vivienda como en las proximidades de los usuarios” (Uruguay, 2020). En este sentido, la aplicación de consorcios como el preparado MEN constituye una tecnología de saneamiento alternativo que cumple con dichos requisitos.
En el caso del tratamiento de sistemas acuáticos lóticos, donde el flujo de agua es constante, el biopreparado debería ser aplicado en forma sólida (MEN sólido por ejemplo o mudballs por su denominación en inglés) (Zakaria, et al., 2010). En el presente trabajo se realizó un ensayo preliminar de aplicación de MEN en el arroyo Malvín y se observó una disminución de la contaminación fecal durante 3 días. En ese lapso se produjeron cambios tanto a nivel de la transparencia del agua (detectado a nivel visual) como a nivel del aumento de productores primarios (detectado por el aumento de la concentración de oxígeno disuelto en el agua y visualmente) (Figura 4). También durante esos tres días la temperatura del agua aumentó significativamente, lo cual pudo haber contribuido al metabolismo de los MEN y al crecimiento de los productores primarios. Sin embargo, la abundancia de Lactobacillus en la columna de agua bajó ocho órdenes de magnitud, indicando un proceso de lavado importante y sugiriendo que habría que realizar una aplicación repetida de MEN líquido para mantener su concentración o bien emplear pastillas de MEN. Otra posible explicación de la reducción de MEN en la columna de agua es que durante los 3 días en que se observó el efecto las bacterias del MEN se encontrasen adheridas al sedimento del arroyo, lo cual no fue evaluado en este estudio. Al cabo de 3 días el arroyo volvió a su condición original (datos no mostrados), confirmando que agregar el preparado al agua no es una medida de remediación suficiente sino que debe ir acompañada de una adecuada construcción y gestión de los pozos sépticos.
Referencias
Ab Muttalib, S. A., Ismail, S. N. S. y Praveena, S. M., 2016. Application of effective microorganism (EM) in food waste composting: A review [En línea]. En: Asia Pacific Environmental and Occupational Health Journal, 2(2), pp.37–47. [Consulta: 29 de julio de 2022]. Disponible en: http://www.apeohj.org/apeohj/ojs/index.php/apeohj/index
Alonso, J., Quintans, F., Taks, J., Conde, D., Chalar, G., Arocena, R., Haakonsson, Aubriot, L., Goyenola, G., Muniz, P., Marrero, A., Hutton, M., Venturini, N., Pita, A. L., Iglesias, Ka., Ríos, M., Zaldúa, N., Teixeira de Mello, F., Soutullo, A., Eguren, G., Victoria, M., López-Tort, F., Maya, L., Castells, M., Benitez, M.J., Lizasoain, A., Bertoni, E., Bortagaray, V., Salvo, M., Colina, R., Azuriz, K., Castagnet, N., Evia, V., Fernández, A., Lagos, X., Marrero, L., Milans, F., Piaggio, M., Rezzano, N., López, J., Rodríguez, L., Garat, S., Pintos, M., Iriburo, A., Brena, B. y Méndez, H. 2019a. Water quality in Uruguay: current status and challenges (Section 1). En: UNESCO. Water quality in the Americas. México: UNESCO/IANAS. pp.561–563.
Alonso, J., Quintans, F., Taks, J., Conde, D., Chalar, G., Arocena, R., Haakonsson, Aubriot, L., Goyenola, G., Muniz, P., Marrero, A., Hutton, M., Venturini, N., Pita, A. L., Iglesias, Ka., Ríos, M., Zaldúa, N., Teixeira de Mello, F., Soutullo, A., Eguren, G., Victoria, M., López-Tort, F., Maya, L., Castells, M., Benitez, M.J., Lizasoain, A., Bertoni, E.,Bortagaray, V., Salvo, M., Colina, R., Azuriz, K., Castagnet, N., Evia, V., Fernández, A., Lagos, X., Marrero, L., Milans, F., Piaggio, M., Rezzano, N., López, J., Rodríguez, L., Garat, S., Pintos, M., Iriburo, A., Brena, B. y Méndez, H. 2019b. Water quality in Uruguay: current status and challenges (Sections 5 y 6). En: UNESCO. Water quality in the Americas. México: UNESCO/IANAS. pp.585–597.
American Public Health Association, American Water Works Association and Water Environment Federation, 2012. Standard methods for the examination of water and wastewater. 22a ed. Washington: APHA. Standard Method 4500 CL.
Bonilla, S., Haakonsson, S., Somma, A., Gravier, A., Britos, A., Vidal, L., De León, L., Brena, B., Pírez, M., Piccini, C., Martinez de la Escalera, G., Chalar, G., Gonzalez-Piana, M., Martigani, F. y Aubriot, L., 2015. Cianobacterias y cianotoxinas en ecosistemas límnicos de Uruguay. En: INNOTEC, (10), pp.9-22. DOI: https://doi.org/10.26461/10.01
Chalar, G., 2006. Dinámica de la eutrofización a diferentes escalas temporales: embalse Salto Grande (Argentina - Uruguay). En: Galizia Tundisi, José, Matsumura Tundisi, Takako y Sidagis Galli, Corina, eds. Eutrofização na América do Sul: Causas, conseqüências e tecnologias de gerenciamento e controle. [s.l.]: Instituto Internacional de Ecologia, Instituto Internacional de Ecologia e Gerenciamento Ambiental, Academia Brasileira de Ciências, Conselho Nacional de Desenvolvimento Científico e Tecnológico, InterAcademy Panel on International Issues, InterAmerican Network of Academies of Sciences. pp.87-101.
Cremeneac, L. y Boclaci, T., 2018. The role of efficient microorganisms in the process of obtaining the biocompost. En: Scientific Papers Series-Management, Economic Engineering in Agriculture and Rural Development, 18(2), pp.135–139. ISSN 2284-7995, E-ISSN 2285-3952.
de Araujo Ávila, G. M., Gabardo, G., Clock, D. C. y de Lima Junior, O. S., 2021. Use of efficient microorganisms in agriculture. En: Research, Society and Development, 10(8), e40610817515–e40610817515. DOI: http://dx.doi.org/10.33448/rsd-v10i8.17515
Domenico, P., 2019. Effective microorganisms for germination and root growth in Kalanchoe daigremontiana. En: World Journal of Advanced Research and Reviews, 3(3), pp.47–53. DOI: https://doi.org/10.30574/wjarr.2019.3.3.0074
Elosegui, A., 2009. Conceptos y técnicas en ecología fluvial. Barcelona: Fundación BBVA.
Goyenola, G., Kruk, C., Mazzeo, N., Nario, A., Perdomo, C., Piccini, C. y Meerhoff, M., 2021. Producción, nutrientes, eutrofización y cianobacterias en Uruguay: armando el rompecabezas. En: INNOTEC, (22), e558. DOI: https://doi.org/10.26461/22.02
Heinl, S. y Grabherr, R., 2017. Systems biology of robustness and flexibility: Lactobacillus buchneri—A show case. En: Journal of Biotechnology, 257, pp.61–69. DOI: https://doi.org/https://doi.org/10.1016/j.jbiotec.2017.01.007
Higa, T., 1996. An earth saving revolution (Issue BOOK). Tokio: Sunmark Publishing inc.
Higa, T. y Parr, J. F., 1994. Beneficial and effective microorganisms for a sustainable agriculture and environment (Vol. 1). Atami: International Nature Farming Research Center.
Huisman, J., Codd, G. A., Paerl, H. W., Ibelings, B. W., Verspagen, J. M. H. y Visser, P. M., 2018. Cyanobacterial blooms. En: Nature Reviews Microbiology, 16(8), pp.471–483. DOI: https://doi.org/10.1038/s41579-018-0040-1
Khan, F. A. y Ansari, A. A., 2005. Eutrophication: an ecological vision. En: The Botanical Review, 71(4), pp.449–482. DOI: https://doi.org/10.1663/0006-8101(2005)071[0449:EAEV]2.0.CO;2
Kruk, C., Dobroyan, M., Leticia González, Angel M. Segura, I. B., Natalia, Trabal, Fernanda De León, Gastón Martínez, A. R., Piccini, C. y Verrastro, N. 2019. Calidad de agua y salud ecosistémica en playas recreativas de La Paloma, Rocha. En: Asociación de Universidades Grupo Montevideo. II Congreso de Agua, Ambiente y Energía. Montevideo, Uruguay, (25-27 de setiembre). Montevideo: Asociación de Universidades Grupo Montevideo.
Kruk, C., Martínez, A., de la Escalera, G. M., Trinchin, R., Manta, G., Segura, A. M., Piccini, C., Brena, B., Yannicelli, B. y Fabiano, G., 2020. Rapid freshwater discharge on the coastal ocean as a mean of long distance spreading of an unprecedented toxic cyanobacteria bloom. En: Science of The Total Environment, 754, 142362. DOI: https://doi.org/10.1016/j.scitotenv.2020.142362
Kyan, T., Shintani, M., Kanda, S., Sakurai, M., Ohashi, H., Fujisawa, A. y Pongdit, S., 1999. Kyusei nature farming and the technology of effective microorganisms. Atami: Asian Pacific Natural Agricultural Network.
Li, Y., Fang, L., Yuanzhu, W., Mi, W., Ji, L., Guixiang, Z., Yang, P., Chen, Z. y Bi, Y., 2022. Anthropogenic activities accelerated the evolution of river trophic status. En: Ecological Indicators, 136, 108584. DOI: https://doi.org/10.1016/j.ecolind.2022.108584
Lurling, M., Tolman, Y. y van Oosterhout, F., 2010. Cyanobacteria blooms cannot be controlled by Effective Microorganisms (EM®) from mud- or Bokashi-balls. En: Hydrobiologia, 646(1), pp.133–143. DOI: https://doi.org/10.1007/s10750-010-0173-3
Maier, R. M. y Pepper, I. L., 2015. Bacterial growth. En: Pepper, Ian L., Gerba, Charles P. y Gentry, Terry J., ed. Environmental Microbiology. 3ra ed. San Diego: Academic Press. pp.37-56. DOI: https://doi.org/10.1016/B978-0-12-394626-3.00003-X
Margulis, L., Bassler, B., Sandín, M., Restrepo, J., Labrador, J., Ruipérez, V., Mata, F., Santos, E., Pozuelo, P., Mier, J., Goldman, M., Lázaro, L. A. y Urederra, A. 2014. Microbiótica. Madrid: Ediciones Si. ISBN 978-84-941811-9-1.
Mesa, F., 2020. Proyecto Entrebichitos, sobre microorganismos efectivos. En: Mesa, F. Una experiencia: Entrebichitos. Montevideo: Cooperativa MEN Entrebichitos. pp.53-57.
Miao, V. y Davies, J., 2010. Actinobacteria: the good, the bad, and the ugly. En: Antonie Van Leeuwenhoek, 98(2), pp.143–150. DOI: https://doi.org/10.1007/s10482-010-9440-6
Namsivayam, S. K. R., Narendrakumar, G. y Kumar, J. A., 2011. Evaluation of effective microorganism (EM) for treatment of domestic sewage. En: Journal of Experimental Sciences, 2(7). ISSN: 2218-1768.
Nikitin, A. N., Okumoto, S., Gutzeva, G. Z., Shintani, M., Leferd, G. A., Cheshyk, I. A. y Higa, T., 2018. Effective microorganisms as a potential tool for the remediation of 137Cs-contaminated Soils. En: Massachusetts Institute of Technology. 4th International Conference on Universal Village (UV). Boston, Estados Unidos, (23-24 de octubre de 2018). Boston: Massachusetts Institute of Technology. DOI: https://doi.org/10.1109/UV.2018.8642116
Okuda, A. y Higa, T., 1999. Purification of waste water with Effective Microorganisms and its utilization in agriculture. En: INFRC. Proceedings of the 5th International Conference on Kyusei Nature Farming. Pretoria: INFRC. pp.246–253.
Park, G. S., Khan, A. R., Kwak, Y., Hong, S. J., Jung, B., Ullah, I., Kim, J. G., y Shin, J. H. 2016. An improved effective microorganism (EM) soil ball-making method for water quality restoration. En: Environmental Science and Pollution Research, 23(2), pp.1100–1107. DOI: https://doi.org/10.1007/s11356-015-5617-x
Pereira, M. M. A., Morais, L. C., Marques, E. A., Martins, A. D., Cavalcanti, V. P., Rodrigues, F. A., Gonçalves, W. M., Blank, A. F., Pasqual, M. y Dória, J. 2019. Humic substances and efficient microorganisms: elicitation of medicinal plants-a review. En: J Agric Sci, 11(7). DOI: https://doi:10.5539/jas.v11n7p268
Pires, J. F., Viana, D. C., Braga Jr, R. A., Schwan, R. F. y Silva, C. F., 2021. Protocol to select efficient microorganisms to treat coffee wastewater. En: Journal of Environmental Management, 278, 111541. DOI: https://doi.org/10.1016/j.jenvman.2020.111541
Ruíz, J., François, M., Ortíz, L., Trasante, T., Azziz, G. y Bajsa, N., 2019. Consorcios microbianos como mejoradores de suelo: conocimiento desde los agricultores. En: Facultad de Veterinaria, CIDEC y CSIC. XII Simposio Internacional de Recursos Genéticos Para América y El Caribe. Rocha, Uruguay, (8-11 de diciembre de 2019). Rocha: Facultad de Veterinaria, CIDEC y CSIC.
Sharma, A., Saha, T. N., Arora, A., Shah, R. y Nain, L. 2017. Efficient microorganism compost benefits plant growth and improves soil health in Calendula and Marigold. En: Horticultural Plant Journal, 3(2), pp.67–72. DOI: https://doi.org/10.1016/j.hpj.2017.07.003
Sitarek, M., Napiórkowska-Krzebietke, A., Mazur, R., Czarnecki, B., Pyka, J. P., Stawecki, K., Olech, M., Sołtysiak, S. y Kapusta, A., 2017. Application of effective microorganisms technology as a lake restoration tool a case study of Muchawka reservoir. En: J. Elem, 22, pp.529–543. DOI: http://dx.doi.org/10.5601/jelem.2016.21.2.1196
Soumastre, M., Rodríguez-Gallego, L. y Piccini, C., 2015. Enterobacterial growth in coastal groundwater wells of Cabo Polonio (Uruguay): An experimental approach. En: Pan-American Journal of Aquatic Sciences, 10(3), pp.182–188.
Soumastre, M., Piccini, J., Rodríguez-Gallego, L., González, L., Rodríguez-Graña, L., Calliari, D. y Piccini, C., 2022. Spatial and temporal dynamics and potential pathogenicity of fecal coliforms in coastal shallow groundwater wells. En: Environmental Monitoring and Assessment, 194(2), pp.1–17. DOI: https://doi.org/10.1007/s10661-021-09672-0
Szymanski, N. y Patterson, R. A., 2003. Effective microorganisms (EM) and wastewater systems [En línea]. En: Patterson, R. A. y Jones, M. J., eds. Proceedings of On-site ’03 Conference. Armidale: Lanfax Laboratories Armidale. pp.347-354. ISBN 0-9579438- 1-4 [Consulta: 15 de agosto de 2022]. Disponible en: http://www.lanfaxlabs.com.au/papers/P53-03-Szymanski-Patterson.PDF
Talaat, N. B., Ghoniem, A. E., Abdelhamid, M. T. y Shawky, B. T., 2015. Effective microorganisms improve growth performance, alter nutrients acquisition and induce compatible solutes accumulation in common bean (Phaseolus vulgaris L.) plants subjected to salinity stress. En: Plant Growth Regulation, 75(1), 281–295. DOI: https://doi.org/10.1007/s10725-014-9952-6
Trasante, T., García, S., Lassevich, D., Senatore, D. y Bajsa, N., 2019. Caracterización del consorcio de Microorganismos Efectivos Nativos (MEN) y su uso en compostaje y cultivo de lechuga. En: Sociedad Uruguaya de Biociencias. II Congreso Nacional de Biociencias. Montevideo, Uruguay, (4-7 de setiembre de 2019). Montevideo: Sociedad Uruguaya de Biociencias
Uruguay. Ministerio de Vivienda, Ordenamiento Territorial y Medio Ambiente, 2020. Plan nacional de saneamiento. Montevideo: Uruguay.
Yu, C., Li, Z., Xu, Z. y Yang, Z., 2020. Lake recovery from eutrophication: quantitative response of trophic states to anthropogenic influences. En: Ecological Engineering, 143, 105697. DOI: https://doi.org/10.1016/j.ecoleng.2019.105697
Zakaria, Z., Gairola, S. y Shariff, N. M., 2010. Effective microorganisms (EM) technology for water quality restoration and potential for sustainable water resources and management [En línea]. En: International Environmental Modelling & Software Society. 5th International Congress on Environmental Modelling and Software. Ottawa, Canadá, (1 de julio de 2010). Ottawa: iEMSs. [Consulta: 15 de agosto de 2022]. Disponible en: https://scholarsarchive.byu.edu/iemssconference/2010/all/142/