Resumen: La cocción representa un proceso importante en la elaboración de alimentos en cuanto a aspectos sensoriales y de seguridad alimentaria. El objetivo de este estudio fue analizar el contenido proximal y las propiedades termofísicas de bollos de maíz. Además, se calculó la difusividad térmica del bollo cocido. El proceso de cocción se llevó acabo usando un baño de agua a temperatura controlada diseñado para tal fin a 95 °C. El método utilizado para la determinación de la difusividad se basó en la solución analítica de la ecuación de transferencia de calor por conducción escrito en coordenadas cilíndricas. La difusividad térmica, conductividad térmica, calor específico y la densidad del bollo, se encuentran dentro de los rangos de valores reportados por otros autores. Se determinó un valor de difusividad térmica de 2,86*10-06 m2/s. Se observaron diferencias estadísticamente significativas en los porcentajes de grasa, humedad y ceniza entre el maíz, masa y bollo elaborado.
Palabras clave:Difusividad térmicaDifusividad térmica,propiedades termofísicaspropiedades termofísicas,coccióncocción,bollos de maíz verdebollos de maíz verde,transferencia de calortransferencia de calor.
Abstract: Cooking is an important process in food processing in terms of sensory and food safety aspects. The aim of this study was to analyze the proximal content and thermophysical properties of bollo. Furthermore, the thermal diffusivity of cooked bollo was calculated. The cooking process was carried out by using a water bath with temperature controlled, which was designed for this purpose at 95 °C. The method used for determining the diffusivity is based on the analytical solution of the heat transfer equation for cylindrical coordinates. The thermal diffusivity, thermal conductivity, specific heat and density of the bollo were within the ranges of values reported by other authors. A value of thermal diffusivity of 2,86*10-06 m2/s was found. Statistically significant differences in the percentages of fat, moisture, and ash between corn, mass, and prepared bun was observed.
Keywords: Thermal diffusivity, thermophysical properties, cooking, buns cob, heat transfer.
COMPOSICIÓN, PROPIEDADES TERMOFÍSICAS Y DIFUSIVIDAD TÉRMICA DE BOLLO COCIDO
COMPOSITION, THERMOPHYSICAL PROPERTIES AND THERMAL DIFFUSIVITY OF COOKED BOLLO

Recepción: 15 Diciembre 2015
Aprobación: 29 Julio 2016
TÍTULO DEL ARTÍCULO
Los bollos son productos alimenticios considerados de origen indígena, elaborados a partir de maíz y cubiertos en hojas provenientes de la misma planta, para luego ser cocinados a fuego de leña, siendo así, elaborados principalmente de forma casera. Por sus características de composición y preparación es catalogado de fácil deterioro y contiene un alto contenido de carbohidratos [1]. Normalmente es comercializado de manera artesanal por vendedores ambulantes, pero en los últimos años, se ha empezado a elaborar a escala industrial debido a la alta demanda [2]. Actualmente no se cuenta con datos estandarizados sobre la temperatura y tiempo adecuado al que debe someterse durante la cocción, ni de sus propiedades termofísicas, lo cual genera falta de estandarización, y por lo tanto variación de las características del producto según su lugar de elaboración [2]. Además, cabe tener en cuenta que tiempos prolongados representan mayor gasto energético, elevando así los costos de producción y deteriorando las características organolépticas y nutricionales del producto [3]. Por el contrario, un tiempo demasiado corto puede ocasionar que no se alcancen las temperaturas óptimas de cocción en el centro del alimento, por lo que no será sensorialmente aceptado [4].
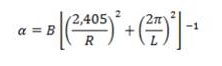
Las propiedades térmicas son de considerable importancia en el diseño de equipos y búsqueda de procesos térmicos más eficientes y económicos [5]. Entre estas propiedades se incluyen el calorespecífico, conductividad térmica y difusividad térmica, que se relacionan a su vez con la densidad.
El agua posee un calor latente de vaporización muy alto, por lo que resulta un medio ideal para transferir calor a los alimentos [6]. La cocción puede definirse como el aumento de la temperatura de los alimentos en un medio adecuado hasta un punto, por tiempo suficiente para transformar su estructura y producir cambios irreversibles [7]. Este proceso le otorga al producto propiedades específicas tales como sabor, palatabilidad, textura,extensión de la durabilidad y modificaciones del color [4, 7, 8].
Durante la cocción, la composición nutricional y estructura bioquímica inicial del alimento es alterada, ya que las moléculas pueden llegar a transformarse o degradarse. Además, durante el proceso, y dependiendo de la temperatura y tiempo
de cocción se pueden perderse, destruirse o alterarse nutrientes tales como como vitaminas, minerales, proteínas y carbohidratos [7, 9]. Una cocción uniforme, en la que el tiempo y la temperatura son suficientes, protege la integridad del alimento y del consumidor [4].
Cada tipo de alimento tiene un tiempo específico de cocción, lo cual depende de la velocidad de transmisión de calor, el grado de hidratación, porosidad, espesor y composición [9]. Gracias al calor, en la cocción se consigue la destrucción de toxinas e inhibición agentes causales de enfermedades que se encuentran en los alimentos crudos [3]. En las verduras cocidas en agua se destruyen las pectinas y los almidones, con lo que se logra el ablandamiento y una mayor disponibilidad y digestibilidad [6]. En las carnes o pescados, se modifica el color, se disminuye la cantidad de jugo y destruye el tejido conjuntivo (colágeno), contribuyendo a la coagulación de las proteínas para su mayor disposición y digestión en el cuerpo [4, 6, 10].
En esta medida, la optimización del proceso es de vital importancia, ya que puede reducir el coste de la energía utilizada [3,4,11]. Sin embargo, a la fecha hay pocos datos disponibles sobre la influencia del proceso de cocción por ebullición en las cualidades de los alimentos, por lo que una cocción adecuada del bollo implica conocer aún más el proceso y un control exacto sobre la calidad del producto final. No existen datos relacionados a la cocción de bollo de maíz verde, por lo que el objetivo de este trabajo fue primero estudiar la composición y propiedades termofísicas de la materia prima, y luego la difusividad durante el proceso de cocción de cilindros de bollo.
Se elaboraron los bollos con maíz verde siguiendo las técnicas tradicionales [1]. Se adquirieron 50 kg de maíz, el cual previamente fue seleccionado teniendo en cuenta el tamaño de las mazorcas. Posteriormente se transportó en recipientes adecuados hasta la planta piloto, donde se despojó manualmente de las hojas de la mazorca, las cuales se desinfectaron en una solución de hipoclorito de sodio a 5 mg/L, y se utilizaron para la envoltura de los bollos. Los granos obtenidos se pesaron y luego se llevaron a un molino industrial,
donde se transformó en una masa suave (30 kg). Posteriormente se le adicionaron todos los ingredientes requeridos: cloruro de sodio (10 g/kg de masa), bicarbonato de sodio (5 g/kg de masa) y azúcar (5 g/kg de masa). Todos se mezclaron hasta homogeneizarlos completamente. La cantidad medida de 100 g se envolvió en su empaque tradicional (hojas de la mazorca y cabuya) y luego se llevaron a un recipiente de cocción con agua a una temperatura de 100±1 °C. Luego los bollos se sacaron y se colocaron en vasijas con perforaciones de drenajes que facilitó el escurrido. Posteriormente se almacenaron en bolsas de polietileno de alta densidad, bajo una temperatura de refrigeración de 15 ºC, antes de los respectivos análisis.
El proceso de cocción se llevó a cabo usando un baño de agua con temperatura controlada diseñado para tal fin en el laboratorio del grupo de investigación NUSCA de la Universidad de Cartagena. Este equipo se elaboró en acero inoxidable tipo 304 teniendo en cuenta la normativa colombiana y siguiendo las recomendaciones de Ayadi y colaboradores [4]. Para la puesta en marcha del procedimiento se utilizaron termopares tipo J para determinar el historial de tiempotemperatura de las muestras de bollo. Se midió la temperatura inicial del producto, y un termopar se colocó en el baño de agua caliente para medir la temperatura durante el proceso. Se fijaron otros termopares en el centro geométrico de las muestras cilíndricas y debajo de la superficie, teniendo en cuenta la envoltura tradicional del producto (hojas de la mazorca-cabuya), a una profundidad máxima de 0,5 mm. Al comienzo del experimento, los bollos se colocaron en el baño de agua, con la temperatura controlada a 95∓0,1 °C. El agua en la unidad no se agitó, y cuando la temperatura en el centro de la muestra llegó hasta el valor deseado (entre 70 °C y 75 ºC) se sacaron, para sus posteriores análisis. Los cambios de temperatura inicial del producto (T0), en el baño de agua (T∞), en el centro (Tc), y en la superficie de la muestra (Ts), se midieron cada 5 minutos. La relación agua: muestra fue 6:1. Se usó bollo con geometría cilíndrica de 20 cm longitud con 6 cm de diámetro. Las propiedades termofísicas, tales como conductividad térmica, densidad, calor específico y la difusividad térmica, se determinaron de acuerdo a la composición bromatológica del producto empleando los modelos de Choi y Okos [12]. Para
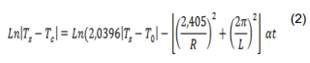
Para simplificar el problema, la muestra se modeló como un cilindro finito con radio R y longitud 2L. El método utilizado se basó en la solución analítica de la ecuación de transferencia de calor por conducción escrito en coordenadas cilíndricas. Este método fue descrito y aplicado por Ayadi et al., [4] en su estudio para determinar la difusividad térmica y el impacto del tiempo de cocción en las características sensoriales y microbiológicas de salchichas y productos de jamón preparados a partir de carne de pavo. También ha sido utilizado por Tavman et al., [14], para medir la difusividad térmica del trigo duro, y una versión modificada fue empleado por Carciofi et al., [9] para calcular la difusividad térmica de mortadela. Markowski et al., [10] también usaron este método experimental y un modelo numérico para estimar la difusividad térmica de salchichas tipo Lyoner durante cocción. El método supone mediciones constantes de la temperatura en superficie (TS) y la difusividad térmica. Si la distribución de la temperatura inicial (T0) es uniforme, la solución exacta de la ecuación de transferencia de calor por conducción escrito en coordenadas cilíndricas se describe en la Ecuación (1):
(1)Si la muestra está expuesta a la diferencia de temperatura durante un largo tiempo, la Ecuación (1) se puede reducir al primer término de la serie. Para m = n = 1, βm =π/2, βn = 2,405, J1 (2,405) = 0,519, y en el centro de una muestra cilíndrica z =0, r = 0 y J0 (0) = 1,00. El cambio de temperatura en el punto central de la muestra en el caso de una larga exposición a temperaturas externas se da entonces por la Ecuación (2):
(2)La Ecuación (2) es linealmente dependiente del tiempo y puede ser transformada a la forma lineal equivalente como se refleja en la Ecuación (3), con pendiente B e intersección A. A partir de esto la difusividad térmica puede calcularse usando la Ecuación (4).
(3)
(4)B se puede calcular a partir de datos experimentales usando regresión lineal. La temperatura del baño de agua durante la cocción y el enfriamiento se asumen constantes.
Se empleó un diseño experimental totalmente aleatorio. Las determinaciones se efectuaron por triplicado y los resultados expresados como la media con su desviación estándar. Se calculó la media y la desviación estándar de los resultados. Cuando se detectaron diferencias estadísticamente significativas entre las medias estas fueron comparadas utilizando la prueba de diferencia mínima significativa. Se fijó el nivel de significancia a p<0,05. Para lo anterior se utilizó el programa PHARM/PCS versión 4,
En la Tabla 1 se presentan los datos obtenidos de los análisis fisicoquímicos realizados a la masa y al producto luego de la cocción. Letras minúsculas diferentes indican diferencias estadísticamente significativas con un p=0,05. Se evidencian diferencias estadísticamente significativas en los porcentajes de grasa, humedad y ceniza entre el maíz, la masa suave y bollo cocido.
En la Tabla 1 se aprecia que el contenido de humedad fue mayor en el producto final, lo cual puede ser debido al ingreso de agua al bollo durante la cocción [4]. En la Tabla 1 también se evidencia que el contenido de cenizas fue significativamente menor en los bollos, lo cual puede ser debido a la migración de minerales desde el alimento al agua durante el proceso [9, 10]. El contenido de grasa fue más bajo en la masa y el bollo frente al maíz entero, debido a que, al maíz, durante el procesamiento para convertirlo en el producto final, se le es retirado gran parte del germen, el cual tiene la mayor reserva de grasa en el grano [13][15]. El producto final presentó los valores más bajos de carbohidratos y proteínas, debido a que se retienen en el agua por su polaridad; sin embargo, la variación no fue significativamente alta.

Las propiedades termofísicas representan parámetros significativos a la hora de describir la transferencia de calor durante procesos en que se suministra calor a alimentos. Por lo tanto, conocerlos implica poder tener control de costos de procesamiento, seguridad y estandarización del producto [16][17][18].
Las propiedades termofísicas más importante a tener en cuenta durante procesos como la cocción son el calor específico (Cp), difusividad térmica (α), densidad (ρ) y conductividad térmica (k) [16, 17, 19]. Los valores de estos parámetros para las materias primas y el producto elaborado se muestran en la Tabla 2.
Los valores reportados en la Tabla 2 coinciden con valores reportados para otros alimentos de origen vegetal obtenidos de igual forma por la metodología planteada por Choi y Okos [12]. Resultados similares también obtuvieron Arrazola et al., [16] en su estudio de la difusividad, conductividad térmica, calor especifico y la densidad de almendras frescas, obteniendo valores de 1,13*10-7 m2/s; 0,32W/m°C; 2,65 kJ/kg°C y 1138,6 kg/m3 respectivamente. Por otro lado, estos mismos autores en la segunda parte de su investigación [17] encontraron que la difusividad, conductividad térmica, calor especifico y la densidad de acerolas frescas fue de 1,4696*10-7 m2/s; 0,5979 W/m°C,3,9685 kJ/kg°C y 1086,60 kg/m3 . Por último, Lemus-Mondaca et al., [5] determinaron estas propiedades para durazno, cereza y uva, reportando densidades de 1038,60 kg/m3 1064,11kg/m3 y 1070,16 kg/m3; Cp de 3893,75 J/kg°C,3753,43 J/kg°C y 3671,66 J/kg°C; conductividad térmica de 0,570 W/m°C, 0,559 W/m°C y 0,546W/m°C respectivamente. Otros autores han determinado estas propiedades en diferentes matrices alimentarias [9, 10, 18, 20, 21, 22].

En la Fig. 1 se puede observar el historial térmico de los bollos durante el proceso de cocción por ebullición. En la Fig. 1 se observa que en el centro térmico del producto registrado con las termocuplas se presentó un incremento de temperatura lineal, llegando hasta los 75 °C durante 55 minutos. Se evidenció que en la superficie del producto la temperatura aumentó rápidamente al comienzo del proceso, estabilizándose en 82 °C y llegando a los 90 °C a partir de los 20 minutos. Para todas las repeticiones se mostró una relación proporcional al diferencial de temperatura. Esta Fig. 1 es importante debido a que refleja el comportamiento térmico en el interior de este alimento durante la elaboración, por lo tanto, ayudan a definir las condiciones de proceso para futuros tratamientos térmicos.

En la Fig. 2 se observa la pendiente de la sección lineal de la relación adimensional tiempo vs. Temperatura, la cual se obtuvo mediante análisis de regresión lineal para determinar la difusividad que se presenta en la Tabla 3, junto a los respectivos coeficientes necesarios para su determinación

En la Fig. 2 se muestra un perfil típico de temperatura a través del tiempo en una escalagráfica semi-logarítmica. El ajuste de la Ecuación (3) muestra una pequeña parte curvilínea en el inicio del proceso, seguido de una región lineal, según lo informado por otros autores [4, 10, 20, 21, 23]. Por otro lado, Carciofi y colaboradores [9] en su estudio de cocción de muestras de mortadela encontraron dos períodos con disímiles pendientes, lo cual no se evidenció en el presente estudio, posiblemente debido a las discrepancias en la resistencia interna al calor de cada tipo de material [20, 21].

El valor de difusividad expuesto en la Tabla 3 es similar a los obtenidos por Ayadi et al., [4] quienes obtuvieron valores de 5,11 m2/s, 7,02 m2/s, 6,02m2/s y 1,98*10-6 m2/s durante la cocción de salami estándar, salami tunecino, salami con aceitunas y jamón de pavo respectivamente; y valores durante el enfriamiento de estos de 2,30 m2/s, 5,01 m2/s,4,11 m2/s y 4,41*10-6 m2/s para los mismos productos. Otros estudios han reportado estimaciones de difusividad térmica muy cercanas a las encontradas en este trabajo, sin embargo, ninguno para el bollo. Dickenson y Read [24] y Kong et al., [25] reportaron que la difusividad térmica de la carne de vacuno magra varió de 0,4*10-7 m2s a 30°C a 1,3*10-7 m2/s a 66 °C. Markowski et al., [10] reportaron valores de difusividad térmica obtenidos mediante métodos analíticos entre aproximadamente 3,5 m2/s y 4,5*10-7 m2/s. Sheridian y Shilton [26] estudiaron la influencia de la cocción y contenido de grasa en la difusividad térmica de empanadas de carne molida utilizando radiación infrarroja, e informó de que esta varió con el progreso de la cocción y el contenido de grasa, dando valores entre 1,22 m2/s y 1,82*10-7m2/s. Estos autores afirmaron que el aumento del nivel de grasa en las empanadas de carne molida de res incrementó la penetración del calor en la muestra.
Se observan diferencias estadísticamente significativas en los porcentajes de grasa, humedad y ceniza entre el maíz, masa y bollo cocido. La difusividad térmica, conductividad térmica, calor específico y la densidad del bollo se encuentran dentro de los rangos de valores reportados por otros autores. Debido a los pocos datos disponibles en la literatura científica sobre la influencia del proceso de cocción por ebullición en las cualidades de los alimentos, en especial del bollo, este trabajo da un aporte al estudio en ingeniería de productos autóctonos de la Costa Caribe Colombiana.
J0 Funciones de Bessel de primera especie y orden cero
J1 Funciones de Bessel de primera especie y primer orden
L Mitad de la longitud del cilindro (m)
m Número de muestreos durante las mediciones de temperatura
n Vector unitario normal a la superficie externa de la muestra
r Coordenada radial (m)
R Radio del cilindro (m)
T Temperatura (°C)
t Tiempo (s)
z Coordenadas axiales
Letras griegas
α Difusividad térmica (m2/s)
β Expansión térmica (K-1)
Subíndice
0 Inicial
c Centro de la muestra
s Superficie externa de la muestra
Cómo citar este artículo: D. F. Tirado-Armesto; J. D. Torres-González; D. Acevedo-Correa; K. P. BarriosTano; P. M. Montero, “Composición, propiedades termofísicas y difusividad térmica de bollo cocido,” Revista Politécnica, vol. 12, no. 22, pp. 79-86, 2016.
https://revistas.elpoli.edu.co/index.php/pol/article/view/879/1479 (html)
https://revistas.elpoli.edu.co/index.php/pol/article/view/879/750 (pdf)
jtorresg3@unicartagena.edu.co




