Artículos
Uso de la Continuidad en la resolución de inecuaciones
Use of Continuity in solving inequalities
Uso de la Continuidad en la resolución de inecuaciones
Revista Digital: Matemática, Educación e Internet, vol. 21, núm. 1, pp. 1-15, 2020
Instituto Tecnológico de Costa Rica

Recepción: 21 Mayo 2019
Aprobación: 28 Mayo 2020
Resumen: Por lo general, en un curso usual de Cálculo Diferencial se requiere resolver una serie de inecuaciones, principalmente en aplicaciones de la derivada, para determinar la monotonía o concavidad de una función. Sin embargo, si bien previamente a derivación se estudia continuidad, pocas veces se suele hacer uso de la continuidad para resolver las inecuaciones. El presente trabajo esboza una forma de hacer uso de la continuidad en la resolución de inecuaciones: el método analítico.
Palabras clave: continuidad, inecuaciones, método analítico vs el método algebraico.
Abstract: In general, in a usual Differential Calculus course, it is required to solve a series of inequalities, mainly in applications of the derivative, to determine the monotony or concavity of a function. However, although continuity is studied prior to referral, continuity is rarely used to resolve inequalities. The present work outlines a way to make use of continuity in solving inequalities: the analytical method.
Keywords: continuity, inequalities, analytical method vs. algebraic method.
1.1 Introducción
Usualmente, en un curso de Matemática General se recurre a las técnicas de factorización y a tablas de signos para resolver una inecuación, como lo muestra el siguiente ejemplo.
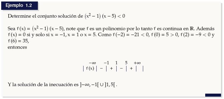
Ejercicio 1 Determine el conjunto solución de .
Se tiene que

Por lo tanto, el conjunto solución es
Es usual que esta forma de resolver inecuaciones se mantenga en un curso de Cálculo Diferencial y no se aproveche la continuidad para resolverlas. En los siguiente apartados se brindan algunos resultados que nos permitirán resolver las inecuaciones de una forma un poco distinta.
En general, en la enseñanza de la matemática se suele privilegiar, quizás por mera tradición, el método algebraico para resolver problemas sobre otros métodos como el geométrico, numérico y en este caso, el método analítico.
1.2 Repaso de Continuidad
Seguidamente se presentan los principales resultados y definiciones presentes en la Teoría de Continuidad de funciones. Estos resultados y otros se encuentran en Apostol (1986) y Stewart (2001).







El teorema del Valor Intermedio es la pieza primordial para resolver inecuaciones, como se verá más adelante. Aquí se puede seguir enunciando algunos teoremas importante como el Teorema de Bolzano. Sin embargo, se pretende solo repasar los teoremas y definiciones básicas que permitan abordar la siguiente sección.
1.3 Método analítico de resolución de inecuaciones
Quizás, alguna vez ha escuchado a un docente quejarse de que los estudiantes de Matemática General, al resolver una inecuación y hacer la tabla de signos, para llenarla simplemente evaluaban cada factor en un número particular dentro de los intervalos determinados por la tabla.
Dicha observación gira en torno a la falta de rigor en la forma de proceder: “si el factor en un valor le da positivo, realmente sabe el estudiante por qué en todo el intervalo será positivo el factor”.
La observación del docente puede ser válida a nivel de Matemática General, donde las inecuaciones se reducen a hallar los signos de rectas y parábolas, en las cuales es fácil determinar su signo incluso gráficamente. Sin embargo, el procedimiento indicado de evaluar en un valor no es incorrecto y es una herramienta poderosa para resolver inecuaciones más complejas y tiene su sustento en la continuidad.
Para definir bien este procedimiento, primero se recuerda qué se entiende por inecuación.

Note que un requisito para que sea solución de una inecuación es que es necesario calcular el dominio de .

Prueba. Para a.), suponga por contradicción que existen , ∈ con tales que y tienen signos distintos. Como , ∈ , entonces es continua en y por el TVI se tiene que existe ∈ con . Como ∈ , entonces . Así, , lo cual contradice la hipótesis de que es el único cero de en . ■
Del mismo modo se obtiene resultados similares para , y para . Por ejemplo, en el caso de , el resultado es dado por el siguiente teorema.

Prueba. Similar al teorema anterior ■

La solución del ejemplo anterior, sin continuidad, requiere un desarrollo algebraico más complejo. Seguidamente, los teoremas anteriores se van generalizar a n ceros.

Prueba. Se procede a demostrar (1) , las otras pruebas son similares. S uponga por contradicción que existen , ∈ tales que y tienen signos distintos. Por el TVI existe ∈ tal que . Así es cero de y además
Es decir, se halló un cero de f distinto a . ■
Se pueden obtener resultados similares para , y para .

La interrogante ahora es ¿Qué sucede si tiene discontinuidades? Veamos primero el caso en que

Prueba. Para (1) , suponga por contradicción que existen , ∈ con tales que y tienen signos distintos. Como , ∈ y es continua en , entonces es continua en y por el TVI se tiene que existe ∈ con . Como ∈ , entonces . Así, lo cual contradice la hipótesis de que es el único cero de en . ■
El teorema anterior nos brinda un resultado para continua en . Se pueden obtener resultados similares para continua en y para continua en .

Finalmente, el siguiente teorema nos ayuda a resolver una gran variedad de inecuaciones.


Prueba. Suponga por contradicción que existen , ambos en alguno de los intervalos mencionados (, o ), tales que y tienen signos distintos. Por el TVI se hallaría un cero de distinto a , lo cual contradice la hipótesis de que los ceros de en están en . ■
El teorema anterior nos brinda un resultado sobre el intervalo . Se pueden obtener resultados similares sobre , y .

1.4 Algunas aplicaciones
El método esbozado en la sección anterior permite resolver fácilmente una serie de inecuaciones que se pueden presentar en cursos de matemática a nivel universitario, que tienen como requisito Cálculo Diferencial. Seguidamente se presentan algunos ejemplos.
La resolución de inecuaciones es utilizada en Cálculo Diferencial, por ejemplo, para: analizar la primera derivada, analizar la segunda derivada y en problemas de optimización.
Análisis de la primera derivada


Problemas de optimización
Los problemas de optimización suelen tener un gran inconveniente cuando la función a optimizar no varía en un intervalo cerrado, dado que se busca un extremo absoluto. En esto caso, si tiene un único valor crítico , la forma de demostrar que tiene un extremo absoluto es utilizando el criterio de la primera derivada pues el criterio de la segunda derivada es insuficiente. Veamos un ejemplo usual de optimización.



El problema anterior, se puede abordar restringiendo más el dominio de a un intervalo cerrado , y bastaba hallar el mínimo absoluto de en un intervalo cerrado. Sin embargo, la solución brindada, da un camino diferente.
Estadística Inferencial
En Estadística Inferencial se suelen presentar problemas con algunas inecuaciones en Estimación de Máxima Verosimilitud. El siguiente ejemplo fue tomado de Sanabria (2011).


Probabilidad
También en probabilidad se suelen presentar inecuaciones no tan fáciles de resolver. El siguiente ejemplo fue tomado de Sanabria (2012) y la inecuación que involucra es resuelta utilizando el método analítico.


Finalmente, veamos como se resuelve la inecuación del ejemplo anterior sin el método presentado.


1.5 Conclusión
El trabajo presentado brinda un método para resolver una inecuación asociada a , cuando es continua o tiene un número finito de discontinuidades. Sobre este método:
Dado que la mayoría de funciones que utilizamos son continuas en su dominio, el método nos permite resolver una amplia gama de inecuaciones.
Se aborda un método de resolución de inecuaciones distinto al de las tablas de signos que puede ser muy útil en Cálculo Diferencial cuando se cuenta con una herramienta más poderosa, la continuidad. Esto no quiere decir que en dicho curso se deben resolver las inecuaciones con el método presentado, más bien lo importante es presentarles a los estudiantes esta otra opción, y hacerles ver que es una poderosa opción cuando el álgebra se complica. Es pasar de una solución algebraica para resolver inecuaciones a una solución analítica.
El método presentado (método analítico de resolución de inecuaciones) permite ampliar la gama de funciones con que se trabaja en algunos cursos. Por ejemplo, realizar el análisis de la primera derivada de función con un criterio más elaborado.
Se evidenció que el método analítico simplifica la solución algebraica de problemas en estadística y probabilidad.
La continuidad es la columna vertebral de un curso de Cálculo Diferencial, su importancia es enorme. Aquí se ha presentado una aplicación concreta de la continuidad: la resolución de inecuaciones.
La mayoría de aplicaciones que requiere de inecuaciones, en la realidad, pueden ser algebraicamente complicadas de resolver, por lo que el método analítico nos brinda otro camino para resolverlas siempre que la función involucrada sea continua salvo en un número finito de discontinuidades.
Si bien el método requiere hallar los ceros de (resolver una ecuación y factorizar) esto es más simple que resolver la inecuación, salvo que sea un polinomio.
En algunos cursos de Matemática General a nivel universitario, se estudia la resolución de inecuaciones cuadráticas o con radicales, esto puede ser poco útil para estudiantes que luego llevan Cálculo Diferencial.
El método analítico no es un método nuevo para resolver inecuaciones. Es una aplicación casi inmediata del Teorema del Valor Intermedio. Quizás lo novedoso es la presentación formal y sistemática de esta aplicación para resolver inecuaciones, y el insistir en su uso desde cálculo diferencial. La intención de este trabajo es instar a los profesores de Cálculo Diferencial a que utilicen el método analítico en la resolución de inecuaciones por las razones teóricamente expuestas. Didácticamente, la implementación del método en los cursos requiere el diseño de ejercicios similares a los ejemplos brindados y generar experiencias que permitan valorar y mejorar la aprehensión del método por parte de los estudiantes.
Bibliografía
[1] Apostol, T.(1986) Calculus. Vol.1. Editorial Reverté S.A. España.
[2] Sanabria, G.(2011) Comprendiendo la Estadística Inferencial. Editorial Tecnológica de Costa Rica: Cartago, Costa Rica.
[3] Sanabria, G. (2012 ) Comprendiendo las Probabilidades. Editorial Tecnológica de Costa Rica: Cartago, Costa Rica.
[4] Stewart, J. (2001) Cálculo en una variable. Thomson L. México
Enlace alternativo
https://revistas.tec.ac.cr/index.php/matematica/article/view/5343/5090 (pdf)