Artículo de investigación
Modelo Antropogógico de Extensión Agropecuaria: sensibilidad del retorno social de la inversión
Anthropogogical Model of Agricultural Extension: sensitivity of the social return on investment
Modelo Antropogógico de Extensión Agropecuaria: sensibilidad del retorno social de la inversión
Suma de Negocios, vol. 13, núm. 29, pp. 91-102, 2022
Fundación Universitaria Konrad Lorenz
Recepción: 06 Septiembre 2022
Aprobación: 27 Octubre 2022
Resumen
Introducción/objetivo: la escasez de recursos para las inversiones sociales exige estrategias que aumenten la disponibilidad de información para la toma de decisiones. El Retorno Social de la Inversión (SROI, por sus siglas en inglés) es una herramienta empleada para la medición de impacto que permite valorar económicamente los efectos de una intervención e identificar la cantidad de cambio generado por cada unidad monetaria invertida. Este índice admite análisis de sensibilidad para reconocer los aspectos con mayor influencia en el impacto de un proyecto, por lo que el objetivo de este trabajo fue estudiar la sensibilidad del SROI en los Laboratorios Territoriales de cacao de la Universidad de Antioquia.
Metodología: a través de gráficos se relacionaron cada uno de los cambios con el SROI, identificando los mayores niveles de sensibilidad en aquellos cuyos valores se ubicaron en los cuadrantes 1 y 3 y cuya línea de tendencia tuvo un desempeño ascendente.
Resultados: las variables más sensibles fueron: la proyección de ingresos por 20 años, el aumento de la producción de cacao, la producción por encima del punto de equilibrio, la satisfacción de necesidades básicas y sociales, los acuerdos informales para la sucesión del sistema productivo, los inicios de prácticas de conservación de suelos, la definición de actividades para alcanzar la finca soñada y la implementación del modelo antropogógico de extensión agropecuaria.
Conclusiones: se encontraron interrelaciones entre la mayoría de estas variables y se concluyó que las iniciativas integrales son la clave para alcanzar mayores cambios sociales.
Palabras clave: Análisis costo-beneficio+ desarrollo rural+ innovación social+ impacto social+ monetización.
Abstract
Introduction / objective: the scarcity of resources for social investments requires strategies that increase the availability of information for decision-making. The Social Return on Investment (SROI) is a tool used for impact measurement and makes it possible to economically assess the effects of an intervention and identify the amount of change generated by each monetary unit invested. This index admits sensitivity analysis to recognize the aspects with the greatest influence on the impact of a project, so the objective of this work was to study the sensitivity of the SROI in the cocoa Territorial Laboratories of the University of Antioquia.
Methodology: Through graphs, each of the changes was related to the SROI, identifying the highest levels of sensitivity in those whose values were located in quadrants 1 and 3 and whose trend line had an ascending performance.
Results: The most sensitive variables were: the projection of income for 20 years, the increase in cocoa production, production above the break-even point, the satisfaction of basic and social needs, informal agreements for the succession of the production system, the initiation of soil conservation practices, the definition of activities to achieve the dream farm, and the implementation of the anthropogogical model of agricultural extension.
Conclusions: Interrelationships were found between most of these variables and it was concluded that integral initiatives are the key to achieve greater social changes.
Keywords: Cost-benefit analysis, rural development, social innovation, social impact, monetization.
Introducción
La extensión rural en América Latina y el Caribe ha priorizado sus acciones en contextos de producción familiar campesina de baja escala, lo que demarca un escenario propicio para el análisis de su desempeño y su contribución en la disminución de las problemáticas sociales (Ardila, 2010). Estos ejercicios evaluativos aportan en la gestión de las políticas públicas (Ruiz-Lozano et al., 2020) y en el escenario colombiano cobran relevancia ya que la agricultura familiar está caracterizada, principalmente, por la producción tradicional para el autoconsumo y los circuitos cortos de comercialización, lo que implica bajos niveles de agregación de valor (Corredor et al., 2020).
La extensión rural en la actualidad debe enfocarse en el desarrollo de capacidades de autogestión (Rodríguez Espinosa et al., 2016) y estructurarse a partir de las expectativas y necesidades de los campesinos para que los conocimientos sean incorporados a la economía familiar, buscando la productividad, la sostenibilidad, la conservación de recursos naturales y la soberanía alimentaria y tecnológica (Corredor et al., 2020).
La extensión rural en Colombia se configura como una de las acciones estratégicas del Sistema Nacional de Innovación Agropecuaria (SNIA) (Ley 1876 de 2017) en donde se planteó la importancia del seguimiento y evaluación al servicio de extensión. En este contexto se crearon los Laboratorios Territoriales (LT) de la Universidad de Antioquia (Guacaneme et al., 2022) y entre el 2019 y 2021 esta iniciativa se implementó en los municipios de Necoclí, Caucasia, Dabeiba, Támesis y Chigorodó en el departamento de Antioquia (Colombia).
Estos LT se ejecutaron con comunidades campesinas productoras de cacao a partir del desarrollo de las siguientes actividades, con sus respectivos resultados para los dos primeros municipios:
Establecimiento de parcelas demostrativas (PD): consistió en la instalación de cultivos de cacao con sus sombríos transitorios y permanentes. Los cambios identificados fueron el suministro de capital y la entrega de plántulas, herramientas, insumos y fertilizantes (PD1); junto con los nuevos conocimientos enfocados en el trazado, ahoyado y siembra (PD2) y la proyección de ingresos por 20 años (PD3).
Acompañamiento técnico (AcT): cuyos efectos se concentraron en la fertilización esporádica (AcT1) y programada (AcT2); la intención de construir un plan de fertilización (AcT3); el manejo de plagas y enfermedades (AcT4); la recaba de canales, control de arvenses y podas (AcT5) con la aplicación de cicatrizante (AcT6). La implementación de 2 Me 1 BPA de criterio fundamental (AcT7), 10 BPA Me de criterio mayor (AcT8) y 2 Me BPA de criterio menor (AcT9); el conocimiento de cosecha, beneficio (AcT10) e injertación (AcT11); la identificación de clones (AcT12); la construcción de viveros (AcT13), cajones fermentadores (AcT14), marquesinas (AcT15), secaderos (AcT16) y mazos para el corte de mazorcas (AcT17); y, finalmente, el aumento de la producción de cacao (AcT18).
Acompañamiento empresarial (AcE): con cambios enfocados en el manejo de registros informales y sin clasificar (AcE1), clasificados pero incompletos (AcE2), completos y clasificados (AcE3) y empleados para la toma de decisiones (AcE4). Diagnóstico empresarial de la finca (AcE5); conocimiento de ingresos, costos y gastos mensuales (AcE6); identificación del punto de equilibrio (AcE7) y ubicación de la producción por encima de este (AcE8); cálculos informales de los ingresos, costos y gastos mensuales por kg de cacao (AcE9), junto con los cálculos aproximados del punto de equilibrio (AcE10) y los cálculos exactos (AcE11). Identificación de oportunidades de negocio (AcE12); elaboración de la estructura de costos para una alternativa de negocio (AcE13) e intención de implementarla (AcE14). Definición de planes de negocios (AcE15) y planes estratégicos (AcE16); comprensión de los beneficios de la asociatividad (AcE17); creación de una asociación de productores de cacao (AcE18); definición de un plan de acción anual (AcE19); conocimientos en herramientas ofimáticas (AcE20); desarrollo de capacidades y habilidades empresariales (AcE21) y proyección de las ventas (AcE22).
Acompañamiento social (AcS): los efectos estuvieron orientados hacia la participación en actividades comunitarias programadas (AcS1) y en su planeación (AcS2). El liderazgo en los procesos comunitarios (AcS3) y en su articulación a la JAC y/o a la asociación campesina (AcS4); la reconstrucción de tejido social (AcS5); la construcción de un concepto propio sobre liderazgo (AcS6) y la divulgación de conocimientos de forma esporádica (AcS7) y permanente (AcS8), incorporando la designación de tareas (AcS9). La satisfacción de necesidades básicas y sociales (AcS10), incluyendo las necesidades de reconocimiento (AcS11); la definición de un plan de crecimiento personal (AcS12); y la participación en redes de intercambio de conocimiento con una frecuencia baja (AcS13), moderada (AcS14) y alta (AcS15).
Acompañamiento ambiental (AcA): los cambios se concentraron en la identificación de residuos (AcA1); la elaboración de basureros ecológicos (AcA2); la preparación y aplicación de herbicida natural (AcA3); la recolección y quema de residuos sólidos a campo abierto (AcA4) y en un lugar específico (AcA5); la definición de espacios para la clasificación y reciclaje (AcA6); el conocimiento sobre fabricación de compost (AcA7); el uso de residuos para su preparación y con aplicación una vez al año (AcA8); el conocimiento sobre fabricación de insecticida (AcA9) y el uso de residuos para su preparación y aplicación una vez al año (AcA10); el conocimiento de prácticas de conservación de suelos (AcA11) y el inicio de su implementación con el cuidado de arvenses nobles y la disminución de niveles siembra (AcA12), junto con la aplicación de agroquímicos y fertilizantes según recomendaciones técnicas (AcA13). El reconocimiento y acceso a fuentes de agua (AcA14) y el desarrollo de actividades para su cuidado (AcA15).
Acompañamiento familiar (AcF): se identificó la capacidad de solicitar ayuda (AcF1) y de brindar apoyo permanente (AcF2); la interlocución continua con otros productores (AcF3); los acuerdos informales para la sucesión del sistema productivo (AcF4); la existencia de un protocolo familiar de sucesión (AcF5) con la designación de una porción del predio o de una parte de la gestión del cultivo (AcF6) y su posterior ejecución (AcF7). El acompañamiento productivo por parte de otros miembros de la familia de máximo ocho horas semanales (AcF8), de entre ocho a 16 horas (AcF9), de 17 a 24 horas (AcF10) y de más de 24 horas (AcF11). La toma de decisiones familiares por parte del productor (AcF12), con su cónyuge o persona cercana (AcF13), con la escucha esporádica a los hijos (AcF14) y con la participación del grupo familiar en conjunto (AcF15).
En los cinco municipios se implementaron las capacitaciones (CP) que generaron conocimientos sobre caracterización (CP1), comprensión de la historia del cultivo de cacao (CP2); identificación de los recursos del territorio, de la familia y del sistema productivo (CP3); reconocimiento de fortalezas y debilidades (CP4) y estructura de un plan de finca (CP5); definición de actividades para alcanzar la finca soñada (CP6); conocimiento de la estructura de un plan de vida familiar (CP7) y del significado del relevo generacional (CP8); definición de metas y objetivos personales (CP9); identificación de la institución que reglamenta las BPA en Colombia (CP10), conocimiento de los requisitos exigidos en ellas (CP11) e identificación de su aplicación en el predio (CP12); conocimiento del cálculo de la utilidad bruta por kg de cacao (CP13), significado de la diversificación de ingresos (CP14) y del establecimiento de actividades para su desarrollo (CP15). Comprensión del modelo Canvas (CP16); conocimiento de la estructura de costos del sistema productivo (CP17), de estrategias para gestionar las finanzas familiares (CP18), del manejo de clones (CP19), del proceso de fermentación (CP20), del propósito del secado del grano y de sus categorías de clasificación (CP21) y de la cosecha y beneficio del cacao (CP22). También se identificó la comprensión de los beneficios de la articulación familiar en el predio (CP23), del significado de la palabra Dofa (CP24), de los mecanismos para la elaboración de su matriz (CP25), de la asociatividad y sus beneficios (CP26), del comercio justo (CP27) y de la experiencia exitosa en comercialización de una asociación de productores de cacao (CP28); junto con la realización de acciones para compartir con la familia las opiniones sobre las capacitaciones (CP29) y la autopercepción de nuevos aprendizajes adquiridos (CP30).
Finalmente, los LT crearon el modelo antropogógico de extensión agropecuaria (MAEA), definido como la ruta para iniciativas de extensión rural con un enfoque social constructivista (Lopera et al., 2022). Los cambios para esta actividad se enfocaron en la construcción del modelo (MAEA1) y su implementación (MAEA2); la elaboración de productos de nuevo conocimiento (MAEA3); la formación de estudiantes (MAEA4); la divulgación del modelo (MAEA5) y la proyección de una aplicación adicional del MAEA (MAEA6).
Dentro de las metodologías para el monitoreo de impacto resalta el retorno social de la inversión (SROI), que consiste en un coeficiente en donde el numerador agrupa los impactos valorados económicamente y el denominador recoge el monto total de la inversión, obteniendo un índice que permite cuantificar la cantidad de cambio generado por cada unidad monetaria invertida (Nicholls et al., 2012). El SROI es un instrumento que contribuye en la toma de decisiones; lo que se ve fortalecido con ejercicios de análisis de sensibilidad que pueden realizarse a las variables que lo componen, determinando aquellos elementos que tienen una mayor influencia en el desempeño de un proyecto. Por esta razón, el objetivo de este trabajo fue analizar la sensibilidad del SROI de los LT de cacao, buscando generar información que facilite la toma de decisiones para sus iniciativas futuras y para otros actores del SNIA interesados en estos estudios.
Referentes teóricos
Desde el inicio de la era industrial las inversiones privadas se enfocaron en la generación de valor económico. Recientemente ha cobrado importancia la creación de valor social (Lazkano y San-José, 2019), ya que los inversores sociales tienen intenciones de contribuir en “el bienestar, la felicidad, la realización (y) la satisfacción” (Gargani, 2017, p.120), entre otros. El SROI es una metodología empleada para la valoración de impacto de proyectos con propósitos económicos, sociales y ambientales desde un enfoque de costo-beneficio (Nicholls et al., 2012). Este índice tiene su origen en las finanzas, específicamente en los análisis de rendimientos económicos en donde se emplea el retorno de la inversión (ROI). Este último, se ha trasformado en SROI, pasando de ser un instrumento económico para la acumulación de riqueza privada hacia un elemento que impulsa el bien público (Gargani, 2017), dando un salto desde el análisis financiero hacia la evaluación de impacto social.
La cuantificación de los impactos propuesta por la metodología SROI parte por abordar las discusiones frente al concepto de valor. La valoración es la expresión en unidades monetarias “del mérito, el valor, la importancia o el significado de algo” (Gargani, 2017, p.117) y está atravesada por aspectos psicológicos que inciden en los juicios, elecciones y comportamientos. Para la economía neoclásica los precios son el mecanismo que expresan las preferencias de un individuo frente a algo (Osorio, 2017), lo que implica que la persona que está dispuesta a pagar un alto precio por un determinado bien o servicio está expresando sus gustos y necesidades.
En el SROI los precios se convierten en el instrumento para la valoración económica de los impactos a través de un proceso de monetización que consiste en asignar valores monetarios a aspectos de naturaleza cualitativa. La valoración económica se realiza estableciendo proxies que funcionan como precios sustitutos o aproximados, empleando, por ejemplo, el precio de capacitaciones, el cambio en los salarios y el costo de una hora de terapia psicológica, entre otros (Tulla et al., 2020). El proceso de monetización promueve una triple cuenta de resultados económicos, sociales y ambientales (Lazkano y San-José, 2019) y responde a una de las mejores herramientas para evaluar un proyecto (Courtney y Powell, 2020).
Esta valoración no está enmarcada dentro de una ciencia exacta (Social Value International, 2019) y pueden identificarse un conjunto de proxies para cada aspecto, por lo que se aconseja seleccionar bajo el principio de prudencia (Lazkano y San-José, 2020) y buscando una similitud geográfica y temporal (Retolaza et al., 2016). El proceso de monetización desarrollado por Aguilar et al. (2022a, 2022b) para valorar los cambios de los LT de cacao, se centró principalmente en la técnica de ahorro de costos potenciales, que consiste en la identificación de los costos que se evitan por la participaciónen determinadas estrategias (Social Value International, 2019). Esta técnica se emplea recurriendo a los precios disponibles en el mercado, por lo que podría inferirse que estas monetizaciones expresan la importancia que tiene para el mercado cada uno de los aspectos cuantificados.
Los análisis de sensibilidad surgieron de la necesidad de contrarrestar las críticas a los modelos de equilibrio general, específicamente a lo relacionado con la validación empírica de sus parámetros, facilitando una mayor aproximación a la realidad por medio de la obtención de diferentes resultados, a partir de la alteración de sus parámetros o de las variables exógenas (Hasegawa, 2010). La aplicación de la metodología del SROI incorpora un ejercicio de análisis de sensibilidad que permite examinar los cambios en el índice a partir de la modificación de una variable y manteniendo las demás constantes (Aguilar-Agudo et al., 2019). Estos resultados son “susceptibles a interpretaciones diversas” (Fundación DAU, 2014, p. 76) y permiten identificar aspectos sobre los cuales focalizar la atención en intervenciones futuras (Nicholls et al., 2012).
Para Molina (2000), los análisis de sensibilidad corresponden a la identificación del grado de elasticidad de la rentabilidad de una estrategia como respuesta a la alteración de sus aspectos esenciales, lo que facilita la identificación de las variables decisivas para su planeación, control y seguimiento, contribuyendo en la gestión de la incertidumbre, la estimación del nivel de riesgo de un proyecto (Andrade, 2013), las decisiones empresariales, el manejo de los recursos limitados (Durán, 1996) y el aumento de la información disponible (Vivallo, 2017).
Ley et al. (2021) emplearon el análisis de sensibilidad dentro de un ejercicio de proyección estratégica en la industria cubana para facilitar la toma de decisiones a partir de la disponibilidad de materias primas. Aparisi-Cerdá et al. (2021) lo usaron en el ámbito energético y climático para estudiar la influencia de los cambios en la planificación de energías renovables a partir de modificaciones en el consumo y los precios de la energía. Delgado-Vélez (2021) lo incorporaron dentro de su análisis de planeación financiera a una empresa de alimentos, permitiéndoles reformular algunas políticas financieras, principalmente aquellas enfocadas en el manejo del capital de trabajo. Peña et al. (2022) lo utilizaron en su estudio sobre planeación de escenarios para la construcción de paz, buscando identificar las variables más influyentes dentro de este proceso. Para esto analizaron las capacidades, las víctimas, las conflictividades, la educación superior, las drogas ilícitas y la reforma rural. Oliveros (2021) lo incorporó en el análisis de costos ambientales en el sector carbonífero para estudiar los efectos de cambios en los precios del carbón.
Los análisis de sensibilidad pueden realizarse a través de procesos de simulación para calcular una muestra de datos e identificar aquellas variables que tienen mayor incidencia en el resultado final dentro de un proceso algebraico. Esta simulación se puede obtener empleando la distribución metalog, que tiene cualidades de flexibilidad, simplicidad y facilidad, permitiendo un manejo de los datos más acorde con su comportamiento real y sin la restricción de las distribuciones tradicionales. Las distribuciones metalog pueden interpretar distribuciones de probabilidad continua sesgadas, simétricas, acotadas, semiacotadas o no acotadas (Keelin, 2016).
Esta distribución se adapta a cualquier forma (Keelin, 2019) y toma como distribución base a la logística por sus características de suavidad y simetría (Balakrishnan 1992, citado en Keelin, 2016), agregando alteraciones a su función cuantil y empleando tres métodos de modificación: sustitución de parámetros, transformación y series de expansión ilimitada.
Metodología
Para el análisis de sensibilidad se tomaron los índices SROI construidos por Aguilar et al. (2022a, 2022b) para las actividades PD, AcT, AcE, AcS, AcA, AcF, CP y MAEA. Este ejercicio se realizó para cada índice a partir de un ejercicio de pseudosimulación empleando las distribuciones metalog por medio de la librería rmetalog (Faber, 2021) del software R-project (R-Core Team, 2022).
Se generaron datos aleatorios para cada variable desde sus monetizaciones originales; con esta información se calcularon nuevos índices SROI y se extrajo una muestra de aproximadamente 200 datos tomando las probabilidades de éxito de los valores aleatorios a través de la distribución de Bernoulli. Con esta muestra se graficó el desempeño simulado de los índices SROI respecto a cada variable, empleando la Ley de Pareto 80/201 para agregar líneas divisorias de los cuadrantes del plano cartesiano. Adicionalmente se agregó una línea de tendencia que permitió observar el comportamiento suavizado de la información. Con el procedimiento anterior se identificaron los cambios con mayor incidencia y que correspondieron a aquellos cuyos valores se ubicaron en los cuadrantes 1 y 3 de las figuras y cuya línea de tendencia tuvo un desempeño ascendente, con una ubicación cercana a los valores mínimos y máximos de cada figura.
Resultados y discusión
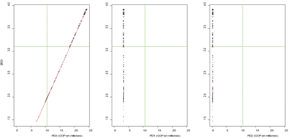
Análisis de sensibilidad para el índice SROI del establecimiento de parcelas demostrativas
El índice SROIPD fue de 2,42±0,76 (Aguilar et al., 2022a) y se encontró que la única variable con incidencia fue la proyección de ingresos por 20 años a partir del establecimiento del cultivo de cacao con sus sombríos permanentes y transitorios (PD3) (Figura 1). Este hallazgo coincide con los niveles de valoración económica asignados por Aguilar et al. (2022a) a los cambios de PD, ya que PD3 fue la variable con la mayor monetización dentro del SROIPD. Este resultadoexpresa la relevancia de los ingresos para la familia campesina a partir de su vinculación con la economía de mercado por medio de la venta de sus productos agrícolas.

El ingreso como concepto socioeconómico se introdujo en las dinámicas campesinas a partir de la influencia de la lógica capitalista en ellas. En estas últimas, los procesos productivos están enfocados en la rentabilidad y la gestión de las entradas de dinero a las finanzas privadas, mientras que en las primeras se reconoce que los esfuerzos humanos están orientados principalmente hacia la sostenibilidad familiar. Esta interacción entre la cosmovisión campesina y capitalista demarcó un escenario desigual para las primeras, por lo que resultan relevantes las estrategias que permitan consolidar las economías campesinas en un entor no de mercado competitivo, en la medida en que el apoyo institucional y los programas públicos se constituyen como un factor determinante dentro de los ingresos campesinos (Mora, 2013).
Estas estrategias son mucho más eficientes si se tiene como propósito contribuir a la disponibilidad de capital para las familias campesinas y a su propia sostenibilidad interna, ya que de acuerdo con los resultados obtenidos en la investigación de Mora (2013) se evidenció que muchos campesinos expresaron tener tierra disponible, pero escasez de capital para ponerlas a producir, por lo que se veían obligados a vender su fuerza de trabajo en otras parcelas productivas.
Análisis de sensibilidad para el índice SROI del acompañamiento técnico
El índice SROIAcT fue de 3,82±1,76 (Aguilar et al., 2022a) y el cambio AcT18 tuvo la mayor incidencia seguido por AcT6 (Figura 2). Tal como sucedió en el análisis para PD, en AcT el grado de influencia coincidió con los niveles de valoración económica, ya que AcT18 fue la variable con la mayor monetización dentro del SROIAcT.

La importancia de AcT18 se interpreta desde el acceso a mejores ingresos para la sostenibilidad de los núcleos familiares. La segunda variable con mayor influencia agrupó aquellas prácticas consideradas como labores culturales dentro del cultivo de cacao (AcT6), lo que tiene una correspondencia con AcT18 y PD3, en la medida en que los ingresos provenientes de la actividad cacaotera están ligados con la productividad y esta, a su vez, con el manejo adecuado del cultivo (Fedecacao et al., 2015) que, de acuerdo con Mateus y Reyes (2018), se realiza desde la implementación periódica de podas, el control de enfermedades, sombríos y malezas; fertilizaciones, riegos y drenajes.
Análisis de sensibilidad para el índice SROI del acompañamiento empresarial
El SROIAcE fue de 2,88±1,13 (Aguilar et al., 2022b) y las variables AcE8 y AcE6 tuvieron influencias similares, siendo AcE8 el cambio más sensible al tener una línea de tendencia relativamente más alargada hacia los bordes (Figura 3). Este cambio materializa la conexión entre AcE y AcT, en la medida en que la producción por encima del punto de equilibrio está ligada al manejo adecuado de los cultivos en términos de labores culturales y la implementación de las BPA.

La variable AcE6 valida la pertinencia de acompañamientos enfocados en el manejo de registros contables que facilitan la identificación de los ingresos, costos y gastos mensuales del sistema productivo. Este aspecto resulta ser determinante dentro de los ejercicios de extensión rural, ya que de acuerdo con Mora (2013), las comunidades campesinas no deberían estar capacitadas únicamente en aspectos técnicos, sino también en temas contables, comerciales y organizativos que les permitan establecer estrategias para comprender las dinámicas mercantiles y afrontar los retos del mercado, incluso como actores colectivos con incidencia en sus territorios.
Análisis de sensibilidad para el índice SROI del acompañamiento social
El SROIAcS fue de 2,55±0,97 (Aguilar et al., 2022b) y su análisis no arrojó variables con sensibilidades determinantes. Sin embargo, se identificó que el cambio con mayor incidencia fue la satisfacción de necesidades básicas y sociales (AcS10), seguido por la satisfacción de necesidades básicas, sociales y de reconocimiento (AcS11) (Figura 4).

Las necesidades básicas incluyen requerimientos fisiológicos como la alimentación, el descanso y la respiración; junto con la salud, la seguridad física, laboral, familiar y económica. Las necesidades sociales integran la pertenencia, aceptación, afecto, intimidad y amistad; y las necesidades de reconocimiento están vinculadas con la confianza, autoestima y alcance de logros (Maslow, 1943; 1975). Lo anterior permite plantear que las acciones enfocadas en estos aspectos contribuyen en el desarrollo integral de los sujetos, en la medida en que se trata de características productivas, amorosas, afectivas y familiares, entre otras. Esto coincide con los planteamientos de Arias et al. (2008), quienes afirmaron que las personas enfocadas en su desarrollo personal tratan de equilibrar los diferentes aspectos de su vida, entre los que se encuentra su parte laboral y su relacionamiento con los demás.
Análisis de sensibilidad para el índice SROI del acompañamiento ambiental
El SROIAcA fue de 2,80±0,44 (Aguilar et al., 2022b) y en su análisis de sensibilidad se observó una influencia clara de la variable relacionada con el inicio de prácticas de conservación de suelos (AcA13). El cambio AcA15 tuvo una baja sensibilidad. Sin embargo, evidenció una relación con el SROIAcA en tanto la protección de fuentes de agua asegura sistemas productivos sostenibles (Figura 5). Estas acciones, de acuerdo con Villarreal (2021), contribuyen en la reducción del riesgo al ambiente y a la salud pública, y aportan en la consolidación de una agricultura sustentable, garantizando niveles de producción adecuados en suelos fértiles y con disponibilidad de agua.

Análisis de sensibilidad para el índice SROI del acompañamiento familiar
El SROIAcF fue de 2,88±1,13 (Aguilar et al., 2022b) y los resultados del análisis de sensibilidad no arrojaron una influencia significativa de sus variables. Sin embargo, se identificó que aquellas que tuvieron mayor relación con el índice estuvieron vinculadas con el relevo generacional, específicamente con el establecimiento de consensos informales (AcF4) y la ejecución de un protocolo de sucesión, que incorporó la designación de una porción del predio o de la gestión del cultivo (AcF7) (Figura 6). Lo anterior permitió comprobar que en la actualidad sigue siendo determinante el uso de la mano de obra familiar dentro de los sistemas productivos, lo que Landini (2011) denominó como el “principio organizador de la economía campesina”.

Los procesos de relevo generacional guardan una relación estrecha con la comunicación familiar (AcF15) que, de acuerdo con Rivadeneira y López (2017), permite comprender el funcionamiento y el clima familiar. Los espacios en donde esta es armoniosa, se constituyen como lugares que potencializan las condiciones apropiadas para el desarrollo autónomo de los integrantes de la familia durante sus trayectorias de vida, al tiempo que promueven la consolidación de proyectos de vida conjuntos que facilitan la gestión y sostenimiento de los sistemas productivos.
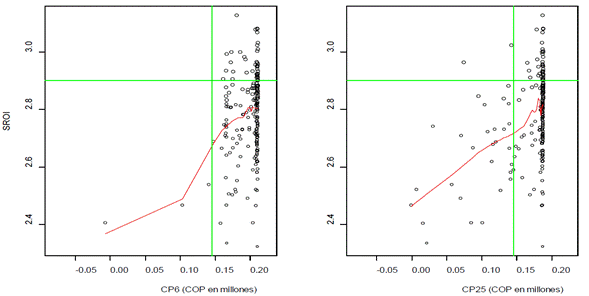
Análisis de sensibilidad para el índice SROI de las capacitaciones
El SROICP fue de 2,73±0,43 (Aguilar et al., 2022b) y en su análisis se identificó una sensibilidad moderada de sus variables, en comparación con los resultados anteriores para PD, AcT, AcE y AcA. En este caso, los aspectos más influyentes fueron los cambios CP6, y CP25, correspondientes a la definición de actividades y procesos para alcanzar la finca soñada y la comprensión del proceso de elaboración de una matriz Dofa, respectivamente (Figura 7).

El cambio CP6 está vinculado con el diseño de planes de finca, los cuales, de acuerdo con Machado et al. (2010), facilitan la planeación de estrategias para el crecimiento productivo y económico a partir del uso eficiente de recursos económicos, humanos y naturales, entre otros. Por su parte, la matriz Dofa, según Romero (2022), puede emplearse no solo en el ámbito productivo sino también en actividades para el autoconocimiento y autorreflexión individual.
Análisis de sensibilidad para el índice SROI del Modelo Antropogógico de Extensión Agropecuaria
El SROIMAEA fue de 10,27±8,17 (Aguilar et al., 2022b) y los resultados del análisis de sensibilidad permitieron identificar una influencia significativa de las variables MAEA6 y MAEA2 (Figura 8). Ambos cambios tuvieron la misma valoración monetaria (Aguilar et al., 2022b) y con estos resultados se verificó que la variable MAEA6, que incluye a MAEA2 y esta a MAEA1, valida la relevancia de la relación teoría-práctica n los procesos de enseñanza-aprendizaje, en la medida en que MAEA1 representa la definición del modelo en términos teóricos y metodológicos, mientras que MAEA2 agrupa su puesta en marcha en los territorios intervenidos. Esta integración se hace indispensable en estos procesos ya que, de acuerdo con Álvarez (2012), la teoría y la práctica requieren de una interrelación continua que, al dejarse de lado, puede constituirse como uno de los principales problemas en la apropiación de conocimientos por parte de los sujetos.

Conclusiones
Con este ejercicio se logró establecer e implementar un procedimiento gráfico para el análisis de sensibilidad de los índices SROI. Esto se constituye como un aporte relevante dentro de los análisis de valoración de impacto social, pudiéndose ejecutar en nuevas investigaciones sobre este tema.
Los cambios con mayor influencia dentro del SROI de los LT están relacionados con el incremento de los ingresos, la satisfacción de necesidades básicas, el relevo generacional, la conservación de suelos, la planificación de la finca y la implementación del MAEA.
Se identificaron vínculos entre la mayoría de los cambios de los cambios más sensibles, lo que valida la trascendencia de intervenciones integrales que apoyen aspectos técnicos, económicos, sociales, ambientales y familiares.
Para futuros estudios en esta temática se recomienda incorporar asignaciones monetarias construidas a partir de la aplicación de la técnica de la disposición a pagar, que permite identificar la valoración subjetiva de las familias frente a los cambios analizados, con el propósito de fortalecer los procesos participativos de las comunidades en los ejercicios investigativos 23.
Referencias
Aguilar, V., Guacaneme, C., Rodríguez-Espinosa, H., y Cerón-Muñoz, M. (2022a). El retorno social de la inversión (SROI) en los Laboratorios Territoriales de Necoclí y Caucasia. En Experiencias Multirreferenciales de Innovación en la Facultad de Ciencias Agrarias de la Universidad de Antioquia. Fondo Editorial Biogénesis. (Aceptado para publicación en noviembre de 2022).
Aguilar, V., Guacaneme, C., Rodríguez-Espinosa, H., y Cerón-Muñoz, M. (2022b). Retorno Social de la Inversión: una apuesta de los Laboratorios Territoriales de la Universidad de Antioquia para la medición de impacto en familias productoras de cacao. (Aceptado para publicación en noviembre de 2022).
Aguilar-Agudo, A., Herruzo-Cabrera, J., Ochoa-Sepúlveda, J., y Pino-Osuna, M. J. (2019). Retorno social de la inversión (SROI) en tratamientos psicológicos basados en la evidencia. Clínica y Salud, 30(1), 13-20. https://journals.copmadrid.org/clysa/archivos/1130_5274_clinsa_30_1_0013.pdf
Álvarez, C. (2012). La relación teoría-práctica en los procesos de enseñanza-aprendizaje. Educatio Siglo XXI, 30(2), 383-402. https://revistas.um.es/educatio/article/view/160871/140871
Andrade, A. (2013). El análisis de sensibilidad en Excel. Contadores y Empresas, 216. https://repositorioacademico.upc.edu.pe/bitstream/handle/10757/605928/Art%c3%adculo%202%c2%b0%20Octubre%202013%20El%20an%c3%a1lisis%20de%20Sensibilidad%20en%20Excel.pdf?sequence=1&isAllowed=y
Aparisi-Cerdá, I., Ribó-Pérez, D., y Gómez-Navarro, T. (2021). Planificación de distritos de energía positiva en frentes marítimos urbanos del Mediterráneo. International Conference Sustainable Construction and Demolition. https://www.researchgate.net/profile/Tomas-GomezNavarro/publication/356998772_Planificacion_de_distritos_de_energia_positiva_en_Frentes_Maritimos_Urbanos_del_Mediterraneos/links/61b7726a1d88475981e8956f/Planificacion-de-distritos-de-energia-positiva-en-FrentesMaritimos-Urbanos-del-Mediterraneos.pdf
Ardila, J. (2010). Extensión rural para el desarrollo de la agricultura y la seguridad alimentaria: aspectos conceptuales, situación y una visión de futuro. Instituto Interamericano de Cooperación para la Agricultura (IICA). https://repositorio.iica.int/handle/11324/19501
Arias, L., Portilla de Arias, L., y Villa, C. (2008). El desarrollo personal en el proceso de crecimiento individual. Scientia et technica, 3(40), 117-119. https://www.redalyc.org/pdf/849/84920454022.pdf
Corredor, E., Páez, E., y Fonseca, J. (2020). Extensión rural para la agricultura familiar campesina. Libros Universidad Nacional Abierta y a Distancia, 36-88. https://hemeroteca.unad.edu.co/index.php/book/article/view/4003/3999
Courtney, P., y Powell, J. (2020). Evaluating innovation in European rural development programmes: application of the social return on investment (SROI) method. Sustainability, 12(7), 2657. https://www.mdpi.com/2071-1050/12/7/2657/htm
Delgado-Vélez, L. (2021). Desarrollo de un modelo de planeación financiera para una compañía de alimentos utilizando simulación Monte Carlo. Entramado, 17(2), 24-40. http://www.scielo.org.co/pdf/entra/v17n2/2539-0279-entra-17-02-24.pdf
Durán, D. (1996). Interpretación Económica del Análisis de Sensibilidad. Escola Universitària D’estudis Empresarials. Universitat de Barcelona. http://diposit.ub.edu/dspace/bitstream/2445/13162/1/Interpretaci%c3%b3n%20econ%c3%b3mica%20del%20an%c3%a1lisis%20de%20sensibilidad.pdf
Faber, I. (2021). Rmetalog: The Metalog Distribution. https://cran.r-project.org/web/packages/rmetalog/index.html
Fedecacao, Sistema General de Regalías, y Gobernación de Antioquia. (2015). Guía técnica para el cultivo de cacao. Sexta versión. https://es.scribd.com/document/401136726/FEDECACAO-GUIA-TECNICA-2015-BAJA-9-pdf
Fundación DAU. (2014). Análisis del retorno social de la inversión en Laboratorio DAU mediante la aplicación de la metodología SROI (Retorno Social de las Inversiones). https://docplayer.es/71662137-Analisis-del-retorno-social-de-la-inversion-en-laboratorio-dau-mediante-la-aplicacion-de-la-metodologia-sroi-retorno-social-de-las-inversiones.html
Gargani, J. (2017). The leap from ROI to SROI: Farther than expected? Evaluation and program planning, 64, 116-126. https://reader.elsevier.com/reader/sd/pii/S0149718917300071?token=2A0216C3422EAF8912C4E348B69F0067A79D3E59B9C0D05E1AD-1F36382D0CD03EAE6113846D3F4436C4E759C96C05764&ori-ginRegion=us-east-1&originCreation=20220520173119
González, I. (2007). Ley de Pareto: 80/20. La Ley de Pareto y su aplicación en el ámbito empresarial. Determinación de los intervalos. http://jggomez.eu/K%20Informatica/3%20Excel/03%20Mis%20Temas/B%20BD%20y%20TD/TD%20III%20Pareto%20e%20Intervalos.pdf
Guacaneme-Barrera, C., Zapata-Zapata, N., Rodríguez, H., Medina-Sierra, M., y Cerón-Muñoz, M. (2022). Laboratorios Territoriales como experiencia innovadora en el acompañamiento técnico, económico y social a familias productoras de cacao. Innovación en la investigación agropecuaria. Fondo Editorial Biogénesis. https://revistas.udea.edu.co/index.php/biogenesis/article/view/349675
Hasegawa, M. (2010). Análisis de sensibilidad en modelos de equilibrio general aplicado: una evaluación de alternativa del impacto de políticas sobre las regiones de Chile. Documentos de Trabajo en Economía -UCN-. Universidad Católica del Norte, Chile. https://ideas.repec.org/p/cat/dtecon/dt201006.html
Keelin, T. (2016). The Metalog Distributions. Decision Analysis 13(4):243-277. https://pubsonline.informs.org/doi/epdf/10.1287/deca.2016.0338
Keelin, T. (2019). Knowledge content library the metalog distributions: flexible, easy-to-use, probability distributions for use in decision analysis, modelling, simulation, and learning from empirical data. Society of Decision Professionals. https://www.decisionprofessionals.com/articles/The-Metalog-Distributions.
Landini, F. (2011). Racionalidad económica campesina. Mundo agrario, 12(23). Universidad Nacional de La Plata. Facultad de Humanidades y Ciencias de la Educación. Centro de Historia Argentina y Americana. https://www.mundoagrario.unlp.edu.ar/article/view/v12n23a14/194
Lazkano, L. y San-José, L. (2019). Monetización del valor social: el caso Clade. Gizarte Ekonomiaren Euskal Aldizkaria-Revista Vasca de Economía Social, (16), 103-127. https://www.geaccounting.org/wp-content/uploads/2020/05/2019-Lazcano-SanJose-Caso-Clade.pdf
Ley 1876 de 2017. (29/12/2017). Congreso de Colombia. Por medio de la cual se crea el sistema nacional de innovación agropecuaria y se dictan otras disposiciones. http://es.presidencia.gov.co/normativa/normativa/LEY%201876%20DEL%2029%20DE%20DICIEMBRE%20DE%202017.pdf
Ley, N., Pérez, O., y Zuorro, A. (2021). Procedimiento para la formulación de oportunidades de negocios. Estudios de casos en la industria, de Villa Clara, Cuba. Revista Universidad y Sociedad, 13(5), 319-329. https://rus.ucf.edu.cu/index.php/rus/article/view/2238/2212
Lopera, E., Guacaneme, C., Rodríguez, H. y Cerón-Muñoz, M. (2022). Análisis de referentes teóricos de un modelo antropogógico de extensión agropecuaria con enfoque social constructivista. Innovación en la investigación agropecuaria. Fondo Editorial Biogénesis. https://revistas.udea.edu.co/index.php/biogenesis/article/view/349674
Machado, H., Miranda, T., Bover, K., Oropes, K., Suset, A., y Lezcano, J. C. (2015). La planificación en la finca campesina, una herramienta para el desarrollo de la agricultura sostenible. Pastos y Forrajes, 38(3), 195-201. http://scielo.sld.cu/pdf/pyf/v38n3/pyf07315.pdf
Maslow, A. (1943). A theory of human motivation. Psychological Review, 50(4), 370-396. https://doi.org/10.1037/h0054346
Maslow, A. (1975). Motivation and personality. Harper & Row.
Mateus, V. y Reyes, D. (2018). Diagnóstico de la producción y comercialización de los productores de Cacao asociados a la Federación Nacional de Cacaoteros (FEDECACAO) en el municipio de Lebrija Santander. (Tesis de maestría, Universidad Nacional Abierta y a Distancia, UNAD). https://repository.unad.edu.co/bitstream/handle/10596/18600/91255882.pdf?sequence=1&isAllowed=y
Molina, H. (2000). Análisis del riesgo y decisiones de inversión: el análisis de sensibilidad. Gestión en el Tercer Milenio, 3(6), 39-44. https://revistasinvestigacion.unmsm.edu.pe/index.php/administrativas/article/view/10009/9211
Mora, F. (2013). Factores determinantes en los ingresos de campesinos productores agropecuarios-caso municipio de Chipaque (Cundinamarca), periodo 1960-2010 (Tesis de maestría, Universidad de los Andes). https://repositorio.uniandes.edu.co/bitstream/handle/1992/12198/u671079.pdf?sequence=1
Nicholls, J., Lawlor, E., Neitzert, E. y Goodspeed T. (2012). A guide to Social Return on Investment. http://www.socialvaluelab.org.uk/wp-content/uploads/2016/09/SROI-a-guide-to-social-return-on-investment.pdf
Oliveros, D. (2021). Inclusión de costos ambientales y de cierre de mina en el planeamiento minero estratégico de un depósito carbonífero. (Tesis de maestría). Universidad Nacional de Colombia. https://repositorio.unal.edu.co/bitstream/handle/unal/81976/1037645473.2022.pdf?sequence=3&isAllowed=y
Osorio, J. C. (2017). Monetización del bienestar por el consumo de agua potable: enfoque de valoración contingente. Revista Caribeña de Ciencias Sociales. https://ideas.repec.org/a/erv/rccsrc/y2017i2017_0407.html
Peña, P., Marlés, C., y Valera, O. (2022). La planeación por escenarios como herramienta para la construcción de paz en el Caquetá. Revista Científica General José María Córdova, 20(37), 44-67. http://www.scielo.org.co/pdf/recig/v20n37/2500-7645recig-20-37-44.pdf
R-Core Team. (2021). R: A language and environment for statistical computing. R Project for Statistical Computing. Retrieved from http://www.r-project.org
Retolaza, J., Ruiz-Roqueñi, M., San-Jose, L., y Barrutia, J. (2014). Cuantificación del valor social: propuesta metodológica y aplicación al caso de Lantegi Batuak. Zerbitzuan: Gizarte zerbitzuetarako aldizkaria. Revista de servicios sociales, (55), 17-33. http://riberdis.cedd.net/bitstream/handle/11181/4230/Cuantificaci%c3%b3n%20del%20valor%20social.pdf?sequence=1&rd=0031755109343461
Rivadeneira, J., y López, M. (2017). Escala de comunicación familiar: validación en población adulta chilena. Acta Colombiana de Psicología. 20(2), 116-126. https://actacolombianapsicologia.ucatolica.edu.co/article/view/1139/esp
Rodríguez-Espinosa, H., Ramírez-Gómez, CJ., Restrepo-Betancur, LF. (2016). Nuevas tendencias de la extensión rural para el desarrollo de capacidades de autogestión. Corpoica Cienc Tecnol Agropecuaria. 17(1):31-42. http://revistacta.agrosavia.co/index.php/revista/article/view/457/372
Romero, N. (2022). Autoconocimiento, autorreflexión e introspección: matriz DOFA personal y académica. El desafío de la Transformación Cualitativa en la Educación Universitaria: Plan Especial Todo más Tesis. Ediciones DP.
Ruiz-Lozano, M., Tirado-Valencia, P., Sianes, A., Ariza-Montes, A., Fernández-Rodríguez, V., y López-Martín, M. (2020). SROI methodology for public administration decisions about financing with social criteria. A case of study. Sustainability, 12(3), 1070. https://www.mdpi.com/2071-1050/12/3/1070/htm
Social Value International SVI. (2019). Standard on applying Principle 3: Value the things that matter. Subcomité Metodológico (MSC) de Valor Social Internacional (SVI). http://www.socialvalueuk.org/wp-content/uploads/2019/12/Standard-onapplying-Principle-3-Value-the-Things-that-Matter-FINAL.pdf
Tulla, A. F., Vera, A., Guirado, C., y Valldeperas, N. (2020). The return on investment in social farming: a strategy for sustainable rural development in rural Catalonia. Sustainability, 12 (11), 4632. https://www.mdpi.com/2071-1050/12/11/4632/htm
Villarreal, A. (2021). Importancia del manejo de suelos en la sostenibilidad agrícola. Revista Semilla del Este, 2(1), 28-39. https://revistas.up.ac.pa/index.php/semilla_este/article/view/2463/2249
Vivallo, A. (2017). Formulación y evaluación de proyectos. Manual para estudiantes. https://economicas.unsa.edu.ar/afinan/informacion_general/book/ebooks/manual-evalua-proy.pdf
Notas
Notas de autor
* Autor de correspondencia: Vanessa Aguilar-Marín, email: vanessa.aguilar@udea.edu.co