TEJIDOS ALTERNATIVOS AL FOLIAR PARA EVALUAR LA RESPUESTA A LA FERTILIZACIÓN CON ZN O B EN AGUACATE HASS
TISSUES ALTERNATIVE TO LEAF TO ASSESS THE RESPONSE TO FERTILIZATION WITH ZN OR B IN HASS AVOCADO
TEJIDOS ALTERNATIVOS AL FOLIAR PARA EVALUAR LA RESPUESTA A LA FERTILIZACIÓN CON ZN O B EN AGUACATE HASS
Revista Fitotecnia Mexicana, vol. 39, núm. 3, pp. 247-252, 2016
Sociedad Mexicana de Fitogenética, A.C.
Resumen: Las deficiencias de zinc (Zn) o boro (B) en frutos y hojas de aguacate (Persea americana Mill.) cv. Hass son comunes en la región productora del estado de Nayarit, México. El seguimiento de la concentración foliar de estos micronutrimentos en respuesta a la fertilización no siempre proporciona un diagnóstico adecuado. El objetivo de esta investigación fue evaluar el efecto de la fertilización al suelo con Zn o B sobre la concentración de estos nutrimentos en el tejido de diferentes estructuras de la planta de aguacate Hass. El estudio se realizó en un huerto comercial de Hass cultivado sin riego en clima semicálido subhúmedo de Tepic, Nayarit. Los tratamientos fueron aplicados al suelo, anualmente del año 2001 al 2005, durante la estación lluviosa (julio y septiembre) y fueron (g por árbol por año): (T-1) dos aplicaciones de 750 g ZnSO4 (35.5 % Zn); (T-2) dos aplicaciones de 29.5 g Boronat® (32 % B); (T-3) testigo, sin aplicación de Zn o B. Los tejidos muestreados fueron: inflorescencias en estado “coliflor”, inflorescencia completa en antesis, flores en antesis, raquis de la inflorescencia en antesis, pedúnculo + pedicelo del fruto en madurez fisiológica, pulpa del fruto y hojas del flujo vegetativo de invierno de seis meses de edad. Los tejidos que mejor reflejaron la respuesta a la fertilización con Zn fueron el raquis de inflorescencias en antesis y la pulpa del fruto en madurez fisiológica. En el caso del B lo fueron las inflorescencias completas en antesis y el pedúnculo + pedicelo del fruto en madurez fisiológica.
Palabras clave: Persea americana, nutrición, fenología, pulpa, pedúnculo, floración.
Abstract: Symptoms of zinc (Zn) or boron (B) deficiencies in fruit and leaves are common in the Hass avocado (Persea americana Mill.) producing region AT the State of Nayarit, México. Monitoring foliar concentrations of these micronutrients in response to fertilization does not always provide an accurate diagnosis. This research evaluated the effect of soil fertilization with Zn or B on the concentration of these nutrients in the tissue of different plant structures of Hass avocado. The study was conducted in a commercial Hass avocado orchard grown without irrigation under the sub-humid semi-warm climate of Tepic, Nayarit. Treatments were applied to the soil during the 2001 to 2005 rainy seasons (July and September) and consisted of (g per tree per year): (T-1) two applications of 750 g ZnSO4 (35.5 % Zn); (T-2) two applications of 29.5 g Boronat® (32 % B); and (T-3) control without Zn or B applications. Sampled tissues were floral buds at “cauliflower” stage, complete inflorescences at anthesis, flowers at anthesis, rachis of inflorescences at anthesis, fruit peduncle + pedicel at physiological maturity, fruit pulp, and 6-month old leaves from the winter vegetative flush. Tissues that showed the best response to fertilization with Zn were the rachis of inflorescences at anthesis and the fruit pulp at physiological maturity. For B, the best tissues were complete inflorescences at anthesis and the peduncle + pedicel of fruit at physiological maturity.
Keywords: nutrition, phenology, pulp, peduncle, flowering.
INTRODUCCIÓN
Debido a que en ocasiones no existe buena relación entre las dosis de los nutrientes aplicados a la planta y su contenido foliar, diversas investigaciones se han enfocado en buscar tejidos vegetales alternativos al foliar para el diagnóstico nutrimental. Razeto y Salgado (2004) encontraron que el pedúnculo del fruto de aguacate (Persea americana Mill.) cv. Hass fue el mejor indicador de respuesta a la fertilización con nitrógeno. En el caso del boro, Razeto y Castro (2006) encontraron que el tejido de la inflorescencia fue el más adecuado para diagnosticar este nutrimento. Posteriormente, Razeto y Castro (2007) concluyeron que el mejor diagnóstico se obtuvo en los tejidos del pedúnculo y la pulpa del fruto.
En los suelos de la región productora de aguacate Hass en Nayarit las deficiencias de zinc (Zn) y boro (B) son comunes (Salazar-García y Lazcano-Ferrat, 1999) y falta información con relación a la respuesta a la fertilización para ambos nutrimentos. El objetivo de esta investigación fue evaluar el efecto de la fertilización al suelo con zinc o boro en el contenido de estos nutrimentos en los tejidos de diferentes órganos del aguacate Hass.
MATERIALES Y MÉTODOS
Características del sitio de estudio
El estudio se realizó en un huerto comercial del cv. Hass ubicado en Platanitos, municipio de Tepic, Nayarit (21º 31.6’ N, 105º 02.9’ N a 931 msnm), cultivado sin riego y con precipitación media anual de 1225 mm distribuida de junio a septiembre. Los árboles tenían 10 años de edad, estaban establecidos a 8 x 8 m en arreglo topológico de marco real con un área de sombreo de la copa de 12.6 m2 y mostraban síntomas visuales de deficiencias de Zn y B. La deficiencia de Zn se identificó por un moteado intervenal en hoja y presencia de fruto pequeño y redondo. En el caso del B la deficiencia consiste en regiones corrugadas y corchosas entre las nervaduras de las hojas jóvenes, producción de brotes pequeños, corteza del tronco rugosa y agrietada, clorosis y defoliación, así como frutos con malformaciones (Salazar-García, 2002).
El contenido de Zn en el suelo fue determinado con el método DTPA (Lindsay y Norvell, 1978). En el caso del B, se usó el método de agua caliente y Azometina-H (Bingham, 1982). Ambos nutrientes fueron clasificados como “nivel bajo” a las profundidades de 0 a 30 cm (1.4 y 1.6 mg kg-1, respectivamente) y 31 a 60 cm (1.08 y 1.12 mg kg-1, respectivamente). La textura del suelo varió de franca a migajón arcillo arenosa, con pH (1:2 agua) de 5.8.
Tratamientos de fertilización y diseño experimental
Fueron aplicados al suelo anualmente del 2001 al 2005 durante la estación lluviosa (julio y septiembre), y calculados de acuerdo con lo mencionado por Salazar-García (2002). Los tratamientos (g por árbol por año) fueron: (T-1) dos aplicaciones de 750 g de ZnSO4 (35.5 % Zn); (T-2) dos aplicaciones de 29.5 g de Boronat® (32 % B); (T-3) testigo, sin aplicación de Zn o B. Adicionalmente, todos los árboles recibieron la fertilización recomendada por Salazar-García et al. (2008) basada en 5.6 kg de sulfato de amonio (20.5 % N), 0.5 kg de urea (46 % N) y 4.2 kg de sulfato de potasio (50 % K2O). Se empleó un diseño experimental completamente al azar con diferente número de repeticiones dependiendo del tejido vegetal. Cinco repeticiones para pedúnculo + pedicelo del fruto, flores en antesis y hojas; cuatro repeticiones para raquis de inflorescencias en antesis, inflorescencias completas en antesis y pulpa del fruto; tres repeticiones para inflorescencias en estado coliflor. La unidad experimental consistió de un árbol individual.
Variables de respuesta
El efecto de los tratamientos en la concentración de Zn y B fue determinado en los siguientes órganos y sus tejidos, según las fechas de muestreo (Figura 1): inflorescencia completa en antesis, 21 de marzo de 2004; pedúnculo + pedicelo y pulpa del fruto en madurez fisiológica (≥ 21.5 materia seca de la pulpa), 9 de octubre de 2004; inflorescencias en estado “coliflor”, 22 de enero de 2005; raquis de la inflorescencia en antesis y flores en antesis, 13 de febrero de 2005; y hojas de seis meses de edad del flujo vegetativo de invierno, 31 de agosto de 2005.

La extracción del B y Zn en la materia seca se realizó mediante digestión húmeda con ácido perclórico y nítrico (Jones y Case, 1990). El contenido de ambos nutrimentos fue determinado mediante absorción atómica con un espectrómetro Serie M (Thermo Electron Corporation®, USA).
RESULTADOS Y DISCUSIÓN
Efecto de la fertilización con zinc
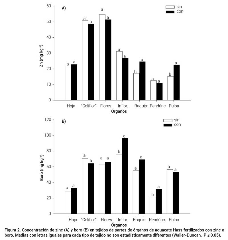
La comparación de la concentración de Zn en los tejidos de las estructuras procedentes de árboles de aguacate Hass que recibieron Zn durante 3 a 4 años sólo mostró diferencias para raquis y pulpa de fruto (Figura 2A). En ambos tejidos, las dos aplicaciones al año de 0.750 kg de ZnSO4 por árbol presentaron concentraciones más altas de Zn (24.6 y 22.6 mg kg-1, respectivamente) que el testigo (17.1 y 15.2 mg kg-1, respectivamente). Lo anterior permitirá hacer diagnósticos con base en el raquis de la inflorescencia, y hacer las correcciones necesarias en el suministro de Zn de forma temprana para favorecer el crecimiento y desarrollo del fruto.

En el caso de la pulpa del fruto se puede conocer el estatus del Zn en la cosecha y, de ser necesario, programar acciones correctivas con anticipación al nuevo ciclo productivo. Vorster y Bezuidenhout (1998) encontraron de 16 a 17 mg kg-1 de Zn en pulpa sana de frutos de Hass. Por su parte, Salazar-García et al. (2011) encontraron una concentración de 18.1 mg kg-1 de Zn en pulpa de frutos de Hass cosechados de huertos sin riego. Estos valores son más bajos que los de los frutos tratados con Zn; pero, son similares a las concentraciones encontradas en frutos del tratamiento testigo.
Efecto de la fertilización con boro
De manera similar a los tratamientos con zinc, la respuesta a la fertilización con B se reflejó de manera distinta en los tejidos de las estructuras analizadas (Figura 2B). Sólo hubo diferencias entre tratamientos para la inflorescencia completa y el pedúnculo + pedicelo del fruto. En ambos casos, dos aplicaciones al año de 29.5 g Boronat® por árbol fueron superiores con respecto al testigo. La concentración de B en la inflorescencia completa fue de 96.3 mg kg-1 y en el pedúnculo + pedicelo de 31.4 mg kg-1, comparado con el testigo, que en los mismos tejidos presentó 75.3 y 21.5 mg kg-1, respectivamente. Al igual que en Zn, ambos resultados permitirán realizar diagnósticos tanto en antesis como en la cosecha del fruto. Razeto y Castro (2007) determinaron que el análisis del pedúnculo y pulpa del fruto fueron los mejores indicadores de la concentración de B; sin embargo, en el estudio aquí presentado la pulpa del fruto no fue un indicador adecuado.
La concentración foliar de Zn y B no presentó diferencias entre árboles tratados y los testigos. Estos resultados refuerzan la importancia de buscar órganos o tejidos alternativos al foliar como herramienta para el diagnóstico nutrimental del aguacate Hass. Como en la presente investigación los árboles habían sido fertilizados con zinc por 3 a 4 años, es posible emplear las concentraciones promedio de Zn en el raquis (24.6 mg kg-1) y la pulpa del fruto (22.6 mg kg-1) como indicadores de árboles bien abastecidos con Zn. Los mismo pudiera aplicar para el caso del boro, cuyas concentraciones en la inflorescencia completa (96.3 mg kg-1) y el pedúnculo + pedicelo del fruto (31.4 mg kg-1) pudieran ser empleados como valores de referencia para boro.
Diferencias entre tejidos analizados ante la fertilización con zinc
Los tejidos de las estructuras vegetativas y reproductivas analizados mostraron diferencia en su concentración de Zn, en árboles tratados y no tratados (Cuadro 1). Los tejidos de las inflorescencias en estado coliflor y las flores en antesis procedentes de los árboles tratados con zinc, mostraron las más altas concentraciones de Zn (50.2 y 51.5 mg kg-1, respectivamente). Por su parte, la concentración más baja correspondió al pedúnculo + pedicelo del fruto en madurez fisiológica (11.0 mg kg-1).

Diferencias entre tejidos analizados ante la fertilización con boro
Para este nutrimento también se detectaron diferencias entre los tejidos de las estructuras analizadas, tanto de los árboles testigo como en los fertilizados con boro (Cuadro 2). Las inflorescencias completas en antesis colectadas de árboles fertilizados con boro mostraron la mayor concentración de este mineral (96.3 mg kg-1) y los niveles menores se registraron en el pedúnculo + pedicelo del fruto y las hojas (31.4 y 33.0 mg kg-1, respectivamente). De acuerdo con lo mencionado por Fregoni (1980), las flores son muy útiles para estudiar la deficiencia de este nutrimento en la vid (Vitis vinifera). Por otra parte, en pistacho (Pistacia vera) Brown (2001) encontró que el nivel de boro en las yemas aumentó proporcionalmente con la aplicación de diferentes dosis de boro al suelo.

CONCLUSIONES
En aguacate Hass, el seguimiento de la concentración foliar de zinc o boro en respuesta a la fertilización no siempre proporciona un diagnóstico adecuado. Los tejidos de las estructuras con mejor respuesta a la fertilización con Zn fueron el raquis de inflorescencias en antesis y la pulpa del fruto en madurez fisiológica. En el caso del B, la fertilización se reflejó mejor en las inflorescencias completas en antesis y el pedúnculo + pedicelo del fruto en madurez fisiológica.
AGRADECIMIENTOS
Se reconoce el financiamiento del Instituto Nacional de Investigaciones Forestales, Agrícolas y Pecuarias (INIFAP) y del Fondo Mixto Nayarit, así como el apoyo técnico de José González-Valdivia y Luis E. Cossio-Vargas.
BIBLIOGRAFÍA
Bingham F. T. (1982) Boron. In: Methods of Soil Analysis, Part 2. A. L. Page, R. H. Miller and D. R. Keeney (eds.). American Society of Agronomy and Soil Science Society of America. Madison, WI, USA. pp:431-446.
Brown P. H. (2001) Transient nutrient deficiencies and their impact on yield-a rationale for foliar fertilizers? Acta Horticulturae 564:217-223.
Fregoni M. (1980) Nutrizione e Fertilizzazione della Vite. Edagricole. Bologna, Italia. 418 p.
Jones J. B. and V. W. Case (1990) Sampling, handling and analyzing plant tissue samples In: Soil Testing and Plant Analysis. R. L. Westerman (ed.). Soil Science Society of America. Madison, WI, USA. pp:390-426.
Lindsay W. L. and W. A. Norvell (1978) Development of a DTPA soil test for zinc, iron, manganese, and copper. Soil Science Society of America Journal 42:421-428.
Razeto B. and J. Salgado (2004) The inflorescence and fruit peduncle as indicators of nitrogen status of the avocado tree. HortScience 39:1173-1174.
Razeto B. and M. J. Castro (2006) Diagnosis of boron status in avocado trees (Persea americana Mill.), using alternative tissues. Acta Horticulturae 721:291-294.
Razeto B. and M. J. Castro (2007) Fruit Analysis as a new approach to evaluate boron status in avocado. Journal of Plant Nutrition 30:881-885.
Salazar-García S. (2002) Nutrición del Aguacate, Principios y Aplicaciones. Instituto Nacional de Investigación Forestales, Agrícolas y Pecuarias, Instituto de la Potasa y el Fósforo (INPOFOS). Querétaro, Querétaro. México. 165 p.
Salazar-García S. y I. Lazcano-Ferrat (1999) Diagnóstico nutrimental del aguacate ‘Hass’ bajo condiciones de temporal. Revista Chapingo Serie Horticultura 5:173-184.
Salazar-García S., L. E. Cossio-Vargas e I. J. L. González-Durán (2008) Corrección de la deficiencia crónica de zinc en aguacate ‘Hass’. Revista Chapingo Serie Horticultura 14:153-159.
Salazar-García S., I. J. L. González-Durán y L. M. Tapia-Vargas (2011) Influencia del clima, humedad del suelo y época de floración sobre la biomasa y composición nutrimental de frutos de aguacate ‘Hass’ en Michoacán, México. Revista Chapingo Serie Horticultura 17:183-194.
Vorster L. L. and J. J. Bezuidenhout (1988) Does zinc play a role in reducing pulp spot? South African Avocado Growers’ Association Yearbook 11:60.
Notas de autor
salazar.samuel@inifap.gob.mx