TISSUE DISTRIBUTION OF TRANSCRIPTS INVOLVED IN BIOSYNTHESIS OF BENZYLISOQUINOLINE ALKALOID IN MATURE PLANTS OF Argemone mexicana L. (Papaveraceae)
DISTRIBUCIÓN TISULAR DE TRANSCRITOS INVOLUCRADOS EN LA BIOSÍNTESIS DE ALCALOIDES BENCILISOQUINOLÍNICOS EN PLANTAS MADURAS DE Argemone mexicana L. (Papaveraceae)
TISSUE DISTRIBUTION OF TRANSCRIPTS INVOLVED IN BIOSYNTHESIS OF BENZYLISOQUINOLINE ALKALOID IN MATURE PLANTS OF Argemone mexicana L. (Papaveraceae)
Revista Fitotecnia Mexicana, vol. 41, no. 1, pp. 13-21, 2018
Sociedad Mexicana de Fitogenética, A.C.
Received: 30 November 2016
Accepted: 25 October 2017
Abstract: The distribution of berberine and sanguinarine was analyzed in roots, stems and leaves of mature Argemone mexicana plants, along with that of transcripts corresponding to selected genes involved in both early biosynthetic reactions, which are common to both alkaloids, and in the late specific reactions conducting to the formation of each of them. Roots were the main sites of alkaloid accumulation, though they showed the lowest accumulation of the analyzed transcripts. Results are discussed in terms of the operation of a possible transport mechanism of alkaloids between the aerial tissues and the roots, or the occurrence of different biosynthetic alternative reactions in both parts, aerial and underground tissues, involving different gene products, yet with similar catalytic capacities.
Keywords: Argemonemexicana, benzylisoquinoline alkaloids, berberine, sanguinarine.
Resumen: La distribución de berberina y sanguinarina se analizó en raíces, tallos y hojas de plantas adultas de Argemone mexicana, junto con la de los transcritos correspondientes a genes seleccionados involucrados tanto en las reacciones biosintéticas iniciales, que son comunes para ambos alcaloides, como en las reacciones específicas finales que conducen a la formación de cada uno de ellos. Las raíces fueron los sitios de mayor acumulación de alcaloides a pesar de que mostraron la menor acumulación de los transcritos analizados. Estos resultados se discuten en función de la operación de un posible mecanismo de transporte de alcaloides entre los tejidos aéreos y las raíces o bien, de la ocurrencia de alternativas biosintéticas diferentes en tejidos de ambas partes, aéreos y subterráneos, con productos génicos diferentes pero con similares capacidades catalíticas.
Palabras clave: Argemone mexicana, alcaloides bencilisoquinolínicos, berberina, sanguinarina.
INTRODUCTION
The genus Argemone (Papaveraceae) comprises more than 25 species. Its center of distribution includes Southwestern USA and Northern Mexico (Schwarzbach and Kadereit, 1999). Several of those species are part of the native Mexican flora, but A. mexicana is the most successful and widely spread one. This plant, commonly known as chicalote or cardo in Mexico and as Mexican prickly poppy in the US, is considered a persistent and difficult to eradicate weed (Villaseñor y Espinosa, 1998). Nevertheless, it is also regarded as a medicinal plant, used since prior the arrival of Europeans to America (Rubio-Piña and Vázquez-Flota, 2013).
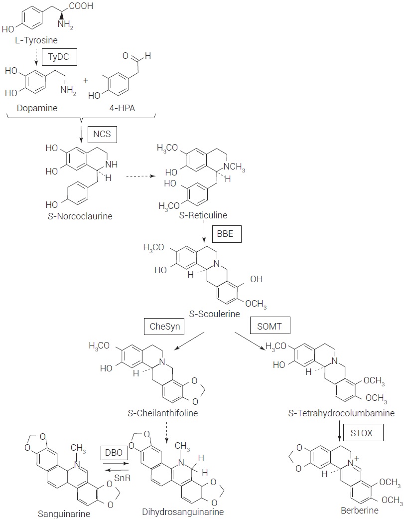
Furthermore, the plant has industrial application in the elaboration of environmentally-friendly agrochemicals (Hernández-Romero et al., 2005). The bioactivity of this plant is attributed to the presence of benzylisoquinoline alkaloids (BIA’s), which are distributed through the entire plant (Brahmachari et al., 2013). More than 30 BIA’s have been identified in A. mexicana; the most abundant ones correspond to sanguinarine and berberine, belonging to the benzophenanthridine- and protoberberine-types, respectively (Figure 1; Rubio-Piña and Vázquez-Flota, 2013). These alkaloids are distributed by following tissue-related patterns in mature plants. Sanguinarine is restricted to the roots and mature seeds, whereas berberine is found in both roots and aerial tissues (leaves and stems) (Rubio- Piña and Vázquez-Flota, 2013). Remarkably, the alkaloid distribution in this species changes according to the developmental stages. Sanguinarine is not found in mature plants but it is detected in leaves of young plantlets instead, while berberine is absent in the underground tissues of developing seedlings (Xool-Tamayo et al., 2017a).
In developing seedlings and young plantlets the sites of alkaloid accumulation differ from those displaying the transcriptional activity related to its synthesis, suggesting the operation of complex regulatory mechanisms, which could involve posttranscriptional controls, long distance transport or enzyme catalytic flexibility (Xool-Tamayo et al., 2017a, b). This aspect has not yet been explored in mature plants which simultaneously could accumulate higher amounts of both berberine and sanguinarine than developing tissues. Since the formation of these alkaloids shares a common set of early biosynthetic intermediaries, the identification of the actual sites involved in the process could reveal the mechanisms sorting them among the final products.

Several members of the Papaveraceae family produce sanguinarine and, in all cases, both synthesis and accumulation take place in roots (Hagel and Facchini, 2013). In contrast, berberine, which rarely occurs in Papaveraceae but commonly occurs in Berberidaceae and Ranunculaceae, can either remain into the same tissue where it is formed, as it happens in Thalictrum flavum (Samanani et al., 2005), or be exported to distantly located accumulation sites, as in Coptis japonica (Shitan et al., 2003). BIA synthesis requires two units of tyrosine, one of them is deaminated by the action of aromatic monoamine oxidase (MAO), while the other one is hydroxylated and decarboxylated, involving the participation of tyrosine decarboxylase (TyDC). The resulting products, 4-hydrophenylacetaldehyde (4-HPA) and L-3, 4-dihydroxyphenylalanine respectively, are condensed forming norcoclaurine by the action of norcoclaurine synthase (NCS), which after two O- and one N-methylations is converted into reticuline (Figure 1).
The formation of an intramolecular carbon-carbon bond between the N-methyl group and the phenolic ring of reticuline, catalyzed by the berberine bridge enzyme (BBE), produces S-scoulerine which is the last common intermediary for the synthesis of both berberine and sanguinarine (Figure 1). This compound is used either by the S-scoulerine O-methyltransferase (SOMT) for berberine synthesis, or by the S-cheilanthifoline synthase (CheSyn) for sanguinarine synthesis (Hagel and Facchini, 2013). The formation of a 2,3 methylenedioxy bridge (O-CH2-O), catalyzed by the tetrahydroprotoberberine oxidase (STOX) is the last step in berberine biosynthesis (Figure 1), whereas the formation of an additional 9,10 methylenedioxy bridge and further oxidation are required for sanguinarine synthesis (Figure 1).
Most biosynthetic genes have been isolated in different species and the corresponding orthologous genes have been identified in transcriptomic collections from A. mexicana stems, cell cultures and developing seedlings (Farrow et al., 2012; Gesell et al., 2011; Hagel et al., 2015; Xiao et al., 2013; Xool-Tamayo et al., 2017a). Moreover, in some cases heterologous expression has confirmed identity and functionality (Díaz et al., 2011). The aim of this study was to set an approach to establish the possible site of alkaloid formation in mature plants. We followed the transcript accumulation of genes participating at different stages of the biosynthetic process and compared them to those of the main alkaloids, sanguinarine and berberine. This analysis included genes involved in the common reactions required for the synthesis of both alkaloids, as well as those participating specifically in one or another branch (Figure 1).
MATERIALS AND METHODS
Plant material
Mature plants of A. mexicana displaying flowers and seed capsules were collected at the outskirts of Mérida, Mexico (20º 58’ N, 89º 37’ W) and taken to the lab where they were washed and dissected into leaves, stems and roots. Tissue samples were used for both alkaloid and nucleic acid analysis. Alkaloid analysis was performed on tissues collected at three different times, April 2012, May 2014 and April 2015, whereas transcripts were analyzed on plants from the last two collections.
Alkaloid extraction and quantitation
Tissues were freeze-dried, ground to a fine powder and used for alkaloid analysis. Alkaloids were extracted from 200 mg powdered tissues in 10 mL 0.5 % hydrochloric acid in methanol. For alkaloid identification, extracts were chromatographically separated on a Hypersil Gold™ C18 column (100 × 4.6 mm × 5 µm, Agilent Technologies) using a gradient of 95 % 10 mM ammonium acetate in acetonitrile pH 5.5 (A) in acetonitrile (B) created by a binary pump Agilent Series 1100 series controlled by the ChemStation 03.02 package. Chromatographic run started at 100 % A, reducing to 50 % in B (v/v) during the first 10 min, and then to 1 % in the up following 2 min, keeping it up for 1 min before returning to the initial condition, up to end of the analysis (total time 17.5 min).
Alkaloids were identified based on their positiveion electrospray ionization (ESI) mass spectra obtained using a Bruker Apex III ion resonance mass spectrophotometer (Bruker Daltonics Inc., Billerica, MA, USA) and comparing with reported values (Liscombe et al., 2009). Berberine, chelerythrine and sanguinarine were chromatographically quantified as described by Guízar-González et al. (2012) and Monforte-González et al. (2012).
Nucleic acid analysis
Total RNA was extracted from the same tissues used for alkaloid analysis (Rubio-Piña and Vázquez-Flota, 2008). Primers for TyDC (Acc. EU881888), NCS-1 and -2 (Acc. EU881891 and EU881893), BBE-1 and -2 (Acc. EU881889 and EU881890), SOMT (Acc. KT984756), STOX (HQ116698) and CheSyn (CYP719A14; EF451152) were designed based on A. mexicana sequences available (Gesell et al., 2011; Xiao et al., 2013) and using the primer BLAST software (Table 1). Sequence functional identities had previously been assigned after bioinformatic analysis (Xool-Tamayo et al., 2017a). A putative AmDBOX (UN11221) was retrieved from the seedling transcriptome (Xool-Tamayo et al., 2017a) using as query Papaver somniferum FADOX5 (Acc. UN108662; Hagel et al., 2012).
For real time quantitative PCR (qPCR), first strand cDNA was synthetized using the M-MLV Reverse Transcriptase (Invitrogen, Carlsbad, CA) according to manufacturer instructions and 500 µg µL-1 of oligo(dT) primer AP in a 20 µL reaction. The produced cDNA was diluted and stored at -80 ºC until analysis. Reactions were performed in a final 20 µL volume, containing 10 µL of the SYBR® Green Master Mix (Applied Biosystems, UK), 10 µM of each primer and 5 ng of the RT products. PCRs were performed using EcoTM Real Time PCR System (Illumina, San Diego, CA, USA) following a program of 35 cycles of 50 s at 95 ºC for DNA denaturation and 40 s at 60 ºC for primer alignment and amplification (Xool-Tamayo et al., 2017a). Previously, the reaction mix was heated during 3 min at 95 ºC for enzyme activation. The melting curve was one cycle at 95 to 55 ºC and 55 to 95 ºC for 15 s (the fluorescence data was collected every 0.3 ºC during melting). The cycle threshold value (Ct) for each PCR was calculated using EcoStudy software (Illumina, San Diego, CA, USA). Transcript relative abundance was quantified by the Ct method, using actin as a reference (Simon, 2003).
RESULTS
Based on their chromatographic characteristics and mass fragmentation patterns, main alkaloids in A. mexicana corresponded to berberine (Rt 8.20 min; 336 [M+H]+ m/z), sanguinarine (Rt 9.17 min; 332 [M+H]+ m/z), dihy-drosanguinarine (Rt 6.12 min; 334 [M+H]+ m/z), and chelerythrine (Rt 9.00 min; 348 [M+H]+ m/z). Combined, these alkaloids accounted for over 70 % of the total content. In addition, allocryptopine, protopine, canadine, columbanine and stylopine were also identified (Table 2). Alkaloids chelyrubine, N-methyl-stylopine and the biosynthetic intermediaries reticuline, methyl-coclaurine and scoulerine were also identified as minor components in the extracts.

F: forward; R: reverse.

A tissue-associated distribution was detected for the aforementioned alkaloids since benzophenanthridines (dihydrosanguinarine, chelerythrine, sanguinarine and stylo-pine), and protopines (allocryptopine and protopine), mainly occurred in roots, whereas protoberberines (berberine, canadine and columbamine) occurred in both aerial and underground parts (Table 2). Major alkaloids were quantified in leaves, stems and roots (Figure 2). Data shown correspond to the last plant collection, although similar results were obtained in all collected batches. Roots accumulated similar amounts of both berberine and sanguinarine (around 1.2 mg g DW-1), with lower amounts of chelerythrine. In aerial parts, only berberine was detected, where it was present in higher amounts than in roots (2.0 mg g DW-1) (Figure 2). Berberine in roots represented around 10 % in relation to the sanguinarine content, whereas chelerythrine, which is formed from dihydrosanguinarine (Figure 1), represented less than 5 % (Figure 2). In this way, roots from mature plants proved capable of accumulating alkaloids from the benzophenanthridine, protopine and protoberberine groups whereas aerial tissues only seem to have the capacity to accumulate protoberberine (Figure 2).
In order to assess the biosynthetic capacity of the A. mexicana tissues, the abundance of selected transcripts was estimated by qRT-PCR (Figure 3). Transcripts corresponding to genes involved in the early, common biosynthetic reactions (TyDC, NCS and BBE) were selected along with those participating specifically in either berberine (SOMT and STOX), or sanguinarine (CheSyn) synthesis (Figure 1). All the selected genes were expressed in the analyzed tissues; however, important differences in transcript relative abundances were noticed (Figure 3). Interestingly, even when roots showed the highest total alkaloid content (per dry matter unit; Figure 2), low transcript accumulation was observed for both genes involved in the early common biosynthetic reactions (TyDC, NCS and BBE) and likewise for those participating only in berberine synthesis (SOMT and STOX) (Figure 3). In contrast, CheSyn transcripts accumulated majorly in roots in comparison to the other organs (Figure 3). Stems and leaves showed similar levels of transcript accumulation in all cases, with the only exception for those corresponding to CheSyn, which were barely detectable in leaves, but accumulated at fair amounts in stems (Figure 3). It is interesting to notice that the two NCS and BBE isoforms were equally expressed in the analyzed tissues (Figure 3). In contrast to aerial tissues, roots displayed low gene expression associated to berberine synthesis (Figure 3).
The accumulation of CheSyn transcripts in stems is noteworthy (Figure 3) since no sanguinarine (nor other of the benzophenanthridine type alkaloids) was detected in aerial tissues (Figure 2). To further analyze the sanguinarine biosynthetic branch, DBO transcript accumulation was also included in this study (Figure 3). The putative AmDBO was previously retrieved from the A. mexicana seedling transcriptome (Xool-Tamayo et al., 2017b). Interestingly, the amounts of AmDBO transcript were similar in stems and roots (Figure 3), regardless the differences of sanguinarine content (Figure 2), supporting the participation of stems in the synthesis of this alkaloid.


DISCUSSION
In A. mexicana, genes coding for enzymes involved in the common reactions (TyDC, NCS and BBE) were expressed in all the analyzed tissues; however, they showed lower levels, yet higher alkaloid contents in roots than those in the aerial tissues (Figures 2 and 3). Moreover, no preferential expression of any of the NCS or BBE isoforms was noticed in any of the tissues (Figure 3), what suggests that both isoforms might function either as redundant or additive copies, rather than being associated to a differential tissuespecific expression. No differential expression of these isoforms had previously been noticed neither in developing A. mexicana seedlings when exposed to diverse conditions, nor in vitro cultures exposed to a set of chemical elicitors (Guízar-González et al., 2016; Xool-Tamayo et al., 2017a, b), which supports this interpretation.
Expression of the berberine-related SOMT and STOX genes (Figure 1) was found in leaves, stems and roots (Figure 3), coinciding with the presence of the alkaloid in the same tissues (Figure 2). However, as for the previous genes, lower expression was detected in roots, what suggests that some of the berberine accumulated in roots could have been mobilized from the aerial parts (Xool-Tamayo et al., 2017a). Interestingly, even when CheSyn transcripts accumulated at the highest levels in roots, matching with the amounts of sanguinarine, significant transcript levels were also noticed in stems (Figure 3), where no sanguinarine was detected (Figure 2); such findings point towards a possible participation of stems in sanguinarine synthesis. To confirm this, a candidate gene for DBO, the enzyme involved in the last reaction (Figure 1), was included in the analysis (Xool-Tamayo et al., 2017b). The corresponding transcripts accumulated mainly in stems (Figure 3), suggesting its possible participation and pointing towards the operation of a sanguinarine transport mechanism to roots.
Taken together, these data suggest that both the aerial and underground Argemone tissues are involved in the synthesis of its main alkaloids, regardless the site of final accumulation. Roots, displaying the major alkaloid accumulation, presented a lower transcriptional activity compared to stems and leaves (with the only exception of CheSyn). Moreover, stems could be involved in sanguinarine synthesis, where it does not accumulate. Although the operation of stem-to-root transport systems could account for these results, other alternatives must be considered.
Substrate flexibility has been recently described for some enzymes involved in the late reactions of BIA synthesis; for instance, a cytochrome P450 dependent oxidase (CYP719A13), could display both canadine- and stylopine-synthase activities (Díaz et al., 2011). The products of the catalyzed reactions, canadine and stylopine, are required for berberine and sanguinarine synthesis, respectively. Cheilanthifonine, the product of CheSyn, is the substrate for sylopine synthase activity (Figure 1), which is also required for the synthesis of allocryptoine and protopine. These alkaloids have been detected in extracts of aerial parts (Table 2;Díaz et al., 2011) suggesting that CheSyn in stems and leaves could be participating in their synthesis, rather than taking part in sanguinarine synthesis; nevertheless, it should be kept in mind that only low amounts were detected. Moreover, many FAD depending oxidases from P. somniferum (PsFADOX) accept as substrates different intermediaries involved in late reactions of benzophenanthridine synthesis (Hagel and Facchini, 2013). Possible orthologous genes have been recently reported in A. mexicana (Hagel et al., 2015), suggesting that alternative biosynthetic pathways involving the participation of gene products with similar catalytic properties could be operating in roots and aerial parts.
Finally, the operation of posttranscriptional mechanisms could also account for the discrepancies between transcript and alkaloid accumulation. Posttranscriptional controls have been pointed out as a common trend for plant specialized metabolism; however, it mainly operates as a negative modulator, down-adjusting the effects of an active gene expression (Pichersky and Lewinsohn, 2011). Interestingly, Argemone roots showed high sanguinarine amounts in presence of low biosynthetic related transcripts (Figures 2 and 3).
CONCLUSIONS
Alkaloid synthesis in A. mexicana plants seems to be a complex process, probably involving the participation of different tissues as well as multilevel regulatory mechanisms.
Acknowledgements
This study was supported by CONACYT (National Council for Science and Technology, Mexico), grant CB-2012- 0181800. JX-T and MV-O were recipients of CONACYT scholarships for PhD and MS studies, respectively and had additional support from CONACYT grant CB-2012- 0181800. JX-T was granted a UADY scholarship for PhD studies.YT-O was granted a research assistantship from National Researcher SNI 3. The authors wish to thank Dr. M. L. Miranda-Ham for the critical review of the manuscript.
BIBLIOGRAPHY
Brahmachari G., D. Gorai and R. Roy (2013) Argemone mexicana: chemical and pharmacological aspects. Brazilian Journal of Pharmacognosy 23:559-575.
Díaz C. M. L., M. Rolf, A. Gesell and T. M. Kutchan (2011) Characterization of two methylenedioxy bridge-forming cytochrome P450-dependent enzymes of alkaloid formation in the Mexican prickly poppy Argemone mexicana. Archives of Biochemistry and Biophysics 507:186-193.
Farrow S. C., J. M. Hagel and P. J. Facchini (2012) Transcript and metabolite profiling in cell cultures of 18 plant species that produce benzylisoquinoline alkaloids. Phytochemistry 77:79-88.
Gesell A., M. L. Díaz C., R. Kramell, M. Piotrowski, P. Macheroux and T. M. Kut- chan (2011) Heterologous expression of two FAD-dependent oxidases with (S)-tetrahydroprotoberberine oxidase activity from Argemone mexicana and Berberis wilsoniae in insect cells. Planta 233:1185-1197.
Guízar-González C., K. Trujillo-Villanueva, M. Monforte-González and F. Vázquez-Flota (2012) Sanguinarine and dihydrosanguinarine accumulation in Argemone mexicana (L) cell suspension cultures exposed to yeast extract. Journal of the Mexican Chemical Society 56:19-22.
Guízar-González C., M. Monforte-González and F. Vázquez-Flota (2016) Yeast extract induction of sanguinarine biosynthesis is partially dependent of the octadecanoic acid pathway in cell cultures of Argemone mexicana L., the Mexican poppy. Biotechnology Letters 38:1237-1242.
Hagel J. M., G. A. W. Beaudoin, E. Fossati, A. Ekins, V. J. J. Martin and P. J. Facchini (2012) Characterization of a flavoprotein oxidase from opium poppy catalyzing the final steps in sanguinarine and papaverine biosynthesis. The Journal of Biological Chemistry 287:42972-42983.
Hagel J. M. and P. J. Facchini (2013) Benzylisoquinoline alkaloid metabolism: a century of discovery and a brave new world. Plant and Cell Physiology 54:647-672.
Hagel J. M., J. S. Morris, E. J. Lee, I. Desgagné-Penix, C. D. Bross, L. Chang, X. Chen, S. C. Farrow, Y. Zhang, J. Soh, C. W. Sensen and P. J. Facchini (2015) Transcriptome analysis of 20 taxonomically related benzylisoquinoline alkaloid-producing plants. BMC Plant Biology 15:227. doi 10.1186/s12870-015-0596-0.
Hernández-Romero Y. M., C. M. Rodríguez-Narvaez and M. Saavedra-Aguilar (2005) Pesticide having an insecticide, acaricide and nematicide action based on isoquinoline alkaloids and flavonoids. Patent application US 20150216181 A1. U.S. Patent and Trademark Office. Alexandria, VA, USA. 7 p.
Liscombe D. K., J. Ziegler, J. Schmidt, C. Ammer, and P. J. Facchini (2009) Targeted metabolite and transcript profiling for elucidating enzyme function: isolation of novel N-methyltransferases from three benzylisoquinoline alkaloid-producing species. The Plant Journal 60:729-743.
Monforte-González M., C. Guízar-González, J. Rubio-Piña, M. Carrillo-Pech and F. Vázquez-Flota (2012) Berberine and sanguinarine quantitation in Argemone mexicana L. (Papaveraceae) tissues by TLC-in situ fluorography. Journal of Planar Chromatogrophy 25:358-360.
Pichersky E. and E. Lewinsohn (2011) Convergent evolution in plant specialized metabolism. Annual Review of Plant Biology 62:549- 566.
Rubio-Piña J. A. and F. A. Vázquez-Flota (2008) Isolation of functional total RNA from Argemone mexicana tissues. Electronic Journal Biotechnology 11:1-5, doi: 10.2225/ vol11-issue4-fulltext-13.
Rubio-Piña J. and F. Vázquez-Flota (2013) Pharmaceutical applications of the benzylisoquinoline alkaloids from Argemone mexicana L. Current Topics in Medicinal Chemistry 13:2200-2207.
Samanani N., S. U. Park and P. J. Facchini (2005) Cell type–specific localization of transcripts encoding nine consecutive enzymes involved in protoberberine alkaloid biosynthesis. The Plant Cell 17:915-926.
Schwarzbach A. E. and J. W. Kadereit (1999) Phylogeny of prickly poppies, Argemone (Papaveraceae), and the evolution of morphological and alkaloid characters based on ITS nrDNA sequence variation. Plant Systematics and Evolution 218:257-279.
Shitan N., I. Bazin, K. Dan, K. Obata, K. Kigawa, K. Ueda, F. Sato, C. Forestier and K. Yazaki (2003) Involvement of CjMDR1, a plant multidrugresistance-type ATP-binding cassette protein, in alkaloid transport in Coptis japonica. Proceedings of the National Academy of Sciences of the United States of America 100:751-756.
Simon P. (2003) Q-Gene: processing quantitative real-time RT–PCR data. Bioinformatics 19:1439-1440.
Villaseñor R. J. L. y F. J. Espinosa G. (1998) Catálogo de Malezas de México. Universidad Nacional Autónoma de México. Consejo Nacional Consultivo Fitosanitario. Fondo de Cultura Económica. México, D. F. 449 p.
Xiao M., Y. Zhang, X. Chen, E. J. Lee, C. J. S. Barber, R. Chakrabarty, I. Desgagné-Penix, T. M. Haslam, Y. B. Kim, E. Liu, G. MacNevin, S. Masada-Atsumi, D. W. Reed, J. M. Stout, P. Zerbe, Y. Zhang, J. Bohlmann, P. S. Covello, V. De Luca, J. E. Page, D. K. Ro, V. J. J. Martin, P. J. Facchini and C. W. Sensen (2013) Tanscriptome analysis based on next-generation sequencing of non-model plants producing specialized metabolites of biotechnological interest. Journal of Biotechnology 166:122-134.
Xool-Tamayo J. F., M. Monforte-González, J. Rubio-Piña, G. Mirón-López and F. Vázquez-Flota (2017a) Early developmental onset of alkaloid biosynthesis in Mexican poppy (Argemone mexicana L.) Papaveraceae. Phytochemistry Letters 20:300-305.
Xool-Tamayo J., G. Serrano-Gamboa, M. Monforte-González, G. Mirón-López and F. Vázquez-Flota (2017b) Development of newly sanguinarine biosynthetic capacity in in vitro rootless shoots of Argemone mexicana L. Mexican prickly poppy. Biotechnology Letters 39:323-330.
Additional information
ACKNOWLEDGMENTS: This study was supported by CONACYT (National Council for
Science and Technology, Mexico), grant CB-2012- 0181800. JX-T and MV-O were
recipients of CONACYT scholarships for PhD and MS studies, respectively and had
additional support from CONACYT grant CB-2012- 0181800. JX-T was granted a UADY scholarship for PhD studies.YT-O was granted a research
assistantship from National Researcher SNI 3. The authors wish to thank Dr. M. L. Miranda-Ham for the critical review of the manuscript.