Artículos científicos
Etiología y evaluación de alternativas de control de la marchitez del chile de árbol (Capsicum annuum L.) en La Vega de Metzitlán, Hidalgo, México
Etiología y evaluación de alternativas de control de la marchitez del chile de árbol (Capsicum annuum L.) en La Vega de Metzitlán, Hidalgo, México
Revista mexicana de fitopatología, vol. 33, núm. 1, pp. 31-53, 2015
Sociedad Mexicana de Fitopatología A.C.
Recepción: 20 Noviembre 2014
Aprobación: 13 Diciembre 2014
Resumen: La marchitez y muerte de plantas de chile de árbol en la Vega de Metztitlán, Hidalgo (VMH), está causando grandes pérdidas de rendimiento en la región. En el presente trabajo se determinó la etiología de esta enfermedad y se evaluaron alternativas de control de disponibilidad inmediata (resistencia de diez cultivares de chile de árbol y eficacia de productos químicos y biológicos disponibles en el mercado nacional), como un primer paso hacia el manejo integrado del problema. Aunque Fusarium oxysporum y Rhizoctonia solani fueron también aislados de plantas enfermas, sólo Phytophthora capsici reprodujo los síntomas de la enfermedad. Los cultivares CP 1261, CP 1264 y CP 1305 mostraron los mayores niveles de resistencia a la enfermedad. Aplicaciones recurrentes de me talaxil, fosetil aluminio o propamocarb, metalaxil alternado con fosetil aluminio o con propamocarb tuvieron un control total de la marchitez. El metam sodio aunque controló la enfermedad en la mayoría de los casos, resultó fitotóxico. De los biológicos, Baktillis (Bacillus subtilis) aplicado sólo o la combinación de Fus Out (Trichoderma harzianum) con Probac (Bacillus subtilis) redujeron la severidad de la enfermedad, pero no impidieron la infección por el patógeno.
Palabras clave: Resistencia, control químico, control biológico de Phytophthora capsici.
El chile de árbol (Capsicum annuum L) es una especie de reciente introducción en la Vega de Metztitlán, Hidalgo (VMH), donde es afectado por problemas de marchitez y muerte de plantas, cuya incidencia-severidad es cada vez más alta, al grado de causar pérdidas de rendimiento de hasta 100 %. A la fecha no se han publicado reportes sobre la etiología de esta enfermedad en la región ni sobre estrategias para su manejo. Los agricultores de la región utilizan indiscriminadamente productos químicos sugeridos por los comercializadores locales de plaguicidas; en la mayoría de los casos sin éxito y con el consecuente aumento en los costos de producción y pérdidas económicas que conducen al abandono del cultivo. La marchitez y muerte de plantas de chile generalmente está asociada con la infección radical por hongos de los géneros Pythium, Phytophthora, Rhizoctonia y Fusarium (Velásquez et al., 2001). Aunque se han probado alternativas de control cultural, genético, químico y biológico, el éxito en el manejo de la enfermedad es en general variable, dependiendo de las condiciones del cultivo, genotipos de cultivo, de los patógenos involucrados y características de los suelos, entre otros factores (Ristaino y Johnston, 1999; Granke et al., 2012), lo cual hace necesario definir medidas de control específicas para cada región. Una vez determinada la etiología de un problema fitosanitario, en tanto se diseña un programa integral de manejo se hace necesario recurrir a los recursos de control más fácilmente disponibles, para poder ofrecer alternativas inmediatas a los productores. La evaluación de la resistencia o tolerancia de genotipos del cultivo y de los productos químicos y biológicos comerciales autorizados disponibles en el mercado es generalmente el primer recurso de elección. En el presente trabajo además de determinar la etiología del agente causal de la marchitez y muerte del chile en la VMH, se realizó una evaluación, en suelos de la VMH, de la resistencia a la marchitez de cultivares de chile de árbol colectados en diferentes partes de la República Mexicana y de la efectividad de los productos químicos y biológicos disponibles en el mercado nacional, así como diferentes esquemas de alternancia enfocados a reducir riesgos de resistencia.
Materiales y métodos
Esta investigación fue realizada bajo condiciones de invernadero, con el fin de reducir los problemas asociados a la variabilidad del suelo y a la distribución espacial del patógeno, factores frecuentemente observables en fitopatógenos del suelo (Larkin et al., 1995; Gumpertz et al., 1997), particularmente cuando se maneja un número alto de tratamientos.
Aislamiento, identificación y pruebas de patogenicidad de los organismos asociados a la marchitez del chile. Se colectó suelo rizosférico y plantas de chile de árbol (Capsicum annuum L) con síntomas de marchitez en tres localidades de la VMH. Los tallos y las raíces se desinfectaron superficialmente de acuerdo a lo descrito por Silva-Rojas et al. (2009) y González-Pérez et al. (2004), se seccionaron en segmentos de 1 cm para sembrarlos en medio papa dextrosa agar (PDA) y se incubaron a temperatura ambiente (25 °C). Los aislamientos de hongos u oomicetos resultantes fueron purificados en PDA o medio V8, según el caso. La identificación a nivel de género se realizó con base en las claves de Barnett y Hunter (1998) y Erwin y Ribeiro (1996). A nivel especie, Fusarium se identificó mediante las claves taxonómicas de Booth (1977) y Rhizoctonia con base en Sneh et al. (1991). Para Phytophthora se utilizaron las claves de Gallegly y Hong (2008). Las estructuras reproductivas se midieron utilizando una cámara digital (Motic 2300, USA) conectada a una computadora marca Dell.
Las pruebas de patogenicidad se realizaron en cámara de temperatura y luz controlada utilizando semillas de chile de árbol procedentes del estado de Jalisco. Las semillas se germinaron en cajas de Petri con papel filtro y agua destilada estéril. Una vez germinadas se transfirieron a charolas de poliuretano de 200 cavidades, con sustrato estéril a base de turba y agrolita (1:1). Se trasplantaron plántulas con 3 a 4 pares de hojas verdaderas a vasos de poliuretano de 1 L con suelo de la VMH previamente esterilizado. La prueba de patogenicidad se realizó dos veces. En cada prueba se inocularon cuatro plantas por cada género de hongo u oomiceto, con un testigo no inoculado en cada caso.
Para los aislamientos de Fusarium se aplicó al cuello del tallo de cada planta 1 ml de una suspensión de conidios (Silva-Rojas et al., 2009) con 1 x 106 esporas/planta. En el caso de Rhizoctonia sp. se inoculó una suspensión de micelio (Singh et al., 2002; Pineda et al., 2005) de 1 x 105 unidades formadoras de colonias/planta. En el caso de Phytophthora sp se inocularon l x 105 zoosporas/planta (Morán-Bañuelos et al., 2010). En cada unidad experimental se evaluó la presencia o ausencia de síntomas. Las evaluaciones se realizaron cada 2 d durante 30 d y se aisló nuevamente el agente causal para apegarse a los postulados de Koch (Agrios, 2005).
Se confirmó la identidad de los organismos aislados mediante secuenciación de fragmentos de la región ITS, amplificados mediante la técnica de PCR. La extracción de DNA se realizó con base en Sambrook y Russell (2001). Para la prueba de PCR se utilizaron 2.5 µL de amortiguador de reacción, 1.25 µL MgCL2, 0.5 µL de dNTP´s, 1 µL de primer ITS4, 1 µL de primer ITS5, 0.5µL de Taq DNApol, 2 µL de DNA y 16.25 µL de agua inyectable (White et al., 1990). Los primers se sintetizaron en el Instituto de Biotecnología de la UNAM (IBT-UNAM). La amplificación se realizó en un termociclador Techne (r), modelo TC-512, de acuerdo al procedimiento descrito por Silva-Rojas et al. (2009). Para verificar el producto de la amplificación se realizó electroforesis a 90 V por 30 min en gel de agarosa al 1% y tinción con 1 µL de bromuro de etidio. La secuenciación se realizó por la empresa Macrogen, Corea. La secuencia obtenida fue alineada con las depositadas en la base de datos del National Center for Biotechnology Information (http://blast.ncbi.nlm.nih.gov/Blast.cgi).
Evaluación de resistencia de cultivares de chile de árbol a Phytophthora. Debido a que solamente P. capsici causó síntomas de marchitez y muerte de plantas en las pruebas de patogenicidad, la resistencia a este patógeno se evaluó en diez accesiones de chile de árbol colectadas en los estados de Jalisco, Nayarit y Puebla, cultivadas en suelo natural y en sustrato a base de turba-agrolita (1:1). La semilla fue desinfestada superficialmente mediante inmersión en una solución de hipoclorito de sodio al 1.5% (V/V) y dos lavados subsecuentes con agua destilada. Se trasplantaron plántulas de cada accesión con 3 ó 4 pares de hojas verdaderas en macetas de 250 mL con turba-agrolita (1:1) o suelo no esterilizado de la VMH, localidad La Paila, y se mantuvieron en un invernadero del Colegio de Postgraduados, Campus Montecillo. La producción de inóculo e inoculación se realizaron mediante el mismo procedimiento descrito para las pruebas de patogenicidad. La inoculación se realizó 72 h después del trasplante. Antes de la inoculación se aplicó un riego a saturación para crear condiciones óptimas para la infección por P. capsici. Se realizó una reinoculación a los 15 d después del trasplante, con la finalidad de aumentar la probabilidad de infección (Andrés et al., 2005; Morán-Bañuelos et al., 2010).
Se usó un diseño completamente al azar con cuatro repeticiones por tratamiento. La unidad experimental estuvo constituida por dos plantas por repetición. El experimento se realizó dos veces. Se evaluó la severidad de la enfermedad cada tres días con base en la escala de Sanogo (2006) y a partir de estos datos se calculó el área bajo la curva del progreso de la severidad (Campbell y Madden, 1990). Se registró el peso seco de la parte aérea de las plantas después de someterlas a desecación a 70 °C durante 72 h. Se realizó el análisis de varianza mediante el procedimiento ANOVA del programa SAS (Statistical Analysis System) v. 9.3. Cada experimento fue analizado por separado. Las comparaciones entre promedios se realizaron con base en la prueba de Tukey (Steel et al., 1997).
Efectividad de productos químicos disponibles en el mercado mexicano para el control de la marchitez por P. capsici. Se utilizaron semillas de chile de árbol procedentes del estado de Jalisco. Se trasplantó una plántula con 5 a 8 pares de hojas verdaderas a macetas de 250 mL con suelo no tratado procedente de las localidades San Pedro Tlatemalco, Tres Cruces o la Paila, VMH, donde se cultiva regularmente chile de árbol. Las macetas se colocaron en un invernadero del Colegio de Postgraduados, Campus Montecillo. Antes del trasplante se mezclaron 1 x 105 zoosporas enquistadas en el suelo de cada maceta.
Se evaluaron los siguientes productos químicos con: metalaxil al 45.28 % (Ridomild Gold 480 SL, concentrado soluble, Syngenta) 1.5 L∙ha-1; fosetil aluminio 80 % (Aliette wdg, gránulos dispersables, Bayer Crop science) 2.5 kg∙ha-1; propamocarb 64% (Previcur N, solución acuosa, Bayer Crop Science) 1.5 L∙ha-1 y metam sodio 42.5 % (Lucafum, solución acuosa, química Lucava) 0.1 L∙L-1, por 43 h y 45 d aireación. A la par de estos tratamientos se evaluaron tres testigos: 1) plantas sin fungicidas y sin inoculación, cultivadas en suelo esterilizado, de cada localidad de la VMH; 2) plantas no inoculadas cultivadas en suelo no esterilizado y 3) plantas inoculada (1 x 105 zoosporas/planta) en suelo esterilizado, de cada localidad. Las combinaciones evaluadas de productos químicos quedaron definidas con base en un arreglo factorial 2 x 2 x 2 x 2 (con y sin) de los fungicidas metam sodio, metalaxil, fosetil aluminio y propamocarb. De acuerdo con las combinaciones resultantes, se hicieron aplicaciones simples, dobles, triples y cuádruples de fungicida en forma alternada. De esta manera, se evaluó un total de 18 tratamientos, incluyendo los testigos. La primera aplicación de metalaxil, fosetil aluminio o propamocarb se realizó al sustrato en etapa de vivero (1 a 30 d después de la siembra). Subsecuentemente el metalaxil y fosetil aluminio se aplicaron cada 8 d y el propamocarb cada 10 d. Cuando se usó solo un tipo de producto este se aplicó dos veces más. Cuando se alternaron los productos sólo se aplicaron una vez más de acuerdo al orden que les correspondió. Para determinar la cantidad de producto aplicado en cada maceta se calculó la cantidad de agua necesaria para regarlas y se estimó el volumen para una hectárea considerando una densidad de población de 20,000 plantas (Soria 1993). Las plantas se regaron en forma alternada con agua y solución nutritiva (630 g de Nitrofoska 12-12-12 en 20 L de agua: dilución 1:10 (Nitrofoska: agua)) (Villar-Luna et al., 2009).
El experimento tuvo un diseño experimental completamente al azar, con cuatro repeticiones y se realizó dos veces. Se evaluaron las mismas variables que en el experimento de resistencia a P. capsici y se aplicó el mismo enfoque de análisis estadístico.
Efectividad de productos biológicos disponibles en el mercado mexicano para el control de P. capsici. El genotipo utilizado, el manejo de la semilla y plántulas, el procedimiento de inoculación al suelo, testigos, nutrición, método de cálculo de dosis, diseño experimental, variables evaluadas y metodologías de análisis estadístico en esta parte del trabajo fueron los mismos descritos para los experimentos de control químico. Se evaluaron los cuatro únicos productos biológicos disponibles en el mercado nacional: Natucontrol(r) (Trichoderma harzianum) a 400 g∙ha-1; Fus out(r) (T. harzianum) a 1 L∙ha-1; Baktillis(r) (Bacillus subtilis) a 1 L∙ha-1; Probac BS 10(r) (B. subtilis) a 1 L∙ha-1. En calidad de tratamientos se incluyó la evaluación individual de los cuatro productos, pero además se comparó la combinación de Natucontrol o Fus out mezclado con Baktillis o con Probac con la finalidad de utilizar una mezcla de organismos con diferente actividad antagónica, estrategias de colonización y mecanismos de supresión que pudiesen causar un efecto sinergista (Raupach y Kloepper, 1998; Mathre et al., 1999; Akgül y Mirik, 2008). La primera aplicación se realizó 48 h previas al trasplante; la segunda se hizo al momento del trasplante y la tercera 15 d después. Cuarenta y ocho horas después del trasplante se aplicaron 1 x 105 zoosporas de P. capsici a cada maceta. Todos los tratamientos fueron aplicados bajo un diseño factorial (8 x 3) en combinación con suelo procedente de las localidades San Pedro Tlatemalco, Tres Cruces y La Paila, de la VMH. El experimento se realizó dos veces.
Resultados
Identificación y pruebas de patogenicidad. De las raíces y tallos de chile de árbol se aislaron nueve cepas del género Fusarium, tres de Rhizoctonia y una de Phytophthora. Mediante el análisis morfológico y molecular se determinó que correspondieron a las especies Fusarium oxysporum Schlechtend.:Fr., Rhizoctonia solani Kühn y Phytophthora capsici Leonian. Esta última tuvo una homología de 100% con la cepa KJ855326 del GenBank, National Center for Biotechnology Information (http://blast.ncbi.nlm.nih.gov/Blast.cgi) que corresponde a la misma especie. De estos patógenos únicamente P. capsici causó amarillamiento, marchitez, necrosamiento del tallo y muerte de las plantas, a partir de los 7 d después de la inoculación, en los dos bioensayos realizados.
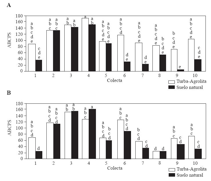
Evaluación de resistencia de cultivares de chile de árbol a Phytophthora capsici. De acuerdo al análisis de varianza de los datos de los dos experimentos, el área bajo la curva del progreso de la severidad (ABCPS) en colectas de chile inoculadas con el oomiceto varió con el tipo de cultivar (P<0.0001) y con el sustrato (P<0.0001), pero también ocurrió una interacción altamente significativa entre cultivar y sustrato (P<0.0001). El ABCPS fue más alto cuando las plantas fueron cultivadas en turba-agrolita en comparación con las crecidas en suelo no tratado de la VMH. Las colectas CP 1264 y 1261 tuvieron la menor ABCPS en turba-agrolita, según el experimento, y en suelo tuvieron valores aún más bajos (Figura 1). Los cultivares CP 1305, CP Compuesto Jalisco 1, CP Compuesto Jalisco 2, CP 1306, CP 1261 y CP 1205 tuvieron valores promedio alrededor de las 80 a 100 unidades en turba-agrolita, pero al ser cultivadas en suelo el ABCPS se redujo a valores alrededor de 40 unidades (Figura 1A). En el caso de los cultivares CP Compuesto Nayarit, CP Compuesto Puebla 1 y CP Compuesto Puebla 2 el ABCPS fue consistentemente más alto que en el resto de colectas, independientemente del sustrato en que fueron cultivadas las plantas. Los valores de ABCPS en las plantas no inoculadas fueron de cero en todos los casos, con excepción del CP Compuesto Puebla 2 cultivado en suelo, quien fue el único que mostró síntomas de enfermedad bajo estas condiciones pero tuvo valores muy cercanos a cero.

En el experimento 1, el análisis de varianza indica que el peso seco de las plantas varió sólo en función del tipo de sustrato (P<0.0001) y del genotipo (P=0.034), pero no hubo efecto de interacción entre ambos factores (P=0.48). Las plantas no inoculadas en suelo de la VMH produjeron en promedio 0.44 g/planta, mientras que las cultivadas sin inoculación en turba-agrolita produjeron 0.2 g/planta. En el caso de las plantas inoculadas los valores fueron 0.12 y 0.09 g/planta, respectivamente y resultaron estadísticamente diferentes (Tukey α=0.05) con respecto a las no inoculadas. En el caso de los cultivares los valores variaron de 0.33 g/planta, en el cultivar CP 1306, a 0.15 g/planta, en el cultivar Compuesto Puebla 1. Solo las diferencias entre estos dos cultivars resultaron significativas (Tukey α=0.05). El resto de genotipos tuvo valores intermedios y estadísticamente iguales a ambos promedios.
En el experimento 2, se observó un patrón similar en la acumulación de materia seca en la parte aérea en la mayoría de los casos, con excepción de las colectas CP 1305, CP 1261 y Compuesto Jalisco 1 que mostraron los valores más altos de su grupo de inoculación (Figura 2).

Efectividad de productos químicos disponibles en el mercado mexicano para el control de la marchitez por P. capsici. Los resultados del análisis de varianza del ABCPS indican que en las plantas cultivadas en los tres suelos de la VMH (San Pedro Tlatemalco, La Paila y Tres Cruces) ocurrió una interacción significativa entre los cuatro productos químicos evaluados (P<0.001). Las plantas inoculadas sin aplicaciones de productos químicos tuvieron valores de ABCPS considerablemente más altos que el resto de tratamientos, mientras que las plantas cultivadas en suelo no inoculado no mostraron síntomas de la enfermedad, independientemente de si el suelo fue esterilizado o no. El metalaxil, fosetil aluminio o propamocarb, aplicados solos, y la alternancia de metalaxil con fosetil aluminio o con propamocarb, tuvieron un control total de la enfermedad en los dos experimentos realizados en suelo de cada localidad (Figura 3). El resto de tratamientos mostraron variaciones en el nivel de control de la enfermedad, con casos tanto de control total como niveles bajos en el ABCPS, que variaron entre cero y 125 unidades (Figura 3). Las aplicaciones alternadas con tres o cuatro productos no tuvieron un control completo de la enfermedad en todos los casos, pero las áreas máximas calculadas no excedieron las 90 unidades.

Al comparar el efecto de suelo sobre el ABCPS puede observarse en la Figura 3 que en el suelo de Tres Cruces hubo más casos de síntomas de enfermedad que en los suelos de San Pedro Tlatemalco y La Paila, así como menor consistencia en la reproducibilidad de los resultados entre experimentos; sin embargo, aún en este escenario los tratamientos recurrentes de metalaxil o propamocarb, o la aplicación alternada de metalaxil con fosetil aluminio o con propamocarb y propamocarb con fosetil aluminio, tuvieron un control total de la enfermedad en ambos experimentos.
De acuerdo al análisis de varianza, en el experimento 1 con suelo de San Pedro Tlatemalco, sólo las aplicaciones de metam sodio alternado con metalaxil tuvieron efecto significativo (P=0.037) sobre el peso seco de la parte aérea (PSPA). En este experimento, cuando se aplicó metalaxil solo, el PSPA resultó ligeramente mayor (1.24 g/planta) que en las plantas no tratadas (1.05 g/planta); cuando se aplicó metam sodio solo o alternado con metalaxil el PSPA fue considerablemente menor (0.36 y 0.23 g/planta) que en los dos tratamientos anteriores. En el experimento 2, sólo las interacciones metam sodio X fosetil aluminio (P=0.01) y metalaxil X fosetil aluminio X propamocarb (P=0.05) resultaron significativas. Con la aplicación del fosetil aluminio solo, se obtuvo un PSPA mayor que el testigo inoculado y sin tratamiento químico (1.56 vs 0.98 g/planta); cuando se aplicó metam sodio solo o combinado con fosetil aluminio el PSPA se redujo a 0.26 y 0.32 g/planta respectivamente. Por otra parte, cuando se aplicó metalaxil alternado con fosetil aluminio y propamocarb se obtuvo casi el triple de PSPA (1.28 g/planta) que en el testigo inoculado (0.45 g/planta). Las aplicaciones de cualquiera de los tres productos en forma individual o en alternación simple, aunque incrementó el PSPA con respecto al testigo produjo valores inferiores al tratamiento con los tres fungicidas alternados pero considerablemente más altos que el testigo inoculado (0.64 a 1 g/planta).
En el suelo de Tres Cruces el análisis de varianza del PSPA en el experimento 1 reportó interacción significativa entre los cuatro productos químicos (P=0.012), mientras que en el experimento 2 sólo la interacción metam sodio X metalaxil fue significativa (P = 0.004). En el experimento 1, el PSPA de las plantas cultivadas en suelo no esterilizado y no inoculado (1.12 g/planta) fue significativamente menor que el de las no inoculadas y cultivadas en suelo esterilizado (1.93 g/planta) y su promedio y rangos de variación fueron similares a los observados con los tratamientos recurrentes de metalaxil, fosetil aluminio o propamocarb solos, o metalaxil alternado con fosetil aluminio o con propamocarb, o propamocarb alternado con fosetil aluminio (1.25, 1.63, 1.01, 0.9, 0.92 y 1.04 g/planta, respectivamente) ya que sus rangos de variación se traslaparon (datos no mostrados). Las plantas cultivadas en suelo no esterilizado pero sí inoculado con el pseudohongo tuvieron un PSPA considerablemente más bajo (0.26 g/planta) que en los testigos no inoculados y que los no esterilizados, inoculados y tratados con los químicos antes mencionados. Cuando se fumigó con metam sodio únicamente o cuando se alternó este producto con los demás químicos el PSPA fue aún más bajo (0.039 a 0.25 g/planta) que el observado en el testigo inoculado y sin tratamiento químico. En el tratamiento alternado con metalaxil, fosetil aluminio y propamocarb, se produjo más del doble de PSPA (0.73 g/planta) que en el testigo inoculado y que en los tratamientos donde estuvo involucrado el metam sodio. Similarmente, en el experimento 2, cuando se aplicó metam sodio solo ocurrió tam bién una reducción significativa en el PSPA (0.24 g/planta) con respecto al testigo inoculado (0.72 g/planta); al aplicar el metalaxil solo, el promedio de esta variable superó numéricamente al testigo inoculado (1.05 g/planta) y cuando ambos productos se aplicaron a las mismas plantas el PSPA fue de 0.17 g/planta pero resultó estadísticamente igual al observado para el metam sodio solo.
En suelo de La Paila, VMH, no se detectaron efectos significativos de tratamientos sobre el PSPA en las plantas del experimento 1, pero en el experimento 2 se detectó efecto principal significativo de la aplicación recurrente de metalaxil solo (P=0.0025), o de la interacción metalaxil X fosetil aluminio (P=0.0011). En esta caso las plantas tratadas con metalaxil solo tuvieron menor PSPA (0.5 g/planta) que el testigo inoculado (1.45 g/planta) o que los tratamientos con fosetil aluminio solo (1 g/planta) o combinado con metalaxil (1.05 g/planta), pero los rangos de variación de los cuatro promedios tuvieron traslapes considerables (datos no mostrados).
Efectividad de productos biológicos disponibles en el mercado mexicano para el control de P. capsici. Los resultados del análisis de varianza de los dos experimentos indican que sólo los productos biológicos evaluados tuvieron diferencias significativas en el ABCPS (P<0.0001). La procedencia del suelo no tuvo significancia por sí sola o en interacción con los biológicos. En ambos experimentos las plantas inoculadas y sin aplicaciones de productos biológicos tuvieron valores de ABCPS más altos que el resto de los tratamientos y las plantas cultivadas en suelo no inoculado tuvieron un valor de cero (Figura 4A y B). Con excepción del tratamiento Natu Control con Probac, en el experimento 2, la prueba de Tukey (α=0.05) indica diferencias significativas entre los tratamientos biológicos y el testigo inoculado y sin medidas de control. Todas las plantas tratadas con algún producto biológico mostraron en promedio un valor bajo en el ABCPS, sin diferencias estadísticas tanto entre ellas como con respecto a los testigos no inoculados. El valor más bajo de ABCPS se observó con la combinación de Fus out con Probac (22.5 unidades) en el experimento 1 y Baktillis (12.9 unidades) en el experimento 2. El resto de los tratamientos mostraron variaciones en el nivel de la enfermedad pero no excedieron las 80 unidades en ambos experimentos, mientras que el testigo inoculado alcanzó alrededor de 200.

Los resultados del análisis de varianza del PSPA en los experimentos 1 y 2 indicaron únicamente diferencias significativas en el efecto de los productos biológicos (P =0.0005 y P<0.0001, respectivamente). En el experimento 1, las plantas cultivadas en suelo sin inoculación tuvieron el mayor PSPA, mientras que las plantas inoculadas con P. capsici, sin medidas de control, tuvieron el menor valor (Figura 5A). Entre los productos biológicos, los tratamientos con Fus out más Baktillis y Natu Control más Baktillis tuvieron pesos estadísticamente iguales que los observados en el testigo no inoculado en suelo esterilizado, pero sus diferencias no resultaron significativas con respecto al resto de tratamientos. El testigo no inoculado en suelo no esterilizado tuvo el mismo comportamiento. El resto de tratamientos con algún producto biológico tuvo pesos secos estadísticamente iguales entre sí y con respecto al testigo inoculado.

En el experimento 2 las plantas no inoculadas, cultivadas en suelo esterilizado o no esterilizado, tuvieron el mayor PSPA, mientras que las inoculadas con P. capsici, sin medidas de control, tuvieron el menor valor (Figura 5B). Todas las plantas tratadas con algún producto biológico, con excepción de la combinación Natucontrol más Probac, aunque tuvieron un PSPA menor, fueron estadísticamente iguales que los testigos no inoculados (Tukey a=0.05). Por otra parte los tratamientos Fus out, Baktillis y la combinación de ambos, tuvieron promedios significativamente más altos que el testigo inoculado y sin medidas de control. Aunque los tratamientos con productos biológicos mostraron las variaciones antes mencionadas, las diferencias entre sus promedios no resultaron significativas.
Discusión
El presente es el primer reporte sobre la etiología de la marchitez del chile de árbol en la VMH y el efecto de diferentes medidas de control en suelos de la región. Los resultados obtenidos en este trabajo muestran que P. capsici es el agente causal de la marchitez del chile en la VMH. Las pruebas de patogenicidad y la identificación morfológica y molecular confirmaron la identidad de este oomiceto. La marchitez causada por P. capsici puede ser manejada mediante la integración de varios métodos de control (Granke et al., 2012). Como parte de ésta, las colectas CP 1264, CP 1261 y CP 1305, que mostraron la mayor resistencia a la enfermedad, pueden ser considerados buenos candidatos para ser incluidos en programas de mejoramiento genético o en la integración de un sistema de producción con medidas de control complementarias, como las evaluadas en la presente investigación. Los resultados de este trabajo muestran que el efecto de cada producto químico, aplicado solo o alternado varió entre suelos de la VMH, pero la enfermedad fue restringida a niveles mínimos e inclusive se logró control total de la marchitez con las aplicaciones individuales y recurrentes de metalaxil, fosetil aluminio o propamocarb y la alternancia de metalaxil con fosetil aluminio y metalaxil con propamocarb. Se ha reportado que el metalaxil disminuye la enfermedad en 83.3 % (Fernández-Herrera et al., 2007), pero en la presente investigación se obtuvo una reducción del 100 %. El fosetil aluminio controló la enfermedad en 66.7 % en uno de nuestros experimentos, pero en el resto tuvo un control total, mientras que el propamocarb redujo la enfermedad en 100% en todos los casos. En jitomate se ha reportado un control de la enfermedad de 83.3 % con fosetil aluminio (Fernández-Herrera et al., 2007) y de 60 a 100 % con propamocarb en otros cultivos (Hu et al., 2007). Factores como la cantidad de suelo utilizada en nuestros experimentos, variaciones en los genotipos de patógeno y planta involucrados, y niveles de inóculo, podrían explicar las diferencias con respecto a los trabajos antes mencionados. Por otra parte, la acumulación de materia seca en la parte aérea, un indicador preliminar del potencial de producción de frutos por las plantas (González-Real, 2008; García-Rodríguez, 2010), tendió a ser mayor en las plantas inoculadas y tratadas con estos productos que en los testigos. Tales resultados podrían ser considerados una primera evidencia de que aún existen bajos o nulos niveles de resistencia a los productos químicos disponibles en el mercado mexicano para el control de P. capsici en chile de árbol en la VMH, ya que la aplicación recurrente funcionó mejor que la aplicación alternada, dentro del mismo ciclo; también son un indicador da la posibilidad de incrementar o preservar el potencial de producción del cultivo en la región si son utilizados adecuadamente.
A diferencia de los productos antes mencionados, bajo nuestras condiciones experimentales el metam sodio, aunque evitó la ocurrencia de enfermedad en la mayoría de los casos, causó un efecto negativo en la acumulación de materia seca en la parte aérea. Este efecto pudo ser causado por el impacto del agroquímico en la biota del suelo (Cao, 2004) y por fitotoxicidad, ya que algunas plantas trasplantadas en suelo tratado mostraron clorosis ligera, necrosis terminal en las hojas y en algunos casos necrosis a nivel del tallo no asociada a la infección por P. capsici. Mejoras en el manejo del producto, tales como un riego preliminar o mayor tiempo de aireación podrían mejorar su eficacia.
Los cuatro productos biológicos comerciales evaluados no tuvieron control total de la marchitez pero sí hubo efectos importantes en la reducción de la enfermedad con los tratamientos de Fus out, Natucontrol, Baktillis y Probac solos o en combinación. Resaltan los tratamientos con Baktillis o Fus out con Probac que tuvieron bajos valores de ABCPS e incrementaron la acumulación de materia seca con respecto al testigo inoculado. La dificultad de microorganismos introducidos para establecerse en la rizósfera de los cultivos, está generalmente asociada a la alta competitividad y adaptación previa de la microflora nativa (Van Veen et al., 1997; Agrios, 2005), lo cual pudo ser un factor determinante de la efectividad limitada de los productos comerciales evaluados, en adición a la posible insuficiente efectividad de las cepas de Trichoderma sp. y Bacillus sp en el control del patógeno (Schippers et al., 1987; Bais et al., 2004; Fernández-Herrera et al., 2007) que contienen estos productos. Sin embargo, cepas de Bacillus subtilis y Trichoderma harzianum pueden favorecer el crecimiento de las plantas cuya rizósfera colonizan (Benhamou et al., 1998; Kloepper et al., 2004; Ezziyyani et al., 2005), por lo que en adición a su capacidad para reducir los niveles de enfermedad, pueden potencialmente contribuir a mejorar el rendimiento del cultivo.
En el presente trabajo fueron muy evidentes los contrastes en la severidad y producción de biomasa en plantas cultivadas en turba-agrolita, con respecto a las cultivadas en suelo, lo cual estuvo evidentemente asociado con diferencias en el balance nutricional obtenible en cada sustrato, pero posiblemente la biota nativa de los suelos utilizados en nuestro estudio jugó un papel relevante, dada la ausencia de la enfermedad en suelos no inoculados y la reducción notable del ABCPS cuando las plantas fueron cultivadas en suelo. Reportes previos han resaltado la importancia de este balance nutricional (Duffy et al., 1997) y la importancia de los organismos del suelo en la supresión tanto de oomicetos como de otros patógenos (Wardle, 2002; Yunusa y Newton, 2003), por lo que son factores a considerar en el proceso de definición de un sistema de manejo integrado de la enfermedad para las condiciones de la Vega de Metztitlán, Hidalgo.
Los resultados de la presente investigación indicaron que los cultivares CP 1261, CP 1264 y CP 1305 fueron los más resistentes al patógeno y que los tratamientos con metalaxil, fosetil aluminio o propamocarb, metalaxil alternado con fosetil aluminio o con propamocarb controlaron totalmente la marchitez, mientras que los tratamientos con Baktillis (Bacillus subtilis) solo o en combinación con Fus Out (Trichoderma harzianum) o Probac (B. subtilis) únicamente redujeron la severidad de la enfermedad.
Referencias
Agrios GN. 2005. Plant Pathology. Fifth Edition. Academic Press. New York, USA. 922p.
Akgül DS and Mirik, M. 2008. Biocontrol of Phytopththora capsici pepper plants by Bacillus megaterium strains. Plant Pathology 90:29-34.
Andrés A, JL., Rivera MA and Fernández PJ. 2005. Resistance of pepper germplasm to Phytophthora capsici isolates collected in northwest Spain. Spanish Journal of Agricultural Research. 3:429-436.
Bais HP, Fall R and Vivanco JM. 2004. Biocontrol of Bacillus subtilis against infection of Arabidopsis roots by Pseudomonas syringae is facilitated by biofilm formation and surfactin production. Plant Physiology 134: 307-319.
Barnett HL and Hunter BB. 1998. Illustrated genera of imperfect fungi. 4a. ed. American Phytophathology Society, MN. 217 p.
Benhamou N, Kloepper JW and Tuzum, S. 1998. Induction of resistance against Fusarium wilt of tomato by combination of chitosan with an endophytic bacterial strain: ultrastructure and cytochemistry of the host response. Planta 204:153-168.
Booth C. 1977. Fusarium. Laboratory guide to the identification of the major species. Commonwealth Mycological Institute. Surrey, England. 58 p.
Campbell CL and Madden LV. 1990. Introduction to plant disease epidemiology. John Wiley and Sons, New York. 532 p.
Cao ZP, Yu YL, Chen GK and Dawson R. 2004. Impact of soil fumigation practices on soil nematodes and microbial biomass. Pedosphere 14:387-393.
Duffy BK, Ownley BH and Weller DM. 1997. Soil chemical and physical properties associated with suppression of take-all of wheat by Trichoderma koningii. Phytopathology 87:1118-1124.
Erwin DC and Ribeiro OK. 1996. Phytophthora diseases worldwide. American Phytopathology Society, MN. 562 p.
Ezziyyani M, Requena MA y Candela MA. 2005. Producción de proteínas-PR en la inducción de resistencia a Phytophthora capsici en plantas de pimiento. Anales de Biología. 27:143-154.
Fernández-Herrera E, Acosta-Ramos M, Ponce-González F y Manuel-Pinto V. 2007. Manejo biológico de Phytophthora capsici Leo., Fusarium oxysporum Schlechtend.:Fr. y Rhizoctonia solani Kühn en jitomate (Lycopersicon esculentum Mill.). Revista Mexicana de Fitopatología 25:35-42.
Gallegly ME and Hong M. 2008. Phytophthora identifying species by morphology and DNA fingerprints. American Phytopathology Society, MN. 158 p.
García-Rodríguez MR, Chiquito-Almanza E, Loeza-Lara D, Godoy-Hernández H., Villordo PE, Pons-Hernández JL, González-Chavira MM y Anaya-López L. 2010. Producción de chile ancho injertado sobre criollo de Morelos 334 para el control de Phytophthora capsici. Agrociencia. 44: 701-709.
González-Pérez E, Yañez-Morales MJ, Santiago-Santiago V y Montero-Pineda A. 2004. Biodiversidad fungosa en la marchitez del chile y algunos factores involucrados, en Tlacotepec de José Manzo, el Verde, Puebla. Agrociencia38:653-661.
González-Real MM, Baille A and Liu HQ. 2008. Influence of fruit load on dry matter and N-distribution in sweet pepper plants. Scientia Horticulturae 117: 307-315.
Granke LL, Quesada-Ocampo L, Lamour K and Hausbeck MK. 2012. Advances in research on Phytophthora capsici on vegetable crops in the United States. Plant Disease 96:1588-1600.
Gumpertz ML, Graham JM and Ristaino JB. 1997. Autologistic model of spatial pattern of Phytophthora epidemics in bell pepper: Effects of soil variables on disease presence. Journal of agricultural, biological and environmental statistics. 2:131-156.
Hu J, Hong C, Stromberg EL and Moorman GW. 2007. Effects of propamocarb hydrochloride on mycelial growth, sporulation, and infection by Phytophthora nicotianae isolates from Virginia nurseries. Plant Disease91:414-420.
Kloepper JW, Ryu CM and Zhang S. 2004. Induced systemic resistance and promotion of plant growth by Bacillus spp. Phytopathology94:1259-1266.
Larkin RP, Gumpertz MLand Ristaino, J. B. 1995. Geostatistical analysis of Phytophthora epidemics in commercial bell pepper fields. Phytopathology84:191-203.
Mathre DF, Cook RJ and Callan NW. 1999. From discovery to use. Traversing the world of commercializing biocontrol agents for plant disease control. Plant Disease83:972-983.
Morán-Bañuelos SH, Aguilar-Rincón VH, Corona-Torres T y Zavaleta-Mejía, E. 2010. Resistencia a Phytopthora capsici LEO. de chiles nativos del sur de Puebla, México. Revista Fitotecnia Mexicana 33: 21-26.
National Center for Biotechnology Informatión (NCBI). 2014. Genbank. En: En: http://blast.ncbi.nlm.nih.gov/Blast.cgi.(Consulta marzo 2015).
Pineda J, Hernández A, González A, Barrientos V, Nass H, Gil E. 2005. Técnica de inoculación rápida y eficiente para la evaluación de materiales de maíz ante Rhizoctonia solani Kühn. Bioagro 17:93-98.
Raupach GS and. Kloepper JW 1998. Mixtures of plant growth-promoting rhizobacteria enhance biological control of multiple cucumber pathogens. Phytopathology88:1158-1164.
Ristaino BG and Johnston SA. 1999. Ecologically based approaches to management of Phytophthora blight on bell pepper. Plant Disease 83:1080-1089.
Sambrook J and Russell DW. 2001. Molecular cloning. A Laboratory Manual. 3era. ed. 1:1.32-1.34. Cold Spring Harbour Lab. Press, New York.
Sanogo S. 2003. Chile pepper and the threat of wilt diseases. Online. Plant Health Progress doi: 10.1094/PHP-2003-0430-01-RV.
Sanogo S. 2006. Predispositional effect of soil water saturation on infection of chile pepper by Phytophthora capsici. HortScience 41:172-175.
Schippers B, Baker AW and Bakker PAHM. 1987. Interactions of deleterious and beneficial rhizosphere microorganisms and the effect of cropping practices. Annual Review Phytopathology 25: 339-358.
Silva-Rojas HV, Fernández-Pavía SP, Góngora-Canul C, Macías-López BC y Ávila-Quezada, G.D. 2009. Distribución espacio temporal de la marchitez del chile (Capsicum annuum L.) en Chihuahua e identificación del agente causal Phytophthora capsici Leo. Revista Mexicana de Fitopatología27:134-147.
Singh A, Rohilla R, Singh US, Savary S, Willocquet L and Duveiller E. 2002. An improved inoculation technique for sheath bight of rice caused by Rhizoctonia solani. Canadian Journal of Plant Pathology 24:65-68.
Sneh B, Burpee L and Ogoshi A. 1991. Identification of Rhizoctonia Species. American Phytopathology Society, MN. 133 p.
Soria FMJ. 1993. Producción de hortalizas en la Península de Yucatán. ITA. Centro de investigaciones y Graduados Agropecuarios. Conkal, Yucatán. 303 p.
Steel RGD, Torrie JH, Dickey DA. 1997. Principles and procedures of statistics a biometric approach. 3rd ed. McGraw-Hill Series in probability and statistics. 666 p.
Van Veen JA, Van Overbeek LS and Van Elsas JD. 1997. Fate and activity of microorganisms introduced into soil. Microbiology Molecular Biology Reviews 61:121-135.
Velásquez VR, Medina AMM y Luna RJJ. 2001. Sintomatología y géneros de patógenos asociados con las pudriciones de la raíz del chile (Capsicum annuum L.) en el Norte-Centro de México. Revista Mexicana de Fitopatología19: 175-181.
Villar-Luna E, Reyes-Trejo B, Rojas-Martínez RI, Gómez-Rodríguez O, Hernández-Anguiano AM y Zavaleta-Mejía E. 2009. Hypersensitive response in foliage of chili pepper CM-334 resistant to Phytophthora capsici infected by Nacobbus aberransNematropica 39:143-155.
Wardle DA. 2002. Communities and ecosystems: Linking the aboveground and belowground components. Princeton University Press, Princeton, NJ, USA. 408 p.
White TJ, Bruns T, Lee S and Taylor J. 1990. Amplification and direct sequencing of fungal ribosomal RNA genes for phylogenetics. pp: 315-322 : Innis MA, Gelfand DF, Shinsky JJ,. White TJ (ed). PCR Protocols: A guide to methods and applications. Academic Press, San Diego.
Yunusa IAM and Newton PJ. 2003. Plants for amelioration of subsoil constraints and hydrological control: The primer-plant concept. Plant Soil 257:261-281.
Notas de autor
Autor de correspondencia: Remigio A. Guzmán-Plazola, email: rguzmanp@colpos.mx