Artículos
Adaptación de la teoría de la información para el régimen de propagación lineal de una red óptica DWDM de próxima generación
Adaptation of the theory of information for the linear propagation regime in a next generation fiber optics net DWDM
Adaptación de la teoría de la información para el régimen de propagación lineal de una red óptica DWDM de próxima generación
Lámpsakos, núm. 22, pp. 27-36, 2019
Universidad Católica Luis Amigó
Recepción: 19 Febrero 2019
Aprobación: 05 Junio 2019
Resumen: En el desarrollo del presente artículo, se adapta la teoría de la información de Shannon y se propone una ecuación para la medida de la eficiencia espectral con el fin de aplicarla a los nuevos entornos de red ópticos NG-PON (Next Generation Passive Optical Network) propuestos por el grupo de tareas FSAN (Full Service Access Network) de la UIT-T. Este desarrollo permitirá controlar ciertos parámetros y características de configuración de los sistemas basados en fibra óptica para lograr mejoras en la eficiencia espectral, altas capacidades de acceso y grandes anchos de banda; permitiendo entender de una manera más clara los cambios que las arquitecturas de red DWDM (Dense Wavelength Division Multiplexing) han sufrido en los últimos años como una visión del futuro de las telecomunicaciones.
Palabras clave: Teoría de la información, Redes ópticas, DWDM, FSAN, Eficiencia espectral, Ancho de banda, Capacidad del canal, Entropía de Canal, Información Mutua, Formatos de Modulación.
Abstract: This article adapts Shannon's information theory and proposes an equation to measure spectrum efficiency to be applied in the new fields of fiber optics NG-PON (Next Generation Passive Optical Network) proposed by the tasks team FSAN (Full Service Access Network) from the UIT-T. This development will allow control certain configuration parameters and features of the systems based on fiber optics to obtain improvements in the spectrum efficiency, high Access capacity and wide broad bands; allowing to understand in a clearer way the changes in the architecture of DWDM (Dense Wavelength Division Multiplexing) net during the last years as a vision of the future of telecommunications.
Keywords: Information theory, Optical networks, DWDM, FSAN, Spectral efficiency, Bandwidth, Channel capacity, Channel Entropy, Mutual Information, Modulation Formats.
1. INTRODUCCIÓN
Debido al rápido crecimiento y desarrollo de servicios y aplicaciones, desde la introducción de los sistemas ópticos DWDM (multiplexación por división de longitud de onda) el requerimiento de mejorar el ancho de banda y aumentar la capacidad del canal se ha hecho evidente. Hoy en día, los sistemas comerciales implementan pocas longitudes de onda con espaciamientos por canal de 100 GHz a capacidades de acceso de 10 Gbps, siendo finalidad de las arquitecturas modernas de tipo NG-PON alcanzar velocidades de transmisión de datos del orden de los 40 Gbps mediante la implementación de soluciones costo-eficientes que actualicen las redes a nivel fotónico con una mínima renovación de los sistemas existentes, lo cual hace necesario realizar un análisis detallado de cómo la teoría de la información desarrollada por Shannon-Hartley podría ser adaptada a las nuevas características de las redes ópticas de última generación.
Como se aprecia en la Fig. 1, DWDM es una tecnología que aprovecha las capacidades de la fibra óptica mediante la multiplexación de señales de fuentes de luz sobre un único medio, lo que permite el transporte y la implementación de diferentes velocidades de transmisión de datos, esquemas de modulación y anchos de banda sobre una única infraestructura de red. Para los próximos años se espera una migración a redes inteligentes de próxima generación NG-OTN (Next Generation Optical Transport Network).

Redes ópticas de próxima generación
La Unión Internacional de Telecomunicaciones, en su estándar UIT-T Y2001 [1], define una red de próxima generación como una red basada en paquetes que permite prestar servicios de telecomunicación y en la que se pueden utilizar múltiples tecnologías de transporte de banda ancha propiciadas por la calidad del servicio QoS (Quality of Service), y en la que las funciones relacionadas con los servicios son independientes de las tecnologías subyacentes relacionadas con el transporte (...).
De acuerdo con lo anterior, los sistemas de telecomunicaciones basados en fibra óptica son los más propensos a cumplir con los requerimientos propuestos para tales redes. Algunas de las características definidas para este tipo de sistemas se resumen en: a) permitir la creación, prestación y gestión de diferentes tipos de servicios; b) soportar en el transporte servicios con diferentes demandas de acceso y ancho de banda; y c) separar los servicios y el transporte de la red permitiendo evolucionar de manera independiente.
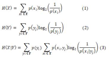
Como se aprecia en la Fig. 2, el grupo de tareas FSAN (Full Service Access Network) [2], tiene como objetivos principales desarrollar y proponer recomendaciones para generar sistemas de acceso óptico más allá de los estándares propuestos, de tal manera que implementa soluciones de última generación que permitan una migración fluida para las diferentes arquitecturas basadas en redes ópticas pasivas de próxima generación, en las que sea posible la reutilización de la infraestructura de fibra instalada.
![Migración de las redes ópticas pasivas [3]](../2145-4086-lamp-22-27-gf2.jpg)
Algunos requerimientos definidos por la serie de estándares UIT-T G987 [4] en sus versiones G987.1 [5], G987.2 [6], G987.3 [7] y G987.4 [8] para redes de tipo XG-PON (10 gigabit capable passive optical networks), definen un sistema a una tasa de transmisión de datos nominal de 2.5/10 Gbps en el enlace de bajada y 2.5 Gbps en el enlace de subida; sin embargo, la última actualización del estándar, definida como XGS-PON (10 gigabit capable symmetric passive optical network) en las recomendaciones ITU G.9807.1 [9] y G.9807.2 [10] de 2016 y 2017 respectivamente, define una versión simétrica a 10 Gbps para alcanzar mayores anchos de banda, lo que posibilita la coexistencia con las redes desplegadas actualmente.
Del mismo modo, el estándar UIT-T en su serie G989 de 2015 [11] describe los requerimientos generales de las arquitecturas de red de tipo NG-PON2 (40 gigabit capable passive optical networks) para aplicaciones residenciales, móviles, entre otras. Las recomendaciones para esta nueva generación de sistemas ópticos se definen en los estándares G989.1 [12] y G989.3 [13]; sin embargo, una vez concluida la etapa de evolución inicial con el estándar XGS-PON de 2016, se propone una segunda etapa pensada para los próximos 10 años de desarrollo centrada en una capacidad de acceso de 40 Gbps para el enlace de subida y para el enlace de bajada.
Los objetivos principales de las recomendaciones definidas anteriormente se centran en permitir la coexistencia de diferentes tipos de canales sobre una única red (convergencia), lo cual genera escalabilidad en los requerimientos de velocidad, capacidad y ancho de banda, y genera soluciones con el fin de mejorar la eficiencia espectral y la capacidad de transporte de la red; no se requieren cambios o actualizaciones significativas en la infraestructura instalada, por lo que se ahorra en gastos de expansión y mantenimiento. Mejorar la eficiencia espectral en términos de la velocidad de acceso, corresponde a representar una mayor información en el mismo ancho de banda, de modo que, como se aprecia en la Fig. 3, cuatro canales ópticos (OCh) de 10 Gbps podrían ocupar el mismo ancho de banda que cuatro canales ópticos de 40 Gbps.

Eficiencia espectral
En los fundamentos de la teoría de la información, desarrollados por C. E. Shannon en su artículo "A Mathematical Theory of Communication" [14] presentado en 1948 en "The Bell System Technical Journal", definen la relación existente entre el ancho de banda de un canal, la potencia promedio transmitida (P) y la potencia de ruido (N0B). Algunos de los postulados fundamentales de la teoría de la información se definen en términos de: a) sistemas discretos sin ruido, b) el canal discreto con ruido, c) preliminares matemáticas, d) el canal continuo, y e) la tasa de transmisión para una fuente continua, los cuales serán utilizados para proponer una ecuación adaptada a las nuevas arquitecturas de red ópticas.
Capacidad del canal discreto sin memoria
El canal de comunicación es uno de los bloques principales en el que se define el medio físico por el cual los bits de información viajan desde el transmisor hasta el receptor; en dicho medio se presentan fenómenos de propagación lineales, no lineales, ruido y todas aquellas degradaciones que pueden afectar el comportamiento de la señal. La capacidad de un canal de comunicación se puede definir a grandes rasgos como la cantidad máxima de información que es posible transmitir de forma confiable con una probabilidad de error mínima [15], [16], [17] y [18].
Como se aprecia en la Fig. 4, para un canal discreto sin memoria se genera un índice de mensaje llamado W mediante un conjunto de símbolos codificados llamados X = {x1 x2...xn}, que al ser transmitidos por el canal, se distorsionan debido a la interacción con el medio en función de la matriz de distribución de probabilidad de entrada p(Y¡ | Xi). Dicha interacción genera un conjunto de símbolos Y= {y1 y2...yn} que al ser decodificados producirán una respuesta de tipo
. Se puede afirmar que una transmisión será exitosa si los símbolos enviados de tipo
son iguales a los símbolos recibidos de tipo vi/, de modo que dichos símbolos recibidos serán una función de los símbolos enviados y la variable de ruido del canal como
- f(W) [14].

La relación logarítmica entre los símbolos de entrada X y los símbolos de salida Y se encuentra definida por la matriz de transición de probabilidad condicional del canal p(Yi | Xi). Las Ecuaciones (1) a (3) definen la entropía de la fuente h(x), entropía de salida del canal h(y) y la entropía condicional h(x|y) respectivamente [15]:

Del mismo modo, la información mutua de la entrada y la salida del canal se denota como i(X.y) y se define en términos de [16]:

En [17] se define que son las características del canal las que determinan la matriz de probabilidad de transición de estados p(Y¡| Xi ), en la que las probabilidades de los símbolos de entrada se encuentran bajo el control de la codificación del canal discreto; el valor de i(x,y) maximizado bajo una muestra de probabilidades de símbolos de entrada p(Xi), es una cantidad que depende únicamente de las características del canal bajo la probabilidad condicional p(Y¡| Xi), dicha cantidad es llamada capacidad del canal y es denotada con el símbolo C, definida en la ecuación (5) como:

Capacidad del canal continuo sin memoria
En un canal de comunicaciones continuo, cuyo alfabeto de símbolos de entrada X = (X1X2.. Xn) representa muestras en el tiempo de una variable continua asociada a una función de densidad de probabilidad p(x), la variable x se puede concebir como la representación de alguna forma de onda de señal; se define la potencia promedio de la señal P en términos de:

Del mismo modo, y considerando el canal continuo sin memoria, se define la entropía diferencial de la fuente h(X) en la ecuación (7); se establece que para dicha potencia promedio, definida en la ecuación (6), la función de densidad de probabilidad Gaussiana es la única bajo la cual la entropía de la fuente es máxima hmax(X)hmax(X) en términos de:

Operando matemáticamente los términos definidos en la ecuación (8) es posible representar la máxima entropía de la fuente en términos de:

Para determinar la capacidad C de una canal continúo sin memoria con una distribución de ruido Gaussiano h(Z), se determina la salida de los símbolos de Y¡ con respecto a los símbolos de entrada X¡ y la señal de ruido aditivo Z, en términos de Y¡ = X¡ + Z, dado que la información mutua del canal Gaussiano está definida como [18]:

Considerando 

De lo anterior se concluye que la ecuación (14) también corresponderá a la capacidad del canal Gaussiano, ya que la distribución maximiza la entropía de la fuente; de modo que, de manera equivalente, podemos expresar (14) en términos de un límite superior para la información mutua como:

Es posible, a partir de la ecuación (15), relacionar la capacidad de un canal de comunicación Gaussiano con el ancho de banda y la tasa de transmisión del sistema, en términos de la cantidad de información que representa cada pulso propagado con respecto al periodo de dos pulsos consecutivos, de modo que:

Si se asume que cada uno de los pulsos estará representado en el domino del tiempo por una señal de tipo sinc
, su ocupación en el dominio de la frecuencia corresponderá a un ancho de banda (B) de
Hz, con lo cual se puede expresar la ecuación (16) en términos de la capacidad del canal en bit/sbit/s en términos de:

La ecuación (17) define el límite fundamental de la tasa de transmisión que se puede conseguir sobre un canal Gaussiano limitado en banda y una señal limitada en potencia, con una probabilidad de error arbitrariamente baja; sin embargo, dicha ecuación debería considerar algunos factores adicionales asociados a la evolución de los nuevos sistemas de comunicaciones ópticos DWDM.
Adaptación de la teoría de la información para un sistema óptico de próxima generación
Para un sistema de comunicaciones óptico, es posible determinar la eficiencia espectral en términos de la ecuación (17), en la que los límites máximos de la potencia de la señal permisible en el sistema definirán un crecimiento logarítmico como una función de la relación entre la señal y el ruido del canal, por lo que el ruido es un factor constante para toda señal propagada [16]; según estudios realizados en [19], [20], [21], [22], [23] y [24] la medida de la eficiencia espectral dependerá de factores como la técnica de modulación, la técnica de detección, el régimen de propagación, el ancho de banda ocupado por el canal y la relación señal a ruido limitada por las penalidades de potencia (fenómenos de Kerr); aproximarse al límite de la capacidad, requerirá incrementar la complejidad del sistema. De manera general, se puede asociar la eficiencia espectral n en términos de la ecuación (17) con respecto a la capacidad del canal y el ancho de banda total ocupado en términos de:

Sin embargo, dicha ecuación (18) debería ser adaptada a la evolución de los nuevos sistemas de comunicaciones ópticos, en los que se requieren cambios con respecto al incremento de la tasa de transmisión en el de acceso, la coexistencia de diferentes canales en una misma arquitectura de red, asignación dinámicamente el espectro RWA (routing wavelength assignment), y mejoras en la respuesta lineal y no lineal del sistema implementando estándares multinivel, entre otras posibilidades.
Como se aprecia en la Fig. 5, es posible generar un sistema óptico basado en la multiplexación por división de longitud de onda de diferentes accesos de red, tipos de modulación y anchos de banda, en el cual podemos controlar variables como a) número de canales propagantes, b) espaciamientos por canal, c) potencia de la señal de entrada, y d) régimen de propagación, de este modo, sería posible expresar la ecuación (17) en términos de la capacidad de acceso de cada canal óptico como:

Si consideramos para el sistema de la Fig. 5 Trasmisiones de tipo serial con esquemas de modulación simples, sin que la correlación lineal y no lineal de los fenómenos de Kerr afecten los canales propagantes y, además, manteniendo la misma potencia para los e canales multiplexados de tipo i y los 9, y para los canales multiplexados de tipo j, la capacidad neta del sistema estará dada en términos de:

Debido a que es posible multiplexar diferentes canales sobre el mismo medio para lograr hasta 128 o más longitudes de onda [25], se puede generalizar la ecuación 22 en términos de:


La ecuación (23) define que para un sistema híbrido de ε canales de tipo i (por ejemplo; 2.5 Gbps de acceso) y φ canales de tipo j (por ejemplo; 10 Gbps de acceso), sería posible sobrepasar la capacidad total del sistema, en el que la relación entre el ancho de banda ocupado y la tasa de transmisión nominal se ve reflejada en un incremento aproximado de cuatro veces la ocupación espectral de la señal por cada bit transmitido, si se considera un ancho de banda percentil mayor al 96%, es decir, una longitud de onda de 10 Gbps ocupará cuatro veces más ancho de banda que una de 2.5 Gbps.
Si en ese proceso se mantienen constantes los parámetros de configuración, se espera que una señal de acceso 4C requiera cuatro veces más OSNR (optical signal noise ratio) que una señal de acceso C [24], lo que significa que en la señal de 10 Gbps solo se dispone de ¼ de energía de bit en comparación con una señal de 2.5 Gbps, lo cual requiere 4 veces más potencia en promedio para mantener la misma relación señal a ruido.
Al partir de la Fig. 6 y las ecuaciones (18) y (23), es posible calcular la eficiencia espectral del sistema en términos del parámetro Δu (espaciamiento entre canales adyacentes definidos por la grilla espectral) de modo que, si el ancho de banda de los canales propagados (Bwchl o Bwch2) es menor que el espaciamiento de los canales adyacentes 4,, la eficiencia espectral del sistema estará dada por:


La ecuación (24) implica que solo en el caso de que el ancho de banda lateral de cada uno de los espectros propagantes en el medio esté contenido dentro del espaciamiento implementado en el sistema DWDM, es posible determinar su eficiencia espectral en términos de, por ejemplo, dos canales de 2.5 Gbps de velocidad de acceso y un ancho de banda ocupado de 10 GHz, contando con una grilla espectral de 100 GHz como:

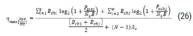
Sin embargo, es posible controlar el espaciamiento óptico Δv disminuyéndolo hasta el límite máximo donde los canales adyacentes no producen interferencia inter-simbólica, de modo que, si se implementan múltiples canales, la eficiencia máxima total en términos del uso del ancho de banda estará dada por la capacidad total del sistema dividida sobre la mitad del ancho de banda inferior ocupado por el primer canal óptico de la grilla espectral (frecuencia relativa más baja), más la mitad del ancho de banda superior ocupado por el último canal óptico de la grilla espectral (frecuencia relativa más alta), más el espaciamiento por canal representado como (n -1) corrimientos de Δu espaciamientos, y esta es una medida equivalente representada por [26]:

La ecuación (26) "Adaptación de la teoría de la información para el régimen de propagación lineal en arquitecturas de red de próxima generación", generada en el presente artículo, implica que es posible incrementar la eficiencia espectral de un sistema DWDM controlando los parámetros: capacidad el canal (Cch), cantidad de canales propagados (N - 1), potencia del canal (Ps ), espaciamientos (Δu)y ancho de banda (bch ), definidos en la Tabla 1.
| Cch | Canales | Δu | bch | Ps | ||
| imitación | ||||||
| Máximo Teórico 40 Gbps | 256 canales Teóricos | 25 Ghz Teóricos | Depende del formato de modulación | Máxima sin Penalidades de potencia | ||

Como se aprecia en la Fig. 7, es posible relacionar todos los factores descritos en la ecuación (26) en términos del comportamiento espectral de cualquier cantidad de señales propagantes en un sistema óptico, para permitir de este modo la manipulación de dichas variables con el fin de mejorar la eficiencia espectral.
2. TRABAJOS FUTUROS
Gracias al desarrollo del presente artículo fue posible identificar nuevas áreas de investigación susceptibles de profundización, como algunas de las temáticas propuestas anteriormente enmarcadas en los siguientes criterios:
Adaptación de la teoría de la información para el régimen de propagación no lineal en una arquitectura de red óptica de próxima generación.
Medida de la densidad espectral de información en arquitecturas de red FSAN para entornos de comunicaciones ópticas.
Medida de la eficiencia espectral para una arquitectura de red XGS-PON mediante la implementación de diferentes esquemas de modulación multinivel.
Análisis de dispositivos de amplificación para mitigar los fenómenos de penalidades de potencia y controlar el régimen de propagación de diferentes arquitecturas de red de próxima generación.
3. CONCLUSIONES
Mediante la realización de este artículo, se logró evidenciar que es posible adaptar la teoría de la información clásica de Shannon Hartley a los estándares de la próxima generación de sistemas de comunicaciones ópticos propuestos por FSAN, de modo que es factible controlar algunos parámetros y características de configuración para lograr mejoras en la eficiencia espectral y alcanzar altas capacidades de acceso con grandes anchos de banda; del mismo modo, mediante la implementación de la teoría de la información adaptada, es posible disminuir significativamente el espaciamiento de los canales ópticos e incrementar el número de canales propagados, lo que mejora la media de la eficiencia espectral más allá de los límites de los sistemas binarios.
AGRADECIMIENTOS
El autor expresa sus agradecimientos al Comité de Programa de la Maestría en Electrónica y Telecomunicaciones de la Universidad del Cauca por sus aportes y recomendaciones, y al grupo de investigación GNTT (Grupo de Nuevas Tecnologías en Telecomunicaciones) de la Universidad del Cauca por su colaboración y consejos en el desarrollo del presente artículo.
REFERENCIAS
[1] S. D. N., UIT, "Visión general de las redes de próxima generación", Recommendation UIT-T Y. 2001, Ginebra, pp. 2, 2004.
[2] FSAN. Full Service Access Network, "comité desarrollador UIT', Página Web Retrieved from https://www.fsan.org/.
[3] Rong Zhao et al., "FTTH Handbook', Fibre to the Home Council Europe, Wettelijk Depot, 2018.
[4] S. D. N., UIT, "10-Gigabit-capable passive optical network (XG-PON) systems: Definitions, abbreviations and acronyms", Recommendation UIT-T. G. 987, Ginebra, 2012.
[5] S. D. N., UIT, "10-Gigabit-capable passive optical networks (XG-PON): General requirements", Recommendation UIT-T. G. 987.1, Ginebra, 2016.
[6] S. D. N., UIT, "10-Gigabit-capable passive optical networks (XG-PON): Physical media dependent (PMD) layer specification", Recommendation UIT-T. G 987.2, Ginebra, 2016.
[7] S. D. N., UIT, "10-Gigabit-capable passive optical networks (XG-PON): Transmission convergence (TC) layer specification", Recommendation UIT-T. G. 987.3, Ginebra, 2014.
[8] S. D. N., UIT, "10 Gigabit-capable passive optical networks (XG-PON): Reach extensión", Recommendation UIT-T. G 987.4, Ginebra, 2012.
[9] S. D. N., UIT, "10-Gigabit-capable symmetric passive optical network (XGS-PON)", Recommendation UIT-T. G. 9807.1, Ginebra, 2016.
[10] S. D. N., UIT, "10 Gigabit-capable passive optical networks (XG(S)-PON): Reach extensión", Recommendation UIT-T. G. 9807.2, Ginebra, 2017.
[11] S. D. N., UIT, "40-Gigabit-capable passive optical networks (NG-PON2): General requirements", Recommendation UIT-T. G 989.1, Ginebra, 2013.
[12] S. D. N., UIT, "40-Gigabit-capable passive optical networks 2 (NG-PON2): Physical media dependent (PMD) layer specification", Recommendation UIT-T. G 989.2, Ginebra, 2019.
[13] S. D. N., UIT, "40-Gigabit-capable passive optical networks (NG-PON2): Transmission convergence layer specification", Recommendation UIT-T. G 989.3, Ginebra, 2015.
[14] C. E. Shannon, "A mathematical theory of communication", The Bell System Technical Journal, Vol. 27, pp. 379-423, 623-656, 1948. Available: http://www.math.harvard.edu/~ctm/home/text/others/shannon/entropy/entropy.pdf
[15] H. Simon, Sistemas de Comunicación, 2da edición. Madrid, España: Limusa Wiley, 2001.
[16] J. G. Proakis, and M. Salehi, Digital communications. Fifth Edition. New York: McGraw-Hill, 2007.
[17] R. G. Gallager, Information theory and reliable communication. New York: Wiley, 1968.
[18] E. Desurvire, Classical and quantum information theory: an introduction for the telecom scientist. Cambridge: University Press, 2009.
[19] J. M. Kahn, K. P. Ho, "Ultimate spectral efficiency limits in DWDM systems", In Opto Electronics and Communications Conference, 2002, pp. 8-12.
[20] K. P. Ho, J. M. Kahn , ''Channel capacity of WDM systems using constant-intensity modulation formats", In Optical Fiber Communication Conference (p. ThGG85), Optical Society of America, March, 2002.
[21] A. Mecozzi, M. Shtaif, "On the capacity of intensity modulated systems using optical amplifiers", IEEE Photonics Technology Letters, vol. 13, no. 9, pp. 1029-1031, 2001.
[22] E. E. Narimanov, P. Mitra, "The channel capacity of a fiber optics communication system: Perturbation theory",Journal of lightwave technology, vol. 20, no. 3, p. 530, 2002.
[23] P. P. Mitra, J. B. Stark, "Nonlinear limits to the information capacity of optical fibre communications", Nature, 411(6841), 1027. 2001.
[24] I. Brener et al., "Cancellation of all Kerr nonlineari-ties in long fiber spans using a LiNbO 3 phase con-jugator and Raman amplification", In Optical Fiber Communication Conference, 2000. doi: 10.1109/OFC.2000.869479
[25] P. J. Winzer, and R. J. Essiambre, "Advanced optical modulation formats", Proceedings of the IEEE, vol. 94, no. 5, pp. 952-985, 2006. doi: 10.1109/JPROC.2006.873438
[26] G. Gómez, "Mejora de la Eficiencia Espectral en redes DWDM a 40Gbps a través de los formatos de modulación avanzados DPSK y DQPSK", (Tesis de maestría), Universidad del Cauca, 2019.
Notas
Notas