Implementación de un filtro pasivo para compensación armónica y corrección del factor de potencia
Implementation of a Passive Filter for Harmonic Compensation and Power Factor Correction
Implementación de un filtro pasivo para compensación armónica y corrección del factor de potencia
Científica, vol. 20, núm. 1, pp. 3-11, 2016
Instituto Politécnico Nacional
Recepción: 23/08/2015
Aprobación: 10/12/2015
Resumen: Se exponen los resultados al analizar el contenido armónico presente en un punto de la subestación de Sevilla, en la empresa Centrales Eléctricas del Norte de Santander SA ESP (CENS SA ESP) en Colombia, donde el nivel de distorsión armónico de voltaje excede el límite establecido por la Comisión de Regulación de Energía y Gas (CREG). Para esto se propone la implementación de un filtro pasivo como estrategia de compensación armónica donde a través también del banco de capacitores que este posee, se permite la corrección del factor de potencia, teniendo en cuenta las características eléctricas de la red, así como los puntos de resonancia presentes en la misma, a fin de evitar posibles daños en las componentes del filtro y de insertar niveles de resonancias extras no deseados a la red objeto de estudio. Por medio del software DigSILENT Power Factory se simuló el sistema para corroborar la respuesta del mismo tras la conexión del filtro, obteniendo resultados satisfactorios gracias a la sintonización minuciosa de la estrategia propuesta.
Palabras clave: distorsión armónica, carga no lineal, filtro, resonancia serie, resonancia paralela.
Abstract: The results are shown after analyzing the harmonic content present at a point in the substation of Sevilla, in CENS SA ESP (Colombia), where the THD exceeds the limit proposed by the Comisión de Regulación de Energía y Gas (CREG). The implementation of a passive filter as compensation strategy is proposed, where the power factor correction is allowed by the capacitor, considering the electrical characteristics of the network and present resonance points on it; this implementaton is proposed in order to prevent possible damage to the components of the filter and inserting extra levels and unwanted resonances to the network under study. DIgSILENT Power Factory software system simulations were performed to confirm the response of the filter connection, satisfactory results were obtained thanks to careful tuning of the proposed strategy.
Keywords: harmonic distortion, filter, nonlinear load, parallel resonance, series resonance.
1. Introducción
El avance en materia tecnológica ha dado lugar para que en los sistemas eléctricos se presenten corrientes o tensiones no deseadas, estas se deben principalmente por la presencia de cargas que incluyen dispositivos de conmutación electrónica para su funcionamiento: comúnmente llamadas cargas no lineales, causantes de problemas en los mismos; como el mal comportamiento de las protecciones, aumento en las pérdidas por potencia activa, deterioro en aislamientos y dieléctricos, disminución en la vida útil de los electrodomésticos, entre otros.
Tales corrientes o tensiones no deseadas reciben el nombre de señales armónicas, las cuales se unen a la forma de onda de voltaje y corriente ocasionando en esta una distorsión, debido en mayor parte al uso de equipos que basan su funcionamiento en dispositivos electrónicos que realizan conmutaciones a alta frecuencia en su condición nominal de funcionamiento.
Actualmente CENS SA ESP cuenta con equipos que permiten conocer en tiempo real el nivel de distorsión armónica total (THD) presente en la forma de onda, tanto de voltaje como de corriente.
En conformidad con las atribuciones legales, la CREG, entidad encargada del marco legal regulatorio que rige a las empresas prestadoras de servicios públicos domiciliarios en Colombia, se basa en la resolución 024 del año 2005 [1], con base en lo estipulado, la distorsión total armónica de voltaje (THDv) para niveles de tensión 1, 2 y 3 no puede sobrepasar el 5% [2].
CENS SA ESP realizó mediciones del contenido armónico en su señal de voltaje corroborando que en algunos puntos el THDv excedía el límite estipulado por la norma, razón por la que se hace necesario analizar y diseñar una estrategia para compensar el exceso.
Para esto se propone como estrategia de compensación la implementación de un filtro pasivo, analizando el comportamiento de la impedancia de la red en función de la frecuencia, de modo que, tras la incorporación del filtro a la misma, este comportamiento no se vea afectado por la aparición de resonancias series o paralelas que contribuyan al deterioro en los componentes del filtro y del mismo sistema.
2. Metodología
Los datos utilizados para este estudio son registros tomados en el punto que tiene como nombre SEVC1, este es el interruptor principal del módulo de transformación No 1 de 25-32MVA ubicado en la subestación de Sevilla; este es un punto de 13.2kV. Estas medidas fueron realizadas entre el periodo del 1 de marzo al 1 de abril de 2015.
Las lecturas se tomaron a partir de las 12:00 horas del 1 de marzo hasta las 12:00 horas del 1 de abril, realizándose cada 10 minutos la medición de los niveles armónicos presentes en cada una de las fases en el punto.
De los 4465 registros se escogió como base de estudio el que mayor nivel de TDHv mostraba en la red; con base en este, se modeló la misma utilizando el software DigSILENT Power Factory, que a través del método de inyección de corrientes armónicas [3] permitió que el espectro armónico simulado fuera lo más aproximado a los datos medidos en la realidad, esto con el propósito de analizar de manera prospectiva los niveles de THDv presentes en la red tras la implementación de la estrategia, a fin que los mismos estuviesen en los valores recomendados por la CREG.
3. Análisis y presentación de resultados
3.1. Análisis preliminar y validación de los datos
Un análisis preliminar de los registros fue realizado con el fin de determinar, primero, el evento donde se presentase el mayor nivel de THDv y, segundo, la estrategia de compensación a utilizar. Este tuvo lugar el día 8 de marzo a las 4:30 p.m. donde el nivel de THDv para la fase A, B y C fue de 5.0246%, 5.4571% y 5.3931%, respectivamente.
Como se aprecia en la tabla 1 que muestra los niveles de THDv, en la tabla 2 los niveles de distorsión total armónica de corriente (THDi).


Con base en los datos obtenidos se analizó que el 5o armónico incide notablemente para que el THDv exceda los niveles, no solamente este registro, sino en todos, ya que es el armónico con mayor nivel presente en todas las medidas realizadas (véase tablas 3, 4 y 5).



Al examinar la situación que se presenta, atacar el 5o armónico haría que el THDv disminuya considerablemente, ya que es el de mayor influencia para que el nivel exceda su límite. Con base en lo planteado, la estrategia de compensación por filtrado pasivo se adapta a nuestro caso de estudio, ya que es posible sintonizar un filtro a la frecuencia del 5o armónico (300Hz), con el fin de facilitar el paso de los mismos a través de un camino de baja impedancia que se formaría en la rama a diseñar.
A través de DigSILENT Power Factory se modeló la red (véase Fig. 1), obteniendo niveles de THDv muy cercanos a los valores medidos en la realidad.

3.2. Diseño y sintonización del filtro pasivo
Los filtros pasivos shunt o paralelo proveen un camino de baja impedancia para las corrientes armónicas, está compuesto por una rama RLC en serie, que se conecta en paralelo con la barra o sistema de alimentación.
Además de ser más económico que otras estrategias de compensación y transportar solo las corrientes para las cuales fue sintonizado, existe la posibilidad de que el mismo proporcione parte de la potencia reactiva del sistema [4].
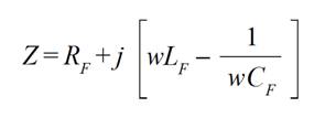
La impedancia del filtro a diseñar es:
(1)donde:
w : frecuencia angular.
RF : resistencia del filtro.
LF : reactor del filtro.
CF : capacitancia del banco de capacitores.
Su estructura y respuesta en frecuencia se muestra en la figura 2[2].

(2)Este es el cálculo del filtro para eliminar la 5a armónica (sintonización realizada a un 6% menos de la frecuencia armónica, de acuerdo a la norma IEEE-1531-2003) [5].
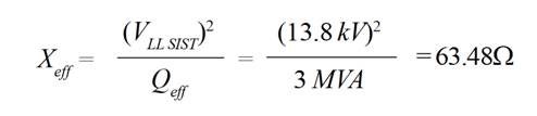
Al realizar las mediciones, el factor de potencia del sistema era de 0.827. Para el diseño se plantea que se desea elevar el mismo a 0.95, con base en antecedentes que demuestran que para justificar la inversión, como mínimo se debe elevar el factor de potencia a este valor. Por lo tanto la potencia en el capacitor (5) debe ser:
(3)
(4)
(5)El banco de capacitores trifásico instalado en el punto SEVC1 se debe seleccionar con respecto a los valores comerciales establecidos en la norma IEEE-18-2002 [6]. El arreglo estará formado por un grupo por fase, tal grupo a su vez contará con 5 unidades de capacitores de 200kVAr, haciendo en total 1MVAr por fase y 3MVAr trifásicos.
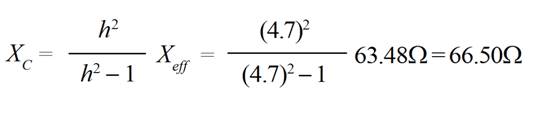
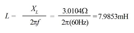
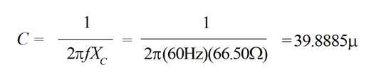
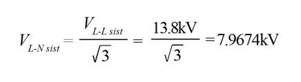
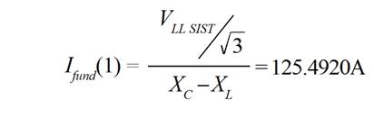
Se calcula la impedancia de la red a la frecuencia fundamental, así como la impedancia capacitiva, la capacitancia, la impedancia inductiva y la inductancia del reactor de acuerdo a (6), (7), (8), (9) y (10), respectivamente:
(6)
(7)
(8)
(9)
(10)Para este tipo de filtros [7] se recomienda que el factor de calidad, tenga un valor entre 20 y 30. En el presente diseño se tiene un valor de 20 (11), por lo que:
(11)Para que el filtro presente un camino de baja impedancia a la frecuencia requerida se debe cumplir que (12):
(12)
(13)
(14)Para verificar que el filtro no sufra daños por posibles sobrecorrientes debido a las corrientes armónicas, se corrobora que no excede 135% (23) a la corriente fundamental (15), tal cual lo establece la norma IEEE-18-2002.
(15)Corrientes armónicas con respecto a la fundamental:
(16)
(17)
(18)
(19)
(20)
(21)
(22)
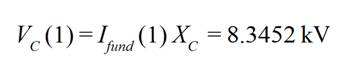
(23)Ahora se revisa que el voltaje pico del sistema no exceda el voltaje de diseño del banco de capacitores; se corrobora que este no exceda 120% (35) al voltaje de fase pico del sistema, tal cual lo establece la norma IEEE-18-2002.
Cálculo del voltaje a frecuencia fundamental.
(24)Cálculo de los voltajes provocados por los armónicos.
(25)
(26)
(27)
(28)
(29)
(30)
(31)Cálculo del voltaje pico por fase del capacitor.
(32)Cálculo del voltaje de fase del sistema.
(33)Cálculo del voltaje de fase pico del sistema.
(34)
(35)El valor de voltaje pico cumple con la norma IEEE-18-2002.
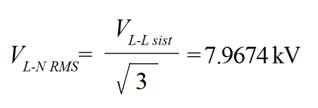
El voltaje RMS del sistema no debe exceder el voltaje RMS de diseño del banco de capacitores (36); se corrobora que este no exceda 110% (38) al voltaje de fase RMS del sistema, tal cual lo establece la norma IEEE-18-2002.
Cálculo del voltaje RMS del capacitor.
(36)Cálculo del voltaje de fase RMS del sistema.
(37)
(38)El valor de voltaje RMS cumple con la norma IEEE-18-2002.
Se corrobora la potencia reactiva con base en la norma (40):
(39)
(40)El valor de potencia cumple con la norma IEEE-18-2002.
Para finalizar el diseño del filtro pasivo, se verifica que el calentamiento del dieléctrico del capacitor sea aceptable con base a la norma IEEE-18-2002. Este se evalúa por la desigualdad (41):
(41)Comparando la desigualdad se tiene: 3.1426MVAr < 4.2416MVAr
La desigualdad se satisface, por lo tanto el calentamiento del dieléctrico del capacitor es aceptable.
3.3.Simulación y resultados
Al realizar la inyección de las corrientes armónicas medidas en el punto SEVC1 (véase Tabla 2), se obtuvieron niveles de armónicos muy similares a la realidad (véase Fig. 3).

Con base en este modelo, se procede a obtener la curva de Impedancia vs Frecuencia de la barra a 13.2kV.
Las simulaciones del sistema muestran que a estas condiciones, se presenta resonancias paralelo y serie, las cuales son peligrosas si se considera que tales picos están próximos a la frecuencia fundamental (véase Fig. 4). Luego el comportamiento de la barra a altas frecuencias es netamente inductivo.

También se nota una leve deformación en la forma de onda del voltaje para este punto (véase Fig. 5).

Se procede a conectar el filtro. La sintonización se realizó a una frecuencia más baja de la deseada, en nuestro caso para eliminar la 5a armónica.
Se sintonizó a una frecuencia 6% menor que la deseada (300Hz); es decir a 282Hz, ya que primero, las corrientes contaminantes no van a estar exactamente a la frecuencia del armónico, sino a una frecuencia más baja y, segundo, ante un cambio de la resonancia serie a valores de alta frecuencia, dará como resultado un aumento en la impedancia vista por las corrientes armónicas que son orden de la frecuencia de diseño, ocasionando desgastes en las componentes del filtro como el envejecimiento del condensador, lo cual haría que su capacitancia disminuyera [7], [8].
Tras la inclusión del filtro al sistema se puede ver una reducción considerable en el nivel de distorsión armónica de la red (véase Fig. 6), en aproximadamente un 71% (véase tablas 6 y 7).



También se observa que la resonancia paralela se trasladó a una frecuencia de 240Hz, que coincide con el 4° armónico (véase Fig. 7), pero como esta componente no es inyectada al sistema por las cargas no lineales no habrá problema con la misma.

A altas frecuencias luego de la resonancia en serie presente en cercanías al 5° armónico (300Hz), como consecuencia del camino de baja impedancia que ofrece el filtro, la impedancia mantiene su comportamiento inductivo.
También se nota una mejora en la forma de onda de voltaje, asemejándose más a una onda totalmente senoidal (véase Fig. 8).

Se aprecia cómo la inclusión de un filtro pasivo, sintonizado a la frecuencia del armónico que más afecta la señal de voltaje, puede ser una posible solución para disminuir la distorsión presente en el punto SEVC1, donde, además, también se contribuye a elevar el factor de potencia del sistema a 0.95.
4.Conclusiones
La estrategia de compensación a través de filtros pasivos es una buena solución para disminuir la distorsión armónica, en aquellos casos donde el THDv excede su nivel gracias a que ciertos armónicos presentan mayor nivel que otros en específico y este nivel sea cercano al límite permitido; para redes donde los niveles de THD estén muy por encima de la norma se recomienda implementar otra estrategia de compensación.
Además de disminuir el contenido armónico también fue posible incluir un banco de capacitores en el diseño, que incidió notoriamente al mejoramiento en el factor de potencia, donde la potencia reactiva necesaria para tal mejoramiento es la base en este caso para el diseño del filtro.
Como consecuencia de la alta vulnerabilidad que presenta este tipo de estrategia, se hizo necesario realizar una sintonización minuciosa del filtro, a fin de evitar que con el tiempo y condiciones a las que este expuesto el mismo, una leve desintonía en la frecuencia de diseño ocasione daños en las componentes del filtro. No obstante, esta desintonía con el tiempo es inevitable, debido al desgaste propio al que se ven sometidos tales componentes por la continua operación del sistema.
Una de las principales pautas de diseño se basa en tratar que las resonancias pico del sistema se encuentren alejadas de la frecuencia fundamental o que estén a frecuencias cuyo orden armónico no es inyectado por las cargas no lineales conectadas a la red, evitando con esto problemas de sobretensiones y sobrecorrientes que afecten por ejemplo el aislamiento sólido de los cables, las bobinas de las máquinas, envejecimiento en el capacitor del filtro, entre otros.
Un factor de calidad elevado es causante de la aparición de un valle prominente a la frecuencia de diseño en la curva de Impedancia vs Frecuencia, razón por la que se produce la captura en tal punto de gran contenido armónico. Sin embargo, estos filtros pueden atrapar corrientes armónicas de frecuencias cercanas, por la que se debe evaluar el impacto de estas corrientes extras en el funcionamiento del filtro. Se recomienda adoptar un bajo factor de calidad en situaciones donde el nivel de TDH exceda levemente la norma, de lo contrario se recomienda adoptar un alto valor, estudiando previamente las posibles consecuencias que acarree tal pauta en el diseño.
La posible implementación a futuro de la estrategia propuesta ayudará a que CENS SA ESP cumpla con los límites establecidos por la CREG, demostrando a su vez el interés por brindar un buen servicio al usuario, cumpliendo lo establecido por la norma e implementando estrategias para corregir los problemas existentes, confirmando su estatus de empresa líder en la prestación del servicio a nivel regional [9],[10],[11].
Agradecimientos
Los autores agradecen al ingeniero Ricardo Aurelio Rincón, profesional P2 de la Unidad de Gestión Operativa de CENS SA ESP por su presta participación y asesoría en el desarrollo de la propuesta, por brindar la información necesaria para el análisis del sistema y planteamiento de la estrategia, así como a la ingeniera Gloria Esmeralda Sandoval por sus constantes asesorías con base en su experiencia en campo y desarrollo de propuestas en el sector eléctrico.
Referencias
[1] Resolución 024-2005, por la cual se modifican las normas de calidad de la potencia eléctrica aplicables a los servicios de Distribución de Energía Eléctrica , Colombia, CREG, 2005.
[2] IEEE Recommended Practices and Requirements for Harmonic Control in Electrical Power Systems, IEEE standard 519-1992 , 1992.
[3] N. R. Noroña Lucero, "Diagnóstico de perturbaciones armónicas en el Sistema Nacional Interconectado," tesis de grado, Ingeniería Eléctrica, Escuela Politécnica Nacional, Quito, Ecuador, 2011.
[4] C. A. Ríos Porras, M. Aristizabal Naranjo, and R. A. Gallego, "Análisis de armónicos en sistemas eléctricos," Sci. Tech ., vol. 1, no. 21, pp. 21-26, julio 2003.
[5] IEEE Guide for application and specification of harmonics filters, IEEE standard 1531-2003 , 2003.
[6] IEEE Standard for Shunt Power Capacitors, IEEE standard 18-2002 , 2002.
[7] H. Alvarado Perusquia, and J. M. Ramírez Sánchez "Metodología para el análisis de propagación y filtrado de armónicas en sistemas eléctricos," tesis de licenciatura, Ingeniería Eléctrica, Instituto Politécnico Nacional, Ciudad de México, México, 2010. [en línea]. Disponible en: http://tesis.ipn.mx/jspui/bitstream/123456789/6514/1/METODOLOGANALIS.pdf
[8] E. Parra, Análisis de armónicos en sistemas de distribución . Bogotá: Unibiblos, 2004.
[9] XM SA ESP, Descripción del Sistema Eléctrico Colombiano , 2015 [en línea]. Disponible en: http://www.xm.com.co/Pages/DescripciondelSistemaElectricoColombiano.aspx
[10] Schneider Electric, Capítulo M. Detección y filtrado de armónicos , 2015. [en línea]. Disponible en: http://www.schneiderelectric.es/documents/local/productos-servicios/distribucion_electrica/guia_instalaciones_electricas/capitulo-m-deteccion-filtrado-armonicos.pdf
[11] Circutor SA, ¿Vale cualquier banco de capacitores? , 2015. [en línea]. Disponible en: http://circutor.es/es/documentacion/articulos/833-vale-cualquier-bateria-de-condensadores
Notas de autor
leonard1400@hotmail.com