Análisis de envejecimiento de los pernos de cierre de la tapa de una vasija de un reactor nuclear tipo BWR
Aging Analysis of the Stud Bolts of the Closure Head of a BWR Nuclear Reactor Vessel
Análisis de envejecimiento de los pernos de cierre de la tapa de una vasija de un reactor nuclear tipo BWR
Científica, vol. 21, núm. 1, pp. 35-41, 2017
Instituto Politécnico Nacional
Recepción: 26 Abril 2016
Aprobación: 18 Octubre 2016
Resumen: En el proceso de renovación de la licencia operativa de una central nuclear, se tiene que determinar que los diversos componentes que están relacionados con la seguridad que continúen operando sin ningún problema durante el período de extensión solicitado. En este trabajo, se presenta el análisis de envejecimiento de los pernos de cierre de la tapa de una vasija de un reactor nuclear tipo BWR. Para este efecto, la evaluación se compone de dos partes: (1) Un Programa de Gestión del Envejecimiento (AMP, por sus siglas en inglés) y (2) un Análisis de Envejecimiento de Tiempo Limitado (TLAA, por sus siglas en inglés). Se han tomado en cuenta los lineamientos establecidos en el NUREG 1800 Revisión 2 y el NUREG 1801 Revisión 2 [1], [2]. El primero contiene la estructura de una solicitud de la renovación de la licencia e información regulatoria, el segundo reúne experiencias que se han presentado en plantas nucleoeléctricas. También, se describe el AMP XI.M3 de los pernos e identifica el TLAA de fatiga que les corresponde. Los casos, que fueron considerados para determinar el daño acumulado de los pernos, son: precarga, prueba hidrostática, arranque, funcionamiento estable y apagado. Del documento IAEA-TECDOC-1470 [3] se recopila información como: presión de diseño, temperatura de operación, etc. El número de ciclos de las condiciones de operación fue obtenido de la solicitud de renovación de licencia de la central nuclear de Limerick [4]. Utilizando el método del elemento finito y siguiendo el procedimiento del código ASME Sección III, se obtiene el daño acumulado por fatiga (CUF) proyectado para 60 años [5] el cual es de 0.2458. Esto demuestra que se operará sin problemas y se satisfacen los criterios de aceptación la 10 CFR 54.21 (c) (1).
Palabras clave: factor de daño acumulado, fatiga, NUREG 1800, NUREG 1801.
Abstract: Regarding the renewal of the operating license of a nuclear power plant, it has to be demonstrated that the components, which are related to safety, will continue in operation without any problems during the extension period requested. In this paper, an aging analysis of the reactor head closure stud bolting of a BWR reactor was carried on. For this purpose, it was considered the Aging Management Program, AMP XI.M3 and a Time Limited Aging Analysis (TLAA). They are based on the requirements established in the NUREG´s 1800 and 1801 [1], [2]. The first contains the structure of an application for renewal of an operating license and the regulatory outline, which has to be followed. The second document summarizes the experiences of similar nuclear power plants. The cases that were considered to determine the cumulative damage of the bolts, were: preloading, hydrostatic testing, startup, stable operation and shutdown. The operation parameters, such as design pressure, operating temperature, among others, were obtained from IAEA-TECDOC-1470 [3]. The number of cycles of operating conditions were obtained from the application of the renewal license of the Limerick nuclear power plant. [4]. The Cumulative Usage Factor (CUF) was obtained with the finite element method and the procedure of the ASME Code Section III [5]. This evaluation was considered for sixty years of operation. Under these conditions, the CUF was 0.2458. Therefore, the bolts will operate under safe conditions and the criteria of the 10 CFR 54.21 (c) (1) is satisfied.
Keywords: accumulative damage factor, fatigue, NUREG 1800, NUREG 1801.
1. Introducción
El creciente aumento en el consumo de energía eléctrica a nivel mundial y la contaminación derivada de la producción energética, han hecho que se busquen alternativas para satisfacer el suministro eléctrico. Una de estas opciones ha sido la energía nuclear. Esta no produce emisiones de dióxido de carbono al medio ambiente que induce el efecto invernadero con el consiguiente calentamiento global o cambio climático. Para aprovechar al máximo este tipo de plantas, la tendencia a nivel mundial es incrementar su potencia y operarlas por un periodo adicional a su vida útil de diseño (40 años).
Consecuentemente, se busca la renovación de licencia operativa. Esta se autoriza con base en una evaluación de seguridad enfocada al envejecimiento de los componentes pasivos. A fin de poder emitir un juicio acerca de que los componentes pasivos cumplen o no con sus funciones de seguridad durante el período extendido de operación, es necesario llevar a cabo una serie de Programas de Gestión del Envejecimiento (AMP) y Análisis de Envejecimiento de Tiempo Limitado conocidos como TLAA (Time Limited Aging Analysis) [1], [2].
Los pernos de cierre de la vasija del reactor son componentes clasificados como clase 1, es decir, que si fallan su consecuencia es de alta severidad y son componentes que se encuentran en la frontera de presión. Su función principal es destapar el reactor para realizar las recargas de combustible y mantenerlo cerrado mientras opera. Los pernos forman parte de los componentes que requieren aparte de un AMP un estudio adicional (TLAA de fatiga). Este trabajo pretende demostrar para un caso tipo que los componentes evaluados cumplirán con sus funciones de seguridad durante el periodo extendido de operación. En este caso el TLAA es un análisis de fatiga donde se obtiene el daño acumulado por fatiga (CUF, por sus siglas en inglés) proyectado a 60 años. Para tal efecto y debido al control que existe sobre la energía nuclear es necesario conocer la normatividad del país de origen del reactor. El análisis implica el estudio de transferencia de calor, evaluación de fatiga y método del elemento finito.
2. Desarrollo
2.1. Descripción del problema
La vasija de un reactor BWR, es un recipiente de presión, cilíndrico vertical, con un fondo semiesférico soldado al cuerpo cilíndrico en la parte inferior. La parte superior tiene una tapa semiesférica desmontable que se utiliza para mantener cerrada la vasija durante la operación normal (sin permitir fugas). Durante las operaciones de recarga de combustible se requiere desmontar la tapa para permitir el mantenimiento de los internos, así como la recarga de los ensambles que contiene el combustible. El conjunto de cierre de la vasija del reactor está compuesto por: (1) pernos, (2) tuercas, (3) arandelas esféricas, (4) brida de la vasija y (5) brida de la tapa de la vasija (véase Fig. 1).

Con base en el NUREG 1801 Revisión 2 [2] los pernos de cierre de la vasija del reactor requieren un AMP y un TLAA de fatiga. Estos estudios son necesarios para demostrar que los componentes a evaluar cumplen o no con sus funciones de seguridad durante el periodo extendido de operación. En el TLAA se consideran los siguientes casos para determinar el daño acumulado de los pernos: precarga, prueba hidrostática, arranque, funcionamiento estable y apagado.
2.2. Metodología
Para efectuar el análisis de los pernos de cierre de la vasija del reactor se siguen los siguientes pasos:
1. Identificar los componentes.
2. Revisar la normatividad aplicable.
3. Seguir los lineamientos establecidos en el NUREG 1800 Rev. 2 y el NUREG 1801 Rev. 2 [1], [2].
4. Recopilar información de los parámetros de diseño (presión, temperatura, ciclos de operación, etcétera).
5. Utilizar el método del elemento finito y seguir el procedimiento del código ASME Sección III, para obtener el daño acumulado por fatiga (CUF) de la brida y pernos de cierre de la vasija proyectados a 60 años.
6. Dar un veredicto en conformidad con los criterios de aceptación de la 10 CFR 54.21 (c) (1).
2.3. Identificación de los programas
El documento que sirve como punto de partida para relacionar los componentes con su respectivo AMP y su TLAA es el: "Generic Aging Lessons Learned (GALL) Report: Reactor Vessel (BWR), NUREG-1801, Rev. 2". Este reporte técnico, en su capítulo IV Vasija del reactor, internos y sistema de enfriamiento, sección A1. Vasija del reactor (BWR) identifica en forma dichos programas. Con respecto a los pernos de cierre, la Tabla 1 señala los ítems correspondientes [2].
2.4. AMP XI.M3 Pernos de cierre de la tapa de la vasija del reactor
Descripción del programa de gestión del envejecimiento AMP
Este programa incluye: (a) inspección en servicio (ISI) de acuerdo con los requisitos del Código de la Sociedad Americana de Ingenieros Mecánicos (ASME), Sección XI, Subsección IWB (2004 edición, no adenda), Tabla IWB 2500-1[6]; y (b) aplicar medidas preventivas para mitigar el agrietamiento. El programa también se apoya en las recomendaciones para hacer frente a la degradación de los pernos de cierre de la tapa de la vasija del reactor tal como se expone en el NUREG-1339 [9] y la Comisión Nuclear Reguladora (NRC) Guía Reguladora (RG) 1.65. [10].
El programa contiene 10 elementos: (1) Alcance del programa; (2) Acciones preventivas; (3) Parámetros monitoreados / inspeccionados; (4) Detección de efectos del envejecimiento; (5) Monitoreo y tendencias; (6) Criterios de aceptación; (7) Acciones correctivas; (8) Confirmación del proceso; (9) Controles administrativos y; (10) Experiencia operativa.
2.5. Análisis de Envejecimiento de Tiempo Limitado (TLAA) de fatiga
Para la creación del modelo se emplearon como referencia las figuras del código ASME sección XI [6] y el manual de Diseño de recipientes a presión de Moss Denis [7]. Del documento IAEA-TECDOC-1470 [3] se recopila información como: presión de diseño, temperatura de operación, dimensiones generales, etc. (véase Tabla 2). Los diámetros de los pernos se calculan con en el código ASME, Sección III, Apéndice E, Artículo E-1000. Con base a esta información se construye el modelo de la tapa, brida y pernos (véase Fig. 2).


Con el fin de reducir los recursos computacionales requeridos, el modelo se simplifica a una sección de 1/60 (6°) del modelo completo (véase Fig. 3).

Las propiedades de los materiales se obtiene del código ASME Sección II [8]. Se genera la malla utilizando elementos sólidos 3D de alto orden como lo ilustra la Fig. 4.

Los casos a evaluar son:
- Precarga. En esta etapa los pernos de cierre de la tapa de la vasija son apretados con el fin de mantener cerrada herméticamente la tapa. Se considera una temperatura de 70°F.
- Prueba hidrostática. Es una prueba de presión en la que se somete a presión el reactor para verificar su hermeticidad. Se considera una temperatura de 70°F.
- Arranque. El reactor es puesto en marcha, la temperatura interna es incrementada hasta 575°F.
- Estado estable: Es la fase en la cual el reactor se mantiene operando.
- Paro. El reactor es detenido para realizar una recarga o detener el reactor ante algún evento. La temperatura interna del reactor baja. Se considera una temperatura de 90°F.
Un criterio de diseño del código ASME es la Teoría de falla del esfuerzo cortante máximo que se encuentra estipulada en la Sección III, Reglas para la construcción de componentes de plantas nucleares, en el apartado NB-3212 [5]. Por dicha razón, los resultados de interés es la intensidad de esfuerzo (stress intensity) que corresponde a esta teoría. Los casos precarga y prueba hidrostática no requieren análisis térmico. Por otro lado el arranque, estado estable y paro si lo requieren. Las siguientes figuras ilustran los resultados del estado estable donde primero se hace un análisis térmico (véase Fig. 5 (A) y Fig. 5 (B)) sus resultados se importan a un análisis estructural para considerar los efectos térmicos (véase Fig. 5 (C)).

La Tabla 2 concentra los resultados de los casos de interés.
La forma de cuantificar el daño por fatiga es el factor de uso acumulado por fatiga (CUF) y se hace mediante la regla de Miner. Este valor nos indica cuanta vida se ha consumido. El procedimiento que se emplea se establece en el apartado NB-3222.4 del código ASME, Sección III. La amplitud de la intensidad de esfuerzo alternante (Alternating Stress Intensity) Saltse determina con la siguiente fórmula[5]:

donde:
EC: Módulo de elasticidad usado en la curva de fatiga (30 x 106 psi).
ET: Módulo de elasticidad a la temperatura de trabajo.
Kf : Factor de concentración de esfuerzo por fatiga en la cuerda, NB-3232.3 (c) 4.
Se grafica la intendad de esfuerzos obtenidos para los casos de interes y se realiza el conteo de los ciclos con el método de Rain Flaw ya que nos permite hacer el conteo de ciclos cuando el esfuerzo medio varia. En forma general, consiste en ir recorriendo el historial de la carga localizando los picos y contando como un ciclo completo o como medio ciclo. Este método es similar a la caida de las gotas de lluvia cayendo por un tejado.
El factor de daño acumulado se realiza para cada uno de los casos analizados. Este se hace de manera similar. Como caso típico se ilustra el de la prueba hidrostática.

Se consulta la tabla I-9.1 y figura I-9.4 del código ASME Sección III [5] se tiene que: Si = 225 ksi, Sj = 143 ksi, Ni= 200 ciclos y Nj= 500 ciclos.

Factor de uso acumulado por fatiga

La forma de cuantificar el daño por fatiga es el factor de uso acumulado por fatiga (CUF) y se hace mediante la regla de Miner:

donde:
n = número de ciclos aplicados
N = número de ciclos permisibles
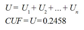
Factor de uso acumulado por fatiga total:

3. Evaluación de resultados
Con base en el AMP XI.M3, los pernos de cierre de la tapa de la vasija del reactor se ven afectados por agrietamiento por corrosión bajo esfuerzo (SCC) y agrietamiento intergranular por corrosión bajo esfuerzo (IGSCC) y pérdida de material debido a corrosión o desgaste. Como medidas para mitigar se tiene que:
- Evitar el uso de pernos con metal depositado (metal-plated).
- Utilizar un tratamiento superficial de fosfato de manganeso u otro que sea aceptable.
- Usar un lubricante estable. No se debe usar ningún lubricante que contenga disulfuro de molibdeno (MoS2).
-El esfuerzo de cedencia del material debe ser menor a 150 ksi.
Implementando estas medidas de mitigación se puede reducir la posibilidad de que se presente el SCC, o IGSCC lo que hace a este programa más efectivo. El AMP XI.M3 es un programa existente en diversas plantas BWR y la inspección se lleva acabo conforme a los lineamientos del código ASME Sección XI.
Por otro lado el TLAA de fatiga está enfocado a la cuantificación del daño acumulado por fatiga. Este proceso se realiza conforme al código ASME Sección III. El cálculo del CUF para el caso de estudio se proyectó para 60 años obteniéndose el siguiente resultado:

Con lo anterior se verifica que los valores resultantes de CUF permanecen inferior o igual a uno durante el periodo extendido de operación. Por lo tanto cumple con 10 CFR 54.21 (c) (1) (ii) [1]. En una publicación previa de los coautores [11] se analizó el daño en un reactor BWR, sin embargo el daño acumulado requiere de diversos aspectos.
3. Conclusiones
Los pernos de cierre de la tapa de la vasija del reactor son componentes que requieren un AMP y un TLAA en el proceso de renovación de la licencia de operación. Los documentos base para el proceso de renovación de la licencia operativa son: El Plan de Revisión Estándar para la revisión de las Solicitudes de Renovación de licencia de las Centrales Nucleares (SRP-LR, NUREG 1800 Revisión 2) y el Reporte de Lecciones Genéricas Aprendidas del Envejecimiento (GALL, NUREG 1801 Revisión 2). Estos documentos proporcionan orientación, criterios y programas ya validados. El código ASME sección III es utilizado para el cálculo del Factor de Uso Acumulado por Fatiga (CUF). En el caso postulado el veredicto al que se llega es positivo ya que los resultados del CUF obtenido de los componentes evaluados son menores a uno, cumpliendo así con 10 CFR 54.21 (c) (1) (ii). Este resultado indica que los componentes cumplirán sus funciones para el periodo extendido de operación.
Agradecimientos
El apoyo para el desarrollo del Proyecto 211704 fue otorgado por el Consejo Nacional de Ciencia y Tecnología (CONACYT). Este es agradecido (The grant for the development of the Project 211704 awarded by the National Council of Science and Technology (CONACYT) is kindly acknowledged).
Aclaración
Las opiniones y conclusiones vertidas en este artículo no representan la posición de la Comisión Nacional de Seguridad Nuclear y Salvaguardias, donde el coautor P. Ruiz-López trabaja como empleado; o de la Sección de Estudios de Posgrado e Investigación de la Escuela Superior de Ingeniería Mecánica y Eléctrica del Instituto Politécnico Nacional. Aunque se ha puesto cuidado para mantener la exactitud de la información y resultados, ninguno de los autores asumen responsabilidad alguna por las consecuencias que puedan resultar de su uso. El uso de designaciones particulares de países, territorios, compañías, asociaciones, productos o metodologías no implican ningún juicio o promoción por parte de alguno de los autores.
Referencias
[1] USNRC, Standard Review Plan for Review of License Renewal Applications for Nuclear Power Plants, NUREG-1800, Rev. 2, 2010.
[2] USNRC, Generic Aging Lessons Learned (GALL) Report: Reactor Vessel (BWR), NUREG-1801, Rev. 2, 2010.
[3] International Atomic Energy Agency, IAEA-TECDOC-1470, Assessment and Management of Ageing of Major Nuclear Power Plant Components Important to Safety: BWR Pressure Vessel Internals, October 2005.
[4] License Renewal Application, Limerick Generating Station, Units 1 and 2, Facility Operating License Nos. NPF-39 and NPF-85, 2010.
[5] The American Society of Mechanical Engineers (ASME), Section III, Rules for Construction of Nuclear Facility Components The ASME Boiler and Pressure Vessel Code, 2007 edition.
[6] The American Society of Mechanical Engineers (ASME), Section XI, Reglas para inspección en servicio de componentes de plantas nucleares The ASME Boiler and Pressure Vessel Code, 2007 edition.
[7] Moss, D. R., & Basic, M., Pressure Vessel Design Manual, 4a ed., Great Britain: Elsevier, 2013.
[8] The American Society of Mechanical Engineers (ASME), Section II, Materials The ASME Boiler and Pressure Vessel Code, 2007 edition.
[9] NUREG-1339, Resolution of Generic Safety Issue 29: Bolting Degradation or Failure in Nuclear Power Plants, June 1990.
[10] NRC Regulatory Guide 1.65, Material and Inspection for Reactor Vessel Closure Studs, Revision 1, U.S. Nuclear Regulatory Commission, April 2010.
[11] I. Sauceda-Meza, L. H. Hernández-Gómez, G. Urriolagoitia-Sosa, J. A. Beltrán-Fernández, E.M. Merchán-Cruz, J. M. Sandoval Pineda, & A. T. Velásquez Sánchez, "Thermal Fatigue Analysis of an Emergency Core Cooling System Nozzle of a BWR Reactor, by the Finite Element Method," Científica, vol. 11, núm. 3, pp. 113-119, 2007.