Received: 17 May 2016
Accepted: 20 September 2016
Abstract:
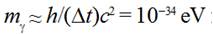
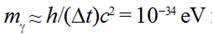
Through a simple model we study the possibility of photon with mass and charge that can produce an attractive or repulsive force at galactic distances. The main source of the dark mass can be provided by the non vanishing photon mass during the period of radiation of the Universe. A simple analysis shows that the non vanishing photon mass of the order of
is consistent with the current observations. This magnitude is less than the most stringent limit on the photon mass available so far, which is of the order of
. For distances separating nearby galaxies dominates the force of Newtonian attraction between photonic masses (Dark Matter). For distant galaxies dominates the repulsive electrical force between photon charges (Dark Energy). Also, we review the Red Shift Equation for a photon pair showing that this equation obtained with this simple model can be compared with the result obtained from the generalized special relativity. From the point of view of engineering this approach may be important to to correct distances and times in GPS signals from spacecraft very far from planet Earth.
Keywords: photon mass, gravitation, dark mass, dark energy, photon charge, GPS.
Resumen:
A través de un modelo simple estudiamos la posibilidad de fotones con masa y carga que pueden producir una fuerza atractiva o repulsiva a distancias galácticas. La fuente principal de la masa oscura puede ser proporcionada por la masa del fotón durante el periodo de radiación del Universo. Un simple análisis muestra que la masa de fotones del orden de
es coherente con las observaciones actuales. Esta magnitud es menor que el límite más riguroso de la masa de fotones disponible hasta ahora, que es del orden de
. Para las distancias que separan las galaxias cercanas domina la fuerza de atracción newtoniana entre las masas fotónicas (materia oscura). Para galaxias distantes domina la fuerza eléctrica repulsiva entre las cargas de fotones (energía oscura). Además, se revisa la ecuación de desplazamiento del rojo para un par de fotones que muestra que esta ecuación obtenida con este modelo simple se puede comparar con el resultado obtenido de la relatividad especial generalizada. Desde el punto de vista ingenieril, este enfoque puede ser importante para corregir distancias y tiempos en señales de GPS de naves espaciales muy lejos del planeta Tierra.
Palabras clave: masa de fotón, gravitación, masa oscura, energía oscura, carga del fotón.
1. Introduction
The study of gravitational of interaction of
Parallel-Propagating Photons has been considered in past by Tolman, Ehrenfest
and Podolsky [1], as far as 1931, that first to publish studies on how light
interacts with light gravitationally. After that Faraoni and Dumse [2] in 1999
and Jensen in 2013 [3] also addressed this same problem using different
approaches. Heeck, [4], was able to
derive the first direct bound on the photon lifetime from an analysis of the
oldest light that exists in the universe, showing that the half-life of a
photon is about 100 million times more than the age of universe. Kouwn et al.
[5] investigate the cosmology of massive electrodynamics and explore the
possibility whether the massive photon could provide an explanation of dark energy.
The action is given by the scalar-vector-tensor theory of gravity, which is
obtained by nonminimal coupling of the massive Stueckelberg QED with gravity;
its cosmological consequences are studied by paying particular attention to the
role of photon mass, where the radiation -and matter- dominated epochs are
followed by a long period of virtually constant dark energy that closely mimics
a LCDM model. They also find that the
main source of the current acceleration is provided by the nonvanishing photon
mass governed by the relation
. A
simple analysis shows that the non vanishing photon mass of the order of
is consistent with current observations. This magnitude is far less than the
most stringent limit on the photon mass available so far, which is on the order
of
[6], [7], [8].
Indeed, it has later been realised that neutrino is the lightest particle in the Standard Model (SM) with a mass smaller by at least three orders of magnitude than the electron mass. The 2015 Nobel Prize in Physics was given to the discovery of neutrino oscillations that shows neutrinos are massive. Therefore the SM should have been modified in order to give a natural explanation to the question why neutrino masses are so small but non-zero. A similar modification that makes neutrinos massive may be valid for photon. As dictated by Okun, "such a small photon mass, albeit gauge non-invariant, does not destroy the renormalizability of Quantum Electrodynamics (QED) and its presence would not spoil the agreement between QED and experiment. This also motivates incessant searches for a non vanishing tiny photon mass" [6].
In this short letter, we propose a simple model to explain the possibility of massive photon. In next section Basic theory we give the basic theory and we discuss the photon mass and the charge related with dark matter and energy respectively. The following sections are related with Red Shift Equation due photon pair without theory of general relativity and Red Shift Equation from Generalized Special Relativity Theory, because from the point of view of engineering this approach may be important to correct distances and times in GPS signals from spacecraft very far from planet earth.
2. Basic Theory
We access here the problem of interaction between two particles, via any virtual carrier (graviton or photon), and address afresh the problem of photon inter interaction. Consider two particles with rest masses M and m, exchanging virtual hypothetical carriers of gravity (Gravitons. A spin 2 massless particle - in the framework of quantum field theory), shown in Fig. 1.

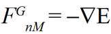
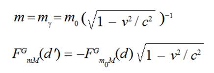
This reasoning would be also valid for electrical charges, but in this case the virtual elementary particles would be photons. The particle that emits the virtual photon loses momentum p in the recoil, and the other particle gets the momentum, but not at the time, as we will see, with the caveat of measuring all physical quantities from the reference frame placed at same position as M.
Consider that an inertial reference frame is at the particle M position and that particle m has a velocity v in relation to this frame. Therefore the information (on momentum for instance) triangle leads to the following equation,
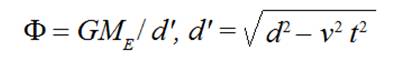
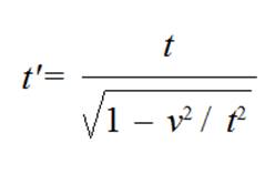
(1)The variable t is the time in which the signal that leaves the particle M, at t = 0, reaches the original particle m position, that is, at t = t, measured at the reference frame at M. Since the particle m has a velocity v, with relation to the reference frame in M, when the information on the position of particle M reaches the original position of m, at t = t, the particle m will be at the position d' = ct', where t' is the time when the information that left the particle M reaches the position where m is "now", after a time t has passed, that is, d', d'2 = d2 - v2t2. Based on that, we can construct the above triangle and so, we can write a relation between t and t', where t - t' is the mismatch time between the two information arrivals or momentum exchange.
(2)Therefore, the gravitational force that m would feel due to M, if v = 0, is given by,
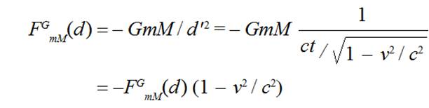
(3)Of course the force that the particle M feels due to m is given by FnM = - GmM / d2, since it is at rest. Writing now the correct force (calculating the distance at the exact position where the particle m is now) that the mass m feels due to M, we have,
(4a)where
.
G is Newton's universal constant of gravitation and d' is the distance of the particle from the central massive photon. As
(4b)Therefore, if v = 0, we get the usual FGmM = FGmM, with the caveat of considering the reference frame glued in M. Equation (4) is our main result.
If we consider photons, of course v = c and the particle rest mass m (m = 0) will not feel any force from M (M = 0), and viceversa. This happen irrespective to the choice of positioning of the reference frame, since in any case v = c.
If we look the problem from the reference frame glued
in m, we conclude that we get the same mismatch calculating the force, and then
looking the space-time structure of the problem we have that Proca equations
describe the behavior of a massive spin-1 field, and have since been used to
set an impressive upper limit on the photon mass of
[4], or 10-28 eV in the natural units used
in this Letter (h = c = kB = 1 ). However in this case we adopt a lower limit
for the mass of the photon in order to have a good match with the actual
background radiation of the universe. It would be impossible to perform any
experiment which establishes the exact vanishing of the photon mass, but the
ultimate upper limit on the photon rest mass, m, can be estimated by using the
uncertainty principle to be
for
the current age of the Universe. This simple analysis verifies the deeper study
of [5], [6], [7], which using the long-lived low-energy photons of the cosmic
microwave background. J. Heeck [5] was able to derive the first direct bound on
the photon lifetime from an analysis of the oldest light that exists in the
universe.
Using the largest allowed value for the photon mass
from other experiments, he finds a lower limit of about 3 yr on the photon
rest-frame lifetime. After including the relativistic effects of time dilation,
this implies that the half-life of a photon of visible light would rise, in the
reference system of a resting observer, to about 108 years: 100 million times
more than the age of universe. This excessive gap means that, for all intents
and purposes, the photon lives forever. For photons in the visible spectrum, in
all cases CMB spectral distribution for mass is
has no visible effect.
The Heeck's analysis is completely independent of the possible particles in which a photon could disintegrate. It is based on the fact that, if a fraction of the photons in the microwave background had disintegrated, the spectrum of that radiation would not coincide with that of a blackbody. Since the spectrum of the microwave background has been measured with great precision, it possible deviation is strongly constrained by observations.
On the other hand, if photons have mass, the Yukawa
force law between two electric charges
and
separated by a distance d'
is
(5)where
includes the photon mass
, the
speed of light c, and Planck's constant h. This equation corresponds exactly to
the ordinary Coulomb force law
when the photon mass is zero. However, even for small photon mass, these
equations will nearly be the same, since a small factor of
in the Yukawa force law will hardly make any difference
experimentally. On the other hand, a large mass will impose a sharp cutoff in
the strength of the force, since the exponentially decaying term in the
equation will throttle it. That's how the Yukawa force (with the appropriate
changes to represent nuclear forces instead of electromagnetic) predicts the
short range of the nuclear force and the value of the pion mass. However for
cosmological distances the photon mass may be important as a positive
gravitational force separating the galaxies (see equation (4a)).
If v/c < 1, but v very close to c we have an
attractive force between nearby galaxies
given by equation (4b), which can represent the dark matter. If v/c > 1, we
have a repulsive force produced by the dark energy. The main source of the dark
energy is provided by the nonvanishing photon mass during the period of
radiation of the Universe. If the size of Universe is about R = 1026 m, then in
electronvolts corresponds to 10-34 eV, so
this simple analysis shows that the non
vanishing photon mass of the order of
is consistent with the current
observations. This magnitude is far less than the most stringent limit on the
photon mass available so far, which is of
the order of [8], [9], [11], [12]. In other words, if the
photon's mass is 10 million times smaller than that limit, the way that photons
interact with the different fields and forces in the Universe leads to a
repulsive effect that looks to calling dark energy. In other words, massive
photons could cause dark energy.
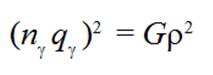
Here we need to obtain an upper limit on the photon
electric charge from the cosmic microwave background. Following [13] and [14],
we consider the cosmic microwave background radiation like a black body
temperature TB= 2.74 K and the photon
number density given by
where KBis the Boltzmann constant,
is a
numerical coefficient of order unity. If each photon has a charge
, then the electric force density is
proportional to
with the
condition of
(6)where
is the average mass density of the Universe. From here we can obtain that
in esu units, where e is the
electron charge. Then the repulsive force
(7)would be responsible for the dark energy that separates increasingly distant galaxies. Here we consider the situation where the electric field is parallel to the magnetic field and the vector Poyntig is zero [15]. In short, for distances separating nearby galaxies dominates the force of Newtonian attraction between photonic masses (Dark Matter). For distant galaxies dominates the repulsive electrical force between photon charges (Dark Energy).
From the point of view of engineering this approach may be important to to correct distances and times in GPS signals from spacecraft very far from planet earth. The two last sections are related with this topic.
3. Red Shift Equation due photon pair without theory of general relativity
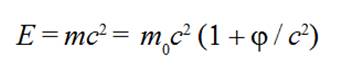
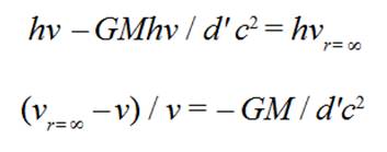
Conservation of energy yields the fact that the sum of the kinetic and potential energies is a constant. If a photon of mass m is moving under the influence of a gravitational field generated by a massive central body of mass M (massive photon), Newton's law of gravitation shows that the potential energy is given by GMm /d', where G is Newton's universal constant of gravitation and r is the distance of the particle from the central massive body.
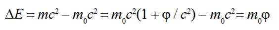
If the mass-energy relation
E23,
which relates the kinetic energy to the
product of mass and the square of the speed of light, is introduced, then an
'effective mass' for the photon may be deduced and is given by m = hv/c2. The equation expressing
conservation of energy then becomes

This equation immediately allows the well established
expression for the gravitational red-shift to be deduced. From equation (4a, or
4b), we have
E24, so for a photon
with mass, the equation of conservation of energy becomes
(8)which is the desired result obtained from the Einstein Theory [9], [10]. In the above derivation of the expression for the gravitational red-shift, no appeal has been made to any aspect of the theory of general relativity, not even the principle of equivalence It seems surprising that the above deduction of an 'effective mass' for the photon allows this simple derivation of the red-shift formula. Although two photons with mass would produce a very small value of red-shift, to compare with equation (8), it is important to obtain the Gravitational Red-Shift using the Generalized Special Relativity theory, (GSR).
4. Derivation of the Red Shift Equation from Generalized Special Relativity Theory
In all basic studies involved in the theory of general relativity, attention was drawn to the three main problems related to it, those are well-known advance of the perihelion of the planet Mercury, the Gravitational Deflection of Light Rays and the Gravitational Red-Shift of Spectral Lines. The gravitational red-shift discussed within the emitted rays from a particle that located in the field of another rest particle due to a spherical symmetry (such as Solar field), the atoms that compose the gases edges of a rest star forms light sources in the star field, and according to this information the Gravitational Red-Shift obtained [3]. This study introduces a new method to obtain the same result of the Gravitational Red-Shift using the Generalized Special Relativity theory, (GSR) by adopting the approximation of the gravitational potential.
The Generalized Special Relativity Theory is a new form of the special relativity theory that adopts the gravitational potential, and it gives the formula of relative mass to be as follows [4]: with our approach the photon mass is
(9)where,
and denotes the gravitational potential, or the field in which the mass is
measured. here, we generalize
to
include the effect of gravitation by adopting the weak field approximation
where [6]:
(10)and can be generalized to recognize the effect of motion as well as gravity on time, to get:
(11)Einstein's mass and energy equivalent relation, agrees that the energy of a particle is given by [7]:
(12)where h is Planck's constant and c is the speed of light, substitute the mass m from this one gets:
(13)The difference in particles or light energy presented as [7], [8], [9].
(14)Then
.
As mentioned before,
denotes the potential field, which
can be given
so
(15)which is equation (8).
So adopting of the weak field approximation in the generalized special relativity, leads to succeed in proving an important theory in physics such as the gravitational red-shift of the spectral lines, and on the other hand, it explains that the appearance of the weak field does not affect the red shift negatively, but, oppositely the generalized special relativity succeeded again.
From the point of view of engineering this approach may be important to to correct distances and times in GPS signals from spacecraft very far from planet earth.
If we have a rocket the principle of equivalence, leads to the prediction of a gravitational frequency shift. A rocket with acceleration g upwards contains a transmitter and a receiver at height L above the transmitter. We view this accelerating rocket from a reference frame which is inertial. At the instant the rocket starts up, the signal is transmitted. The time required to reach the receiver is essentially. But during the propagation of the signal to the receiver, the receiver picks up a velocity
(16)Then when the signal is detected the frequency must be the same as that detected by a receiver moving at constant velocity, at the location of the receiver, but not accelerating. To this receiver, the transmitter is a receding source and the frequency will be Doppler shifted downwards:
(17)By the principle of equivalence, the physics in the
accelerating rocket is the same as it would be in a gravitational field of
strength. Thus the accelerated observer would attribute the frequency change to
the gravitational field, and then the product gL may be identified in terms of
the change in gravitational potential, 
(18)As the rocket continues to accelerate with constant
velocity, (as long as the velocity does not get too large), the frequency shift
will remain constant so that to the observer in the rocket, the frequency of
the clock that is driving the transmitter, and that in this case is lower down
in the gravitational field, is beating more slowly. So comparing two clocks at
different potentials, they should beat at different rates. The rate difference
between a clock at potential
and
one at
can be computed in terms
of a fractional frequency shift by reversing the sign in Eq. (18) which is
equation (8).
Gravitational frequency shifts in the GPS is as follow. Consider then two clocks, a reference clock at rest on the earth's equator at radius RE, and an atomic clock in orbit at radius d'. The gravitational potential of the clock in orbit is, to sufficient accuracy

where for earth,

The total gravitational frequency shift of GPS satellite clocks is therefore

This is actually a huge effect. If not accounted for,
in one day it could build up to a timing error that would translate into a
navigational error of 13.7 km. Good GPS satellite clocks have intrinsic
stabilities that allow them to keep time to within a few parts in 1014 after a day. The gravitational frequency
shift is thousands of times bigger than this because the distance d' must be
corrected according equation
.
5. Conclusion
Through a simple model we study the possibility of photon with mass that can produce an attractive or repulsive force at galactic distances. The main source of the dark energy can be provided by the non vanishing photon mass during the period of radiation without Poynting vector of the Universe. A simple analysis shows that the non vanishing photon mass of the order of
is consistent with the current observations. It would be certainly impossible to perform any experiment which establishes the exact vanishing of the photon mass, but the ultimate upper limit on the photon rest mass m, can be estimated by using the uncertainty principle to be
for the current age of the Universe. This magnitude is far less than the most stringent limit on the photon mass available so far, which is of the order of
. From the electric point of view, the repulsive force
would be responsible for the dark energy that separates increasingly distant galaxies, that is, for distances separating nearby galaxies dominates the force of Newtonian attraction between photonic masses (Dark Matter). For distant galaxies dominates the repulsive electrical force between photon charges (Dark Energy).
Referencias
[1] R. C. Tolman, P. Ehrenfest, & B. Podolsky, "On the gravitational field produced by light," Physical Review, vol. 37, pp. 602-615, 1931.
[2] V. Faraoni, & R. M. Dumse, "The gravitational interaction of light: from weak to strong fields," General Relativity and Gravitation, vol. 31, no. 1, pp. 91-105, 1999.
[3] R. Jensen, "Simple Explanation for why Parallel-Propagating Photons do not Gravitationally Attract," Progress in Physics, vol. 4, Oct. 2013.
[4] J. Heeck, "How Stable is the Photon?," Phys. Rev. Lett., vol. 111, pp. 021801/1-021801/4, July 2013.
[5] S. Kouwn, P. Oh, & C. G. Park, "Massive photon and dark energy," Phys. Rev. D, vol. 93, 083012, 2016.
[6] L. B. Okun, "Photon: History, mass, charge," Acta Phys. Polon. B, vol. 37, pp. 565-574, 2006.
[7] A. S. Goldhaber, & M. M. Nieto, "Photon and graviton mass limits," Rev. Mod. Phys., vol. 82, 939, March 2010.
[8] L. C. Tu, J. Luo, & G. T. Gillies, "The mass of the photon," Rep. Prog. Phys., vol. 68, pp. 77-130, Nov. 2004.
[9] R. F. Evans, & J. Dunning-Davies, The Gravitational Red-Shift, University of Hull, England, 2004.
[10] R. Adler, M. Bazin, & M. Schiffer, Introduction to General Relativity, McGraw-Hill, New York, 1965.
[11] K. Hagiwara et al. "Review of particle physics. Particle Data Group," Phys. Rev. D, vol. 66, 2002.
[12] E. J. Kima, S. Kouwna, P. Oha, & C. G. Parkd, "Dark aspects of massive spinor electrodynamics," Journal of Cosmology and Astroparticle Physics, vol. 2014, pp. 1-17 July 2014.
[13] C. Sivaram, "Upper limits on the photon electric charge from the cosmic microwave background," American Journal of Physics, vol. 63, no. 5, pp. 473-473, 1995.
[14] G. Cocconi, "Upper limit on the electric charge of the photon," American Journal of Physics, vol. 60, pp. 750-751, 1992.
[15] H. Torres-Silva, & J. López-Bonilla, "Chiral transverse electromagnetic waves with E ll B in a cold plasma," Prespacetime Journal, vol. 7, no. 10, pp. 1365-1368, 2016.