Construction of a Homogeneous Magnetic Field for Orthopedic Applications
Construcción de un campo magnético homogéneo para aplicaciones ortopédicas
Construction of a Homogeneous Magnetic Field for Orthopedic Applications
Científica, vol. 21, no. 1, pp. 49-54, 2017
Instituto Politécnico Nacional
Received: 02 May 2016
Accepted: 29 November 2016
Abstract: The application of magnetic fields is diverse in the many branches of health care, due to its systemic effect. Particularly in orthopedics, magnetic fields can be applied in order to achieve bone consolidation. However, getting a uniform magnetic field in a useful area, and which is also stable is not an easy task. In order to obtain a magnetic field with these characteristics, an arrangement of Helmholtz coils was designed. In this work, the theoretical development of the device is presented; as well, the software VIZIMAG is used in order to know the distribution of the field lines graphically. Another important information provided in this article is the technical details of the building of the device, which permits not only the selection of the most adequate kind of wire, but also provides an excellent guide for the manufacture of Helmholtz coils, which is difficult to do starting only with the theoretical data obtained from a book about electromagnetism
Keywords: magnetic fields, software design, orthopedic use.
Resumen: La aplicación de campos magnéticos es diversa, en muchos campos del cuidado de la salud, debido a su efecto sistémico. En particular en ortopedia, es posible lograr la estimulación de la consolidación ósea. Pero lograr un campo magnético uniforme en una área útil y, además, estable no es fácil. Para obtener el campo magnético se diseñó un arreglo de bobinas Helmholtz. Se presenta el desarrollo teórico de las mismas y, además, se dispone del programa VIZIMAG para conocer la distribución de las líneas de campo, de forma gráfica. Otra información importante que se proporciona en este trabajo, son los detalles técnicos de construcción, lo cual permite no solo seleccionar el alambre adecuado, también proporcionan una excelente guía para la construcción de las bobinas Helmholtz, lo cual es difícil hacer partiendo solamente de los datos teóricos obtenidos en un libro de electromagnetismo.
Palabras clave: campos magnéticos, programa de diseño, uso ortopédico.
1. Introduction
Bone consolidation is, undoubtedly, a very important problem in the field of orthopedics, mainly if elderly people with expose fractures or with any kind of pathology as infections or microvascularity problems are taken into account [1], [2], [3], [4], [5], just to quote some. Nowadays, in order to treat these cases, other therapies [6], [7] exist, but unfortunately, very few are non-invasive and low-cost, so that any person who need them can have access to them.
With therapeutic electromagnetic radiation [8], [9], [10], [11], (frequencies 100 Hz, and intensity in the order of 5 mT) there is a systemic effect [12], [13]: electric fields of the order of 1-1.5 mV/cm [14] are induced, which orient the bipolar molecular moments and give origin to ion alternate movements in the cellular membrane, mainly of calcium, sodium, chloride and potassium. It is also known that there is an interaction in the hormonal activity, in growth factor, cytokines, and an increase of RNA. As well, cellular differentiation and stimulation of organic structures are fostered, and among them, bone consolidation. This is achieved besides allowing a relaxation in blood vessels, an increase in the content of blood oxygen, alkalization of body fluids, a decrease in blood cholesterol, a reduction of edema, increase in endorphins, muscle relaxation, among many other well-known effects [15], [16], [17], [18].
2. Development
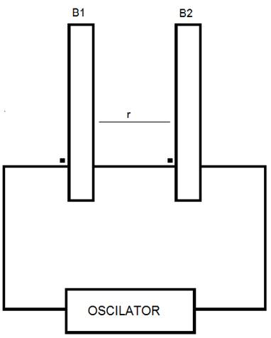
In order to obtain the magnetic field, a Helmholtz system was built, whose main characteristic is the capacity to obtain homogeneous magnetic fields along its axis. The system is formed by two identical coils located at a distance among them, equal in their radius r and connected in series, as shown in figure 1.

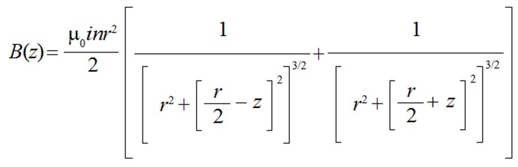
The magnetic field between the coils is determined by the following equation [19], [20]:
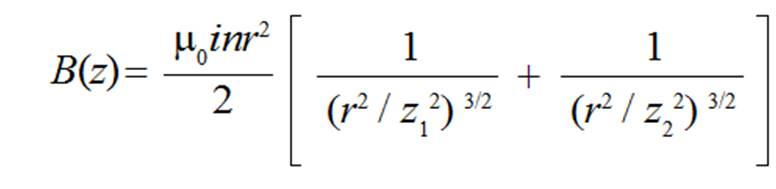
(1)Particularly when considering a point in the center of the axis of the Helmholtz coils, equation (1) is transformed into (2)
(2)From (2), for a discrete sequence of points along axis z, it is obtained the distribution of the field shown in figure 2.

As it is expected that the system can be applied easily, it was decided to make the coils adjusting the theoretical needs to the dimensions of modified spools, provided by the Company TRANSFORM-MEX, see figure 3. The radius of each coil is 7.5 cm, and the available coiling area is approximately 9.66 cm2, from which 6.5 cm2 were used. The maximum number of turns was calculated taking into account the calibers of AWG commercial copper wires, as shown in table 1.


Caliber 17 AWG was decided to be used, because when
using this wire, an acceptable tolerance of 1.5 A with respect to the one
needed is produced (caliber 17 AWG bares 3.1 A maximum, at 700 circular mil by
A. The American Wire Gauge defined "circular mil" with the internal
area of a circle with a thousandth of an inch diameter, in order to simplify
the calculations, as introducing
is not necessary), so that coils can be used for long periods of more than 4 hours
continuously, without the possibility of heating [21].
The total length of magnet wire is
. The total resistance of the
conductor was calculated is:
and
the measure was
per coil, where
is the resistivity of copper and A is the
transversal section of the wire. The current which was applied is 2.2 A and the
voltage applied was obtained by means of the Ohm law and was 30 volts.
When using the software VISIMAG, version 3.1, with the calculated data, the field lines distribution is obtained for the proposed Helmholtz coil. A high density of magnetic field lines (a) is clearly observed in the central part of the coils, even when a dielectric is located, as it can be a human bone (b), as shown in figure 4.

In figure 5, the distribution of energy of the magnetic field is presented with respect to its axis.

In table 2, the values of the magnetic fields calculated theoretically and obtained with the software VIZIMAG, are shown for various point along axis z.

In order to measure the magnitude of the magnetic field, a Gaussmeter Magnet-PhysiK FH54Gauss -/Testameter with a Hall point of 20 cm was used; B1 is the first measurement, performed in left-right direction between the coils, and B2 contrariwise in the same conditions. In table 2, the measurements of field in both directions are shown.
In figure 6, a comparison of the magnetic field (a) obtained theoretically, and by means of simulation with software VIZIMAG, and an average of both is presented. A graph of relative errors between the field measured in several points and the one obtained by means of simulation is also shown.

As it can be seen in figure 6, there is a difference between the field measured, the simulated and the theoretical. In table 3, the errors made with respect to the theoretical data by means of the percentage relative error are shown.

3. Discussion and conclusions
When using the software VIZIMAG, it was possible to know graphically the response of the Helmholtz system before starting its construction, varying the parameters that are considered of practical interest, as the distance between the coils or a dielectric located in their axis, where a higher density of field lines appeared. From these findings, it was possible to compare the theoretical results with the ones obtained by means of the software, and with the experimental measures. This way, it is possible to know the magnitude of the error in the design, and the way to optimize it, so that both the time of construction and expenses can be reduced.
In this work, the energy source is not mentioned in detail, but a source with pulsed voltage can work as well as with continuous voltage, as in the case presented here.
It is important to mention that by counting with the advice of a company dedicated to the manufacture of coils and electric transformers it was possible to take into account the necessary information for the optimal selection of wire, as well as for the construction of the coils [22], [23].
Referencias
[1] K. H. Lin Hy, "Reparing large bone fractures with low frequency electromagnetic fields," J Orthop Res, vol. 28, no. 2, pp. 265-270, 2010.
[2] M. E. Moncada, & H. Cadavid, "Estimación de variables eléctricas en un muslo 3D con fractura diálisis femoral estimulado magnéticamente," Rev. Fac. Ing. Univ Antioquía, no.42, pp.120-131, 2007.
[3] H. Matsumoto, M. Ochi, Y. Abiko,T. Kaku, & K. Sakaguchi, "Pulsed electromagnetic fields promote bone formation around dental implants inserted into of rabbits," Clin Oral Impl Res, no. 11, pp. 354-360, 2000.
[4] V. Cané, P. Botti, & S. Soana, "Pulsed magnetic fields improve osteoblast activity during the repair of an experimental osseous defect," J Orthopaedic Research, vol. 11, no. 5, pp. 664-670, 1993.
[5] R. A. Luben, C. D. Cain, M. C. Chen, D. M. Rosen, & W. R. Adey, "Effects of electromagnetic stimuli on bone and bone cells in vitro: inhibition of responses to parathyroid hormone by low-energy low frequency fields," Proc. Natl. Acad. Sci. USA, vol. 79, no. 13, pp. 4180-4184, 1982.
[6] I. Garavello, V. Baranauskas, & M.A. da Cruz-Höfling, "The effects of low laser irradiation on angiogenesis in injured rat tibiae," Histol Histopathol, no.19, pp. 43-48, 2004.
[7] C. Goldstein, S. Sprague, & B. A. Petrisor, "Electrical stimulation for fracture healing: Current evidence," Orthop Trauma, vol. 24, no. 3, pp. S62-S65, 2010.
[8] S. A. W. Pickering, & B.E. Scammell, "Electromagnetic fields for bone healing," Lower Extremity Wounds, vol. 1, no. 3, pp.152-160, 2002.
[9] J. de Ozen, A. Atay, S. Oruc, M. Dalkiz, B. Beydemir, & S. Develi, "Evaluation of pulsed electromagnetic fields on bone healing after implant placement in the rabbit mandibular model," Turk J Med Sci, no. 34, pp. 91-95, 2004.
[10] V. Vizcaine, "Biological effects of low frequency electromagnetic fields," Radiobiología revista electrónica, pp. 44-46, 2003.
[11] P. Diniz, K. Shomura, K. Soejima, & G. Ito, "Effects of pulsed electromagnetic field (PEMF) stimulation on bone tissue like formation are dependent on the maturation stages of the osteoblasts," Bioelectromagnetics, vol. 23, no. 5, pp. 398-405, 2002.
[12] Eficioterapia, Valor del campo magnético en las fracturas óseas [página web], 2006, disponible en http://www.sld.cu/galerias/pdf/sitios/rehabilitacion-fis/camp-magnetico-fracturas.pdf
[13] P. Guillen, J. M. Madrigal, A. Madroñero, J. I. Pitillas, J. M. Gálvez, & J. Llopis, "Aplicaciones de los campos magnéticos. Magnetoterapia y Magnetosteogenia," Rev. Esp. De Cir. Ost., no. 20, pp. 257-279, 1985.
[14] C. T. Brighton, Electrical properties of bone and cartilage, Grun & Straton, Inc, pp. 605-615, 1979.
[15] I. Aktas, K. Akgun, & B. Cakmak, "Therapeutic effect of pulsed electromagnetic field in conservative treatment of subcondral impingement syndrome," Clin Rheumatol, no. 26, pp.1234-1239, 2007.
[16] F. Burney, Y. Andianne, M. Donkerwolcke, M. Hinsenkam, J. Quintin, F. Schuuind, "The orthopedics-Traumatoloy department," Rev Med Brux, no. 23 suplemento 2, pp. 143-147, 2002.
[17] A. C. Jasti, B. J. Wetzel, H. Aviles. D. N. Vesper, G. Nindl, & M. T. Johnson, "Effect of wound healing electromagnetic field on inflammatory cytokine gene expression in rats," Biomed Sci Instrum, no. 37, 209-214, 2001.
[18] J. Zhou, L. G. Ming, B. F. Ge, J. Q. Wang, R. Q. Zhu, Z. Wei, H. P. Ma, C. J. Xian, & K. M. Che, "Effects of 50 Hz Sinusoidal electromagnetic fields of different intensities on proliferation, differentiation and mineralization potentials of rat osteoblasts," Bone, vol. 49, no. 4, pp. 753-761, 2011.
[19] E. R. Javor, & T. Anderson, Design of Helmholtz coil for low frequency magnetic field susceptibility testing, IEEE, pp. 912-917, 1998, disponible en http://www.ipen.br/biblioteca/cd/ieee/1999/Proceed/00132.pdf
[20] B. Casañas-Sánchez, "Instrumentación y control de la técnica de la magnetoimpedancia para materiales ferromagnéticos suaves," M. S. Thesis, Ingeniería e Instrumentación, 2012.
[21] S. A. W. Pickering, & B. E. Scammell, "Electromagnetic Fields for Bone Healing," Lower Extremity Wounds , vol. 1, no. 3, pp. 152-160, 2002.
[22] The Aluminiun Association, "Aluminum magnet conductor, Chapter 14," in Electromagnetic and other applications fo Aliminuim, 2017, pp. 14/1-14/3, disponible en http://www.aluminum.org/sites/default/files/aecd14.pdf
[23] W. M. Colnel, & T. Mclyman, Transformer and inductor design Handbook, Jet Propulsion Laboratory, California Inst. of Technology, Pasadena California.