Assessment of CAR and GIDS Methods to Interpolate Rain Values in Mexico City in Flood Event
Evaluación de los métodos CAR y GIDS para interpolar valores de lluvia en la Ciudad de México en eventos de inundación
Assessment of CAR and GIDS Methods to Interpolate Rain Values in Mexico City in Flood Event
Científica, vol. 22, no. 1, pp. 41-49, 2018
Instituto Politécnico Nacional
Received: 22 August 2017
Accepted: 30 October 2017
Abstract: Previous works regarding interpolated values in Mexico City has been carried out so far using Kringing in its different forms: OK, KED, UK, etc. The interpolation was used to estimate monthly average or to map the rain or temperature in Mexico to help agriculture. In this work an assessment is presented to observe the performance of two relatively new methods: CAR and GIDS. Furthermore, the assessment is made to observe the performance of rain values in Flood event in Mexico City. The values of September 29th 1976 were used and accuracy of the interpolators was measure through cross validation. The results are tabulated and analyzed.
Keywords: interpolation, CAR, GIDS, rainfall values.
Resumen: Trabajos previos relacionados con valores de lluvia interpolados en Ciudad de México se han llevado a cabo hasta ahora usando Kringing en sus diferentes formas: OK, KED, UK, etc. La interpolación se usó para estimar un promedio mensual o para mapear lluvia o temperatura para ayudar a la agricultura. En este trabajo se presenta una evaluación para observar el desempeño de dos métodos relativamente nuevos: CAR y GIDS. Además, la evaluación se hace para observar el rendimiento de los valores de lluvia en eventos de inundación en la Ciudad. Los valores del 29 de septiembre de 1976 fueron usados y la precisión de los interpoladores fue medida a través de validación cruzada. Los resultados son tabulados y analizados.
Palabras clave: interpolación, CAR, GIDS, valores de lluvia.
1. Introduction
According to Prevention Web [1], in a period of twenty-eight years, from 1980 to 2008, there have been 2887 events, 195,843 people killed, 6753 people killed per years, causing an economic damage of 397,333,885 thousand dollars and an economic damage per year of 13,701,168 thousand dollars.
It is to take into account the kind of disaster, economical and humanitarian, depicted in this statistic. Several authors have made work evaluating the interpolation methods in many conditions.
Tabios and Salas [2] did an evaluation of the methods. Their conclusion was that Kriging throws the best results and the polynomial interpolation gives the poorest. Daly et al. [3] made a program called "Precipitation-elevation Regressions on Independent Slopes Model (PRISM) for the mapping of the average precipitation in which orography is an important parameter. In this paper it must be highlighted the analysis in mountainous terrain, such terrain is similar to Mexico City´s. For the cases with elevation, several papers proposed the use of the Digital Elevation Model (DEM) [4] ,[5], and a special case is the proposed of Gradient Plus Inverse Distance Squared (GIDS) [6]. This proposal integrates the elevation as a parameter for the estimation of the rain value; the study took place in northern Canada. Schuurmans and Bierkens [7] established in their study how sensitive is the catchment response to rainfall variability and how this situation can lead to errors; in fact, they established that the ground features should be taken into account for the runoff estimation. Furthermore, this paper establishes that when a few meteorological stations are in used, the error can rise; the opposite could take place when more stations are considered and this can be compensated with the use of meteorological radar.
Vilchis Mata et al. [8] calculated the daily precipitation aided by a GIS from radar located nearby Mexico City Downtown. This information, they concluded, could be used for efficient management of the water resources in order to prevent future flooding.
The merge of the meteorological radar and daily station network appears in Haberlandt [9], his conclusion was that the use of the Kriging with External Drift is the optimal interpolator.
The integration of variables such a humidity and wind velocity improves the interpolation according to Kyriakids et al. [10], whose paper establishes that the best interpolation methods are the Simple Kringing with local mean and the Kriging with external drift, above the ordinary Kriging.
Faurés et al. [11] assess the impact of variables such as inclination and wind velocity in the behavior of the runoff and how these can affect the response of the catchment. Arnaud et al. [12] establishes the variability as one of the issues affecting the calculation of the runoff. In their paper made assumptions and simplifications for the models to improve. Shah et al. [13], [14] published a study which they divided in two parts, the first one is about the formulation and calibration of the model of the response of the catchment in conditions of spatial variability in rainfall, the second one makes experiments with lumped and distributed models. An interesting paper was written by Demyanov et al. [15] with the innovation of the use of Neural Networks with them. González-Hidalgo et al. [16] found some rain variabilities related to forest dynamics; in fact, describes an alteration in rainfall due to reduction of the forest area. For a real-time rainfall interpolation, the best interpolator will be the Kringing with external drift [17]. The hourly rainfall could hardly raise its accuracy with the use of an external drift in Kriging interpolation [18], nevertheless, the use of a radar is one option to improve interpolation. In cases where no access to this type of tool could happen, the next option is the use of the meteorological station. The incorporation of elevation as a second variable improves the interpolation [19]. The method with the best results was the Kringing with external drift, which appears in this study realized in Mexico City. In this paper it was interpolated the rainfall and the temperature for two dates. A study made by Segond et al. [20] establishes that urban basins are more sensitive to a rainfall spatial variability than the rural terrain. In this study the Thiessen polygon method [21] was used. Díaz Padilla et al. [22] conclude in their study that the best interpolator method for the zone of Veracruz, México is the Thin Plate Smoothing Spline with higher performance than the Kriging and the Inverse Distance Weighting. It could be observed an error regarding the stochastic or deterministic models, which can be accumulative in different steps within flood [23].
This author used a numerical weather prediction, a 2D hydrodynamic and a rainfall-runoff model to assess the propagation of the error. Cisneros et al. [24] conclude that the kriging method has a better performance than the splines method. A Cluster-Assisted Regression (CAR) [25] method was proposed as another option to the GIDS method. This method uses a multiple regression with clustering to improve interpolation, especially in mountainous zones, such as the territory of China. Finally, Lorenz [26] who studied the instability of the equations in a rain event establishes that the weather prediction is too variable to be accurately calculated. The objective of this work is to assess the GIDS and CAR interpolation methods for the climatological and topographical conditions in Mexico City. This City is subject to regular flooding, which has an impact in the population, mostly in the economic issue. So, measures must be taken in order to reduce the impact of such weather phenomena. So, aware of this, an interpolation method is needed in order to calculate, evaluate and, in some cases, predict flood events.
2. Description of CAR and GIDS methods
It was reviewed that in cases of interpolation the method exhibiting a better performance is the Kriging method with external drift and a spherical semivariogram. The proposal is to evaluate the GIDS [6] and the CAR [25] because of the features presented which fit into the Mexico City Orography.
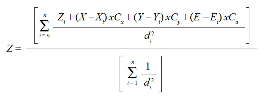
The equation used for the GIDS is:
(1)Where: Z are the interpolated rain valued, Zi are the values of the meteorological stations; X,Y are the planar coordinates of the spot to be determined and E its height; Xi,Yi are the coordinates of the stations and Eiits height; di is the distance from the spot to the stations and Cx, Cyand Ce are the regression coefficients. By means of the linear regression, the Coefficients are determined.
For the CAR method, the mathematical model is the following:
(2)In both methods the coefficients are determined using regression method.
3. Methodology
The aim of this work is to assess the interpolation methods GIDS [6] and the CAr [25], then the methods will be validated by the mean square error (MSE) and the cross validation [27]. This has the objective to assess the methods in flood situations to obtain values of rainfall to input in runoff models afterwards, improving the calculation of the quantity of water to have a better management in order to prevent flood. Mexico City has a long rainy period in which flooding took place. The Statistics shows that in the year 2015, the rainiest season runs from May to September. The Table 1 shows the values of precipitation millimeters per month.

It is quite notorious the period when takes place the rain with most intensity. In specific, the rain average does not have an utility, as it isolated events can happen one day and the rest of the month could had a moderated rain. That is why the variability is the reason for this assessment is to be made for a specific day in which the rain caused the flooding.
Mexico City is a basin with a mount-ainous terrain [28]. In the description of the methods used in this work, the authors stated that China and Canada have also an irregular and mountainous orography.
The values depicted in the Table 2, were published by The National Meteorological System (SMN, by its initials in Spanish).

The map in Fig. 1 shows the distribution of the stations by its polar coordinates.

The Table 3 shows the values of the precipitation taken from the table 1, column 3; the fourth column shows the values obtained by the GIDS method and the fifth column shows the values obtained by the CAR method.

The MSE for both CAR and GIDS are depicted in the Table 4.

The figure 2 shows a graphic of the MSE for different stations.

Regarding the fig. 2, it is to notice the error in station 12 and 17 in the CAR method and exhibit a similar error both methods in station 27. Still, there are just a few stations in which the error is little.
4. Improvements of the methods
It can be seen in figures 3, 4, 5 the graphic representation of the precipitation values against latitude, and height.



It is to be noticed a great variability, which can´t be adjusted by a polynomial. Therefore, to improve accuracy this work proposes to make the analysis to the next criteria:
- Consider the rainfall behaves as a parabolic way regarding time. It means, it begins at time t = 0, reaches a maximum and then rain stops. If the graphic in figure 3, it is to notice the rainfall beginning and ending.
- Then the regression could be modeled as a polynomial.
The graphic 4 shows the precipitation values against the latitude coordinate using the criteria above.
If the stations nearby are gathered, the variation of the rainfall against the coordinates become similar to more linear form. Figure 5 shows the variation for the stations 14, 1, 22, 12, 17; which are closer one to another.
It is to noticed that a linear trendline describes with a minor error the behavior of the variation. To improve the method it was taken by segments: stations 1,14, 22, 17,12 and 20, 21, 35, 8, 38.
The MSE between the two segments for first using GIDS and CAR are shown in figure 6.

5. Results
The fig. 3 shows a great variability in values for the meteorological stations. It was shown in figure 2 the MSE in CAR and GIDS. It reaches values near 400. The figure 3 shows the variability of the values of precipitation. So, because of the variability it was sought to divide in segments. The segment 1 of nearby stations shows a more linear behavior which can be described, with less error, in a linear trendline. Figures 6 and 7 show that dividing in segments, the error can be improved.

6. Conclusion
Two methods that have been applied only in Canada (GIDS) and China (CAR) were assessed in the case of Mexico City. If it is taken into account once with all the values of the meteorological stations, it should be possible to notice that they display a similar behavior reaching values of MSE of a little more of 400, which made them inaccurate in some cases. Figure 3 shows this variability. This can be linearized by dividing in segments for nearby stations. Figures 6 and 7 shown the reduction of the MSE, from values of 400 to values of maximum 160. If it is compared which method is more accurate, it could be said that is the CAR method. Dividing in segments and applying the CAR method for the case in Mexico City are the formulas to improve efficiency.
References
[1] Prevention Web. "Hazards.Floods.Data and Statistics". 2008. Available http://www.preventionweb.net/english/hazards/statistics/?hid=62
[2] G. Tabios, J. Salas, "Comparative Analysis of Techniques for Spatial Interpolation of Precipitation," Water Resources Bulletin. American Water Resources Association.Vol. 21, No. 3, 1985.
[3] C. Daly, R. P. Neilson, D. Phillips, "A Statistical-Topographic Model for Mapping Climatological Precipitation over Mountainous Terrain," Journal of Applied Meteorology, 1994.
[4] P. Goovaerts, "Geostatistical Approaches for Incorporating elevation into the spatial interpolation of rainfall," Journal of Hydrology, No. 228, 2000.
[5] S. Ly, C. Charles, A. Degré, "Different Methods for Spatial Interpolation of Rainfall Data for Operational Hydrology and Hydrological Modelling at Watershed Scale. A review," Biotechnology, Agronomy, Society and Enviroment, Vol. 17, No. 2, 2013.
[6] Nalder, R. W. Wein, "Spatial Interpolation of climatic Normals: test of a new method in the Canadian Boreal Forest," Agricultural and Forest Meteorology, No. 92, 1998.
[7] J. M. Schuurmans, M. F. P. Bierkens, "Effect of spatial distribution of daily rainfall on interior catchment response of a distributed hydrological model," Hydrology and Earth System Sciences Discussion, No. 3, 2006.
[8] E. Vilchis-Mata, E. Quentin, K. M. Ba, C. Díaz-Delgado, " Estimación de la precipitación diaria a través de un SIG con imágenes de radar meteorológico," Tecnología y Ciencias del Agua, vol. 2, núm. 4, octubre-diciembre, 2011.
[9] U. Haberlandt, "Geostatistical Interpolation of hourly precipitation from rain gauges and radar for a large-scale extreme rainfall event," Journal of Hydrology, No. 332. 2007
[10] P. C. Kyriakidis, K. Jinwon, N. L. Miller, "Geostatistical mapping of precipitation from rain gauge data using atmospheric and terrain characteristics," Journal of Applied Meteorology, Vol. 40, 2001.
[11] J. M. Faurés, D. C. Goodrich, D. Woolhiser, S. Sorooshian, "Impact of small scale spatial rainfall variability on runoff modelling," Journal of Hydrology, No. 173, 1995.
[12] P. Arnaud, C. Bouvier, L. Cisneros, R. Domínguez, "Influence of rainfall spatial variability on flood prediction," Journal of Hydrology, No. 260, 2001.
[13] S. M. S. Shah, P. E. O´Connell, J. R. M. Hosking, "Modelling the effects of spatial variability on rainfall on catchment response. 1. Formulation and calibration of a stochastic rainfall field model," Journal of Hydrology, No. 175, 1996.
[14] S. M. S. Shah, P. E. O´Connell, J. R. M. Hosking, "Modelling the effects of spatial variability on rainfall on catchment response. 2. Experiments with distributed and lumped models," Journal of Hydrology , No. 175, 1996.
[15] V. Demyanov, et al., "Neural Network Residual Kriging Application for Climatic Data," Journal of Geographic Information and Decision Analysis, Vol. 2, No. 2, 1998.
[16] J. C. Gónzalez-Hidalgo, M. De Luis, J. Raventós, J. R. Sánchez, "Spatial distribution of seasonal rainfall trends in a western meditarranean area," International Journal of Climatology, No. 21, 2001.
[17] M.C. Rogelis, M.G. F. Werner, "Spatial Interpolation for Real-Time rainfall estimation in areas with complex topography," Journal of Hydrometeorology, Vol. 14, 2013.
[18] Verworn, U. Haberlandt, "Spatial Interpolation of hourly Rainfall," Hydrology and Earth Science Discussion,No. 7, 2010.
[19] J. J. Carrera-Hernández, S. J. Gaskin, "Spatio temporal analysis of daily precipitation and temperature in the basin of Mexico," Journal of Hydrology, No. 336, 2007.
[20] M. L. Segond, H. Wheater, C. Onof, "The significance of spatial rainfall representation for flood runoff estimation: A numerical evaluation based on the Lee Catchment, UK," Journal of Hydrology, No. 347, 2007.
[21] H. Thiessen, J. C. Alter, "Precipitation average for large areas," Monthly Weather Review, vol. 39, 1911.
[22] G. Díaz-Padilla, et al., "Variación espacio-temporal de la precipitación pluvial en México: una aproximación a la evaluación de impactos," Tecnología y Ciencias del Agua, Vol. 11, No. 4, 2011.
[23] J. P. Rodríguez-Rincón, A. Pedrozo-Acuña, J. A. Breña-Naranjo, "Propagation of hydro-meteorological uncertainty in a model cascade framework to inundation prediction," Hydrology and Earth System Sciences, No. 19, 2015.
[24] L. Cisneros, C. Bouvier, R. Domínguez-Mora, "Aplicación del método Kriging en la construcción de campos de tormenta en la Ciudad de México," Memorias del XVIII Congreso Latinoamericano de Hidráulica. México, 1998.
[25] L. Tang, X. Su, G. Shao, H. Zhang, Z. Haoand, "A Cluster-Assisted Regression (CAR) approach for developing spatial climate data sets in China," Enviromental Modelling and Software, No. 38, 2012.
[26] E. N. Lorenz, "Deterministic Nonperiodic Flow," Journal of the Atmospheric Sciences, Vol. 70, 1963.
[27] E. H. Isaaks, R. M. Srivastava, Applied Geostatistics, USA: Oxford University Press, 1989.
[28] INEGI, Anuario estadístico y geográfico del Distrito Federal, México, 2015.