Recepción: 02 Marzo 2017
Aprobación: 28 Junio 2017
Resumen: En este artículo se analiza la reducción de la tasa de absorción específica (SAR) en smartphones con capa metamaterial bajo la presencia de contaminación magnética. Desde el inicio de la especificación del SAR por parte de los fabricantes, no se tiene en cuenta la fuerte influencia del campo magnético generado por las líneas de transmisión, el interior de las plataformas de los trenes eléctricos, la proximidad de los dispositivos eléctricos que aumentan la absorción. Además de esta contaminación magnética está la contaminación de material particulado (magnetita) que se produce en ciudades industriales, que se aloja en el cerebro y que es responsable de que el valor del SAR que afecta al usuario sea muy superior al SAR estipulado por los fabricantes. La capa metamaterial propuesta en este artículo como blindaje reduce el SAR en aproximadamente el 50%.
Palabras clave: metamaterial, índice de refracción, SAR, FDTD.
Abstract: An electromagnetic metamaterial is a structured and periodic artificial medium whose electromagnetic properties do not depend on the atoms that make up its materials, but on how the artificially constructed "meta-atoms" that form it correspond to the electromagnetic field. In the broad sense, metamaterials possess properties not found in natural materials and can be designed in any spectral range (optical, microwave and even acoustics). Generally the negative refraction is obtained when the electrical permittivity and the magnetic permeability in a medium are simultaneously negative. Their behavior is an "emerging" property of the structure itself, rather than of its elementary. In this paper we study the negative refractive index from the point of view of wave that is less known than from the point of view of geometric theory of rays. This concept is applied in the numerical calculation of the SAR for a cell phone shielded by a metamaterial. Absorption is shown to decrease substantially with this configuration. This simulation may be important in the future to include metamaterial in next generations of portable telephones.
Keywords: metamaterial, refraction index, SAR, FDTD.
1. Introducción
Los medios zurdos (left-handed medium, LHM) presentan, simultáneamente, una permitividad y una permeabilidad negativa y han recibido mucha atención de científicos e ingenieros en los últimos años.
Fue inicialmente el físico ruso Veselago, en 1968, quien investigó algunas de las propiedades electrodinámicas de los medios zurdos, como la inversión de la ley de Snell, la desviación Doppler o el efecto Cerenkov [1], [2]. Sin embargo, esta idea se abandonó debido a la imposibilidad de construir este tipo de materiales, quedando simplemente como una curiosidad científica; 30 años después, Shelby [3] creó el primer medio zurdo inspirado en los trabajos iniciados por Pendry [4], [5], [6], [7], [8].
Un medio zurdo presenta propiedades opuestas a las de un medio convencional (right-handed medium, RHM). El vector de campo eléctrico E, el vector de campo magnético H y el número de onda k forman una triada zurda, lo cual supone que la luz se propague en sentido contrario al flujo de energía, representado por el vector de Poynting .
Como muestra la figura 1(b), en un medio zurdo el vector de Poynting S y el número de onda k tienen sentidos opuestos, mientras que en un medio convencional tienen el mismo sentido (véase figura 1(a)).

Consecuentemente, en medios convencionales y en medios zurdos la energía se propaga alejándose de la fuente, pero en un medio zurdo los frentes de onda se desplazan hacia la fuente. Por ello, en dichos medios, las ondas se denominan ondas de retroceso, donde la velocidad de fase vph- k y la velocidad de grupo vg- k tienen sentidos opuestos.
En la figura 2, se muestra la zona III donde el metamaterial es activo. Una de las propiedades más interesantes de los medios zurdos es la refracción negativa, la cual ha atraído mucha atención de la comunidad científica, debido a los cambios de algunas leyes físicas, como la inversión del desplazamiento Doppler, cambios en las ecuaciones de Fresnel y en el principio de Fermat. Se puede demostrar que cuando la permetividad y permeabilidad son menores que cero, el índice de refracción también es negativo. Generalmente el índice negativo de refracción y la ley de Snell se obtienen a través de la teoría de rayos ópticos (óptica geométrica), pero en este suplemento se demuestra a través de la teoría de ondas porque posibilita tratar el problema en forma generalizada, válido para cualquier frecuencia y longitud de onda. Por analogía la demostración sirve como modelo para otro tipo de ondas como por ejemplo ondas elásticas de plasma, de sonido y sísmicas entre otras.

Partiendo de las ecuacionesde Maxwell en función de la frecuencia angular e-iwt:
(1)
(2)Aplicando soluciones homogéneas a las ecuaciones 1 y 2, seobtiene:
(3)
(4)Donde
. Esto da lugar a las triadas (E,
H, k) en un medio convencional y en un medio zurdo de la figura
2.
Para ser coherente con las ecuaciones de Maxwell y cumplir con la condición en un medio zurdo, a partir del número de onda k se tiene que:
(5)y por lo tanto
(6)
(7)Tiene sentido escoger la raíz cuadrada negativa cuandola permeabilidad y la permitividad son valores negativos simultáneamente. Por lo que de la ecuación (7) se obtiene que:
(8)Se sabe que el índice de refracción se define como
(9)siendo c la velocidad de la luz en el vacío, finalmente se obtiene la expresión que refleja un índice de refracción negativo en un medio zurdo
(10)y la ecuación de onda en un metamaterial es [3]:
(11)2. Metamaterial electromagnético e índice negativo de refracción
El índice de refracción ecuación (10) y la ecuación de onda (11) es posible reconsiderar todos los fenómenos asociados a la propagación de ondas electromagnéticas como son como la inversión de la ley de Snell, la desviación Doppler y el efecto Cerenkov [2]. La inversión de la ley de Snell se aprecia gráficamente en la figura 3.

Estudiaremos el caso en que una onda plana linealmente polarizada proveniente del semiespacio y > 0 incide sobre la superficie límite entre ambos medios. El plano de incidencia es el plano x-y. Estudiaremos el caso cuando el campo eléctrico es perpendicular al plano de incidencia. En este caso el campo eléctrico está en la dirección de z. Esto se llama una onda transversal eléctrica o TE ya que el campo eléctrico es normal al plano de incidencia. Tendremos una onda incidente y una reflejada en el semiespacio y > 0 (medio 1) y una onda refractada en el semiespacio y < 0 (medio 2). En el medio 1 podemos decir que aplicando la ecuación (11):
(12)y en el medio 2 se tiene
(13)y donde
son los ángulos de incidencia, reflexión y
refracción, respectivamente. Dado que el plano y = 0 es el plano que
separa ambas regiones, las componentes tangenciales (z) del campo
eléctrico en uno y otro medio deberán ser iguales al llegar a dicho plano, es
decir, k x (E(z+) - E(z-)) = 0. Por
tanto, aplicando dicha condición de contorno en y = 0:

Como esta expresión es cierta para cualquier x deberán igualarse todos los términos de fase, es decir:

siendo esta última expresión la Ley de Snell.
Resolviendo la ecuación (11) en dos medios diferentes por ejemplo aire-metamaterial, después de un cálculo directo se llega a la ecuación de dispersión:
(14)Esta ecuación se aplica en la
figura 3 en el espectro óptico donde
.
En la figura 3 no hemos mostrado los ángulos de reflexión y de refracción positiva porque no son de interés en la situación de metamaterial. El campo eléctrico apunta en la dirección z perpendicular al plano x-y. La segunda condición de contorno para resolver las incógnitas A, B y C se obtiene aplicando la condición de contorno para las componentes tangenciales del campo magnético (eje x) de cada una de las ondas (incidente, reflejada y refractada).
Los metamateriales son creados artificialmente y con lo expuesto se puede pensar que una definición de metamaterial pudiera ser la de un material artificial con propiedades electromagnéticas inusuales, que no se dan en medios naturales conocidos y cuyas características proceden de la estructura diseñada y difieren de las de sus componentes y que generalmente los metamateriales electromagnéticos son estructuras periódicas con dimensiones menores que la longitud de onda incidente, de modo que la estructura diseñada se comporte como un medio efectivo y pueda ser modelado por parámetros globales de permisividad, permeabilidad e índice de refracción , etc. Como una aplicación de estos aspectos teóricos en las secciones siguientes se estudia la determinación del SAR (Taza de absorción específica) de microondas de teléfonos celulares en la cabeza humana bajo la influencia del campo magnético externo de baja frecuencia o del campo magnético generado por la corriente de la batería del teléfono celular. El aspecto novedoso es que se considera un teléfono celular blindado por metamateriales que permiten reducir el SAR.
3. Tasa de absorción específica (SAR)
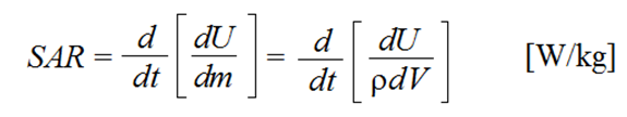
El efecto de la radiación electromagnética ha sido considerado fundamentalmente, a través de la acción del campo eléctrico y su efecto térmico, mediante el coeficiente SAR. Pero también la radiación electromagnética debe considerar la acción del campo magnético. Actualmente la telefonía celular crece aceleradamente. Los usuarios usan el dispositivo sin darse cuenta que la radiación y pulsos de campo magnético emitidos pueden provocar daños de diferente índole [12]. Muchos científicos consideran aceptables niveles de campos magnéticos menores a 200 nT. Niveles imprudentes de campos magnéticos pueden estar entre 200 nT a 700 nT, se consideran peligrosos niveles sobre 700 nT. Aunque estos son límites aceptables, muchos de los artefactos que se utilizan actualmente, exceden estos límites, especialmente los teléfonos celulares [9][12]. Los campos magnéticos son dañinos para el cuerpo humano si se absorben a altas intensidades. La fuerza del campo magnético trasmitida desde una antena de la mayoría de los teléfonos celulares (aproximadamente 7.5 a 10 cm de la antena) está sobre los 2000nT. Cuando un teléfono celular se sostiene a la altura de la cabeza humana, emite campos electromagnéticos de 1000 a 6000 nT. Científicos creen que altas intensidades de campos magnéticos son las causales de tumores cerebrales y cáncer en el cuerpo humano [12]. Se define la absorción específica (Specific Absorption, SA) la relación existente entre una cantidad de energía infinitesimal, dU, absorbida por un elemento infinitesimal de masa:

De este modo, se define la tasa de absorción específica (Specific Absorption Rate, SAR), como la variación respecto del tiempo de la absorción específica, es decir, el incremento de energía absorbida por un elemento diferencial de masa contenido en un volumen elemental con una densidad determinada.

El SAR está relacionada con el campo eléctrico en un punto mediante la siguiente expresión analítica:

donde:
, conductividad del tejido en S/m,
, densidad volumétrica de masa del tejido medida en kg/m3,
E, valor de pico del campo eléctrico medido en V/m.
Resumiendo, el coeficiente o tasa de absorción específica (SAR), mide la forma en que una radiación es absorbida por un cuerpo. Se define como el valor de energía absorbida por unidad de masa de tejido corporal, y se expresa en watt por kilogramo (W/kg o J·kg-1S-1). Su valor depende tanto de la energía que lleva la radiación electromagnética como de la cantidad y tipo de tejido expuesto [10], [11].
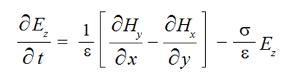
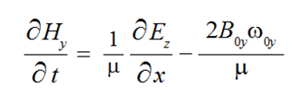
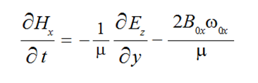
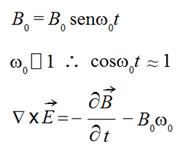
4. Ecuaciones de Maxwell con campo magnético a bajas frecuencias
De las ecuaciones de Maxwell anteriormente descritas, se incluye el campo magnético a baja frecuencia por medio de una descomposición de B(densidad de flujo magnético).
(15)Reemplazando esta expresión en donde B0 es la densidad de flujo magnético en baja frecuencia, en (15) se obtiene, una nueva expresión para la ecuación que corresponde a la ley de Faraday, quedando:

(16)Ahora, utilizando el sistema de unidades MKS, se obtiene el sistema a resolver en coordenadas rectangulares (x,y)
(17a)
(17b)
(17c)
(18a)
(18b)
(18c)Donde se hicieron las siguientes aproximaciones:

Como se observa, las derivadas parciales con respecto a z son iguales a cero, esto es debido a que se asume que la estructura a modelar se extiende infinitamente en la dirección z. Por lo tanto, si no consideráramos el campo magnético de baja frecuencia, las ecuaciones (17a), (17b) y (17c) son llamadas modo transversal magnético en la dirección z o TMz, y por otro lado, (17c), (18a) y (18b) constituyen el modo transversal eléctrico en la dirección z o TEz . Se puede observar que los modos TMz y TEz no contienen vectores de campo comunes. Estos modos pueden existir simultáneamente con interacciones no mutuas para estructuras compuestas de materiales isotrópicos o anisotrópicos tengan o no componentes fuera de la diagonal de sus tensores constituyentes.
Los fenómenos físicos asociados con estos dos modos pueden ser muy distintos. Note que el modo TEz contiene líneas de campo E en un plano perpendicular al eje infinitamente largo (eje z) de la estructura.
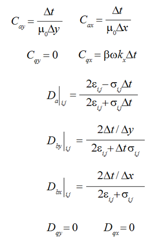
5. Método FDTD para simulación
El método de las diferencias finitas en el dominio del tiempo (FDTD) fue propuesto originalmente por Yee en 1966 y posteriormente desarrollado por Taflove [10]. Yee propuso un método para la solución numérica de las ecuaciones de Maxwell de problemas con condiciones iniciales, en medios Isotrópicos. Los apuntes de Yee son los fundamentos del esquema del método de las diferencias finitas en el dominio del tiempo. El acrónimo FDTD fue primero sugerido por Allen Taflove en 1980, ahora él es un prominente experto del FDTD. Matemáticamente el método FDTD es sumamente simple, es además robusto y provee exactitud de modelamiento para la interacción de varias ondas electromagnéticas y sus problemas de campos electromagnéticos. El FDTD es un no tradicional esquema electromagnético, donde las ecuaciones integrales han dominado por casi 30 años. El esquema computacional es muy complicado y requiere de equipos computacionales avanzados para un desarrollo satisfactorio. Además este es uno de los pocos problemas que se pueden resolver automáticamente a través del tiempo; los rápidos avances en los computadores hacen que el método FDTD sea más atractivo día a día.
Yee introduce una notación para los puntos espaciales y las funciones del espacio y tiempo. A continuación se denotan los puntos espaciales de una grilla rectangular y uniforme.
(19)Donde , y son los incrementos de la grilla espacial en la dirección x, y y z, respectivamente e i, j, k son números enteros. Además se denota cualquier función udel espacio y tiempo evaluada en un punto discreto de la grilla y en un punto discreto del tiempo
(20)Yee utiliza expresiones de diferencias finitas centrales para las derivadas del espacio y tiempo programadas con precisión de 2o orden en los incrementos espacial y temporal. Considerando una expresión para la primera derivada parcial de u en el espacio y la dirección x, evaluada en el tiempo fijo tn= nT se tiene [11].
(21)Donde representa el
error de la aproximación y es proporcional al cuadrado del incremento espacial.
Observe que el incremento de ±1/2 en el subíndice i de la función u denota
una diferencia finita en el espacio sobre
.
Yee elige esta notación porque intercala las componentes de E y H en la grilla espacial a intervalos de
/2. Por ejemplo, la diferencia de dos componentes de campo E adyacentes, separados por
y localizados a
/2 a ambos lados de un componente H, es usada para proporcionar una aproximación numérica para
E/
x permitiendo calcular la componente H en el tiempo.
Por analogía, la expresión para la primera derivada parcial de u en el tiempo, evaluada en un punto espacial fijo (i, j, k) es:
(22)Donde el superíndice n+1/2 representa el intervalo de tiempo posterior a calcular. Otras de las expresiones que se obtienen en este algoritmo es para el caso de valores de campos eléctricos que a un paso de tiempo n no se almacenan en la memoria del computador, para estimar este término se utiliza una llamada aproximación implícita.
(23)Aquí los valores de Ex se consideran como un simple promedio aritmético de los valores ya almacenados de Ex. Siguiendo la notación de Yee, se aplican las expresiones (19-23) obteniéndose:
(24a)
(24b)
(24c)donde:

Al resolver ecuaciones de campos electromagnéticos en el dominio del tiempo mediante el método FDTD, se presenta un problema frecuente, son las condiciones de contorno absorbentes.
En esta aproximación se utilizan condiciones de contorno absorbentes de primer orden para simular una región bidimensional infinita. El contorno absorbente fue localizado a una distancia de 4 a 7 en la proximidad del objeto de análisis (el modelo de la cabeza)
.
La fuente de radiación del teléfono celular fue modelada por una fuente puntual que equivale a la sección transversal de una antena de dipolo.
6. Cálculo del SAR
Después de obtener la solución de los campos dados por las ecuaciones (18) y (19), se calcula el SAR en forma local de la siguiente forma.
(25)
(26)El esquema del modelado para calcular la ecuación (25) se muestra en la figura 4 en donde se resume paso a paso la obtención de las matrices digitalizadas y los parámetros que son considerados para el cálculo y simulación.

El proceso consta de 6 etapas, las cuales se explican a continuación.
Paso 1. A partir de una lámina MRI, se generan los datos necesarios para llevar a cabo el modelado en detalle de cada tejido al interior de la cabeza. Es así como el modelo de la cabeza humana se genera a partir de scanner. De los datos generados se obtienen sólo imágenes a color, llegando a un total de 54 cortes que juntos forman una cabeza de tipo cilíndrica. Esto representa un modelo de 86.400 celdas cúbicas para el caso de matrices de 40x40, y un modelo de 345.600 celdas para el caso de matrices de 80x80, donde cada corte o capa es de 0,5 cm y cada celda del corte en estudio corresponde a 0,5 cm para 40x40 y 0,25 cm para 80x80, para el caso de matrices de 80x80, se necesitará mayor tiempo de cómputo, debido a que la simulación en MATLAB es lenta. Aunque el objetivo final de nuestro trabajo es usar un modelo tridimensional que considere la totalidad de las capas, hemos analizado las capas 12 y 34, ya que estas se encuentran en dos áreas importantes de la cabeza, el sector oído y el sector cerebro respectivamente.
Paso 2. Se realiza el modelado por medio de MATLAB, obteniendo así una matriz la cual es almacenada en un archivo .mat de MATLAB.
Paso 3. Se obtienen 54 frames correspondientes a la cabeza humana, las que juntas forman el modelo cuadrado de la cabeza humana.
Paso 4. Aquí se indican los parámetros que se considerarán para los cálculos que se desarrollan en este trabajo. Primero se considera el campo magnético en baja frecuencia, el cual está incluido en el desarrollo de las ecuaciones de Maxwell y luego en el método FDTD. El factor normalizado del campo magnético externo o de la bateria está incluido sólo en el medio que corresponde al cerebro. La capa metamaterial se incluye entre la antena y la cabeza humana. Este modelo, bioplasmático metamagnético, permite una caracterización más completa del fenómeno analizado y obtener datos más precisos que los obtenidos por otros modelos (véase referencias [12], [13], [14]).
Paso 5. Después de tomar en cuenta las consideraciones ya indicadas, se ejecuta el programa en la plataforma MATLAB, es decir se procede a calcular por medio de FDTD los campos electromagnéticos, para luego obtener el valor del SAR.
Paso 6. La obtención del SAR se representa por medio de una matriz de 40x40 o 80x80 según corresponda, esta se puede representar de diversas formas, en la figura se muestra en forma gráfica 3D, pero también se puede representar por colores, perfiles y una vez obtenidas se pueden graficar curvas paramétricas.
La cabeza humana tiene un comportamiento complejo, debido a un mecanismo microscópico donde la celda de una membrana es una capa bilípida de fluido con inserción de moléculas de proteínas. Cada proteína es polar y tenderá a alinearse con el campo eléctrico aplicado y a veces, a rotar helicoidalmente. Así, cualquier volumen de tejido cerebral tiene celdas de proteínas que pueden resonar a la frecuencia de rotación. El modelo a estudiar, propone caracterizar el cerebro como un bioplasma y analizar su comportamiento mediante la aplicación de las ecuaciones anteriormente descritas [14].
7. Metamateriales como atenuador de radiación
Como ya se ha mencionado en el transcurso de este trabajo, la radiación de microondas producidas por teléfonos celulares causa alteraciones temporales en células, pero aún es muy pronto para saber realmente si los niveles del cambio celular realmente son o no dañinos para los usuarios de teléfonos celulares. Por este motivo, se han realizado estudios que puedan disminuir la radiación de los teléfonos celulares sin disminuir la calidad de transmisión de las señales para los usuarios. Se estudia actualmente la posibilidad de disminuir el límite de radiación utilizando metamateriales en los teléfonos celulares. Los metamateriales hacen posible reflejar toda la radiación en una dirección, en este caso fuera del teléfono del usuario. Para que así fuese, se debería utilizar una "placa" de metamaterial entre el usuario y el teléfono o en el futuro disponer de un teléfono blindado por metamaterial.
En este trabajo, este efecto se simuló modificando el dieléctrico aire entre la cabeza y el teléfono, agregando una interfaz metamaterial , es decir con permitividad y permeabilidad negativas, esto estructuralmente se visualiza en la figura 5 y los valores de los parámetros están en la Tabla 1.


En la figura 5, en el metamaterial se consideran las ecuaciones (11) a (14). En el esquema del cerebro se consideran las ecuaciones (23) a (24). En las figuras 6, 7, 8 se aprecia la disminución del SAR a medida que se tiene un metamaterial más intenso en su propiedad característica.



8. Conclusión
En este artículo se ha estudiado el metamaterial electromagnético que es un medio artificial estructurado y periódico cuyas propiedades electromagnéticas no dependen de los átomos que forman sus materiales, sino de cómo responden al campo electromagnético los "meta-átomos" construidos artificialmente que lo forman. La refracción negativa es obtenida cuando, la permitividad eléctrica y la permeabilidad magnética en un medio son negativas simultáneamente. Su comportamiento es una propiedad "emergente" de la estructura en sí, más que de sus constituyentes elementales. Se aplica este concepto en el cálculo numérico del SAR para un teléfono celular blindado por un metamaterial. Se demuestra que la absorción disminuye sustancialmente con esta configuración. En las figuras 6, 7, 8 se aprecia la disminución del SAR a medida que se tiene un metamaterial más intenso en su propiedad característica.
Esta simulación puede ser importante en el futuro para incluir metamaterial en próximas generaciones de teléfonos portátiles.
Referencias
[1] A. F. de Baas (Ed.), Nanostructured Metamaterials. Exchange between experts in electromagnetics and material science, 2010.
[2] A. Pimenov et al., "Negative Refraction Observed in a Metallic Ferromagnet in the Gigahertz Frequency Range," Phys. Rev. Lett., núm. 98, pp. 197-401, 2007.
[3] L.-H. Wu et al., "Experimental observation of light refraction going from negative to positive in the visible region at the pure air/Au interface," Phys. Rev. B, núm. 77, pp. 035-134, 2008.
[4] K. Justyna et al., "Gold Helix Photonic Metamaterial as Broadband Circular Polarizer" Science núm. 325, 1513, 2009.
[5] D. Schurig et al., "Metamaterial electromagnetic cloak at microwave frequencies", Science núm. 314, pp. 977-980, 2006.
[6] W. Cai et al., "Optical cloaking with metamaterials", Nature Photonics núm. 1, pp. 224-227, 2007.
[7] X. Chen et al., "Macroscopic invisibility cloaking of visible light," Nature Communications 2, núm. 176, 2011.
[8] H. Torres-Silva, "A Transmission Line Model with Metamaterial Effects in Gamma Ray Bursts", Journal of Electronics and Communication Engineering Research, vol. 3, núm. 5, pp. 12-17, 2016.
[9] H. Torres-Silva, D. Cabezas, "Chiral seismic attenuation with acoustic metamaterials", J. Electromagn. Anal. Appl. núm. 5, pp. 10-5, 2013.
[10] A. Taflove, S. Hagness, Computational Electro-dinamics: The Finite-Difference Time-Domain Method, 2a ed., USA: Artech House, 2000.
[11] R. L. Burden, J. Douglas, Análisis numérico, México: Editorial Iberoamericana, 2a ed., 1996.
[12] F. Ortiz, "Análisis de la propagación de ondas electromagnéticas en medios quirales mediante el método FDTD," Memoria de título de ingeniero civil electrónico, Departamento de Electrónica, Universidad de Tarapacá, 2001.
[13] M. Soto, "Matriz digital de un modelo cabeza para la obtención del SAR," Proyecto para título de Ingeniero Ejecución Electrónico, Universidad de Tarapacá, 2003.
[14] H. Torres, "Quirosolitones RCP y LCP en óptica y microondas en régimen normal y de metamaterial". Revista Facultad de Ingeniería UTA,vol. 12, núm. 1, pp. 49-57, 2004.