Dinámica fractal de niños con trastornos en el aprendizaje en México
Fractal Dynamics of Children with Learning Disorders in Mexico
Dinámica fractal de niños con trastornos en el aprendizaje en México
Científica, vol. 23, núm. 1, pp. 31-41, 2019
Instituto Politécnico Nacional
Recepción: 30 Agosto 2018
Aprobación: 07 Noviembre 2018
Resumen: En este trabajo se caracteriza la dinámica de fluctuaciones de series de tiempo de niños con trastornos de aprendizaje en México, específicamente con problemas de lecto-escritura, aplicando la geometría fractal y la teoría del crecimiento de interfaces rugosas. A partir de EEG de niños diagnosticados, se construyeron series de tiempo desviaciones estándar v(t, ) para cada uno de los diecinueve canales distribuidos en diferentes regiones de la corteza cerebral. La autoafinidad de las series de tiempo v(t, ) (tratadas como interfaces en movimiento) se caracterizó por el escalamiento dinámico de la estructuras de función: (i) (), con como el exponente local, y (ii) (), con como el exponente de crecimiento de fluctuaciones. En este trabajo se halló que el comportamiento de niños evaluados con problemas de lecto-escritura, es semejante al escalamiento dinámico de Family-Vicsek para la cinética de rugosidad de una interface en movimiento. Por consiguiente, sería posible emplear las herramientas de la teoría de la rugosidad cinética para caracterizar y modelar las fluctuaciones de series de tiempo de procesos cognitivos que emergen del cerebro humano.
Palabras clave: lecto-escritura, EEG, fluctuaciones, autoafinidad, escalamiento dinámico, correlaciones, interfaces rugosas.
Abstract: This work characterizes the dynamics of time series fluctuations of children with learning disorders in Mexico, specifically with reading problems, by applying fractal geometry and roughness interface growth theory. From the EEG of children diagnosed were built time series of standard deviation v(t, ) for each of the 19 channels distributed in different regions of the cerebral cortex. The self-affinity of the time series v(t, ) (treated as interfaces in motion) is characterized by the scaling behavior of the structure functions by one hand (), with as the local exponent, and the other hand (), with as the fluctuation growth exponent. It was found that the behavior of children with reading problems is similar to the Family-Vicsek scaling dynamic for a kinetic roughening of moving interface. Therefore it would possible to characterize and model the studied time series v(t, ) by using the tools from the theory of kinetic roughening.
Keywords: reading, EEG, fluctuations, self-affinity, dynamic scaling, power laws, correlations, rough interfaces.
1. Introducción
Para Mandelbrot [1], 1os fractales son objetos matemáticos que generalizan a los objetos geométricos euclidianos para dimensiones no enteras y permiten ahondar en el estudio de los sistemas complejos, del desorden y del caos.
Los fractales no solo se refieren a los objetos geométricos sino, de manera más amplia, a cualquier clase de fenómenos que posean escalamiento que exhiba simetría de dilatación, o invariancia de escala, frecuentemente caracterizada por la apariencia de una distribución de ley de potencia. Los fenómenos fractales de este tipo encuentran aplicaciones en diversas disciplinas de interés, tales como finanzas y economía, geología, el análisis de las secuencias del ADN, biología, entre otros.
Los sistemas invariantes de escala normalmente se caracterizan por dimensiones no enteras (fractales). La noción de dimensiones no enteras y varias propiedades básicas de los objetos fractales fueron estudiadas desde el siglo XIX por Georg Cantor, Giuseppe Peano y David Hilbert, así como al inicio del siglo XX por Helge von Koch, Waclaw Sierpinski, Gaston Julia y Felix Hausdorff. En el siglo pasado, Mandelbrot [1] desarrolló la idea de la geometría fractal para unificar un número de estudios previos sobre formas irregulares y procesos naturales. Mandelbrot se enfocó en un conjunto particular de tales objetos y formas, a saber, aquellos que son autosimilares, es decir, donde una parte del objeto es idéntica a una pieza mayor. Mandelbrot dobló estos fractales, hallando la sorprendente ubicuidad de formas autosimilares en la naturaleza.
La geometría fractal es una herramienta matemática para tratar con sistemas complejos que no tengan una escala característica de longitud, o invariancia de escala. Un ejemplo bien conocido es la forma de una línea costera. Cuando se observan dos fotos de una línea costera en dos escalas diferentes, con 1 cm correspondiente a 0.1 km, no es posible decir a qué escala pertenece cada foto: ambas fotos parecen iguales; y estas características se aplican también a otros patrones geográficos como ríos, grietas, montañas y nubes.
Según Mandelbrot [2][1], se habla de fractales determinísticos cuando se separa una pieza pequeña de un fractal y se magnifica isotrópicamente al tamaño de la original, luciendo ambas igual. Al magnificar isotrópicamente, se han rescalado las direcciones x, y y z por el mismo factor.
Por otra parte, existen sistemas que son invariantes solo bajo magnificaciones "anisotrópicas"; a los cuales se les llama fractales autoafines (véase Fig. 1). Por ejemplo, si la estructura es invariante bajo la magnificación anisotrópica , y se separa una pequeña pieza de la estructura original (en el límite de iteraciones) y se rescala el eje x por un factor de cuatro y el eje y por un factor de dos, se obtendrá exactamente la estructura original.
![Función rescalada autoafín [3].](../61458265004_gf2.png)
Si una curva autoafín es invariante de escala bajo la transformación , y , se tiene que:
(1)donde H = log a/ log b es el exponente de Hurst [1] [2] (véase Fig. 2).

Las series de tiempo son conjuntos de datos o registros de alguna variable observable en estudio. Dichos registros están separados por un mismo intervalo de tiempo, como segundos, minutos, horas, semanas, meses, años, etc. Las series de tiempo reflejan el comportamiento de un sistema complejo a través del tiempo.
Kantz y Schreiber [4] proponen como enfoque para estudiar dichos sistemas al análisis de las fluctuaciones de series de tiempo (autoafínes) de las variables (observables) seleccionadas, que refleja el estado del sistema en una representación dimensionalmente reducida. A partir de estas series de tiempo de fluctuaciones es posible caracterizar la dinámica de los sistemas complejos mediante leyes de escalamiento, las cuales son válidas en un rango amplio (posiblemente ilimitado) de escalas de tiempo (invariancia de escala o autosimilitud) y que son una propiedad de los fractales.
Si se encuentra que un sistema complejo se caracteriza por la dinámica fractal de fluctuaciones con exponentes de escalamiento particulares, esto ayudaría a obtener predicciones sobre el comportamiento futuro del sistema y sobre su reacción a perturbaciones externas o cambios en las condiciones de frontera. Las transiciones de fases en la regulación del comportamiento de un sistema complejo frecuentemente se asocian a sus de fluctuaciones, permitiendo detectar tales transiciones (o los estados correspondientes) por análisis fractal. Un ejemplo para la aplicación exitosa de este enfoque es el sistema cardiovascular humano, donde la fractalidad del intervalo de tiempo del latido del corazón demostró reflejar ciertos deterioros cardíacos, así como las etapas de sueño [5][6].
Al realizar un análisis o caracterización fractal de las fluctuaciones de series de tiempo generadas por algún sistema complejo, lo que se busca es encontrar comportamiento persistente, ya que esto permitirá realizar predicciones probabilísticas sobre los estados futuros del sistema en cuestión con base en el valor de los exponentes de escalamiento obtenidos para dicho comportamiento.
Para determinar si el comportamiento de un sistema complejo, a partir de las fluctuaciones de series de tiempo autoafínes o estocásticas generadas por dicho sistema, despliega persistencia a diferentes escalas de tiempo, se debe obtener, en principio, el valor del exponente Hurst (H) o de rugosidad para las series de tiempo autoafín, con base en la ecuación (1).
Los valores de H < 1/2 indican comportamiento anticorrelacionado (o antipersistente) a largo plazo: si los valores de la variable observable van aumentando, lo más probable es que el siguiente valor sea menor al último, y viceversa; valores de H > 1/2 indican comportamiento correlacionado positivo (o persistente) a largo plazo: si los valores de la variable observable van aumentando, lo más probable es que el siguiente valor sea mayor al último, y viceversa. Por último, para valores de H = 1/2 no existe correlaciones, es decir, se tiene un comportamiento totalmente aleatorio.
Muchos registros naturales están caracterizados por correlaciones a corto plazo pronunciadas como complemento al escalamiento de las correlaciones a largo plazo. Por ejemplo, existen correlaciones a corto plazo debido a situaciones particulares del clima en los datos de la temperatura y debido a efectos respiratorios en los datos de los latidos del corazón. Los crossovers (o puntos críticos en donde se tiene un cambio de fase o de régimen del sistema) en el comportamiento de escalamiento de las series de tiempo complejas pueden también ser causados por distintos mecanismos de regulación y escalas de tiempo lentas y rápidas. Las fluctuaciones de un río, por ejemplo, muestran diferente comportamiento de escalamiento en escalas de tiempo por abajo y por arriba de aproximadamente un año.
Por otro lado, la teoría de sistemas desordenados ha jugado un papel principal en el estudio de los sistemas complejos, específicamente el campo del crecimiento desordenado de superficies, las cuales pueden ser suaves, pero al mismo tiempo rugoso (véase Fig. 3 y Fig. 4). En general, la morfología depende de la longitud en la escala de observación. Los objetos fractales en la naturaleza son los mismos en diversas escalas de observación. Muchas interfaces y superficies son ejemplos de objetos autoafines, los cuales están entre los objetos fractales y los no fractales cuando se hace un cambio de escala que es el mismo en todas las direcciones, los objetos autoafines cambian su morfología. Por otra parte, cuando un cambio de escala se realiza y es diferente en cada dirección, las interfaces no cambian en su morfología. Más bien se comportan como objetos fractales que parecen iguales antes y después de la transformación.
![Un segmento de papel de 8cm en el que se propaga el fuego de abajo hacia arriba
[7].](../61458265004_gf4.png)
![Imagen de un substrato rugoso de plata [7].](../61458265004_gf5.png)
Existen ejemplos de interfaces interesantes en diversos sistemas complejos biológicos, como es el crecimiento de colonias de bacterias. Por ejemplo, al preparar agar en un plato de petri, en la parte media del agar una bacteria se inocula hasta multiplicarse. A escalas microscópicas la bacteria exhibe un movimiento aleatorio. Pero al observar a distancia, un rango de morfologías interesantes se aprecian. La morfología real depende de la concentración de nutrientes y de otros parámetros experimentales controlables. Algunas colonias tienen una forma compacta, con una superficie rugosa, similar a la morfología del café derramado. Otras colonias tienen formas ramificadas, que se parecen a las islas observadas en la deposición atómica (véase Fig. 5 y Fig. 6).
![Colonia de bacterias
con una forma rugosa compacta [7].](../61458265004_gf6.png)
![Colonia de bacterias
con morfología ramificada, parecida al modelo de crecimiento de Agregación de
Deposición Limitada [7].](../61458265004_gf7.png)
En la Fig. 7 se muestra una gráfica representativa de la evolución temporal del ancho de la superficie, en la cual se tienen dos regiones separadas por un tiempo de cruce tx(crossover). Inicialmente, el ancho aumenta como una potencia de tiempo:
(2)
![Crecimiento de la
interfaz con el tiempo para un sistema de tamaño L. Hay dos régimenes característicos: (i) crecimiento ley de potencia,
que aparece como una línea recta en la gráfica log-log, y (ii)
saturación [7].](../61458265004_gf8.png)
El aumento en el ancho de la ley de potencia (2) no continúa de forma indefinida, sino que es seguida por un régimen de saturación (la región horizontal de la Fig. 7) durante el cual el ancho alcanza un valor de saturación, wsat. Conforme aumenta el tamaño del sistema, L, el ancho de saturación, wsat, también crece y, por ende, la dependencia también sigue la ley de potencia:
(3)donde el exponente , llamado exponente de rugosidad o de Hurst, caracteriza la rugosidad de la interface saturada.
De acuerdo a Barabási y Stanley [7], debido a que el tiempo de saturación al cual la interface cruza el límite del comportamiento de la ecuación (2) hacia el de la ecuación (3) depende del tamaño del sistema y a que w(L,t)/wsat(L) es una función solo de t/tx, es decir, w(L,t)/wsat(L) ~ f (t/tx), donde f(u) es una función de escalamiento, al reemplazar wsat y tx en w(L,t)/wsat(L) ~ f (t/tx), con sus respectivas formas de escalamiento, se obtiene el comportamiento de escalamiento dinámico de Family-Vicsek:
(4)Para el escalamiento dinámico de la ecuación (4) existen dos tipos diferentes de regímenes, dependiendo de su argumento u = t/tx. Por un lado, para pequeña, la función de escalamiento incrementa conforme a la ley de potencia. En este régimen, se tiene:
(5)Por otro lado, conforme , el ancho se satura. La saturación es alcanzada para t >> tx, es decir, el argumento de la función de escalamiento u >> 1. En este límite, se tiene:
(6)Como ya se mencionó, una propiedad muy importante de la mayoría de las superficies es la existencia de correlaciones en el sistema, lo que implica que cuando el ancho se satura, se alcanza una región crítica, en la cual las fluctuaciones del ancho prácticamente no varían y estas se explican mediante leyes de potencia. Asimismo, en la región crítica el valor de los exponentes de escalamiento y prácticamente no varían, por lo que se despliega la simetría del sistema conocida como invariancia de escala.
Asimismo, como ya se señaló, un sistema complejo en estudio despliega comportamiento aleatorio cuando = 0.5 (ruido blanco), comportamiento persistente cuando (invariancia de escala asociada a correlaciones positivas a largo plazo), y comportamiento antipersistente cuando 0 < < 0.5 (invariancia en la escala asociada a correlaciones negativas a largo plazo).
También ya se explicó que el ancho de la interface w se incrementa como una potencia del tiempo, y la rugosidad saturada despliega una dependencia de ley de potencia con respecto al tamaño del sistema. El lenguaje natural para describir e interpretar dicho comportamiento de escalamiento es el de fractales. Las superficies son generalmente invariantes bajo transformaciones anisotrópicas, y pertenecen a la clase más amplia de los fractales autoafines.
Para cuantificar superficies desordenadas, existe una subclase especial de fractales anisotrópicos, descritos para funciones con un solo valor llamadas funciones autoafines. Con base en la ecuación (1), para cualquier función autoafín de un solo valor h(x), con x definida en el intervalo [0,1], se establece que:
(7)donde a es el exponente autoafín o exponente de rugosidad o de Hurst, el cual ofrece una medición cuantitativa de la "rugosidad" de la función h(x). La relación de la ecuación (7) formula, en términos generales, que una función autoafín debe ser rescalada de diferente manera en el plano horizontal que en plano vertical: si se 'amplia' la función horizontalmente con un factor b (x xb), esta debe ser 'ampliada' verticalmente con un factor [h h], a fin de que el objeto resultante conserve la misma simetría de la generación previa. Para el caso especial = 1, la transformación es isotrópica y el sistema es autosimilar.
2. Desarrollo
Para realizar esta investigación, se recolectaron los registros, por una parte, de una muestra de 20 niños con trastornos de aprendizaje, específicamente pacientes con problemas de lecto-escritura (grupo experimental) residentes de la Ciudad de México y de la zona conurbada.
Cabe resaltar que los registros (electroencefalogramas, EEG) de algunos niños evaluados fueron proporcionados por la doctora Alejandra Fávila, docente investigadora de la Universidad Autónoma del Estado de México, campus Ecatepec.
Todos los niños cursaban el tercer grado de primaria. Los criterios de inclusión fueron: (i) un coeficiente intelectual igual o mayor a 85; (ii) para formar el grupo experimental se seleccionaron a los niños que obtuvieran en los dominios de lenguaje, habilidades metalingüísticas y de lectura en la evaluación neuropsicológica un rango percentil de 3 a 25 (bajo); y (iii) los criterios de exclusión fueron padecer problemas auditivos, visuales y motores, así como dificultades en la articulación de sonidos, historia de problemas neurológicos o psiquiátricos.
A cada niño evaluado se le colocaron 19 electrodos (canales) en su corteza cerebral, a saber: C3, C4, CZ, F3, F4, F7, F8, FP1, FP2, FZ, O1, O2, P3, P4, PZ, T3, T4 T5, y T6, por lo que se generaron 19 EEG por cada niño evaluado (véase Fig. 8). A partir de cada EEG, se obtuvo una serie de tiempo original.
![Sistema
Internacional 10-20 [8].](../61458265004_gf9.png)
De acuerdo con Kantz y Schreiber [4], la dinámica interna de muchos sistemas complejos se ha estudiado a través de la caracterización de las fluctuaciones de las series de tiempo generadas por estos sistemas. En principio, y desde un punto de vista estadístico, las fluctuaciones de las series de tiempo, z(t), se caracterizan por sus desviaciones estándar:
(8)para el intervalo de tiempo de una muestra, [9].
Balankin y Morales [10] reportaron que las fluctuaciones, tratadas como desviaciones estándar, de algunos sistemas complejos despliegan una propiedad fundamental de los fractales: correlaciones de ley de potencia a largo plazo (persistencia), concluyendo que los sistemas no responden inmediatamente a cierta cantidad de información que fluye hacia los mismos, sino que estos asimilan dicha información después de cierto periodo de tiempo.
De acuerdo con Balankin y Morales [10], el análisis de las propiedades de escalamiento de las fluctuaciones ha puesto al descubierto información relevante concerniente a los procesos subyacentes responsables del comportamiento macroscópico observado en la dinámica del mercado petrolero.
De acuerdo con Constantin y Das Sarma [9] y con Balankin y Morales [10], la memoria a largo plazo en las series de tiempo de fluctuaciones se ha analizado frecuentemente a través de su función de estructura, definida como:
(9)donde la barra superior denota promedio sobre todos los tiempos t en las series de tiempo de longitud T - (con T como la longitud de la serie de tiempo original z(t)) y los paréntesis triangulares indican promedio sobre diferentes realizaciones de la ventana de tiempo de tamaño .
Constantin y Das Sarma [9], Balankin et al. [11], Balankin y Morales [10] y Balankin et al. [12] han encontrado que la función de estructura de las fluctuaciones exhibe el comportamiento de ley de potencia, característico de los fractales autoafines:
(10)donde es el exponente local (o de rugosidad, , o de Hurst, H), el cual caracteriza el grado de intensidad de las correlaciones a largo plazo en la dinámica de las fluctuaciones [13].
No obstante, una mejor compresión de la dinámica de fluctuaciones requiere una adecuada descripción para las propiedades de correlación de las variables locales en diferentes intervalos de tiempo de las muestras [10]. Por ende, en este trabajo se aplicó el enfoque propuesto por Balankin [14] para estudiar la dinámica fluctuaciones de series de tiempo estocástica o autoafines. Por consiguiente, se trataron las series de tiempo v(t,) como interfaces en movimiento, con el intervalo de tiempo de la muestra, , desempeña como la variable de tiempo y el tiempo físico, t, como la variable espacial.
Además, Balankin [14] señala que la función de estructura de las fluctuaciones también escala con el intervalo de la muestra como:
(11)donde es el exponente del crecimiento de fluctuaciones.
Con base en todo lo anteriormente expuesto, en este trabajo se caracterizó la dinámica de fluctuaciones de las series de tiempo originales (EEG), z(t), correspondientes a los 19 canales de cada niño evaluado con problemas de lecto-escritura (grupo experimental).
Por cada serie de tiempo z(t), se construyeron 198 series de tiempo de desviaciones estándar v(t,). Por consiguiente, se construyeron 3762 (198 x 19) series de tiempo v(t,) por cada niño evaluado.
Para caracterizar la dinámica de las series de tiempo v(t,), se consideró, por una parte, la longitud de cada una de las 19 series de tiempo z(t) de T = 6650 registros de voltaje (V) versus tiempo (segundos), con una tasa de muestreo t = 1 segundo. Por la otra, se consideró para las 3762 series de tiempo v(t,) un rango del intervalo de tiempo de la muestra de 3 < < 200, con ventanas de tiempo de los intervalos de las muestras de = 1 segundo.
En la Fig. 9(a) y la Fig. 10(a) se muestran, a manera de ejemplo, las gráficas de las series de tiempo originales, z(t), de los canales Fp1 y PZ, respectivamente, de un niño evaluado del grupo experimental.

Series de tiempo de fluctuaciones, v(t,), del canal FP1 con intervalos de tiempo: (b) =25 s, (c) =50 s y (d) =100 s.

Series de tiempo de fluctuaciones, v(t,), del canal PZ con intervalos de tiempo: (b) =25 s, (c) =50 s y (d) =100 s.
Asimismo, en la Fig. 9(b)-9(d) y la Fig. 10(b)-10(d) se muestran las gráficas de series de tiempo de desviaciones estándar, v(t,), de los canales Fp1 y PZ para = 25, = 50 y = 100 segundos, respectivamente.
En la Fig. 11(a) y la Fig. 12(a) se muestran las gráficas de la función de estructura () versus , con distintas , para los canales Fp1 y PZ, respectivamente. En ambas gráficas, cada punto (círculo) de las curvas representa la desviación estándar promedio, , para cada una de las 198 realizaciones . Las líneas rectas representan el ajuste de los valores de s promedio a una ley de potencia, con base en la ecuación (10). Y los valores de las pendientes de cada línea recta son los valores del exponente local .

(a) Escalamiento dinámico de la función de estructura, (,) vs (3 < < 200 s), para un paciente con dificultades de lecto-escritura; el valor de la pendiente (ajustada por la ecuación (10) de la gráfica es el valor del exponente local = 0.564 , para el canal Fp1. (b) Escalamiento dinámico de la función de estructura, (,) versus (s) para distintas , para un paciente con dificultades de lecto-escritura; el valor de la pendiente (ajustada por la ecuación (11) de la gráfica es el valor del exponente de fluctuaciones = 0.795, del canal Fp1, para = 25 s (1), = 50 s (2), y = 100 s (3), respectivamente.

(a) Escalamiento dinámico de la función de estructura, (,) versus (3 < < 200 s), para un paciente con dificultades de lecto-escritura; el valor de la pendiente (ajustada por la ecuación (10) de la gráfica es el valor del exponente local = 0.633, para el canal PZ. (b) Escalamiento dinámico de la función de estructura, (,) versus (s) para distintas , para un paciente con dificultades de lecto-escritura; el valor de la pendiente (ajustada por la ecuación (11) de la gráfica es el valor del exponente de fluctuaciones = 0.819, del canal PZ, para: =25 s (1), =50 s (2) y =100 s (3), respectivamente.
Para el canal Fp1, = 0.564, y para el canal PZ, = 0.633. En la Tabla 1 se presentan los valores de los exponentes para los 19 canales de un niño evaluado del grupo experimental.

En cuanto al exponente del crecimiento de fluctuaciones, , este se obtuvo tomando como punto de partida a las series de tiempo de desviaciones estándar, v(t,). Para cada una de las 198 series de tiempo de fluctuaciones v(t,) se generaron, a su vez, otras 198 series de tiempo de desviaciones estándar de fluctuaciones, es decir, se construyeron 39 204 (198 x 198) series de tiempo de fluctuaciones de v(t,). Esto se realizó para determinar de qué manera ha estado fluctuando el comportamiento del sistema en estudio.
En la Fig. 11(b) y la Fig. 12(b) se presentan las gráficas de la función de estructura versus (s), con distintas , para los canales Fp1 y PZ, respectivamente. En estas figuras, cada punto (triángulo, cuadrado y círculo) de las gráficas representa la desviación estándar promedio de las fluctuaciones, , para cada uno de los 198 consideradas. Las líneas rectas representan el ajuste de los valores de promedio a una ley de potencia, con base en la ecuación (11). Y los valores de las pendientes de cada línea recta son los valores del exponente de fluctuaciones .
Para el canal Fp1, = 0.795 para = 25 s (1), = 50 s (2), y = 100 s (3). En cuanto al canal PZ, se tiene que = 0.819 para = 25 s (1), = 50 s (2), y = 100 s (3). En la Tabla 1 se presentan los valores de los exponentes para los 19 canales de un niño evaluado del grupo experimental.
Como se aprecia en la Tabla 1, 18 canales presentan un valor del exponente local por arriba de 0.5, lo significa que las series de tiempo v(t,) despliegan comportamiento persistente (correlaciones positivas) con un ajuste de ley de potencia hasta aproximadamente > 30 s (véase Fig. 11(a) y Fig. 12(a)).
En cuanto a los valores de , en la Tabla 1 se observa que estos valores son mayores que 0.5 para los 19 canales. Esto indica que las fluctuaciones del sistema continúan creciendo en los diferentes intervalos de tiempo t como una ley de potencia, lo que sugiere que el sistema en estudio tarda mucho tiempo en asimilar la información que fluye hacia el mismo, pero parece que en algún intervalo de tiempo mayor al considerado el sistema va a dejar de fluctuar (véase Fig. 11(b) y Fig. 12(b)).
3. Análisis y discusión de resultados
Primeramente conviene observar en la Fig. 9(b)-9(d) y en la Fig. 10(b)-10(d) la similitud visual entre las series de tiempo de desviaciones estándar v(t,) con diferentes intervalos de tiempo considerados ( = 25, = 50 y = 100 segundos). Cuantitativamente, la autoafinidad de las series de tiempo v(t,) se caracterizó por el comportamiento de escalamiento de la ecuación (10), como se observa en la Fig. 11(a) y en la Fig. 12(a).
La función de estructura despliega una ley de potencia (ecuación (10)) con () = const dentro de un rango de intervalos . En la Fig. 11(a) y en la Fig. 12(a) se presentan las gráficas del escalamiento dinámico de la función de estructura para los canales PF1 y PZ, respectivamente. Además se encontró que la función de estructura de las desviaciones estándar v(t,) también escala con como . En la Fig. 11(b) y en la Fig. 12(b) se presentan las gráficas de la función de estructura de las deviaciones estándar de los canales PF1 y PZ, respectivamente.
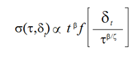
Estos hallazgos apuntan a la existencia de un comportamiento de escalamiento dinámico semejante al escalamiento dinámico de Family-Vicsek para la cinética de rugosidad de una interface en movimiento [15]. Las relaciones de escalamiento (11) y (12) implican que la función de estructura de las series de tiempo de fluctuaciones exhiba el comportamiento de escalamiento dinámico:
(12)donde la función de escalamiento se comporta como:
(13)y como:
(14)4. Conclusiones
Se establece la respuesta global del problema, son los objetivos alcanzados, las hipótesis comprobadas, modificadas o rechazadas.
Los escalamientos dinámicos de las ecuaciones (10) y (11) sentaron las bases para tratar la dinámica de las series de tiempo de fluctuaciones, v(t,), como interfaces rugosas en movimiento (véase Fig. 11 y Fig. 12). En este trabajo se halló que las ecuaciones (12), (13) y (14) apuntan a que el comportamiento de niños con trastornos en el aprendizaje en México, específicamente niños evaluados con problemas de lecto-escritura, es semejante al escalamiento dinámico de Family-Vicsek para la cinética de rugosidad de una interface en movimiento. Por consiguiente, se pueden emplear las herramientas de la teoría de la rugosidad cinética para caracterizar y modelar las fluctuaciones de series de tiempo de procesos cognitivos que emergen del cerebro humano, como es el caso de los niños con trastorno de aprendizaje.
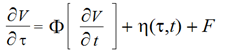
Debido a que la cinética del crecimiento de interfaces rugosas y la dinámica de fluctuaciones en niños con problemas de lecto-escritura pueden ser caracterizados y modelados por el escalamiento dinámico de Family-Vicsek, sería posible establecer una ecuación cinética que gobierne la dinámica de fluctuaciones de este trastorno de aprendizaje, empleando las ecuaciones de la teoría de rugosidad cinética, como las del tipo Langevin:

donde F es la fuerza externa, mientras que el término de ruido (t,) y la forma real de la función F son determinadas por un modelo particular que obedezca a la clase de universalidad correspondiente [15].
Agradecimientos
Los autores agradecen la doctora Alejandra Fávila (UAEM-Ecatepec) por proporcionar los EEG de algunos niños valuados de ambos grupos, así como al doctor Daniel Morales Matamoros por sus aportaciones en cuanto a la teoría de la cinética del crecimiento de interfaces rugosas. Asimismo, los autores agradecen al Instituto Politécnico Nacional por el apoyo brindado para la realización de este trabajo, mediante el Proyecto SIP-20181415, así como al CONACyT por la beca otorgada a la estudiante de doctorado Ixchel Lina Reyes.
Referencias
[1] B. B. Mandelbrot, The Fractal Geometry of Nature. 2 a edición. Nueva York: W.H. Freeman, 1982.
[2] B. B. Mandelbrot, Fractals. Nueva York: W.H. Freeman, 1977.
[3] H. E. Stanley, "Fractal landscapes in physics and biology," Physica A, vol. 86, no. 1-2, pp.1-32. Julio 1992. [en línea]. Disponible en: https://www.sciencedirect.com/science/article/pii/037843719290362T
[4] H. Kantz H., T. Schreiber, Nonlinear Time Series Analysis. 1a ed. Cambridge: Cambridge University Press. 1997.
[5] C. K. Peng, S.V. Buldyrev, S. Havlin, M. Simons, H. E. Stanley, A.L. Goldberger, "Mosaic organization of DNA nucleotides," Physical Review E, vol. 49, no. 2, pp.1685-1689. Febrero 1994. [en línea]. Disponible en: https://journals.aps.org/pre/abstract/10.1103/PhysRevE.49.1685
[6] A. Bunde, S. Havlin, J. W. Kantelhardt, T. Penzel, J. H. Peter, K. Voigt, "Correlated and uncorrelated regions in heart-rate fluctuations during sleep," Physical Review Letters, vol. 85, no. 17, pp. 3736-3739. Octubre 2000. [en línea]. Disponible en: https://pdfs.semanticscholar.org/612e/f7a9772e7ef506591c85ff0af5ae8440c5e9.pdf
[7] A. L. Barabási, H. E. Stanley, Fractal Concepts in Surface Growth. 1a ed. Reino Unido: Cambridge University Press. 1995.
[8] S. Szava, P. A. Valdés-Sosa, R. J. Biscay, L. G. García, "High resolution quantitative EEG analysis," Brain Topography, vol. 6, no.3, pp. 211-219. Marzo 1994. [en línea] Disponible en: https://link.springer.com/article/10.1007/BF01187711
[9] M. Constantin, S. Das-Sarma, "Volatility, persistence, and survival in financial markets," Physical Review E, vol. 72, no. 5, pp. 051-106. Noviembre 2005. [en línea]. Disponible en: https://journals.aps.org/pre/abstract/10.1103/PhysRevE.72.051106
[10] A. Balankin, O. Morales, "Crossover from antipersistent to persistent behavior in time series possessing the generalized dynamic scaling law," Physical Review E, vol. 69, no. 3, pp.065-106. Marzo 2004. [en línea]. Disponible en: https://journals.aps.org/pre/abstract/10.1103/PhysRevE.69.036121
[11] A. Balankin, O. Morales, M. E.Gálvez, A. Pérez, "Devil’s-staircase-like behavior of the range of random time series with record-breaking fluctuations," Physical Review E, vol. 71, no. 3, pp. 065106-1 065106-4. Junio 2005. [en línea]. Disponible en: https://journals.aps.org/pre/abstract/10.1103/PhysRevE.71.065106
[12] A. Balankin, R. García, O. Susarrey, F. Castrejon, "Kinetic Roughening and Pinning of Two Coupled Interfaces in Disordered Media," Physical Review Letter, vol. 96, no. 5, pp.101-104. Febrero 2006. [en línea]. Disponible en: https://journals.aps.org/prl/abstract/10.1103/PhysRevLett.96.056101
[13] J. J. Ramasco, J. M. López, M. A. Rodríguez, "Superroughening versus intrinsic anomalous scaling of surfaces," Physical Review Letters, vol. 56, no. 4, pp. 3993-3998. Octubre 1997. [en línea]. Disponible en: https://link.aps.org/doi/10.1103/PhysRevE.56.3993
[14] A. Balankin, "Dynamic scaling approach to study time series fluctuations," Physical Review E, vol. 76, no. 5, pp. 056-120. Noviembre 2007. [en línea]. Disponible en: https://journals.aps.org/pre/abstract/10.1103/PhysRevE.76.056120
[15] P. Meakin, Fractals, Scaling and Growth Far from Equilibrium. 1a ed. New York: Cambridge University Press, 1998.