Modelos matemáticos de los parámetros energéticos de desempeño de gasificadores tipo downdraft mediante técnicas de regresión
Mathematical Modeling of Energetic Performance Parameters for Downdraft Gasifiers through Regression Techniques
Modelos matemáticos de los parámetros energéticos de desempeño de gasificadores tipo downdraft mediante técnicas de regresión
Científica, vol. 23, núm. 1, pp. 61-81, 2019
Instituto Politécnico Nacional
Recepción: 05/10/2018
Aprobación: 14/12/2018
Resumen: En las instalaciones energéticas la operación influye de forma considerable en la eficiencia, por lo que en esta investigación se presentan resultados obtenidos por los autores en el modelado de los indicadores de desempeño de la operación de instalaciones de gasificación de la biomasa con ayuda de las técnicas de regresión no lineal, a partir del análisis sistémico, su identificación y determinación del tipo de modelo con el mejor ajuste de la operación de estas instalaciones. Se realiza unos estudios bibliográficos de los trabajos de investigaciones previos, vinculados al modelado matemático de estas instalaciones por las diferentes técnicas reflejada en la literatura especializada. Se realiza un plan experimental 3N con tres réplicas, a partir del cual se elaboran, utilizando técnicas de linealización de modelos, cuatro modelos de regresión no lineales correspondientes a respectivos indicadores de desempeño, con satisfactorios resultados de su evaluación a partir de los coeficientes de regresión y errores estándar utilizando tres tipos de biomasa. Se describe la instalación experimental y el sistema de adquisición de datos desarrollados.
Palabras clave: operación de instalaciones energéticas, energía renovable, instalaciones de gasificación tipo downdraft, modelado matemático.
Abstract: In the energy facilities, the operation has a considerable influence on efficiency, which is why this research presents results obtained by the authors in the modeling of performance indicators of the operation of biomass gasification facilities with the help of the non-linear regression techniques, from the systemic analysis, its identification and determination of the type of model with the best adjustment of the operation of these facilities. Several bibliographical studies are carried out on previous research, linked to the mathematical modeling of these facilities by the different techniques reflected in the specialized literature. A 3N experimental plan is made with three retorts, from which four non-linear regression models corresponding to respective performance indicators are elaborated using model linearization techniques, with satisfactory results from their evaluation based on the regression coefficients. And standard errors using three types of biomass. The experimental installation and the developed data acquisition system are described below.
Keywords: operation of energetic installations, renewable energy, downdraft gasification installations, mathematical modeling.
1. Introducción
El desempeño de los procesos en las instalaciones de termo-gasificación tipo downdraft requieren definir la estructura de los modelos e identificar cual va a ser la parte del plan experimental inicial, de tal manera que al final rectificar con cambios específicos que se adapten a las instalaciones [1]. Que a través de Las regresiones no lineales permite la generación de una ecuación para describir la relación entre dos o más variables, de una respuesta continua y de una o más variables predictoras.
La gasificación es la conversión de un caudal sólido en un combustible gaseoso o líquido que puede ser quemado para liberar energía o ser utilizado para la producción de sustancias químicas valiosas y constituye uno de los recursos que permite sustituir una parte importante de los combustibles fósiles; requiere de un agente gasificante (aire, oxígeno o vapor) para reordenar la estructura molecular de la biomasa y convertirla en un combustible útil con una relación mayor de la relación hidrógeno-carbón (H/C) [2]. La calidad del gas producido en la instalación depende no solo de las características del flujo de gas, del agente gasificante utilizado, del tipo de biomasa experimental y del diseño del reactor, sino también de los parámetros de operación [3].
La relación de equivalencia tiene un fuerte efecto en el proceso de gasificación. El aumento de la relación de equivalencia promueve la temperatura de gasificación en crecimiento debido a la actividad de reacción de combustión [4], [5]. La concentración de CO y H2 en el gas producido se va hasta con aumento de la relación de equivalencia. Sin embargo, la relación de equivalencia alcanza un punto crítico, el CO y el H2 cuya concentración es inversamente proporcional comienza a bajar. Por lo tanto, los estudios allí se reducen la concentración de CO y H2[6].
Por tal razón la biomasa experimental debe ser seleccionada adecuadamente. Una de ellas es la Eichhorniacrassipes "lechugin" que, por su tasa de crecimiento elevado en la superficie de los ríos de clima tropical y subtropical de Sudamérica, es una excelente fuente de biomasa. Una hectárea de cosecha permanente produce más de 70000 m3/ha de biogás [7]. Según Curtis y Duke, un kg (2.2 lb) de materia seca puede producir 370 litros (13 cu ft) de biogás, con un poder calórico de 22,000 kJ/m3 (593 Btu/cu ft) comparado con el metano puro (895 Btu/cu ft). Con una concentración de 51.6% de metano (CH4), 25.4% de hidrogeno (H2), 22.1% de anhidro carbónico (CO2), y 1.2% de oxigeno (O2) [8].
Por otra parte, está la leña cuyo uso como combustible tiene una larga historia, proporcionando un poder calórico de 14.9 MJ/kg (6,388 Btu/lb). Según The Bioenergy Knowledge Centre, el contenido energético de la leña está estrechamente relacionado con su contenido de humedad. El contenido energético mejora a medida que disminuye el contenido de humedad [9].
En el estudio bibliográfico realizado se encontraron investigaciones basadas enmodelos de redes neuronales artificiales para caracterizar el comportamiento de varios tipos de gasificadores a partir de datos experimentales. Con el uso de esta herramienta se han desarrollado algunos trabajos en el campo de la gasificación de la biomasa y el carbón. Es así que en el año 2010 María Puig et al. [10] desarrolla un trabajo referente a la revisión y análisis de los modelos de gasificación de biomasa, los autores analizan varios modelos del proceso de gasificación, los que se basan en el modelo de equilibrio termodinámico, cinético y de redes neuronales para predecir el comportamiento del reactor enfocado a la producción del gas y sus componentes, hacen una descripción del proceso de creación de la red neuronal multicapa (MFNN) que sirve como un estimador de proceso no medido en parámetros difíciles de modelar, los autores se refieren a este diseño como un aproximador de función universal con la capacidad de aproximar cualquier función continua a una precisión arbitraria incluso sin conocer la estructura de la función que ha ser aproximada [11], [12].
El estudio del estado del arte muestra muy pocas publicaciones dedicadas al modelado por medio de técnicas de regresión a partir de un diseño experimental adecuado a la tarea que se quiere resolver, entre ellos se encuentra Vladimir Kirsanovs et al. [13], [14]. En este trabajo el autor realiza una investigación experimental del proceso de gasificación en una planta real de 400 kW con el fin de caracterizar indicadores de eficiencia de la operación. Se hallan cuatro modelos para definir el poder calórico del gas de síntesis, la capacidad del gasificador y la eficiencia en frío y en caliente del gas. No obstante, carece de un análisis sistémico previo que permita definir el conjunto de relaciones que se requiere modelar con el fin de operar racionalmente el proceso [15], [16].
El objetivo del presente trabajo consiste en la elaboración de modelos de los indicadores de desempeño requeridos para la operación de instalaciones de gasificación tipo downdraft a partir de los datos de un plan experimental correspondientes al análisis sistémico para la definición de las variables que intervienen y su relación mutua, para la operación de este tipo de instalaciones utilizando el análisis de regresión no lineal [17].
Los modelos matemáticos que describen el comportamiento de campo requieren estimaciones fiables para los diferentes parámetros que no se puedan medir directamente y un procedimiento es el análisis de regresión lineal y ajuste por curvas tipo. Por lo tanto, el ajuste por curvas tipo es un método en el cual todos los puntos obtenidos se ensamblan con una línea, ésta no necesariamente debe tocar todos los puntos y los resultados que se obtienen son considerados como una aproximación para los parámetros verdaderos [18], [19].
2. Materiales y métodos
2.1. Instalación experimental
Está constituida por un gasificador tipo downdraft con una capacidad de 10 kW conectado a un motor de combustión interna de 0.8 kW de potencia nominal.
Como resultado del análisis sistémico realizado en correspondencia con los métodos de análisis y síntesis de sistema de ingeniería expuesta en [15], se obtuvo la siguiente composición de variables para la tarea de operación de la instalación de gasificación downdraft.
2.2. Variables de coordinación
Generación deseable de flujo horario de gas que se requiere de la instalación, con el fin de satisfacer las necesidades del consumidor determinada por el nivel superior.
2.3. Indicadores de eficiencia
Eficiencia de la instalación Ef, Temperatura de la zona de pirolisis Tzp, poder calórico del gas PCG, caudal másico de gas generado MG.
2.4 Variables de decisión
Humedad Hu, Cantidad de biomasa Cbio, Caudal de aire de combustión Cau. Para estas variables se seleccionaron los niveles 12, 16, 20%; 1, 3, 5 kg; 0.1666, 0.2098, 0.2531 g/s; respectivamente.
3. Diseño experimental
El plan experimental se concibió con una estructura 3N (alto, medio y bajo, por variables) con tres réplicas, con el fin de tomar en consideración el carácter necesariamente no lineal de las relaciones requeridas y que queden reflejados los factores casuales, incluyendo los errores de medición, para modelar los indicadores de desempeño como función de las variables de operación, con ayuda de modelos de regresión no lineales. Para la recopilación automatizada de la información experimental, se diseñó e implementó en la instalación una tarjeta de adquisición de datos my RIO y la interface maquina hombre con un programa desarrollado en LabView.
La instrumentación utilizada consta de una alarma digital de detección de CO marca Kidde con una intervalo de medición de 30-999 PPM con error ±30% de la magnitud medida en condiciones normales, un medidor de humedad MD914 con un intervalo de medición de 2 a 60% una resolución de 0.5% un sensor de nivel de combustible controlado mediante una paleta para censar el nivel de biomasa, 8 termocuplas tipo k, con intervalo de medición de 0 a 1250°C de temperatura con un límite de error ± 2.2% °C de chromel-alumel y un cable de compensación KX, ubicadas de la siguiente forma: cuatro para las zonas de reducción, pirólisis, combustión y secado, una en la descarga de cenizas, y tres para censar las temperaturas del gas a la entrada del ciclón, a la entrada del intercambiador de calor y a la salida del intercambiador de calor, así como de dos manómetros de agua tipo U con intervalo de medición de 200 mm de H2O, con error de medición de ± 1 mm de H2O uno de ellos toma la diferencia de presión existente en el reactor y el otro en la placa orificio para medición de caudal másico de aire de ingreso en las diferentes aperturas de válvula. La disposición de toda la instrumentación se ilustra en la Fig. 1.

Para elaborar las ecuaciones de regresión que se ajusten adecuadamente a los resultados experimentales se utilizan las técnicas de linealización de modelos expuesta en el libro Sistemas de Ingeniería [16].
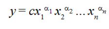
En particular, si a ambos miembros del modelo monomial (1), como se puede observar en la ecuación 1:
(1)donde:
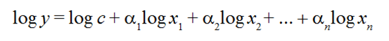
(1a)Se le hallan los logaritmos que se obtiene de la ecuación 2:
(2)de donde se deduce que los coeficientes constituyen potencias de mejor ajuste del monomial (1) o de cualquier composición de productos.
De igual forma se pueden generar términos exponenciales, recíprocos y otros. Se utilizará el siguiente esquema de búsqueda de modelos [16]:
1) Selección de todos los factores "sospechosos" de ejercer influencia sobre la variable dependiente y generación de estos factores. Aquí se pueden utilizar procedimientos auxiliares diferentes. Por ejemplo, los factores de interacción entre las variables se pueden establecer mediante un modelo monomial auxiliar, que incluye todas las variables de la interacción; luego de hallada la ecuación de regresión de este modelo auxiliar queda esclarecidos los exponentes más adecuados del factor de interacción.
2) Se halla la ecuación de regresión con todos los factores "sospechosos" (sean, por ejemplo, k factores).
3) Se registra el coeficiente de correlación múltiple y el error estándar de la ecuación.
4) Se elimina el factor con menor coeficiente de correlación parcial y se halla una nueva ecuación de regresión con k - 1 factores. Este proceso se repite mientras se observe el incremento del coeficiente de correlación múltiple o la reducción del error estándar (inicialmente ambos coeficientes mejoran, con posterioridad el coeficiente de correlación múltiple comienza a disminuir y continúa reduciéndose el error estándar).
5) Finalmente, se verifica el cumplimiento de los requisitos formulados con anterioridad. Si ellos se cumplen, para valores del error estándar tales que donde el primero es el error estándar de la ecuación y, el segundo, el error máximo.
4. Resultados
Siguiendo los diferentes métodos de selección de modelos expuesta anteriormente y se hallaron los modelos que describen el desempeño de los indicadores. Como paso previo a su elaboración fueron halladas mediante ecuaciones logarítmicas auxiliares las potencias de mejor ajuste y, ayudados por los distintos métodos de elaboración de modelos expuestas en el apartado 3, fueron excluidos uno a uno los términos no significativos. Como resultado fueron encontrados los siguientes modelos para la estimación de los indicadores de desempeño de la operación del proceso.
4.1. Biomasa Lechugin
Para la estimación de la eficiencia (Ef ), se puede observar en la ecuación 3:
(3)Se obtuvieron los siguientes indicadores de calidad:
R-squared = 70.01 %
R-squared (adjusted for d.f.) = 69.3451 %
Standard Error of Est. = 1.98217
Mean absolute error = 1.51418
Durbin-Watson statistic = 1.62498 (P=0.0366)
Lag 1 residual autocorrelation = 0.18311
Las potencias Cau, Hu y Cbio se obtuvieron a partir de modelos para la búsqueda de las potencias de mejor ajuste correspondiente.
El error estándar de la estimación muestra la desviación estándar de los residuales es de 1,98. Este valor puede ser utilizado para construir límites de predicción para las nuevas observaciones. En la Fig. 2 se muestra la comparación entre los resultados calculados y experimentales.

Para la estimación del caudal másico de gas generado (MG), se puede observar en la ecuación 4:
(4)En la Fig. 3 se muestra la comparación entre los resultados calculados y experimentales.

Para la estimación de la temperatura de la zona de pirolisis (Tzp), se puede observar en la ecuación 5:
(5)En la Fig. 4 se muestra la comparación entre los resultados calculados y experimentales.

Para la estimación del poder calórico del gas (PCG), se puede observar en la ecuación 6:
(6)En la Fig. 5 se muestra la comparación entre los resultados calculados y experimentales.

4.2. Biomasa cascarilla de arroz
Para la estimación de la eficiencia (Ef ), se puede observar en la ecuación 7:
(7)En la Fig. 6 se muestra la comparación entre los resultados calculados y experimentales.

Para la estimación del caudal másico de gas generado (MG), se puede observar en la ecuación 8:
(8)En la Fig. 7 se muestra la comparación entre los resultados calculados y experimentales.

Para la estimación de la temperatura de la zona de pirolisis (Tzp), se puede observar en la ecuación 9:
(9)En la Fig. 8 se muestra la comparación entre los resultados calculados y experimentales.

Para la estimación del poder calórico del gas (PCG), se puede observar en la ecuación 10:
(10)En la Fig. 9 se muestra la comparación entre los resultados calculados y experimentales.

4.3. Biomasa Leña
Para la estimación de la eficiencia (Ef ), se puede observar en la ecuación 11:
(11)En la Fig. 10 se muestra la comparación entre los resultados calculados y experimentales.

Para la estimación del caudal másico de gas generado (MG), se puede observar en la ecuación 12:
(12)En la Fig. 11 se muestra la comparación entre los resultados calculados y experimentales.

Para la estimación de la temperatura de la zona de pirolisis (Tzp), se puede observar en la ecuación 13:
(13)En la Fig. 12 se muestra la comparación entre los resultados calculados y experimentales.

Para la estimación del poder calórico del gas (PCG), se puede observar en la ecuación 14:
(14)En la Fig. 13 se muestra la comparación entre los resultados calculados y experimentales.

En la Fig. 14, se muestran la comparación ente los modelos para los parámetros Ef, MG, Tzp y PCG, con sus valores obtenidos experimentalmente.

Los indicadores de calidad de los parámetros de las diferentes biomasas se muestran como resumen en la Tabla 1.

La Tabla 2 contiene el resumen estadístico para las dos muestras de datos. Pueden utilizarse otras opciones tabulares, dentro de este análisis, para evaluar si las diferencias entre los estadísticos de las dos muestras son estadísticamente significativas. De particular interés son el sesgo estandarizado y la curtosis estandarizada que pueden usarse para comparar si las muestras provienen de distribuciones normales. Valores de estos estadísticos fuera del rango indican desviaciones significativas de la normalidad, lo que tendería a invalidar las pruebas que comparan las desviaciones estándar. En este caso, ambos valores de sesgo estandarizado se encuentran dentro del rango esperado. Ambas curtosis estandarizadas se encuentran dentro del rango esperado.

5. Conclusiones
La investigación realizada permite extraer las siguientes conclusiones principales:
En los resultados de las tres biomasas de este estudio, el p-valor en la tabla ANOVA en cada parámetro analizado, comprenden valores inferiores en el intervalo de (0.02-0.08), esto muestra que existe una relación estadísticamente significativa entre las variables en un rango del (97-99%) de nivel de confianza.
En las biomasas estudiadas, el estadígrafo R-cuadrado, R-cuadrado ajustado y el error estándarindica que el modelo ajustado explica en un intervalo del (68-84%) y (1.9-4.5) de variabilidad, siendo así que la R2 ajustada es adecuada para asumir el modelo encontrado para las variables independientes caudal de aire de combustión (Cau), cantidad de biomasa (Cbio) y Humedad (Hu).
Es importante recordar que las medidas de los errores absolutos en lugar de los cuadráticos presentan sesgos, lo que implica que los últimos penalizan en mayor medida a los errores más grandes, en el caso de esta experimentación la bondad del ajuste radica en el análisis de los estadígrafos R2 y S (error estándar) y para su verificación se hizo el estudio en uno de los experimentos por medio de la U de Theil el que arrojo un coeficiente de 0.2, lo que indica un valor próximo a cero lo que supone una predicción perfecta mientras más cercano es al cero según el concepto, es importante acotar que este análisis no era parte del presente artículo.
Por lo tanto, se ha determinado que los parámetros de mayor control deben ser la Temperatura de la zona de pirolisis (Tzp) y la eficiencia calculada (Ef ).
En el modelado matemático las potencias de mejor ajuste son aquellos valores exponenciales de las variables independientes que minimizan el error del modelo matemático, estas se determinan generalmente a partir de la linealización del modelo potencial de tipo monomial por la aplicación de logaritmos a ambos miembros del modelo.
- Por ello se ha hecho las pertinentes conclusiones del análisis para cada biomasa de los resultados anteriormente discutidos, lo que nos lleva a deducir que la aproximación de las ecuaciones por la técnica de regresión no lineal son modelos fiables, que llegan a los valores verdaderos de los parámetros de desempeño que afectan en el proceso de gasificación, los que podemos estar seguros en cuál de ellos inferir para realizar un posterior control en pruebas futuras y pasar a desarrollar la optimización del sistema en este caso la instalación tipo downdraft.
- La composición de modelos por técnicas de regresión no lineal a ser identificados depende del adecuado análisis del sistema estudiado.
- En el caso concreto de la operación de las instalaciones de gasificación tipo downdraft se requieren identificar la eficiencia de la instalación (Ef ), temperatura de la zona de pirolisis (Tzp), poder calórico del syngas (PCG), caudal másico del gas (MG) como función de la humedad (Hu), cantidad de biomasa (Cbio) y caudal de aire de combustión (Cau).
- La aplicación de los modelos de regresión no lineal de los parámetros energéticos al caso concreto del desempeño de gasificadores tipo downdraft para biomasa Eichhornia crassipes (lechugin), cascara de arroz y leña se obtienen modelos individuales por cada indicador de desempeño de la operación como sonla eficiencia de la instalación (Ef ), temperatura de la zona de pirolisis (Tzp), poder calórico del syngas (PCG), caudal másico del gas (MG) en función de la humedad (Hu), cantidad de biomasa (Cbio) y caudal de aire de combustión (Cau).
Referencias
[1] T. K. Patra, P. N. Sheth, "Biomass gasification models for downdraft gasifier: A state-of-the-art review," Renewable and Sustainable Energy Reviews, vol. 50, 2015, pp. 583-593. [Fecha de consulta 18 de septiembre 2018]. Disponible en: https://www.sciencedirect.com/science/article/pii/S1364032115004700
[2] S. Shabbar, I. Janajreh, "Thermodynamic equilibrium analysis of coal gasification using Gibbs energy minimization method," Energy Conversion and Management, vol. 65, 2013, pp.755-763. [Fecha de consulta 25 septiembre 2017]. Disponible en: https://www.sciencedirect.com/science/article/pii/S0196890412001501
[3] M. Costa, M. La Villetta, N. Massarotti, "Optimal Tuning of a Thermo-Chemical Equilibrium Model for Downdraft Biomass Gasifiers," Chemical Engineering Transactions, vol. 43, 2015, pp. 434-444. [Fecha de consulta 1 noviembre 2017]. Disponible en: https://www.researchgate.net/publication/284888681_Optimal_tuning_of_a_thermo-chemical_equilibrium_model_for_downdraft_biomass_gasifiers
[4] M. Asadullah, "Barriers of commercial power generation using biomass gasification gas: A review," Renewable and Sustainable Energy Reviews, vol. 29, 2014, pp. 201-215. [Fecha de consulta 6 noviembre 2017]. Disponible en: https://www.sciencedirect.com/science/article/pii/S136403211300614X
[5] P. Raman, N. K. Ram , R. Gupta, "A dual fired downdraft gasifier system to produce cleaner gas for power generation: Design, development and performance analysis," Energy, vol. 54, núm. 1, 2013, pp. 302-314. [Fecha de consulta 13 noviembre 2017]. Disponible en: https://www.sciencedirect.com/science/article/pii/S0360544213002077
[6] M. A. Ariffin, W. M. F. W. Mahmood, Z. Harun, R. Mohamed, "Medium-scale gasification of oil palm empty fruit bunch for power generation," Journal of Material Cycles and Waste Management, vol. 19, núm. 3, 2017, pp. 1244-1252. [Fecha de consulta 13 noviembre 2017]. Disponible en: https://link.springer.com/article/10.1007/s10163-016-0518-8
[7] National Research Council. Making Aquatic Weeds Useful: Some Perspectives for Developing Countries. Washington, DC: The National Academies Press, 1976. Disponible en: https://doi.org/10.17226/19948
[8] C. R. Curtis, J.A. Duke, An assessment of land biomass and energy potential for the Republic of Panama (vol. 3). Institute of Energy Conversion. Univ. Delaware, 1982.
[9] I. Janajreh, M. Alshrah, "Numerical and experimental investigation of downdraft gasification of woodchips". Energy Conversion and Management, vol. 65, 2013, pp. 783-792. [Fecha de consulta 20 noviembre 2017]. Disponible en: https://www.sciencedirect.com/science/article/pii/S0196890412001471
[10] M. P. Arnavat, J. A. Hernández, J. C. Bruno, A. Coronas, "Artificial neural network models for biomass gasification in fluidized bed gasifiers," Biomass and Bioenergy, vol. 49, 2013, pp. 279-289. [Fecha de consulta 27 noviembre 2017]. Disponible en: https://www.sciencedirect.com/science/article/pii/S0961953412005107
[11] C. C. Sreejith, C. Muraleedharan, P. Arun, "Performance prediction of fluidised bed gasification of biomass using experimental data-based simulation models," Biomass Conversion and Biorefinery, vol. 3, núm. 4, 2013, pp. 283-304. [Fecha de consulta 4 diciembre 2017]. Disponible en: https://link.springer.com/article/10.1007/s13399-013-0083-5
[12] S. Shabbar, I. Janajreh, "Thermodynamic equilibrium analysis of coal gasification using Gibbs energy minimization method," Energy Convers Manage, vol. 65, 2013, pp.755-763. [Fecha de consulta 18 septiembre 2017]. Disponible en: https://www.researchgate.net/publication/257051646_Thermodynamic_equilibrium_analysis_of_coal_gasification_using_Gibbs_energy_minimization_method
[13] S. S. Kumar, P. Sathyabalan, S. Ragunathan, "Simulation of Biomass Downdraft Gasifier based on Neural Networks, " Asian Research Consortium, vol. 6, núm. 6, 2016, pp. 1548-1560. [Fecha de consulta 11 diciembre 2017]. Disponible en: https://aijsh.com/shop/articlepdf/2016/06/1464756527122.pdf
[14] J. F. Pérez, A. Melgar, A. Horrillo, "Thermodynamic methodology to support the selection of feedstocks for decentralised downdraft gasification power plants," International Journal of Sustainable Energy, vol. 36, núm. 10, 2017, pp. 302-310. [Fecha de consulta 18 diciembre 2017]. Disponible en: http://doi.org/10.1080/14786451.2016.1162792
[15] K. Kirsanovs, D. Blumberga, I. Veidenbergs, C. Rochas, E. Vigants, G. Vigants, "Experimental investigation of downdraft gasifier at various conditions," Energy Procedia, vol. 128, 2017, pp. 332-338. [Fecha de consulta 8 enero 2018]. Disponible en: https://www.sciencedirect.com/science/article/pii/S1876610217338419
[16] D. Baruah, D. C. Baruah, "Modeling of biomass gasification: A review," Renewable and Sustainable Energy Reviews, vol. 39, 2014, pp. 806-815.
[17] V. Kirsanovs, A. Zandeckis, C. Rochas, "Biomass gasification thermodynamic model including tar and char," Institute of Energy Systems and Environment vol. 14, núm. 4, 2016, pp. 1321-1331. [Fecha de consulta 22 enero 2018]. Disponible en: http://agronomy.emu.ee/wp-content/uploads/2016/06/Vol14_nr4_Kirsanovs.pdf
[18] J. Arzola, Análisis y Síntesis de Sistemas de ingeniería. Instituto Superior Politécnico “José Antonio Echeverría”, Cuba, 2013.
[19] R. Pérez, "Estimación de la incertidumbre, la incertidumbre útil y la inquietud en poblaciones finitas. Una aplicación a las medidas de desigualdad", Sesión Científica de la Real Academia de las Ciencias Ex. Fls. y Nat., 1985, Madrid.