Estudio en régimen DC y AC de diodos de nanotubos de carbono para aplicaciones de alta frecuencia
Study in DC and AC Regime of Carbon Nanotube Diodes for High Frequency Applications
Estudio en régimen DC y AC de diodos de nanotubos de carbono para aplicaciones de alta frecuencia
Científica, vol. 23, núm. 2, pp. 91-98, 2019
Instituto Politécnico Nacional
Recepción: 22/11/18
Aprobación: 13/03/19
Resumen: Este trabajo se analiza el rendimiento estático y dinámico de dos enfoques diferentes de dopaje, químico y electrostático, en diodos Schottky de nanotubos de carbono (CNT) con contactos de geometría bidimensional, por medio de simulación numérica y modelado compacto. Para el análisis estático se obtienen las principales figuras de mérito de los dispositivos simulados, como el factor de rectificación, tiempo de almacenamiento, voltaje de umbral y capacitancia de diodo, y son comparadas con datos disponibles en la literatura. Adicionalmente se estudian sus mecanismos de transporte. Para el análisis dinámico se estima la frecuencia de corte en la región de polarización directa para el diodo de dopaje químico con base en el análisis de la polarización de circuito equivalente y la ecuación de diodo de Schockley, logrando una frecuencia en el rango THz. Además, se proponen cambios al diseño del dispositivo para lograr un aumento en la frecuencia de corte, como una transparencia de contactos mejorada o arreglos de nanotubos en paralelo.
Palabras clave: CNT, diodo Schottky, simulación numérica de dispositivos, modelado compacto, DC, rendimiento de alta frecuencia.
Abstract: In this paper the static and dynamic performance of two different doping approaches, chemical and electrostatic, in carbon nanotubes (CNT) Schottky diodes with two-dimensional contact geometry is analyzed by means of numerical simulation and compact modeling. For the static performance, the main merit figures of the simulated devices are obtained, such as the rectification factor, storage time, threshold voltage and diode capacitance, and are compared with data available in the literature. Additionally, their transport mechanisms are studied. For the dynamic performance, the cutoff frequency in the forward bias region for the chemical doping diode is estimated based on the analysis of the equivalent circuit and the Schockley diode equation, reaching a frequency in the THz domain. In addition, changes to the design of the device are proposed to achieve an increase in the cutoff frequency, such as improved contact transparency or arrays in parallel of nanotubes.
Keywords: CNT, Schottky diode, numerical device simulation, compact modeling, DC, high-frequency performance.
Introducción
Los nanotubos de carbono han sido objetivo de diferentes estudios debido a sus características especiales sobre otros materiales, en el campo de la electrónica la alta movilidad de portadores dentro del tubo, transporte cuasi-balístico y alta velocidad de Fermi los convierte en materiales idóneos para desarrollar dispositivos de alta velocidad y rendimiento [1], [2], además de la posibilidad de modificar su perfil de bandas por medio de la concentración de dopaje, con lo que se pueden ajustar sus características electrónicas y desarrollar dispositivos sintonizables [3], [4].
Diodos basados en nanotubos de carbono han sido reportados para diferentes aplicaciones como prueba de concepto, los cuales ofrecen grandes ventajas sobre dispositivos convencionales basados en silicio u otros materiales semiconductores, como una mayor movilidad, la posibilidad de diseños nanométricos y alta sensibilidad en altas frecuencias (HF por sus siglas en inglés) [3], [4], [5], [6], [7], [8], [9], [10], [11], [12].
La electrónica moderna puede beneficiarse de dispositivos sintonizables cuyas características en DC varían de forma controlada acorde a una ingeniería de banda prohibida. Dichas características implican que un solo dispositivo podría incorporar diferentes principios de operación con el fin de lograr una alta densidad de empaquetamiento, funcionalidad diversa y bajo consumo de energía. Aunque ya se han desarrollado diodos sintonizables individuales [3], [4], [5], [9], [10], todavía es un reto su producción y empaquetamiento a escala masiva.
Este trabajo presenta un estudio de dos diodos con geometría de contacto ideal, cuyas características en DC son modificadas por dos diferentes métodos de dopaje. Los resultados son analizados por medio de simulación numérica de dispositivos y modelado compacto, con el fin de comprender las capacidades y desempeño de dos distintos enfoques de dopaje en diodos CNT para altas frecuencias (HF).
2. Modelado de dispositivos
El análisis presentado en este trabajo fue realizado utilizando COOS, el cual es un programa de modelado numérico de dispositivos basados en estructuras de carbón, que resuelve la ecuación de Poisson de forma iterativa junto con las siguientes ecuaciones de transporte para extraer los parámetros físicos y eléctricos de un dispositivo:
- Ecuación de Schrödinger en masa efectiva (EFM)
- Ecuación de deriva-difusión (DD)
- Ecuación de Transporte de Boltzmann (BTE)
Este software permite la simulación de diferentes arquitecturas y dimensiones, también puede considerar otras características como capacidades parásitas, diferentes materiales y diferentes modelos de transporte [13].
Los mecanismos de tunelamiento y dispersión son considerados, así como solo la primer sub-banda de conducción y de valencia en todas las simulaciones de este trabajo, ya que estudios previos detallados revelan que son las primeras sub-bandas las que dominan el transporte [8], [13].
La fiabilidad del programa de modelado se ha demostrado en una amplia variedad de estudios con dispositivos basados en CNT, incluida la verificación con datos experimentales [13], [14], [15], [16] y simulaciones electrónicas de transporte cuántico [17], [7].
El dispositivo es un diodo CNT ideal cuya geometría simétrica de ánodo y cátodo es de dos dimensiones, con barreras de potencial inicial de 0.26 eV en ambos contactos respecto a los electrones, con una longitud Lconty ancho Wox de 0.2 mm y 20 nm, respectivamente, su canal es un CNT (16,0) con un diámetro dCNT y longitud de Lch de 1.6 nm y 1 m correspondientemente, mismo se encuentra entre una capa de dióxido de silicio (SiO2) y una de dióxido de hafnio (HfO2), ambos con una altura Aox y longitud Lox de 7.52 nm y 1.4 mm, respectivamente, y ancho Wox. Las vistas lateral y frontal del diodo se muestran en la Fig. 1(a) y (b), respectivamente.

Dopaje químico y electrostático son propuestos en un dispositivo de dimensiones ideales en este trabajo. Para el dopaje químico, el nanotubo tiene una concentración de portadores correspondiente a 50x107m-1, de forma que de la mitad del canal hacia el ánodo tiene dopaje tipo-n y la otra mitad tipo-p. Para el dopaje electrostático se implementan dos contactos tipo compuerta (DG) colocados sobre ánodo y cátodo a una distancia Aox, encima del HfO2, de longitud LG de 0.4 mm y ancho WOX, separados entre ellos una distancia Sg de 0.8 mm. La compuerta cerca al ánodo (G, a) es polarizada con 0V/-0.5V y la próxima al cátodo (G, k) con 0.5 V. La vista frontal del dispositivo DG se muestra en la Fig. 1(c).
3. Análisis de resultados
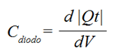
Para las simulaciones se consideró un voltaje aplicado de ánodo a cátodo que varía de -1 V a 1 V para todos los dispositivos modelados. La Fig. 2(a) y (b) muestra las curvas características I-V y C-V, respectivamente, obtenidas con el programa de modelado. La capacitancia de unión se obtiene de la ecuación 1, donde Qtes la carga del tubo obtenida con el programa de modelado descrito en la sección anterior.
(1)Como resultado del posprocesamiento de la información en Fig. 2, en la Fig. 3 se muestran las principales figuras de mérito, como el factor de rectificación |Ion/Ioff|, el tiempo de almacenamiento sy el voltaje de umbral Vth, el cual se obtiene con una extrapolación lineal de las características I-V en la región de polarización directa hacia el eje x, donde V > Vth. Para estos indicadores de rendimiento la corriente de estado encendido Ion y la corriente de estado apagado Ioff se obtienen a un voltaje V igual a una diferencia constante de |0.5V| al voltaje de umbral Vth, i.e., Ion = I|Vth+0.5V e Ioff = I|Vth-0.5V. Adicionalmente, se muestra información de [3],[4],[7],[9] y [10], con la intención de realizar una comparativa de los resultados de este estudio con los de estudios similares sobre diodos con contactos no ideales así como con datos experimentales.


Para la estructura DG los contactos adicionales aumenta la cantidad de portadores en la región del canal alrededor de las interfaces CNT-metal de ánodo y cátodo, induciendo barreras de potencial que modulan el perfil de bandas del dispositivo, consiguiendo de este modo una mayor corriente de transporte a costa de un voltaje de umbral más alto en contraste con el dispositivos sin compuertas (Dop. Químico), obteniendo también un mayor tiempo de almacenamiento, de acuerdo a lo mostrado en las Fig. 3 y Fig. 4, la última muestra la banda de conducción a tres puntos de polarización (-0.5V, 0V y 0.5V).

La altura de las barreras inducidas por las compuertas (Ga y Gk) varía según sean polarizadas y también con la polarización directa del dispositivo, cuando la compuerta cercana al ánodo se polariza (VGa = -0.5) se induce una barrera de mayor altura, con respecto a la generada cuando ese contacto se encuentra sin polarizar (VGa = 0), diferencia que es más notoria en el estado apagado del dispositivo (V = 0 V en Fig. 3), mientras es menor cuando el dispositivo se encuentra en polarización directa (V = 0.5V en Fig. 3) y aun mayor en polarización inversa (V = -0.5 V en Fig. 3). Adicionalmente se observa que polarizar las compuertas en negativo y positivo (-VGa = VGk = 0.5 V) induce contactos tipo P y N, respectivamente. Esta modulación en el perfil de bandas afecta los procesos de conducción. En la Fig. 5(a) y (b) se muestran las corrientes de tunelamiento y termiónica respectivamente en polarización directa e inversa.

Las barreras de potencial inducidas por las compuertas generan corrientes de tunelamiento en polarización directa (V = 0.5V en Fig. 5) en ambos estados de polarización de la compuerta cercana al ánodo (VG,a = 0V / -0.5V), mientras que en polarización inversa no polarizar esa compuerta mantiene las corrientes de tunelamiento, debido a la anchura de la barrera, lo cual aumenta la corriente de fuga y se ve reflejado en la Fig. 2 a V = -0.5. Respecto a las corrientes termiónicas, polarizar la compuerta cercana al ánodo requerirá una mayor energía termiónica para realizar la inyección de portadores, debido a la altura de la barrera, por lo cual se consiguen corrientes de menor nivel en ambos sentidos de polarización del dispositivo respecto a cuando no se polariza ese contacto (VG, a = 0 V).
El dopaje químico también induce barreras de potencial a lo largo del canal, las cuales modifican su altura con la polarización directa del dispositivo, como se puede ver en la Fig. 3. De la misma manera que el dopaje electrostático, este enfoque de modulación de bandas modifica los procesos de conducción. En la Fig. 6 se muestran las corrientes de tunelamiento y termiónica en polarización directa e inversa.

Este dopaje reduce la corriente de fuga, debido a la reducción del efecto túnel en polarización inversa, con lo cual consigue un aumento en su factor de rectificación a pesar de alcanzar una menor corriente en estado encendido. Este dispositivo es el más rápido de los analizados aquí, debido a que logra el menor tiempo de almacenamiento respecto a los de dopaje electrostático.
De acuerdo con los indicadores de rendimiento que se muestran en la Fig. 3, el dispositivo de dopaje químico analizado aquí tiene un mejor rendimiento general en comparación con los analizados en [3], [7] y [9]. Esta diferencia de rendimiento puede deberse a diferentes materiales de contacto y diferentes concentraciones de dopaje, es decir, diferentes alturas de barrera Schottky en interfaces metal-CNT y a lo largo de canal, así como posibles defectos de tubo y cruces de tubo que forman puntos Schottky no controlados dentro de la región de canal, en el caso de [3]. También existe gran influencia de la geometría del dispositivo, pues en el caso de los modelados aquí, se está considerando contactos ideales bidimensionales, lo cual permite se acumule poca carga en el canal, mostrado en la Fig. 2(a), causando un aumento en el tiempo de almacenamiento, en cambio [7] utiliza una geometría de accesos coplanares (CPW), alcanzando entre 1aF y 40 aF en el mismo rango de polarización que los analizados.
Los mismos indicadores muestran que los dispositivos con dopaje electrostático analizados presentan un mejor rendimiento respecto a [4], el cual logra un factor de rectificación y una Ion muy pequeños, lo cual puede deberse a que las barreras inducidas por los contactos polarizados a -10V/10V fueron muy altas para permitir se requiera menor energía termiónica para lograr la inyección en estado encendido y además fueron lo suficientemente anchas para generar corrientes de tunelamiento en estado apagado, aumentado la corriente de fuga. No así comparando con [10], donde el factor de rectificación tiene un par de décadas de diferencia aunque con Ion menor.
De los dos enfoques de dopaje analizados, el dopaje químico tiene un mejor desempeño, respecto a |Ion /Ioff| y ts, a pesar de lograr una menor Ion, debido a la reducción de la corriente de tunelamiento, aparte de lograr una menor capacitancia de canal, como se muestra en Fig. 2 (b) y Fig. 3, por lo que se elige para continuar con el análisis en frecuencia, además de haber obtenido una capacitancia parásita de ~0.02aF, menor en comparación a los otros dos dispositivos (~0.1fF), lo cual es fundamental para lograr una alta frecuencia extrínseca de corte, como se demuestra en el siguiente apartado.
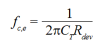
Para conocer el desempeño del dispositivo en alta frecuencia se deben extraer figuras prácticas de mérito. A partir del análisis del circuito equivalente del diodo a pequeña señal la frecuencia de corte extrínseca del dispositivo fc,e se puede definir como [7] y se muestra a continuación:
(2)donde CTincluye la contribución de Cdiodo y Cpar, mostradas también en Fig. 7(a).

El circuito equivalente del diodo Schottky, mostrado en la Fig. 7, está conformado por una resistencia serie independiente de voltaje Rserie, la capacitancia del dispositivo Cdiodo relacionada con las variaciones en la zona de empobrecimiento, una capacitancia parásita Cpar en paralelo asociada al efecto de campos marginales y una resistencia dependiente de voltaje RJ(V) asociada con las interfaces metal-CNT y la porción óhmica del CNT. Rserie es un parámetro de ajuste de un modelo analítico que se explica a continuación. De acuerdo al circuito equivalente y basado en la ecuación del diodo Shockley, la resistencia dinámica de baja frecuencia del diodo se pude expresar como:
(3)Con I0 como la corriente de saturación de polarización inversa, n como el factor de idealidad, Vt= kBT / q como el voltaje térmico donde kB es la constante de Boltzmann, T es la temperatura y q es la carga electrónica.
Aunque existe una física bastante compleja detrás de los mecanismos de transporte que ocurren en semiconductores unidimensionales, se ha comprobado que las principales contribuciones a la inyección de portadores en dispositivos CNT se realizan por parte de la emisión termiónica y tunelamiento a través de las barreras de potencial [12], [18], ecuaciones del modelo de difusión-deriva, como la ecuación 3, reproducen adecuadamente esos modelos de transporte en semiconductores a baja frecuencia y bajo voltaje de polarización directa, así mismo ha sido utilizada para aproximar el comportamiento de otros diodos-CNT satisfactoriamente [5], [6], [7], [12].
El factor de idealidad n, la corriente de saturación de polarización inversa I0 y la resistencia serie independiente de voltaje Rserie para el dispositivo con dopaje químico pueden ser calculados al alimentar (ecuación 3) con resultados de la simulación numérica y calibrando Rdev de acuerdo a esos valores, como se muestra en la Fig. 7(b), con lo que se obtiene valores de 1.07, 0.01 pA, y 5 MW, respectivamente. La corriente de diodo calculada a partir de este modelo analítico (denominador en el primer término de la ecuación 3), obtenida con los mismos parámetros se muestra en la Fig. 2(a) (línea roja continua).
La frecuencia de corte extrínseca dependientes del voltaje obtenidas con las ecuaciones 2 y 3 se muestran en la Fig. 8.

La frecuencia de corte extrínseca obtenida con la ecuación 3 tiene un comportamiento incremental y alcanza la saturación con un alto voltaje de polarización logrando el rango de THz a 0.5V, debido a la baja capacitancia parásita obtenida en las simulaciones (Cpar ~ 0.02aF) que se alcanzó gracias a las dimensiones ideales de los contactos.
Aunque la frecuencia de corte extrínseca es un buen indicador de las capacidades del dispositivo considerando todos sus elementos, la frecuencia de corte intrínseca puede indicar las capacidades del material, ya que considera solo los elementos activos del diodo, aunque también puede conducir a una gran sobreestimación de las propiedades prácticas del elemento. La misma puede ser calculada también a partir del circuito equivalente como se realiza en [6] y [7], rebasando el rango de los THz para este dispositivo ideal a una polarización de 0.8 V.
Además de las características del dispositivo para obtener una alta frecuencia de corte, como una poca acumulación de carga en el canal y una baja capacitancia parásita, existen métodos en la ingeniería de dispositivos-CNT que pueden ayudar a alcanzar una mayor frecuencia gracias una menor impedancia, como conseguir uniones CNT-metal cuasi puras en los contactos [7], [15], [19], o implementar dispositivos multitubos [19], [7], con lo cual se puede disminuir Rdev mientras se mantiene Cdiode, en el primer caso, y reducir Rdev en tanto se multiplica Cdiode, en el segundo. Para proyectar el primer escenario en este trabajo se reduce Rdev en un factor de 10, mientras se mantienen los mismos parámetros en la ecuación 2, consiguiendo con ello un aumento de una década en la frecuencia de corte extrínseca, para el segundo escenario se consideró el uso de 1000 nanotubos, con lo que Rj(V) y Rserie se escalan en un factor 1/núm. de tubos y Cdiodo x núm. de tubos, resultando en un aumento aproximado de tres décadas para la frecuencia de corte extrínseca, ambas frecuencias a 0.5 V de polarización, comportamiento parecido al obtenido en [7] gracias a que se consideran factores similares, aunque la frecuencia extrínseca obtuvo niveles inferiores debido a su mayor valor en sus componentes en general. El aumento en la primera proyección esta dado básicamente gracias a la disminución de la impedancia en los contactos, mientras que en la segunda, la distribución de la capacitancia parásita por cada nanotubo tuvo gran influencia.
4. Conclusiones
Se propusieron enfoques de dopaje químico y electrostático en diodos CNT y se estudió el rendimiento estático y dinámico mediante un enfoque de simulación multiescala, para, desde un nivel físico, estudiar la fenomenología detrás de los mecanismos de transporte y analizar el cambio frente a dos métodos de dopaje, así como desde un nivel electrónico conocer su desempeño en alta frecuencia.
El dopaje electrostático logra un buen desempeño respecto al factor de rectificación y corriente de estado encendido Ion, aunque compromete el tiempo de almacenamiento. Además de ausencia de contactos adicionales para inducir modulación en el perfil de bandas del dispositivo, el dopaje químico logra a un factor de rectificación y tiempo de almacenamiento mejorados sin aumentar la capacitancia parásita, respecto al anterior. Por lo tanto es más adecuado para aplicaciones HF, logrando frecuencias de corte bastante altas, dadas por la poca carga acumulada en el canal y la baja capacitancia parásita, debido a las condiciones ideales del dispositivo. Se comprobó que diodos-CNT pueden alcanzar frecuencias de corte en el rango THz siempre y cuando se logre reducir la acumulación de carga en el canal y la capacitancia parásita del dispositivo. Además de que mejorías en el diseño, como la trasparencia en los contactos y el uso de multitubos, pueden ayudar a conseguir una frecuencia de corte extrínseca más alta.
Si bien este análisis está enfocado en un dispositivo de geometría ideal, es una referencia adecuada para estimar el desempeño de dos distintos enfoques de dopaje en diodos-CNT a través de sus mecanismos de trasporte, su análisis circuital y su comportamiento en alta frecuencia. Con lo cual se pueden proponer mejoras para desarrollar dispositivos-CNT ultrarrápidos, de mayor factor de rectificación o frecuencias de corte en el rango THz.
Agradecimientos
Los autores agradecen al Instituto Politécnico Nacional, a la Secretaría de Investigación y Posgrado y a la Sección de Estudios de Posgrado e Investigación de la Escuela Superior de Ingeniería Mecánica y Eléctrica Unidad Zacatenco, al Consejo Nacional de Ciencia y Tecnología por el apoyo brindado, así como a la Technische Universität Dresden por hacer posible esta colaboración.
Referencias
[1] M. Schröter, M. Claus, P. Sakalas, M. Haferlach, D, Wang, "Carbon Nanotube FET Technology for Radio-Frequency Electronics: State-of-the- Art Overview," IEEE Journal of Electron Devices Society, vol. 1, núm. 1, pp. 9-20, 2013. Disponible en: https://doi.org/10.1109/JEDS.2013.2244641, Consultado: 07 octubre, 2018.
[2] R. R. Hartmann, J. Kono, M. E. Portno, "Terahertz science and technology of carbon nanomaterials," Nanotechnology, vol. 25, 322001, 2014. Disponible en: https://doi.org/10.1088/0957-4484/25/32/322001, Consultado: 15 octubre, 2018.
[3] C. Biswas, S. Y. Lee, T. H. Ly, A. Ghosh, Q. N. Dang, Y. H. Lee, "Chemically Doped Random Network Carbon Nanotube pn Junction Diode for Rectifier," ACS Nano, vol. 5, núm. 12, pp 9817-9823, 2011. Disponible en: https://doi.org/10.1021/nn203391h, Consultado: 17 octubre, 2018.
[4] J. U. Lee, P. P. Gipp, C. M. Heller, "Carbon nanotube p-n junction diodes," Appl. Phys. Lett., vol. 85, núm. 145, 2004. Disponible en: https://doi.org/10.1063/1.1769595, Consultado: 15 octubre, 2018.
[5] A. Kaur, X. Yang, P. Chahal, "CNTs and Graphene-Based Diodes for Microwave and Millimeter-Wave Circuits on Flexible Substrates," IEEE Transactions on Components, Packaging and Manufacturing Technology, vol. 6, núm. 12, pp. 1766-1775, 2016. Disponible en: https://doi.org/10.1109/TCPMT.2016.2586023, Consultado: 8 octubre, 2018.
[6] E. Cobas, M. S. Fuhrer, "Microwave rectification by a carbon nanotube Schottky diode," Applied Physics Letters, vol. 93, pp. 043-120, 2008. Disponible en: https://doi.org/10.1063/1.2939095, Consultado: 8 octubre, 2018.
[7] H. Macedo-Zamudio, A. Pacheco-Sanchez, E. Ramirez-Garcia, L. M. Rodriguez-Mendez, D. Valdez-Perez, M. Schröter, "Carbon nanotube Schottky diodes performance study: static and high-frequency characteristics," International Conference on Nanotechnology for Instrumentation and Measurement, (NANOfIM), Mexico, 2018. Disponible en: https://www.researchgate.net/publication/328828462_Carbon_nanotube_Schottk_diodes_performance_study_static_and_high-frequency_characteristics, Consultado: 21 octubre, 2018.
[8] J. M. Park, S. N. Hong, "Contact and channel resistances of ballistic and non-ballistic carbon-nanotube field-effect transistors," J. Korean Phys. Soc., vol. 68, núm. 2, pp. 251-256, 2016. Disponible en: https://doi.org/10.3938/jkps.68.251, Consultado: 8 septiembre, 2018.
[9] C. Chen, C. Liao, L. Wei, H. Zhong, R. He, Q. Liu, X. Liu, Y. Lai, C. Song, T. Jin, Y. Zhang, "Carbon nanotube intramolecularp-i-n junction diodes with symmetric and asymmetric contacts," Scientific Reports, vol. 6, núm. 22203, 2016. Disponible en: https://doi.org/10.1038/srep22203, Consultado: 23 octubre, 2018.
[10] M. A. Hughes, K. P. Homewood, R. J. Curry, Y. Ohno, T. Mizutani, "An ultra-low leakage current single carbon nanotube diode with splitgate and asymmetric contact geometry," Applied Physics Letters, vol. 103, pp. 133-508, 2013. Disponible en: https://doi.org/10.1063/1.4823602, Consultado: 19 agosto, 2018.
[11] J. Si, L. Liu, F. Wang, Z. Zhang, L. M. Peng, "Carbon Nanotube Self-Gating Diode and Application in Integrated Circuits," ACS Nano, vol. 10, pp. 6737-6743, 2016. Disponible en: https://doi.org/10.1021/acsnano.6b02126, Consultado: 13 octubre, 2018.
[12] E. D. Cobas, S. M. Anlage, M. S. Fuhrer, "Single Carbon Nanotube Schottky Diode Microwave Rectifiers," IEEE Transactions on Microwave Theory and Techniques, vol. 59, núm. 10, pp. 2726-2732, 2011. Disponible en: https://doi.org/10.1109/TMTT.2011.2164548, Consultado: 11 octubre, 2018.
[13] M. Claus, S. Mothes, S. Blawid, M. Schröter, "COOS: a wave-function based Schrödinger-Poisson solver for ballistic nanotube transistors," Journal of Computational Electronics, vol. 13, pp. 689-700, 2014. Disponible en: https://doi.org/10.1007/s10825-014-0588-6, Consultado: 23 octubre, 2018.
[14] S. Mothes, M. Schröter, "Three dimensional transport simulations and modeling of densely packed CNTFETs," IEEE Transactions on Nanotechnology, 2018. Disponible en: https://doi.org/10.1109/TNANO.2018.2874109, Consultado: 16 octubre, 2018.
[15] S. Mothes, M. Claus, M. Schröter, "Toward Linearity in Schottky Barrier CNTFETs," IEEE Transactions on Nanotechnology, vol. 14, núm. 2, pp. 372- 378, 2015, Disponible en: https://doi.org/10.1109/TNANO.2015.2397696, Consultado: 29 octubre, 2018.
[16] S. Blawid, D. L. M. de Andrade, S. Mothes, M. Claus, "Performance Projections for a Reconfigurable Tunnel NanoFET," IEEE Journal of the Electron Devices Society, vol. 5, núm. 6, pp. 473-479, 2017. Disponible en: https://doi.org/10.1109/JEDS.2017.2756040, Consultado: 2 octubre, 2018.
[17] A. Fediai, D. A. Ryndyk, G. Seifert, S. Mothes, M. Claus, M. Schröter, G. Cuniberti, "Towards an optimal contact metal for CNTFETs," Nanoscale, vol. 8, núm. 19, p. 10240, 2016. Disponible en: https://doi.org/10.1039/C6NR01012A, Consultado: 2 octubre, 2018.
[18] A. Appenzeller, M. Radosavljevic, J. Knoch, Ph. Avouris, "Tunneling Versus Thermionic Emission in One-Dimensional Semiconductors," Phys. Rev. Lett, vol. 92, núm.4, 2004. Disponible en: https://doi.org/10.1103/PhysRevLett.92.048301, Consultado: 2 octubre, 2018.
[19] A. Pacheco-Sanchez, M. Claus, "Device design-enabled Schottky barrier height extraction for nanoFETs based on the 1D Landauer-Büttiker equation," Applied Physics, Letters, vol. 111, núm. 16, 2017. Disponible en: https://doi.org/10.1063/1.4998807, Consultado: 2 octubre, 2018.