Análisis de la seguridad en butacas de autobuses
Safety Analysis of Seats in Bus
Análisis de la seguridad en butacas de autobuses
Científica, vol. 23, núm. 2, pp. 127-134, 2019
Instituto Politécnico Nacional
Recepción: 28/02/2019
Aprobación: 30/04/2019
Resumen: El presente trabajo muestra los índices de lesión en el tórax (CSI) al que podría estar sometido un pasajero sentado en las butacas de un autobús urbano durante un impacto frontal, mediante el análisis de modelos numéricos de las butacas. Los resultados exponen el posible CSI que alcanza un maniquí tipo Hybrid III 50 percentil cuando el autobús colisiona de forma frontal a una velocidad de 35 km/hr.
Palabras clave: impacto frontal, MEF, maniquí-virtual, lesión torácica.
Abstract: The present study shows the thoracic injury criteria (CSI) that should be appears when passenger is seated in a citybus through the finite elements seats models analysis. The outcome show the chest injury (CSI) reached in a Hybrid III 50 percentile when a frontal impact with a speed of 35 km/hr.
Keywords: frontal impact, FEM, virtual-dummy, chest injury.
1. Introducción
Según datos de la Organización Mundial de la Salud (OMS), aproximadamente una de cada cuatro de las muertes traumáticas ocurridas en accidentes vehiculares que se registran en el mundo están relacionadas con el transporte público, cifra que representa cerca del 2.1% de todas las causas de muerte a nivel global, siendo el exceso de velocidad una de las causas y un problema adyacente a los vehículos motorizados que afecta a los usuarios de las vías de transporte terrestre [1].
En un accidente vehicular, la gravedad de las lesiones está directamente relacionadas con la velocidad del vehículo, dentro de los diferentes escenarios que describen las colisiones de los autobuses urbanos, el impacto frontal presenta una mayor incidencia tanto de lesiones como de muertes en pasajeros [2], [3]. En el caso de una colisión frontal, diversos estudios realizados mediante el método de elemento finito (MEF) a la estructura de autobuses interurbanos muestran evidencias de la deformación producida en la estructura y el compartimento de los pasajeros durante el choque, además es evidente que en los modelos computacionales se produzca un desplazamiento hacia delante en los ocupantes y una desaceleración en el tronco de estos, provocando lesiones en cervicales, fémures y el tórax de los pasajeros [4], [5], [6].
Existen varios estudios que han demostrado que la rotura de la aorta intratorácica representa hasta un 25% de las muertes por accidentes de tráfico vehicular [7], [8]. Para velocidades de impacto por debajo de 3m/s, el contenido del tórax es dañado por el aplastamiento del mismo. La deflexión necesaria para producir lesiones es de aproximadamente 35% del espesor antero-posterior del tórax [9].
Para mejorar el estudio de la respuesta torácica ante los accidentes, Rouhana y Kemper propusieron modelos de elementos finitos (MEF) del tórax humano, que permiten el cálculo de las variables físicas relacionadas con las lesiones torácicas. La mayoría de estos modelos pueden proporcionar una evaluación del daño comparando con las lesiones observadas en las pruebas con cadáveres [10], [11].
A nivel mundial existen modelos computacionales que buscan cuantificar el índice de seguridad que ofrecen las butacas en escenarios de accidentes con autobuses urbanos, estos estudios buscan reproducir las principales características de los ensayos experimentales y expresan la facilidad con la que se genera una lesión en el ocupante [12], [13], [14].
Es importante resaltar que pueden aparecer lesiones serias en el tórax en colisiones o accidentes de menor severidad que en la de los ensayos que se realizan durante la validación de la seguridad pasiva en automóviles.
Este trabajo busca mostrar un análisis que permitan conocer las deformaciones que presentan las butacas de un autobús urbano, con la finalidad de ofrecer seguridad pasiva al ocupante al estimar si la butaca es apta para su uso, así como las posibles lesiones del tórax en los pasajeros, todo acorde al reglamento núm. 80 de la UNECE.
2. Desarrollo
El espacio de supervivencia se analiza a través del compartimento del interior de la carrocería o estructura de un vehículo y en caso de accidente, este debe dañarse y deformarse lo menos posible, puesto que de su integridad dependerá en gran medida de la protección de los ocupantes. Por la importancia que tiene el habitáculo de seguridad, es posible afirmar que se trata del principal sistema de seguridad pasiva de un vehículo.
En caso de accidente, la estructura del autobús tiene una influencia decisiva sobre las fuerzas a las que se ven sometidos sus ocupantes, ya que la peligrosidad de un accidente está determinada por la desaceleración, la masa y la rigidez de los objetos que colisionan entre sí. En la Fig. 1 se muestra la colisión frontal entre un autobús y un automóvil.

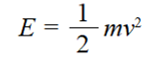
Antes de la colisión, el vehículo tiene una energía cinética dada por su masa (m) y su velocidad (v):
(1)Esta energía cinética está dada en función de su masa y la velocidad al cuadrado y en una colisión, esta energía deberá ser absorbida por la estructura deformable del vehículo y posteriormente disipada [15]. Para detener el vehículo por completo, el impacto debe disipar toda esta energía. La energía absorbida y liberada en un accidente depende de la velocidad del impacto y la mayor cantidad de energía cinética es absorbida por el oponente de menor peso durante el suceso (el usuario vulnerable). El ocupante del vehículo está en peligro si toda la energía cinética no es absorbida por el frontal del mismo y el habitáculo de pasajeros comienza a deformarse, o bien si el habitáculo es muy rígido las fuerzas de la colisión provocan desaceleraciones tan grandes en los ocupantes que pueden ocasionar lesiones de gravedad [16].
En una colisión vehicular, la energía de impacto se rige por la ley de la conservación de la energía, el cual establece que la energía antes de la colisión deberá ser igual a la energía después dela colisión donde la energía del impacto se proyecta en el aplastamiento y deformación del vehículo [17], durante este evento, la sucesión de los fenómenos mecánicos comienza a partir de la deformación de los cuerpos, en la cual la energía cinética del movimiento se convierte en energía potencial de la deformación elástica. Enseguida, la energía potencial se transforma en energía cinética, manifestándose como energía calorífica según el tipo de choque: en un choque elástico, toda la energía mecánica que se produce se conserva, por el contrario, en un choque inelástico, la energía de deformación es convertida en calor y en un choque parcialmente elástico, solo una parte de la energía de deformación generada es transformada en energía cinética de movimiento.
Normativas técnicas. El reglamento núm. 80 de la UNECE junto la directiva 2001/85/EC, establecen los requisitos para garantizar que los asientos, la fijación del asiento al vehículo y los cinturones de seguridad (si se presentan en el vehículo), presten una adecuada retención para todos los ocupantes ante impactos frontales, sin que los criterios de lesión superen los límites establecidos [18]. La Fig. 2 muestra los parámetros geométricos de los asientos solicitados por la comunidad europea.

Actualmente, no existen normas nacionales mexicanas que establezcan procedimientos para realizar pruebas de seguridad a vehículos, sin embargo, existe una Norma Oficial Mexicana vigente publicada en el Diario Oficial de la Federación en 1999, en la cual se establecen parámetros geométricos de las butacas de autobuses urbanos los cuales difieren a los presentados en reglamento 80 de la UNECE [19]. Por otra parte, publicada en la Gaceta del Gobierno por parte del Poder Ejecutivo del Estado de México en el año de 2016, existe una Norma Técnica para autobuses que prestan el servicio público de transporte urbano y suburbano, el cual establece el valor mínimo de resistencia del asiento al ser sometidos a una prueba de ángulo de vuelco para verificar que en caso de un escenario de impacto, los asientos no invadan el espacio vital del ocupante y así garantizar el mínimo de lesiones ante un accidente [20]. A pesar de esto dicha norma técnica no presenta los procedimientos para realizar las pruebas de ángulo de vuelco.
Sin embargo, es bien sabido que México se ha basado en el uso de manuales técnicos publicados por el LatinNCAP, EuroNCAP, ANCAP, el Instituto de Seguros para Seguridad en las Carreteras (IIHS, por sus siglas en inglés) La Administración Nacional de Seguridad del Tráfico en las Carreteras (NHTSA, por sus siglas en inglés) entre otros para la creación de su Normatividad Sobre los requerimientos de Seguridad en Automóviles por parte del Instituto Mexicano del Transporte y la Secretaria de Comunicaciones y Transportes.
Según el Reglamento 80 de la UNECE en el ensayo de colisión frontal se deben registrar los siguientes parámetros: medidas en la cabeza del maniquí, medidas en el tórax del maniquí, medidas en la pelvis del maniquí y medidas en los fémures del maniquí.
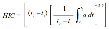
El valor del índice de lesión encefálica HIC (ecuación 2) depende de la aceleración triaxial resultante () expresada en g (9.81 m/s2) y expresada como la sumatoria de los valores de la aceleración longitudinal instantánea, la aceleración vertical instantánea y la aceleración transversal instantánea, la cual es registrada en función del tiempo y medida con un CFC de 600 Hz, del mismo modo, depende de los instantes donde sucede el contacto inicial y el contacto final (t1 y t2),
(2)Para saber la cantidad de daño correspondiente al valor registrado por el HIC, se debe consultar el código AIS (Escala Abreviada de Lesión por sus siglas en inglés) [21], [22], [23]. Según estos valores se produce una serie de daños que la EuroNCAP asigna un nivel de daño en el cráneo y asigna un valor en una escala de color. La Tabla 1 muestra esta relación.

El criterio biomecánico de aceptabilidad que se ha de cumplir en caso de que el maniquí sea instalado en un asiento orientado hacia adelante es el criterio de aceptabilidad del tórax (CAT) el cual se determina mediante el valor absoluto de la aceleración resultante, el valor de este criterio es inferior a 30 g, excepto en periodos menores a 3 ms tomando en cuenta la desviación de la caja torácica siendo este el valor pico de la desviación de cualquier costilla determinada por los transductores de desplazamiento del tórax. Además, el CAT es medido en relación al criterio relativo (CV) a las vísceras, el cual indica que la respuesta relacionada a las vísceras en cualquier costilla es igual al valor máximo calculado a partir del producto de la compresión relativa en relación con la media de la caja torácica normalizada a 140 mm de longitud y la velocidad de compresión obtenida esto es igual a desviación de las costillas [24], [25], [26].
Diferentes parámetros se han utilizado para definir la deformación torácica durante la carga frontal, incluyendo el máximo desplazamiento posterior del esternón en relación con la columna vertebral y el máximo desplazamiento posterior de cualquier punto de la parte anterior del pecho con respecto a la columna vertebral. De hecho, las evaluaciones del maniquí Hybrid III han demostrado tener una dependencia entre el tipo de lesión y el sistema de retención, esto siendo validado con sujetos humanos post mortem (PMHS). Parece claro, entonces, que hay una necesidad de una mejor comprensión de la deformación torácica en pruebas del impacto de modelos computacionales de maniquíes que correlacionen las lesiones en el tórax de los pasajeros.
2.1. Método
Se realizó un modelo en CAD de una butaca de autobús urbano, posterior, se generó la construcción de la malla de los componentes de la butaca y se asignaron las propiedades mecánicas de los elementos estructurales, se integró y posicionó el modelo computacional de un maniquí H III 50 percentil, en la butaca. Por último, se establecieron las condiciones de frontera y variables que representan la colisión frontal.
2.2. Parametrización de las butacas
La butaca está compuesta por un par de asientos fabricados en ABS, elementos de sujeción y una estructura interna de perfil tubular, así como una chapa de 3 mm doblada y forjada utilizada como soporte y anclada a la plataforma del autobús.
Las butacas fueron dimensionadas, simplificadas en su geometría y transferidas a un programa comercial de diseño asistido por computadora CAD, como muestra la figura, posteriormente, al tener un modelo paramétrico como el mostrado en la Fig. 3, se procedió a utilizar una herramienta de preprocesamiento dedicado a la construcción de las mallas (Hypermesh®), y a la generación del código en lenguaje de programación que es interpretado por el programa computacional LS-Dyna®.

2.3. Construcción de la malla
Al generar una malla de elementos finitos, ya sea de superficie o de volumen, es preciso especificar el tamaño de los elementos en cada zona del espacio tridimensional. La importancia de la malla de los componentes estructurales que se analizan, depende de una buena relación de aspecto, y por tanto una adecuada regularidad. Por lo general, un análisis de esfuerzos requiere una malla más densa (refinada) que un análisis de desplazamientos.
Los parámetros para la construcción de la malla en elementos 2D son:
- Tipo de elemento (QUARD 4).
- No debe tener más del 13% de elementos triangulares.
- Todos los elementos deben de tener la misma orientación.
- El tamaño mínimo de la malla debe ser de 5 mm en los componentes críticos de colisión.
- La malla debe ser menos densa para partes que no se colisionan.
- Los radios menores de 6 mm, barrenos menores de 10 mm, bordes y muescas menores de 5 mm, se excluyen en la creación de la malla.
Para este caso de estudio, el programa de preprocesamiento utilizado fue HyperMesh® versión 2017, este permite generar mallas de alta calidad y gran precisión. Un conjunto completo de herramientas de edición de geometría ayudó a preparar eficientemente las partes que componen el modelo CAD de la butaca.
El modelo de simulación numérica de este proyecto representa la respuesta que tendría un ocupante en el interior de un autobús urbano ante un choque frontal. La simulación llevada a cabo es una gran simplificación de lo que en realidad ocurre cuando un autobús colisiona frontalmente contra un muro, poste, otro vehículo o cualquier objeto que provoque su desaceleración. Las partes que forman el modelo numérico son el DummyHybrid III, la butaca, los elementos de sujeción y la plataforma del autobús donde se encuentra sujeta la butaca.
2.4. Maniquí para pruebas de impacto
El modelo del maniquí Hybrid III fue desarrollado en 2010 por Livermore Software Technology Corporation, posee 209 partes, formadas por elementos finitos estructurales e inerciales, la mayoría de ellos son del tipo SHELL, SOLID, DISCRETE, MASS y BEAM. Además, está compuesto de 43871 nodos, y está especialmente desarrollado para la simulación de choques frontales. El dummy posee 5 acelerómetros, uno situado en la cabeza, otro en el tórax, y tres en la pelvis, dispersos en la zona abdominal.
El modelo Hybrid III de percentil 50, representa un varón de 1,78 metros de altura y 78 kilogramos de peso. Los maniquíes Hybrid III son los más comunes en la evaluación de daños en ensayos de choques frontales. Los materiales de estos maniquíes son muy variados, incluyen goma, espuma, plástico, acero y aluminio para simular el comportamiento mecánico del cuerpo humano y poder medir el alcance de los daños ante una colisión. A partir de la valoración de los datos obtenidos, se evalúa el nivel de los daños producidos en el ocupante.
Las dimensiones antropométricas del maniquí se mencionan en la Tabla 2.

2.5. Condiciones de frontera
Una vez parametrizadas las propiedades mecánicas de cada elemento se lleva a cabo la asignación de las condiciones de frontera necesarias para el desarrollo de la simulación, como lo son el tipo de contacto, restricciones, el control de los tiempos de simulación, acelerómetros y velocidad de impacto.
Durante el análisis, definir la manera de contacto entre las partes que conforman los modelos de simulación es indispensable para la obtención de un resultado confiable. Dentro del programa de cómputo de LS-Dyna el comando de contacto se define como el contacto entre diferentes partes en una simulación y existen diferentes algoritmos de contactos disponibles de acuerdo al tipo de análisis, como lo son: contacto de cuerpo flexible, de cuerpo flexible al contacto de cuerpo rígido, contacto superficie a superficie, contacto erosionado, de superficie atada, superficie CAD entre otros [27], [28].
En esta simulación se tiene el contacto maniquí-butaca, la Fig. 4 muestra la colocación del maniquí en la butaca mediante el comando de *DmyPos en el programa de HyperMesh® para posteriormente realizar el contacto entre ambos modelos dentro del programa de LS-Dyna. Donde se utilizó el comando AUTOMATIC_SURFACE_TO_SURFACE, este genera un contacto del tipo automático (superficie a superficie) y de doble dirección en el cual el espesor del Shell puede ser activado o desactivado y es recomendado para simulaciones del tipo explícito. Para esta opción es fundamental encontrar las partes de los modelos que tendrán relación entre sí, esto se da cuando los nodos conocidos en el entorno de LS-Dyna® como esclavos de una superficie secundaria penetran en la cara principal del objeto denominado maestro, posteriormente los nodos de la superficie maestra penetran en una parte de la superficie secundaria [29].

La Directiva 2001/85/CE establece una distancia mínima entre dos asientos consecutivos orientados hacia adelante. Siendo en vehículos Clase II y III de 680 mm (urbanos y autocares) [30]. Posteriormente a esto, se posiciona el maniquí según el Reglamento 80. La Fig. 5 muestra las consideraciones anteriores de la butaca.

El contacto entre maniquí y butacas se ha definido, así como un patrón de aceleración y desaceleración para generar una trayectoria de impacto al maniquí, la velocidad asignada al maniquí es de 9.72 mm/ms que corresponde a una velocidad de 35 km/h tal y como estipula la legislación vigente para este tipo de ensayos de choque.
Es además importante tomar en cuenta la restricción del sistema que se está analizando, a través de la sujeción de los soportes a las butacas debido a que dentro del desarrollo de esta simulación es de gran importancia evaluar la integridad estructural debido a que, en función de la rigidez de los componentes de la butaca, el índice de lesión se verá modificado. Los ensambles, la tornillería y los puntos de soldadura son contemplados, tal es el caso de los tornillos y las tuercas, estos son modelados para generar un comportamiento lo más cercano a la realidad. Se crearon nodos en cada tornillo, tuerca y superficie en las que hacen contacto como se muestra en la Fig. 5, es característico generar estas condiciones de comportamiento en la unión de la estructura de los automóviles y autobuses.
Por otra parte, una característica bastante común en los códigos empleados para los programas de elemento finito es que no contienen unidades y solamente arrojan resultados numéricos. Esto conlleva al programador a establecer un sistema de unidades compatibles, preferentemente en base al SI. Se debe tener especial atención en este detalle, ya que si existen errores en las unidades el postprocesador mostrara resultados erróneos. La Tabla 3 muestra las unidades elegidas para este caso de estudio.

3. Resultados
En el desarrollo de este proyecto, se han evaluado los daños producidos en el tórax principalmente, ya que el HIC obtenido mostró que, según el código AIS, el nivel de daño en el cráneo es clasificado como "sin fractura", lo cual es comprobable con los resultados de la simulación numérica, ya que la cabeza no sufre colisión alguna, como se muestra en la Fig. 6, donde también son perceptibles las deformaciones sufridas en la butaca posterior y en los puntos críticos de esta.

El índice de lesión del tórax (CSI), que corresponde al nodo 1787, dicho nodo contiene un acelerómetro, cuya finalidad es dar a conocer si el diseño de la butaca permite absorber la mayor energía posible para reducir el daño en el ocupante. Para este caso, como se muestra en la gráfica de la Fig. 7, se tiene un criterio de aceptabilidad de 61 g en periodos de t1 = 15.19 ms a t2 = 18.93 ms.

A raíz de los resultados obtenidos en las simulaciones, se observa que la deformación producida en los asientos se debe al impacto generado por los miembros inferiores sobre el respaldo de la butaca. Como era de esperar, en la unión del asiento se encontraron deformaciones plásticas en los elementos de sujeción.
En la Fig. 8 se puede visualizar que, las deformaciones producidas se presentan como un giro en los puntos de unión del soporte de la butaca al asiento al momento del impacto. Así mismo, no se han observado roturas o aristas vivas que puedan aumentar el riesgo de lesión en el ocupante cuando este impacte en el respaldo de la butaca posterior. Para la mayoría de los elementos que componen a los asientos, se observan concentraciones de esfuerzos tanto en los travesaños y en los tubos horizontales donde el maniquí impacta. Los tornillos de sujeción muestran esfuerzos alrededor de los 200 MPa, el bastidor y las partes que componen el asiento presentan esfuerzos máximos de 600 MPa.

4. Conclusiones
La finalidad de este tipo de análisis y de acuerdo al reglamento núm. 80 de la UNECE es el determinar si el ocupante (maniquí) es correctamente retenido por las butacas considerando que se cumplen los requisitos de seguridad siguientes.
Si el movimiento ejercido por la fuerza cinética del impacto en el maniquí de cualquier parte del torso y la cabeza del maniquí no sobrepasa el plano vertical transversal situado a 1.6 metros del punto de referencia de la butaca siendo el asiento posterior capaz de retener al maniquí, en el caso del ensayo, la butaca posterior detuvo la trayectoria del maniquí como se esperaba, de no ser así este hubiese terminado disparado de su asiento, lo que concluiría con que la butaca es segura hasta este punto.
Se considera también que la butaca cumple su objetivo si el ocupante no presenta lesiones de gravedad, considerando que se cumple este requisito si los valores de los criterios biomecánicos de aceptabilidad, en el caso del tórax como el reglamento indica, no debe de sobrepasar los 30 g sin embargo y como muestra la gráfica de la Fig. 7, el criterio de aceptabilidad alcanza los 61 g considerando el asiento es inseguro en caso de colisión frontal.
Con relación al análisis de la butaca, se considera que cumple los requisitos del reglamento de la UNECE porque este fue capaz de retener al ocupante, después de la simulación y según la Fig. 8, la butaca no presentó ningún elemento estructural con fracturas, aristas vivas, bordes sobresalientes filosos o esquinas que pudiesen ocasionar lesiones.
Como se puede ver, el estudio realizado muestra datos que permiten evaluar la seguridad que brinda la butaca a un ocupante en un escenario de colisión frontal, permitiendo generar criterios de daño según la norma núm. 80 de la UNECE al analizar el comportamiento del maniquí y el asiento al realizarse la simulación.
Agradecimientos
Agradecemos amablemente el apoyo financiero del Instituto Politécnico Nacional a través de becas EDI-SIP y del Consejo Nacional de Ciencia y Tecnología CONACYT, así como el apoyo brindado por la unidad de Biomecánica de INSIA-UPM.
Referencias
[1] International Federation of Red Cross and Red Crescent Societies, Control de la velocidad, Global Roa, Switzerland, 2008.
[2] T. Hermann, G. Olivares, Mass Transit Crashworthiness Statistical Data Analysis, National Institute for Aviation Research, Reporte No. FTA-0002, 2005.
[3] G. Olivares, Crashworthiness Evaluation of Mass Transit Buses, National Institute for Aviation Research, Reporte No. FTA-0021, 2012.
[4] K. Fukamachi, S. Miyamoto, H. Nagasawa, S. Uchino, Study of Crash Worthiness of Super High-Decker Large-sized Bus by CAE Approach, FISITA World Automotive Congress, F2000G304,2000, pp. 12-15.
[5] G. Olivares, V. Yadav, Injury mechanisms to mass transit bus passengers during frontal, side and rear impact crash scenarios, National Institute for Aviation Research, 09-0427, 2009.
[6] A. Palacio, G. Tamburro, D. O'Neill, K. Simmsa, "Non-collision injuries in urban buses-Strategies for prevention," Accident Analysis and Prevention, núm. 41, 2009, pp. 1-9.
[7] E. J. Hurley, F. W. Blaisdell,"Cervicothoracic Trauma," AorticInjuries, 3ª ed., Trunkey DD Editors, New York: ThiemeMedical Pub., 3, 1986, pp. 223-245.
[8] R. El-Jawahri, T. Laituri, J. S. Ruan, S. W. Rouhana, "Development and Validation of Age-dependent FE Human Models of a Mid-Sized Male [1] Thorax," Stapp Car Crash Journal, núm. 54, pp. 407-430, 2010.
[9] D. C. Viano, P. Lövsund, "Biomechanics of Brain and Spinal-Cord Injury: Analysis of Neuropathologic and Neurophysiologic Experiments," Journal Crash Prevention and Injury Control, vol. 1, núm. 1, 1999, pp. 35-43.
[10] S. W. Rouhana, "Biomechanics of abdominal trauma," in Accidental Injury Biomechanics and Prevention, 3ª ed., Springer, 2003, pp. 369-428.
[11] A. R. Kemper et al., "Material Properties of Human Rib Cortical Bone," Stapp Car Crash Journal, 2005.
[12] E. Mayrhofer, H. Steffan, H. Hoschopf, Enhanced Coach and Bus Occupant Safety, Graz University of Technology, Vehicle Safety Institute Austria, 05-0351, 2005.
[13] C. Huijskens, M. Schrooten, P. De Coo, Frontal occupant safety simulations for coach and bus passengers, National Highway Traffic Safety Administration, 284, 2003.
[14] H. Mitsuishi H., Sukegawa Y., Matsukawa F., S. Okanor, Research on Bus Passenger Safety in Frontal Impacts, Japan Automobile Research Institute, 287, 2003.
[15] Transport Road & Traffic Authority, Speed did you know? NSW Centre for Road Safety, 2011.
[16] S. Vincze-Pap, A. Csiszar, "Real and simulated crashworthiness tests on buses," In Proceedings: International Technical Conference on the Enhanced Safety of Vehicles (vol. 2005, pp. 10p-10p), 2005. National Highway Traffic Safety Administration.
[17] M. Rodríguez-Jouvencel, Latigazo cervical y colisiones a baja velocidad, Ed. Díaz de Santos, 2003.
[18] UNECE, "Prescripciones Uniformes Relativas a la Homologación de Asientos de Grandes Vehículos de Pasajeros y de estos Vehículos con Respecto a la Resistencia de los Asientos y sus Anclajes", 2012.
[19] A. Dychter, SECOFI, Norma oficial mexicana NOM-067-sct-2/secofi-1999, transporte terrestre-servicio de autotransporte económico y mixto-midibús- características y especificaciones técnicas y de seguridad, 1999. Retrieved from: http://www.sct.gob.mx/fileadmin/DireccionesGrales/DGAF/DGA_Normas/Especificaciones_de_vehículos/NOM-067-SCT-2-SECOFI.pdf
[20] Gobierno del Estado Libre y Soberano de México. Norma Técnica para autobuses que presten el servicio público de transporte urbano y suburbano en el Estado de México, 2016. Retrieved from https://legislacion.edomex.gob.mx/sites/legislacion.edomex.gob.mx/files/files/pdf/gct/2016/ago046.PDF
[21] D. Cichos, D. De Vogel, M. Otto, O. Schaar, Crash Analysis Criteria Description, Workgroup Data Processing Vehicle Safety, 2005.
[22] O. Cortes, C. R. Torres-San-Miguel. G. Urriolagoitia, I. Cruz, L. Aguilar, L. Martínez, B. Romero, G. Urriolagoitia-Calderón, "Comparación numérica del HIC (Head Injury Criterion) en condiciones de atropello a diferentes velocidades con un vehículo tipo sedán," DYNA, vol. 92, núm. 5, pp. 489, 2017.
[23] I. L. Cruz-Jaramillo, C. R. Torres-San-Miguel, O. Cortes-Vásquez, L. Martínez-Sáez, "Numerical Low-Back Booster Analysis on a 6-Year-Old Infant during a Frontal Crash Test," Applied Bionics and Biomechanics, 2018.
[24] L. A. Aguilar, C. R. Torres-San-Miguel, M. Ceccarelli, I. Sánchez-Cruz, J. A. Leal-Naranjo, G. Urriolagoitia, "Design of a Methodology for the Determination of the Mechanical Rib Stiffness as Injury Index," New Trends in Medical and Service Robotics, pp. 62-69, 2018.
[25] O. Ramírez, M. Ceccarelli, M. Russo, C. R. Torres-San-Miguel, G. Urriolagoitia-Calderón, "Experimental Dynamic Tests of Rib Implants," Advances in Italian Mechanism Science, pp. 353-361, 2018.
[26] L. A. Aguilar, M. Ceccarelli, C. R. Torres-San-Miguel, G. Urriolagoitia-Sosa, G. Urriolagoitia-Calderón, "Experimental Evaluation of Artificial Human Ribs," Mechanisms and Machine Science, pp. 434-443, 2017.
[27] J. O. Hallquist, LS-DYNA Keyword User's Manual, 2007.
[28] S. Vincze-Pan, A. Csiszar, "Real and Simulated Crashworthiness Tests on Buses," International Technical Conference on the Enhanced Safety Vehicles, 2005, p. 10.
[29] R. Gálvez, "Simulación de un atropello mediante Ls-Dyna," Universidad Carlos III de Madrid, Escuela Politécnica Superior, 2011.
[30] Parlamento Europeo y el Consejo de la Unión Europea, Diario Oficial de las Comunidades Europeas, "Relativa a las disposiciones especiales aplicables a los vehículos utilizados para el transporte de viajeros con más de ocho plazas además del asiento del conductor y por la que se modifican las Directivas 70/156/CEE y 97/27/CE", 2001.