Resumen: Este documento presenta el modelado de orden fraccional de la dinámica de robots manipuladores de 1, 2 y 3 grados de libertad (GDL). Se presenta la demostración de estabilidad del modelo de orden fraccional mediante el segundo método de Lyapunov. Se considera un parámetro físico básico, la inercia de masa de los eslabones empleados. Se utiliza el software Freecad para el diseño mecánico. Se simula el modelo dinámico y en el caso de los manipuladores de 2 y 3 GDL se presentan trayectorias en el plano (x, y) y en el espacio (x, y, z) respectivamente. Los modelos se programan en una tarjeta de desarrollo basada en un microcontrolador, la ventaja de la tarjeta de desarrollo se encuentra en sus periféricos de salida debido a que cuenta con dos canales analógicos de salida, y estos se envían a un osciloscopio, los resultados obtenidos están de acuerdo con los modelos presentados.
Palabras clave:modelo-dinámicomodelo-dinámico,orden-fraccionalorden-fraccional,programaciónprogramación,robots-manipuladoresrobots-manipuladores,1, 2, 3 GDL.1, 2, 3 GDL..
Abstract: This document presents the fractional-order modeling of the dynamic of robots manipulators of 1, 2 and 3 degrees of freedom (DOF). It is considered a basic physical parameter, the mass inertia of the links used. Freecad software is used for mechanical design. The demonstration of the stability of the fractional-order model is shown using Lyapunov's second method for stability. The dynamic model is simulated and. In the case of the manipulators of 2 and 3 DOF trajectories are shown in a plane (x, y) and a space (x, y, z) respectively. The models are programmed in a microcontroller based development board, the advantage of this board are its output peripherals since it has two analog output channels sent to an oscilloscope, the results obtained are in line with the models shown.
Keywords: dynamic-model, fractional-order, manipulators-robots, programming, 1, 2, 3 GDL.
Modelado de orden fraccional de la dinámica de robots manipuladores de 1, 2 y 3 GDL
Fractional Order Model of the dynamic of manipulate-robots of 1,2 & 3 DOF
Recepción: 31/01/2020
Aprobación: 29/05/2020
Los modelos matemáticos son aproximaciones al comportamiento de los sistemas físicos, dentro de las herramientas matemáticas disponibles el Cálculo de Orden Fraccional (COF) presenta características interesantes comparado con el cálculo de orden entero, comparando en el tema del modelado dinámico de sistema el COF presenta una mejor aproximación que el cálculo de orden entero, el COF se aplica al modelado de diversos sistemas, por ejemplo, el modelo dinámico de circuitos eléctricos basado en ecuaciones diferenciales de orden entero, muestra diferencias entre los datos experimentales y los datos generados por los modelos, un circuito eléctrico ampliamente estudiado es el formado por un resistor y un capacitor conectados en serie, el modelo de dicho circuito fue cuestionado debido a la diferencia entre los datos del modelo de orden entero y los datos experimentales, Gómez-Aguilar [1] presenta un modelo de orden fraccional del circuito RC, y los datos del modelo de orden fraccional presentar un error notoriamente más pequeño que el modelo de orden entero, en el trabajo de Goodwine [2] se presenta la aplicación del COF en el estudio de la dinámica del proceso de soldadura, Tejado [3] aplica el COF al estudio del brazo humano, y Rosario [4] utiliza COF en los ejes de un brazo robótico; por su parte, Shalaby [5] mediante el COF modela un péndulo invertido, Zhang [6] presenta el COF en la estimación del estado de carca de un ultracapacitor, Shi et al. [7] demuestran que un control basado en COF permite rechazar perturbaciones, Cerón-Morales [8] mediante el COF aplica un control de un concentrador solar.
Los robots manipuladores cuales pueden modelarse con diferentes técnicas [9], una de las ecuaciones de modelado de robots ampliamente aplicada es la de Euler-Lagrange, el resultado es un sistema de ecuaciones diferenciales de orden entero. La propuesta de un modelo de orden fraccional debe en primer lugar cumplir condiciones de estabilidad, si el modelo de orden fraccional cumple requisitos de estabilidad entonces se puede simular y aplicar con un propósito práctico, por lo que se presenta la demostración de estabilidad aplicando el segundo criterio de Lyapunov.
Aplicar el modelado de orden fraccional a situaciones de la vida real [10] es difícil, por lo que en este trabajo se utiliza una tarjeta de desarrollo para implementar el modelo de orden fraccional de robots manipuladores de uno, dos y tres grados de libertad (GDL), se han reportado implementaciones utilizando microcontroladores como en el trabajo de Flores-Ordeñana et al. [11], donde se utiliza una tarjeta STM32 debido a sus ventajas incorporadas [12], [13].
Este trabajo está limitado a mostrar resultados de simulación implementados en una tarjeta de desarrollo STM32L476, debido a que la construcción física de un robot con los parámetros de diseño más austeros posibles requiere de una inversión financiera que por el momento no es posible realizar.
Un eslabón robótico es una pieza mecánica, este elemento cuenta con propiedades mecánicas que deben ser conocidas numéricamente, en la Fig. 1 se observa un eslabón diseñado en un software libre llamado FreeCAD.

Los parámetros mecánicos requeridos para realizar una simulación dinámica son el momento de inercia de masa, también llamada inercia rotacional, y la posición del centroide, la pieza debe de ser de un material solido cuya densidad volumétrica de masa debe ser un dato conocido (), en la Tabla 1 se divide el eslabón en cuatro figuras geométricas básicas y sus ecuaciones para el cálculo de momentos de inercia de masa y centroide de especifican.

Ecuaciones mediante las cuales se calculan los parámetros básicos de las figuras geométricas simples que forman al eslabón robótico.
Se aplica el teorema de los ejes paralelos al calcular el momento de inercia de masa de la figura compuesta, la inercia rotacional de los huecos de la figura es de signo negativo en el cálculo de la inercia de masa de la figura completa. Se diseñan los parámetros del eslabón mediante las ecuaciones de la Tabla 1, considerando un material con densidad volumétrica de masa conocida, entonces se calcula la masa del elemento mecánico, y con estos valores numéricos conocidos se diseña un mecanismo robótico, el más simple es un solo eslabón [14] acoplado mecánicamente a un motor, con este mecanismo como punto de partida se realiza el modelo dinámico de este mecanismo.
Considerando el diagrama de un manipulador de un grado de libertad (1GDL) mostrado en la Figura 2, en el cual se observan parámetros como la masa, longitud, inercia rotacional, dichos parámetros mecánicos y los valores de simulación son descritos en la Tabla 2.

Diagrama del eslabón robótico de 1 grado de libertad.

Parámetros físicos del manipulador de 1 grado de libertad.
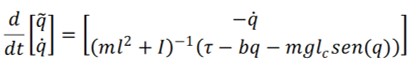
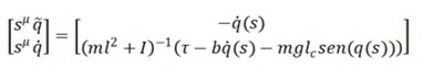
El modelo matemático de orden entero se obtiene mediante la ecuación de Euler-Lagrange, el modelo dinámico resultante es (1):
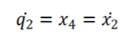
(1)El objetivo es posicionar el eslabón en una posición angular deseada (qd). De manera que (1) se escribe en términos de las variables de estado (2) y (3):
(2)
(3)En términos de las variables de estado el sistema dinámico se presenta en (4):
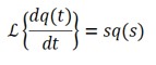
(4)Si se expresa en términos de la transformada de Laplace se obtiene (5).
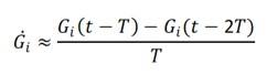
(5)La derivada de orden entero de la función de la posición angular se expresa por (6), y de acuerdo con Krishna [2] la derivada orden fracciona es (7).
(6)
(7)La ecuación (7) tiene una aproximación en términos de un cociente, es una aproximación en fracciones continuas indicada en (8).
(8)En donde se debe de cumplir con las condiciones (9) y (10):
(9)
(10)Por lo tanto la aproximación de orden fraccional aplicada al modelo (5) se expresa en (11).
(11)Al sustituir (8) en (11) se obtiene (12).
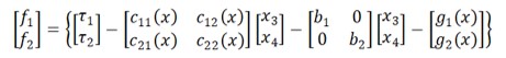
(12)En este punto se propone un control de tipo proporcional derivativo [15] más compensación de gravedad en (13). Cabe mencionar que el control PD tiene una versión con redes neuronales [12], [16].
(13)Al sustituir (13) en (12) y realizando el álgebra indicada se obtiene una ecuación compacta con el apoyo de unas variables indicadas en (14), (15), (16) y (17). Y aplicando la transformada inversa de Laplace, el resultado es (18).
(14)
(15)
(16)
(17)
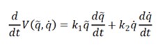
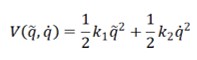
(18)En este punto se propone una función candidata de Lyapunov (19):
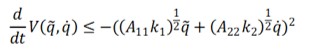
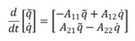
(19)Derivando la función candidata de Lyapunov con respecto al tiempo se encuentra a (20).
(20)Al sustituir (18) en (20) y realizando álgebra se desarrolla (21).
(21)Para sustentar (21) se considera (22).
(22)Al desarrollar el álgebra indicada en (22) resulta (23) que completa la demostración de estabilidad de Lyapunov para el modelo de orden fraccional.
(23)La demostración presentada indica que los puntos de equilibrio del nuevo modelo presentado son indicados por (24).
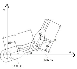
(24)Con el resultado de la demostración de estabilidad es factible simular el modelo de orden fraccional, es decir se pueden escribir las ecuaciones en código de programación y simular la dinámica del manipulador de 1 GDL, (24) indica que se presentara un comportamiento convergente. La simulación se presenta más adelante, se continúa presentando el modelado de los robots de 2 y 3 GDL. En la Fig. 3 se indica un robot de 2 GDL en el cual los dos eslabones que lo integran presentan movimiento en un plano.


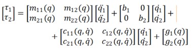
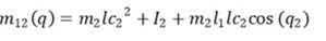
Los parámetros físicos del robot de 2GDL se presentan en la Tabla 3. El modelo Euler-Lagrange del robot 2GDL es mostrado en (25).
(25)En términos de los parámetros físicos las ecuaciones de los elementos de las matrices se muestran desde (26) hasta (35).
(26)
(27)
(28)
(29)Debido a las propiedades de simetría de la matriz M(27) y (28) son idénticas.
La matriz C, también llamada matriz de Coriolis, presenta los términos (30) a (33), el efecto Coriolis se presenta cuando un objeto se mueve sobre otro objeto que va rotando por eso existe una dependencia importante del ángulo q2.
(30)
(31)
(32)
(33)Y los términos debidos a la fuerza de gravedad se presentan en (34) y (35).
(34)
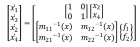
(35)El modelo se maneja en términos de las variables de estado (36) a (39) y sustituyendo en (25) se obtiene (40).
(36)
(37)
(38)
(39)Con el propósito de presentar una representación compacta se utiliza (41) para simplificar las matrices.
(40)
(41)En este punto se desarrolla álgebra y una mayor simplificación se obtiene con (42) y (43).
(42)
(43)Como en el sistema de un solo eslabón, se aplica una aproximación de orden fraccional (44), y con un procedimiento análogo al mostrado para el robot de 1GDL, se obtiene finalmente el modelo de orden fraccional mostrado en (45).
(44)En (44) se realiza una aproximación como la mostrada en (12), se lleva a cabo el álgebra y la simplificación de los términos. Finalmente el modelo de orden fraccional para el robot de 2GDL queda listo.
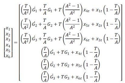
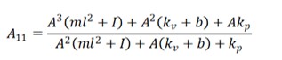
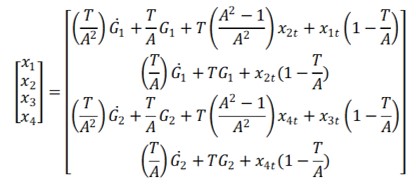
(45)En (45) hay que sustituir (46) donde i = 1 hasta i = 2.
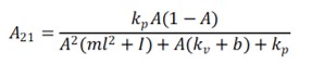
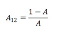
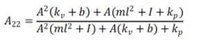
(46)Se pudo haber presentado un arreglo similar a (18) pero en este caso (A11, A12, A21, A22) serían matrices.
Y por último se presenta el modelo de orden fraccional para el robot de 3DGL en el cual el esquema para modelar es mostrado en la Fig. 4.

Los modelos para los robots de 3 GDL presentes en la literatura consultada no cubrían los requisitos del diseño de la Fig. 4 por lo que se procedió a realizar el modelado paso a paso, desde la cinemática directa, la cinemática inversa y Euler-Lagrange, los cálculos se repitieron para comprobar errores, una vez que ya se tenían ecuaciones correctas se aplicaron los parámetros indicados en la Tabla 4.

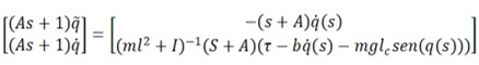
Para el robot 3GDL se toma como punto de partida el modelo de Euler-Lagrange mostrado en (47).
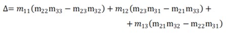
(47)En la ecuación (47) la matriz inversa I es (48):
(48)Siendo el determinante (49):
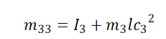
(49)Cada uno de los elementos de las matrices en términos de los parámetros físicos se presentan en (50) hasta (67). Debido a la simetría de la matriz M algunos términos de dicha matriz son iguales como se aprecia en (51), (52) y (54).
(50)
(51)
(52)
(53)
(54)
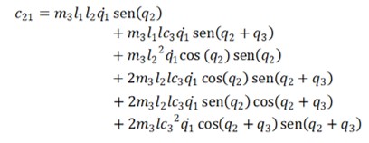
(55)La matriz de Coriolis para el robot de 3 GDL presenta una dependencia de las posiciones angulares q2 y q3, en esta matriz no hay términos iguales.
(56)
(57)
(58)
(59)
(60)
(61)
(62)
(63)
(64)Los términos dependientes de la fuerza de gravedad se presentan en los eslabones 2 y 3, en el eslabón 1 no hay una dependencia de la fuerza de gravedad ya que es paralelo a la superficie terrestre.
(65)
(66)
(67)Aplicando el mismo método para los sistemas de 1 y 2 GDL, el modelo dinámico de orden fraccional del robot de 3GDL es (68):
(68)En (68) se aplican (69) y (70):
(69)
(70)En esta sección se comparan los modelos de orden entero con los desarrollados utilizando COF, en la Fig. 5 se muestra una gráfica de respuesta de un eslabón robótico de 1 GDL de orden entero y dos de orden fraccional, el orden de las derivadas fraccionarias es = 0.99 y = 0.95. Se aprecian gráficas muy similares, el error en estado estable es más notorio para los modelos de orden fraccional si el valor de es más pequeño esto es lo que se desea demostrar, se muestran también las gráficas de la velocidad del eslabón 1, las velocidades tienden a cero es decir a un valor de equilibrio. Como se observa en la Fig. 5 las respuestas de orden fraccional son más lentas que el modelo de orden entero, de hecho, si se desea simular un modelo de orden fraccional de alta velocidad de respuesta, entonces la aproximación en fracciones continuas (8) debe tener un mayor número de términos, entre más términos el ancho de banda del modelo de orden fraccional es más preciso [9]. Finalmente en esta simulación el ángulo deseado para q1 y es de 90°.

En la Fig. 6 se muestran gráficas de respuesta del eslabón 1 del robot de 2 GDL, las gráficas son la de orden entero y dos de orden fraccional, el orden de las derivadas fraccionarias son = 0.99 y =0.95. Las gráficas de orden fraccional muestran un error en estado estable más fácil de observar, las velocidades tienden a cero es decir a un valor de equilibrio. En la simulación el ángulo deseado para q1 y q2 es de 10°.

En la Fig. 7 se muestra una gráfica de respuesta del eslabón 1 del robot de 3 GDL, las gráficas son la de orden entero y dos de orden fraccional, el orden de las derivadas fraccionarias son = 0.99 y = 0.95. las gráficas de orden fraccional muestran un error en estado estable más fácil de observar, las velocidades tienden a cero es decir a un valor de equilibrio. En la simulación el ángulo deseado para q1 , q2 y q3 es de 5°. En las gráficas para el robot de 3 GDL.

Dentro de las aplicaciones de estos modelos y utilizando las ventajas de la tarjeta STM32L476 se procede a diseñar trayectorias para los modelos de 2 y 3 GDL, se diseñó una "H" "O" "L" "A", en el caso del modelo de 2 GDL se graficó esta trayectoria utilizando un osciloscopio, como se observa en la Fig. 8, ademas se diseñó una trayectoria "HOLA Dr CHUA" tambien desplegada en osciloscopio. En el caso del modelo de 3 GDL, la trayectoria "HOLA" se graficó en LabVIEW, esto se observa en la Fig. 10.



Las figuras 8 y 9 se obtuvieron utilizando el osciloscopio Tektronix DPO3032. Una fotografía con un saludo al Director del ITSPR se observa en la Fig. 9.
Los resultados muestran que realizar un modelo de orden fraccional al modelo dinámico de un robot manipulador de eslabones rotacionales, aporta resultados convergentes cuando se desea alcanzar una posición o describir una trayectoria por la metodología de control punto a punto, de hecho el orden de la fracción debe ser cercano a uno lo que indica que la diferencia entre el modelo tradicional de orden entero y el modelo de orden fraccional no difieren de manera notable, dentro de las consideraciones del modelo de orden fraccional se encuentran los siguientes puntos:
1. Se logró mostrar que un modelo dinámico de orden fraccional cumple con el segundo criterio de estabilidad de Lyapunov, esto significa que la simulación del modelo presenta un comportamiento convergente.
2. Las gráficas de simulación muestran lo esperado, un error en estado estable debido al modelo de orden fraccional, esto implica que el modelo de orden fraccional es más acertado que su contraparte de orden entero.
3. El modelo de orden fraccional permite simular trayectorias complejas para los sistemas de 2 y 3 GDL las cuales se implementan en una tarjeta de desarrollo STM32L476 y se visualizan en osciloscopio.
Se agradece al Instituto Tecnológico Superior de Poza Rica, por su apoyo en el uso de equipo de laboratorio y en las facilidades otorgadas para la realización de este trabajo.


Ecuaciones mediante las cuales se calculan los parámetros básicos de las figuras geométricas simples que forman al eslabón robótico.

Diagrama del eslabón robótico de 1 grado de libertad.

Parámetros físicos del manipulador de 1 grado de libertad.









