Análisis de la sensibilidad, respuesta de pequeña señal y respuesta dinámica de un sensor GMR
Analysis of the sensitivity, small-signal and dynamic responses of a GMR sensor
Análisis de la sensibilidad, respuesta de pequeña señal y respuesta dinámica de un sensor GMR
Científica, vol. 25, núm. 2, pp. 1-14, 2021
Instituto Politécnico Nacional
Recepción: 09/03/2021
Aprobación: 28/06/2021
Resumen: En este trabajo se lleva a cabo el análisis de la sensibilidad de un sensor magnético, basado en el fenómeno de magnetorresistencia gigante (GMR), cuando se utiliza en la medición de campos magnéticos variantes en el tiempo en superposición con componentes estáticas. La característica de transferencia del sensor GMR se obtuvo experimentalmente midiendo el campo magnético generado por una bobina de Helmholtz. A partir de la característica de transferencia experimental se obtuvo computacionalmente la respuesta de sensibilidad del sensor GMR y posteriormente se validó experimentalmente. Se determinó una nueva región de operación del sensor GMR en la respuesta de sensibilidad del sensor GMR, la cual tiene un comportamiento lineal. Los resultados demuestran que, es indispensable utilizar un campo de polarización para garantizar un mejor desempeño del sensor GMR en las mediciones de campos magnéticos pequeños. El valor del campo de polarización utilizado depende del tipo de campo magnético en función del tiempo que se vaya a medir (AC o DC). Finalmente, en este artículo se presentan y proponen los correspondientes rangos de valores de los campos magnéticos de polarización.
Palabras clave: respuesta a pequeña señal, sensores GMR, sensores magnéticos, sensibilidad dinámica del sensor GMR.
Abstract: In this paper the analysis of the sensitivity of a Giant Magnetoresistance-based sensor AAl002 type is carried out when it is used to measure time-varying magnetic fields superposed on static components. In order to obtain an experimental transfer characteristic from the output voltage of the GMR sensor, the magnetic field generated by a Helmholtz coil was measured. From the experimental transfer characteristic, it was obtained the sensitivity response of the GMR sensor and then it was experimentally validated. Results reveal that there exists a region in which the sensitivity response of the GMR sensor is linear. Outcomes show that to improve measurements of small time-varying magnetics fields, a polarization magnetic field should be used. The superadded magnetic field should be selected according to the type of in function time (ac or dc) magnetic field to be measured. The corresponding superadded magnetic field operation range for each measurement type are presented and described in this paper.
Keywords: small signal response, GMR sensors, magnetic sensors, dynamic sensitivity of GMR sensors.
I. Introducción
Desde que se descubrió que algunos materiales sufren variaciones en sus características magnéticas debido a la influencia de un campo magnético externo (h), las mediciones de H han estado presentes en el desarrollo de la sociedad [1]. Se ha demostrado que es posible relacionar de forma directa o indirecta variaciones en los campos magnéticos con variaciones de algunas magnitudes de importancia para diferentes aplicaciones: biológicas [2], biomédicas [3], inclusive en la ciencia de materiales [4], [5]. Principalmente, las bobinas han sido usadas como los sensores magnéticos por excelencia dada su facilidad de implementación. Sin embargo, estas tienen la restricción de que únicamente son capaces medir campos magnéticos variantes en el tiempo. Esta incapacidad de las bobinas como sensores magnéticos aumentó el número de investigaciones en nuevos sensores basados en diversos fenómenos físicos que permitan medir campos magnéticos tanto variables en el tiempo como constantes. Uno de los fenómenos ampliamente utilizados para el desarrollo de sensores magnéticos es el efecto Hall. El fenómeno conocido como efecto Hall consiste en la aparición de una diferencia de potencial debida a la separación de las cargas en el interior de un material conductor por el cual está circulando una corriente. La separación y agrupación de las cargas a un lado del material conductor es debida a la presencia de un campo magnético perpendicular a la dirección de la corriente [6]. Actualmente, los sensores Hall tienen un bajo costo y su implementación es sencilla, esto los ha convertido en los principales sensores utilizados para la medición de campos magnéticos [1], [7]. Sin embargo, los sensores basados en el efecto Hall no presentan una alta sensibilidad para la medición de campos magnéticos de pequeñas magnitudes comparado con otros tipos de sensores más actuales, como los sensores basados en el fenómeno de magnetorresistencia gigante (GMR) [1], [7], [8]. El fenómeno de magnetorresistencia gigante es un fenómeno cuántico en el cual un material cambia su resistencia eléctrica al aplicar un campo magnético externo. Este fenómeno es comúnmente presentado en materiales compuestos por varias capas delgadas de un material ferromagnético intercaladas por una capa de un material diamagnético. Las capas ferromagnéticas del material se ubican de manera que la dirección de magnetización de cada capa sea antiparero a las subsiguientes capas ferromagnéticas en ausencia de un campo externo. Esta configuración del material permite que la dispersión de los electrones aumente de manera tal que la resistencia de material ferromagnético aumente. Cuando el material se encuentra en presencia de un campo magnético externo, la magnetización de las capas ferromagnéticas se orienta en la dirección del campo externo y de esta manera la dispersión de los electrones se reduce y, por ende, su resistencia eléctrica cambia [9]. Recientemente, los sensores GMR se han convertido en los sensores magnéticos más usados en aplicaciones que requieren medir pequeños campos magnéticos, esto debido a la reducción de su costo y la alta sensibilidad de estos. Los sensores GMR tienen a su favor sus pequeñas dimensiones, alta sensibilidad y un valor no tan alto en el mercado [8], [10]. Tawfik et al. [11] demostraron que cuando se usan sensores GMR para la medición de campos magnéticos, se mejora el desempeño de aplicaciones espaciales y ensayos no destructivos. Inclusive, los sensores GMR mejoran el desempeño de biosensores. Whang et al. [12] demostraron que el uso de sensores GMR en biosensores permite reducir el costo y aumentar la sensibilidad con respecto a biosensores que utilizan sensores Hall.
En algunos ensayos no destructivos de materiales (END) por métodos magnéticos es necesario medir el campo magnético y monitorear las pequeñas variaciones de este. Las variaciones del campo magnético de un material contienen información acerca de las características de la superficie de estructuras metálicas [10], [13], [14]. Actualmente, se han implementado sensores GMR en los END que requieren la medición de campos magnéticos pequeños debido a la alta sensibilidad de estos sensores. Los sensores GMR permiten la medición de la amplitud del campo magnético, así como las variaciones de sus componentes. Sin embargo, no se tratado a fondo el desempeño de este tipo de sensores para medir de manera separada cada componente del campo magnético. Al conocer el desempeño del sensor GMR para cada uno de los casos, es posible proponer diferentes configuraciones de uso que permitan mejorar el desempeño del sensor GMR al medir la variación de una componente del campo magnético en particular. Con el fin de comprender el comportamiento del sensor para cada componente del campo, se estudió tanto la respuesta a pequeña señal como la respuesta dinámica de este. La respuesta a pequeña señal es definida como salida de voltaje del sensor GMR al detectar un pequeño campo magnético variante en el tiempo. Esta respuesta a pequeña señal permitió analizar el desempeño del sensor GMR cuando es utilizado para medir la amplitud de la componente variante en el tiempo del campo magnético. La respuesta dinámica del sensor GMR se define como la respuesta del sensor GMR debida a variaciones de la componente directa de un campo magnético variante en el tiempo. La respuesta dinámica del sensor GMR es utilizada para mejorar el desempeño del sensor GMR cuando este es usado en la medición de la variación de la componente continua de campos magnéticos variantes en el tiempo. En el año 2013, Bernieri et al. [15] realizaron un estudio del comportamiento del sensor GMR cuando este es utilizado para la medición de campos magnéticos variables en el tiempo. En [15] se propuso un rango de operación, en el cual, el sensor GMR tiene una alta sensibilidad cuando es usado para medir el valor RMS de un campo magnético. A partir de estos resultados diversos autores han propuesto diferentes sistemas de linealización del voltaje de salida del sensor GMR con el fin de mejorar el desempeño de este en la región de operación propuesta en [15]. Autores como Sen et al. [16], [17] propusieron la reducción de la no linealidad usando un circuito front-end. Sin embargo, este circuito aumenta el ruido presente en las mediciones [18] de manera que debe compensarse con un circuito adicional. Ripka. et al. [19] proponen un AC-Driver para mejorar el desempeño del sensor. Zhichao et al. [20] proponen un circuito de lazo cerrado que permite eliminar la no linealidad y la histéresis del sensor GMR. Sin embargo, los métodos mencionados anteriormente requieren la adición de complejos circuitos. Una vez modelada matemáticamente la histéresis del sensor GMR [21] se han desarrollado sistemas que mejoran el desempeño de los sensores GMR [22], [23]. Sin embargo, no se ha realizado un estudio del comportamiento de la sensibilidad del sensor GMR en todo su rango de operación. En este trabajo se presenta una expresión matemática que relaciona el voltaje de salida y la intensidad de campo magnético medida por el sensor GMR la cual permite describir el comportamiento del sensor GMR, esta expresión fue utilizada para encontrar la función completa de la sensibilidad del sensor GMR. A partir de los resultados se identificaron tres regiones de operación en la curva de sensibilidad, una correspondiente a la región de operación lineal del sensor GRM o también denominada en este trabajo como región de sensibilidad constante. La citada región de sensibilidad fue la única que ha sido analizada en la literatura científica por Bernieri et al. [15]. La segunda región encontrada corresponde a los puntos de saturación del sensor GMR, y la última región de sensibilidad del sensor GMR se caracteriza por un aumento lineal con el campo magnético. Adicionalmente, se llevó a cabo un estudio del punto de operación del sensor GMR y como varía el comportamiento de este tipo de sensores cuando el punto de operación es ajustado en las diferentes regiones encontradas en la función de sensibilidad del sensor GMR.
II. Metodología
A. Estación experimental
El diagrama de la instalación experimental usada para el desarrollo de este trabajo es mostrado en la Fig. 1. La instalación la integran un generador de señales, un amplificador de transconductancia, una bobina Helmholtz y una resistencia de Shunt. Se utilizó un generador de señales Agilent 33210 con el fin de alimentar el amplificador de transconductancia. El amplificador de transconductancia es utilizado como fuente de corriente de alimentación de la bobina de Helmholtz. El amplificador de transconductancia genera una corriente con un factor de 0.8 veces el voltaje de salida del generador de señales. El amplificador de transconductancia es capaz de proporcionar una corriente RMS máxima de 800 mA con un ancho de banda de 20 kHz. Es importante mencionar que la relación corriente generada por el amplificador de transconductancia y el voltaje de salida del generador de señales es lineal para las frecuencias y valores de operación, de esta manera podemos ajustar tanto la frecuencia como la forma de onda de la corriente mediante el voltaje de salida del generador de señales. La bobina de Helmholtz utilizada está integrada por dos bobinas circulares con 10 cm de radio y 100 vueltas cada una, la separación entre cada una de las bobinas es de 10 cm. Se utilizó una bobina de Helmholtz debido a que esta permite generar un campo magnético homogéneo en su interior. El sensor GMR es ubicado en la región central de la bobina de Helmholtz de tal manera que la dirección de sensibilidad del sensor GMR corresponda al eje z, el cual es el eje axial de la bobina de Helmholtz (véase Fig. 2). La expresión (1) describe el intervalo de la distancia a partir del punto equidistante entre el par de embobinados con z = 0, donde el campo magnético generado por la bobina es homogéneo, donde a es el radio de las bobinas que integran el conjunto de Helmholtz.


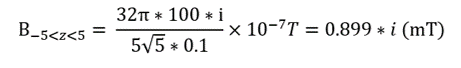
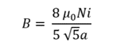
(1)Utilizando la expresión (1) podemos observar que el campo magnético homogéneo se encuentra entre -5 y 5 cm. Otra de las principales ventajas de utilizar una bobina de Helmholtz es que la magnitud de la intensidad de campo magnético depende de la corriente de excitación y factores geométricos de la bobina tales como el radio y el número de vueltas. La expresión (2) muestra la ecuación de la intensidad de campo magnético para una bobina de Helmholtz, donde: es la permeabilidad magnética del aire, N es el número de vueltas de cada bobina individual, i es la corriente de excitación y a es el valor del radio de las bobinas.
(2)Reemplazando los valores de la bobina utilizada en la ecuación (2), se obtiene que el valor de la intensidad magnética en la región homogénea, el cual viene dado por:
(3)Utilizando la expresión (3) es posible determinar el valor de la intensidad de campo magnético en el centro de la bobina de Helmholtz a partir de la lectura de la corriente de excitación. En la Fig. 2 se muestran las vistas oblicua y top-down de la ubicación del sensor GMR en la bobina de Helmholtz. El voltaje de salida del sensor GMR, Vout, y la corriente de excitación se adquieren por medio de una tarjeta DAQ PCI6010. Para la adquisición de la corriente de excitación de la bobina de Helmholtz se utilizó una resistencia de Shunt. La resistencia de Shunt utilizada se construyó de manera tal que el valor de la diferencia de tensión entre sus terminales sea igual en magnitud al valor de la corriente que pasa a través de esta. La estación experimental es utilizada para la caracterización del sensor GMR y el análisis de la respuesta a pequeña señal de este elemento. Para realizar la caracterización del sensor GMR se requiere un análisis del comportamiento DC, mientras que para analizar la respuesta de pequeña señal se necesita un análisis conjunto de los componentes DC y el componente AC de la señal. De esta manera se implementaron dos aplicaciones diferentes para el control de la estación experimental. Las dos aplicaciones fueron desarrolladas en el ambiente de programación de LabVIEW. Una aplicación fue implementada para la obtención de la curva característica del sensor GMR, mientras que la segunda aplicación fue implementada para el análisis de la respuesta de pequeña señal del sensor GMR.
B. Configuraciones de la estación experimental
1) Configuración DC de la estación experimental para el análisis de la respuesta del sensor GMR a campos magnéticos constantes
En la configuración DC de la estación experimental, el generador de señales Agilent 33210A se ajusta de manera que proporcione un voltaje constante de la forma v(t) = VDC. Como se mencionó anteriormente, el amplificador de transconductancia mantiene las características de la señal de voltaje. Por lo tanto, se obtiene una corriente de excitación de la bobina de la forma I(t) = IDC, en consecuencia, la intensidad de campo magnético viene dada de la forma B(t) = BDC. Es importante resaltar que la intensidad del campo del campo magnético generado en el centro de la bobina de Helmholtz se obtiene a partir de la corriente de excitación usando la ecuación (3). El valor del voltaje de salida del generador de señales fue seleccionado de manera que la intensidad de campo magnético en el centro de la bobina de Helmholtz sea de BDC = 3.5 mT, dado que el sensor alcanza la condición positiva de saturación GMR a este nivel de intensidad de campo magnético. El voltaje de salida del sensor GMR en condiciones de saturación positiva del sensor GMR es de Vout = 0.28 V. A partir de este valor, se reduce el voltaje de salida del generador de señales de tal manera que la intensidad de campo magnético se reduzca en 0.1 mT por cada paso. El valor de la corriente de la bobina de Helmholtz y voltaje de salida del sensor GMR son adquiridos usando una aplicación desarrollada en LabVIEW por cada paso. La aplicación realiza la conversión de la corriente de excitación a campo magnético de excitación utilizando la ecuación (3). Este proceso se repite hasta que la bobina de Helmholtz alcance un valor de intensidad de campo magnético de -3.5 mT (valor de saturación magnética negativa). El voltaje de salida del sensor GMR al alcanzar la condición de saturación negativa es de Vout = 0.28 V. Una vez alcanzada la condición de saturación magnética negativa se incrementa el campo de la bobina de Helmholtz en pasos de 0.1 mT hasta que al sensor alcance nuevamente la condición de saturación magnética positiva. La aplicación almacena tanto el valor de la intensidad de campo magnético de la bobina de Helmholtz como el voltaje de salida del sensor GMR por cada paso.
2) Configuración AC de la estación experimental para el análisis de la respuesta del sensor GMR a campos magnéticos variantes en el tiempo
En la configuración AC de la estación experimental, el generador de señales se ajusta de manera que suministre un voltaje de la forma v(t) = VDC + V(t) obteniendo una corriente de excitación de la bobina de Helmholtz de la forma I(t) = IDC+ i(t). Al ser alimentada la bobina de Helmholtz con una corriente de esta forma, la intensidad de campo magnético generado tiene una forma B(t) = BDC + B(t). En este caso se generan dos componentes del campo magnético, una componente invariante en el tiempo B(t), y una componente variante en el tiempo BDC. El voltaje AC del generador de señales se definió de forma que se obtengan 12 valores de intensidad de campo magnético con una componente variante en el tiempo B(t) de forma sinusoidal con una amplitud de 25 µT y frecuencia de 10 Hz. Los valores de intensidad de campo magnético se ajustaron usando la expresión (4):
(4)En la Fig. 3 se muestra la amplitud de la componente variante en el tiempo de la intensidad de campo magnético Bi generado por la bobina de Helmholtz. Se puede apreciar que la amplitud de Bi para cada uno de los campos de polarización es constante, con lo cual se demuestra que se cuenta con una fuente de campo magnético de AC con amplitud constante. El voltaje de salida del sensor GMR Vout, y la corriente de excitación se adquieren por medio de una tarjeta DAQ PCI6010, la cual es controlada por medio de una aplicación desarrollada en el ambiente de programación de LabVIEW. La aplicación realiza la conversión de la corriente de excitación a intensidad de campo magnético de excitación utilizando la ecuación (3). Como resultado, la aplicación genera un archivo de texto plano con los valoresB que es la amplitud del campo magnético medido, BDC, que representa el valor de la componente constante del campo magnético medido y Vout, que hace referencia a la amplitud del voltaje de salida del sensor GMR.

III. Materiales y métodos
El sensor GMR utilizado es del tipo AAl002 manufacturado por NVE electronics. De acuerdo con el fabricante, los sensores de este tipo son de alta sensibilidad y baja histéresis. La sensibilidad de estos sensores, al ser alimentados con 5.15 V, es de 180-210 mV/mT y tienen un área sensible de (200x100) µm2. El rango lineal de operación de este tipo de sensor, de acuerdo con el fabricante, es de 0.15 a 1.05 mT. Para cumplir los objetivos trazados en este trabajo se debe obtener la función de sensibilidad del sensor GMR, lo cual se realiza a partir de la curva característica de transferencia del sensor.
IV. Resultados y Discusión
A. Obtención de la curva característica de transferencia del GMR
Para la obtención de una expresión que relacione el voltaje de salida del sensor GMR con respecto a la intensidad de campo magnético medido, se utilizó la configuración DC de la estación experimental mencionada en la sección II.b.1 Una vez obtenido el conjunto completo de valores, estos se grafican para obtener la relación del voltaje de salida del sensor GMR con respecto a la intensidad de campo magnético medido. Con el fin de obtener una expresión matemática aproximada del comportamiento del voltaje de salida del sensor GMR se realiza un ajuste de la relación entre el voltaje salida del sensor GMR Voutcon el valor de intensidad de campo magnético medido obtenida experimentalmente por medio de una serie de Fourier de 8 términos descrita en la ecuación (5):
(5)Los valores de coeficientes de la expresión del voltaje de salida ajustada del sensor GMR son mostrados en la Tabla 1. En la Fig. 4 se muestra la relación experimental del voltaje de salida del sensor GMR y la expresión matemática del voltaje de salida del sensor GMR definida usando la ecuación (4). Los resultados muestran que la expresión matemática obtenida por medio de la aproximación por series de Fourier tiene un error porcentual de 0.8 %, un valor SSE de 3.7×10-7 y un valor de R2 de 0.99. Estos valores de error indican que la expresión del voltaje de salida del sensor GMR obtenida es una buena aproximación matemática del comportamiento del sensor GMR.


B. Obtención de la función de sensibilidad del sensor GMR
La sensibilidad de un sensor, S(B), se define como la variación de su voltaje de salida, Vout, con respecto a la variación de la magnitud fisca medida. Para el caso de los sensores GMR, se define la sensibilidad del sensor como la variación del voltaje (Vout) con respecto a variaciones en la intensidad de campo magnético B(t) medido. Analíticamente se puede definir la sensibilidad del sensor GMR como la primera derivada de la función característica de transferencia con respecto a B(t), tal y como se muestra en la ecuación (6):
(6)Definiendo un campo magnético resultante de la superposición de dos componentes, una componente variante en el tiempo B(t) y una componente constante BDC, podemos definir en la ecuación (7) la intensidad de campo magnético B(t) en cada punto Bi.
(7)Teniendo la expresión del voltaje de salida del sensor GMR, podemos obtener su voltaje de salida a partir de un valor de intensidad de campo magnético, véase ecuación (8). Considerando la linealidad del sensor GMR podemos expresar el voltaje de salida dado el campo magnético B(t) en la ecuación (9).
(8)
(9)La expresión (10) muestra la definición analítica de la sensibilidad del sensor GMR, esta corresponde a la definición formal la derivada de la expresión del voltaje de salida del sensor GMR. Reemplazando las expresiones (8) y (9) en la expresión (10), obtenemos el valor de la sensibilidad del sensor GMR en un punto dado. Como se puede observar en la ecuación (11), la sensibilidad del sensor GMR en el punto Bise expresa como la relación entre la amplitud de la componente variable de campo magnético de excitación y la amplitud de la componente variable del correspondiente voltaje de salida:
(10)
(11)Haciendo uso de la ecuación (10), se puede obtener la curva de sensibilidad del sensor GMR derivando la expresión del voltaje de salida del sensor GMR. En la Fig. 5 se muestra la curva de sensibilidad del sensor GMR obtenida computacionalmente. Analizando la Fig. 5 se pueden identificar tres regiones de operación en la sensibilidad del sensor GMR. Resaltada en color rojo, se señala la región de sensibilidad que corresponde con la zona de saturación en la característica de transferencia (véase Fig. 4), en esta región la sensibilidad del sensor es muy baja por lo tanto se debe evitar que el sensor trabaje en esta región. En color verde, se resalta la región en la cual se encuentran los puntos máximos de sensibilidad, que corresponde con la zona lineal en la característica de transferencia (véase Fig. 4), en esta región la sensibilidad del sensor se encuentra entre 150 y 200 mV/mT. Bernieri et al. [13] proponen que el sensor GMR solamente debe ser operado en esta región para obtener el mejor desempeño. Por último, se observa en color amarillo, una nueva región donde la sensibilidad del sensor GMR tiene un comportamiento lineal, esta región se encuentra entre -0.5 a 0 mT y de entre 0 a +0.5 mT. La región de sensibilidad lineal del sensor GMR no ha sido discutida en la literatura científica.

Es importante contrastar la curva de sensibilidad obtenida computacionalmente con resultados experimentales, por lo tanto, se utilizó la configuración AC de la estación experimental mencionada en la sección II.B.2. Se tomaron los valores de Vout, B y BDC, y aplicando la ecuación (11) se obtuvo la sensibilidad del sensor para pada punto BDC. La Fig. 6 muestra las mediciones de la sensibilidad del sensor GMR superpuestas a la función de sensibilidad del sensor GMR. En dicha figura se puede observar que los valores experimentales están en correspondencia con la función de sensibilidad obtenida por medios computacionales. Adicionalmente, se observa que la sensibilidad del sensor GMR tiene un comportamiento lineal para campos de polarización que se encuentren entre 0.035 y 0.3 mT.

C. Respuesta de pequeña señal y sensibilidad dinámica del sensor GMR
El comportamiento de un sensor cuando este es utilizado para medir señales de pequeña amplitud y potencia, es definido como la respuesta a pequeña señal. Comúnmente, para analizar la respuesta a pequeña señal de un sensor se adiciona un valor de polarización que fija un punto de operación, para el caso de sensores magnéticos se adiciona un campo magnético DC de polarización. Para analizar la respuesta a pequeña señal del sensor GMR AAl002, de nueva cuenta se utilizaron los valores de Vout, B y BDC adquiridos usando la configuración mostrada en la sección II.B.2. En la Fig. 5 se presentan los valores de Vout para cada valor de BDC. Observando la Fig. 5 podemos inferir que los valores de BDC menores a 0.3 mT fijan un punto de operación en la región de sensibilidad lineal del sensor GMR, mientras que los campos de polarización restantes fijan un punto de operación en la región de sensibilidad máxima (región de operación lineal) del sensor GMR. En la Fig. 7 se presentan los valores Vout con respecto al campo superpuesto de polarización BDC. Se puede observar que cuando el punto de operación se encuentra en la región de sensibilidad lineal, Vout aumenta a medida que el campo de polarización BDC aumenta. Por otra parte, cuando Importar imagen en la región de operación lineal del sensor GMR (sensibilidad máxima), El valor de Vout GMR permanece constante y alcanza su valor máximo. De acuerdo con estos resultados, si el sensor es utilizado para medir la intensidad de un campo magnético variante en el tiempo, es necesario superponer un campo de polarización. El punto de operación correspondiente al campo de polarización que se adiciona debe ubicarse en la región lineal de la curva característica del sensor GMR. Se puede observar en la Fig. 6 que la sensibilidad del sensor GMR utilizando este método para la medición de la componente variante en el tiempo se encuentra entre 200 y 220 mV/mT, mientras que si es usado un sensor de efecto Hall su sensibilidad se encuentra entre 8 y 40 mV/mT [1].

Los sensores GMR son usados en algunas aplicaciones en las cuales la medición de la componente variante en el tiempo de la densidad de campos magnéticos no es significativa, sino que se requiere determinar la variación de la componente continua. Por ejemplo, Espina et al. [24], [25], [26] demostraron que se pueden caracterizar defectos en la superficie de un material conductor midiendo las variaciones del componente continuo de un campo magnético generado por las corrientes inducidas en este. Para estos casos particulares, el sensor GMR tiene un comportamiento diferente a la respuesta estudiada anteriormente. Para estas aplicaciones particulares se propuso la sensibilidad dinámica del sensor GMR, la cual es definida como la variación del voltaje de salida del sensor GMR con respecto a la variación en el campo de polarización. De forma matemática podemos expresar la sensibilidad dinámica como la derivada parcial del voltaje de salida del sensor GMR con respecto a la intensidad de campo magnético del campo de polarización (véase ecuación (12)). Si consideramos a la intensidad de campo magnético como una combinación lineal de su componente continua con su componente variante en el tiempo, podemos definir la sensibilidad dinámica con la ecuación (12):
(12)Ahora bien, si analizamos detalladamente la ecuación (12) podemos observar que tanto la componente alterna como la componente directa del voltaje de salida del sensor GMR dependen de la variación del campo de magnético de polarización, sin embargo, en el caso donde el campo de polarización fija un punto de operación en la región lineal de operación del sensor GMR, la amplitud de la componente variante en el tiempo del voltaje de salida debido al campo magnético de AC no varía cuando el campo de polarización cambia como se demostró anteriormente. Por lo tanto, la sensibilidad dinámica del sensor GMR cuando el punto de operación se encuentra en la región de operación lineal (región de sensibilidad constante) viene dada por la ecuación (13). Como se puede observar para este caso, la sensibilidad dinámica corresponde a la misma sensibilidad del sensor GMR.
(13)Para el caso en que el punto de operación del sensor GMR se encuentra en la región lineal, se demostró que existe una variación en la amplitud de la componente variante del voltaje de salida del sensor GMR con respecto a las variaciones del campo magnético de polarización. Observando la ecuación (12), si el punto de operación del sensor GMR es ubicado en la región de sensibilidad lineal, podemos aumentar la sensibilidad propia del sensor GMR. En la Fig. 8 se presentan normalizadas las funciones de sensibilidad dinámica y de sensibilidad del sensor GMR. Es posible observar que, así como el máximo valor de la sensibilidad del sensor GMR se encuentra en la región lineal de operación, el máximo valor de la sensibilidad dinamia del sensor GMR se encuentra en la región de sensibilidad lineal. Es posible aumentar la sensibilidad del sensor GMR cuando este es usado para medir variaciones del campo magnético de polarización utilizando la componente variante del tiempo ubicando el punto de operación en la región de sensibilidad lineal. De acuerdo con la ecuación (12) la sensibilidad del sensor GMR cuando el punto de operación se ubica en la región de sensibilidad lineal depende tanto de la amplitud de la componente de campo magnético de AC como de la variación en la componente constante. Por lo tanto, es importante el poder tener una medición de la componente variante en el tiempo del voltaje de salida del sensor GMR, así que se recomienda que el punto de operación del sensor GMR, para estas aplicaciones, se ajuste en una región donde la sensibilidad y la sensibilidad dinámica se encuentren por encima del 40% del valor máximo. Los resultados demuestran que, si se desea utilizar el sensor GMR para medir variaciones de la componente continua de un campo magnético, es necesario superponer un campo magnético constante de polarización con magnitud de entre 0,13 mT y 0,31 mT.

V. Conclusiones
En este trabajo se expusieron las particularidades de operación de un sensor GMR AAl002. Sin embargo, los métodos propuestos pueden extenderse para el análisis de diferentes sensores GMR. Se propuso un método de caracterización de sensores GMR que permite la obtención de expresiones matemáticas que describen el comportamiento y la sensibilidad del sensor GMR. Se identificaron tres regiones de operación del sensor GMR en la curva de sensibilidad: la región de sensibilidad lineal que va desde los 0.035 hasta los 0.5 mT, la región lineal de operación que va desde los 0.5 mT hasta los 1.5mT y la región de saturación que va desde 1.5 mT hasta 4 mT. Es importante mencionar que estos valores reportados corresponden a campos magnético que tienen una dirección positiva respecto al eje de sensibilidad del sensor GMR, sin embargo, también son válidos para los campos que están en dirección negativa al eje de sensibilidad del sensor GMR.
Los resultados revelaron que el desempeño del sensor para medir la amplitud de campos magnéticos variantes en el tiempo mejora cuando el punto de operación se encuentra en la zona lineal de la curva característica de transferencia. Se observó que la sensibilidad del sensor GMR utilizando este método para la medición de la componente variante en el tiempo mejora y se encuentra entre 140 y 200 mV/mT, mientras que la sensibilidad de un sensor de efecto Hall para el mismo caso se encuentra entre 8-40 mV/mT [1]. Se observó que cuando el punto de operación se ubica en la región de sensibilidad lineal, la sensibilidad dinámica del sensor depende de las dos componentes del campo magnético. A partir de los resultados obtenidos se definió que el valor del campo de polarización debe estar entre 0.035 y 0.3 mT para mejorar el rendimiento del sensor GMR al ser usado para medir variaciones de la componente constante de un campo magnético. La nueva región de sensibilidad lineal del sensor GMR abre nuevas líneas de investigación para la mejora del desempeño de este tipo de sensores en aplicaciones que requieran medir pequeñas variaciones de campos magnéticos. Sin embargo, aún se requiere realizar un análisis experimental de la sensibilidad dinámica, lo cual permitiría seleccionar los valores de amplitud de la componente de campo magnético que permitan aumentar la sensibilidad del sensor GMR. De igual manera es indispensable comprobar con diferentes frecuencias de excitación magnética los resultados presentados en este trabajo.
Agradecimientos
Los autores de este trabajo agradecen al Instituto Politécnico Nacional por el financiamiento de este proyecto (SIP- 20200271). El autor, N. O. R., agradece a la Sección de Estudios de Posgrado e Investigación de la Escuela Superior de Ingeniería Mecánica y Eléctrica Unidad Zacatenco por hacer uso de sus instalaciones, y al Consejo Nacional de Ciencia y Tecnología por el apoyo brindado.
Referencias
[1] N. Novkovsky, “Progress and limitations in magnetic field measurements,” in Geomagnetics for Aeronautical Safety, First ed., J. Rasson and T. Delipetrov (Eds.). pp. 201-212, 2006.
[2] M. Evans, Friedrich Heller, Environmental Magnetism: Principles and Applications of Enviromagnetics, San Diego, USA, 2003.
[3] C. Zhu, L. Zhang, X. Shi, H. Qian, “Calibration strategy based on reference sensor for GMR biosensing and biodetection system,” 2016 13th IEEE Int. Conf. Solid-State Integr. Circuit Technol. ICSICT 2016 - Proc., pp. 1161–1163, 2017, doi: https://doi.org/10.1109/ICSICT.2016.7998681
[4] P. Gao, X. Wang, D. Han, Q. Zhang, “Eddy Current Testing for Weld Defects with Different Directions of Excitation Field of Rectangular Coil,” 2018 4th Int. Conf. Control. Autom. Robot., pp. 486-491, 2018.
[5] P. Gao, C. Wang, Y. Li, F. Li, Y. Yan, Y. Hu, “Defect evaluation using the phase information of an EC-GMR sensor,” Conf. Rec. - IEEE Instrum. Meas. Technol. Conf., pp. 25-29, 2014, doi: https://doi.org/10.1109/I2MTC.2014.6860516
[6] W. H. Hayt, Teoría electromagnética, Mc Graw-Hill, USA, 2012, pp. 198-199.
[7] J. García-Martín, J. Gómez-Gil, E. Vázquez-Sánchez, “Non-destructive techniques based on eddy current testing,” Sensors, vol. 11, no. 3, pp. 2525–2565, 2011, doi: https://doi.org/10.3390/s110302525
[8] J. Garcia-Martin, J. Gomez-Gil, “Comparative evaluation of coil and hall probes in hole detection and thickness measurement on aluminum plates using eddy current testing,” Russ. J. Nondestruct. Test., vol. 49, no. 8, pp. 482-491, 2013, doi: https://doi.org/10.1134/S1061830913080044
[9] C. Reig, S. Cardoso, S. C. Mukhopadhyay, Giant Magnetoresistance (GMR) Sensors, Berlin, Heidelberg: Springer Berlin Heidelberg, 2013.
[10] T. Dogaru, S. T. Smith, “Giant Magnetoresistance-Based Eddy-Current Sensor,” IEEE Trans. Magn., vol. 37, no. 5, pp. 3831-3838, 2001.
[11] N. G. Tawfik, Y. Hussein, E. Azab, “Analysis of magnetoresistive sensors for nondestructive evaluation,” 2018 IEEE Sensors Appl. Symp. SAS 2018 - Proc., vol. 2018, Jan., pp. 1-4, 2018, doi: https://doi.org/10.1109/SAS.2018.8336718
[12] W. Wang, Y. Wang, L. Tu, T. Klein, Y. Feng, J.-P. Wang, “Surface Modification for Protein and DNA Immobilization onto GMR Biosensor,” IEEE Trans. Magn., vol. 49, no. 1, pp. 296–299, Jan. 2013, doi: https://doi.org/10.1109/TMAG.2012.2224327
[13] R. Hamia, C. Cordier, C. Dolabdjian, “Eddy-current non-destructive testing system for the determination of crack orientation,” NDT E Int., vol. 61, pp. 24–28, 2014, doi: https://doi.org/10.1016/j.ndteint.2013.09.005
[14] O. Postolache, A. L. Ribeiro, H. G. Ramos, “Uniform eddy current probe based on GMR sensor array and image processing for NDT,” 2012 IEEE I2MTC - Int. Instrum. Meas. Technol. Conf. Proc., pp. 458-463, 2012, doi: https://doi.org/10.1109/I2MTC.2012.6229366
[15] A. Bernieri, G. Betta, L. Ferrigno, M. Laracca, “Improving performance of gmr sensors,” IEEE Sens. J., vol. 13, no. 11, pp. 4513–4521, 2013, doi: https://doi.org/10.1109/JSEN.2013.2271275
[16] T. Sen, C. S. Anoop, S. Sen, “Simple linearising front-end-circuit for giant magneto-resistance sensors,” Electron. Lett., vol. 54, no. 2, pp. 81-83, 2018, doi: https://doi.org/10.1049/el.2017.3860
[17] T. Sen, C. S. Anoop, S. Sen, “Design and performance evaluation of two novel linearisation circuits for giant magneto-resistance based sensors,” IET Circuits, Devices Syst., vol. 11, no. 5, pp. 496-503, 2017, doi: https://doi.org/10.1049/iet-cds.2017.0047
[18] S. Dutta, T. Sen, C. S. Anoop, “Study and Noise Analysis of a Linearizing Front-End Circuit for GMR Sensors,” IEEE Reg. 10 Annu. Int. Conf. Proceedings/TENCON, vol. 2019, Oct., pp. 2275-2279, 2019, doi: https://doi.org/10.1109/TENCON.2019.8929701
[19] P. Ripka, M. Tondra, J. Stokes, R. Beech, “AC-driven AMR and GMR magnetoresistors,” Sensors Actuators, A Phys., vol. 76, no. 1-3, pp. 225-230, 1999, doi: https://doi.org/10.1016/S0924-4247(99)00034-5
[20] Z. Li, S. Dixon, “A Closed-Loop Operation to Improve GMR Sensor Accuracy,” IEEE Sens. J., vol. 16, no. 15, pp. 6003–6007, 2016, doi: https://doi.org/10.1109/JSEN.2016.2580742
[21] J. Han, J. Hu, Y. Ouyang, S. X. Wang, J. He, “Hysteretic modeling of output characteristics of giant magnetoresistive current sensors,” IEEE Trans. Ind. Electron., vol. 62, no. 1, pp. 516-524, 2015, doi: https://doi.org/10.1109/TIE.2014.2326989
[22] I. Jedlicska, R. Weiss, R. Weigel, “Linearizing the output characteristic of GMR current sensors through hysteresis modeling,” IEEE Trans. Ind. Electron., vol. 57, no. 5, pp. 1728-1734, 2010, doi: https://doi.org/10.1109/TIE.2009.2033090
[23] F. Xie, R. Weiss, R. Weigel, “Hysteresis Compensation Based on Controlled Current Pulses for Magnetoresistive Sensors,” IEEE Trans. Ind. Electron., vol. 62, no. 12, pp. 7804-7809, 2015, doi: https://doi.org/10.1109/TIE.2015.2458958
[24] N. O. Romero-Arismendi, J. A. Pérez-Benitez, E. Ramírez-Pacheco, J. H. Espina-Hernández, “Sensors and Actuators A : Physical Design method for a GMR-based eddy current sensor with optimal sensitivity,” Sensors Actuator A Phys., vol. 314, 2020, doi: https://doi.org/10.1016/j.sna.2020.112348
[25] E. Ramírez-Pacheco, J. H. Espina-Hernández, F. Caleyo, J. M. Hallen, “Defect detection in aluminium with an eddy currents sensor,” Proc. - 2010 IEEE Electron. Robot. Automot. Mech. Conf. CERMA 2010, pp. 765-770, 2010, doi: https://doi.org/10.1109/CERMA.2010.91
[26] N. O. R. Arismendi, E. R. Pacheco, J. H. Espina-Hernandez, J. A. P. Benítez, “Estudio de la influencia de las características físicas de la bobina y el descentrado bobina-sensor GMR en el sistema de detección de defectos por corrientes de remolino,” Congr. Nac. Ing. Electr. y Sistemas, no. XVI, 2017.