Cálculo de las propiedades térmicas y mecánicas de nanotubos de carbono a partir de la dispersión de fonones
Calculation of thermal and mechanical properties of crystalline CNTs (C-CNTs) and low crystallinity (LC-CNTs) by study the phonon dispersion
Cálculo de las propiedades térmicas y mecánicas de nanotubos de carbono a partir de la dispersión de fonones
Científica, vol. 25, núm. 2, pp. 1-9, 2021
Instituto Politécnico Nacional
Recepción: 21/05/2021
Aprobación: 26/06/2021
Resumen:
La importancia de estudiar a los nanotubos de carbono (CNT) desde una perspectiva de cristalinidad es de suma importancia ya que sus propiedades son altamente modificadas en función de su distribución atómica. Este trabajo, describe el cálculo de propiedades térmicas y mecánicas de CNT cristalinos (C-CNT) y de baja cristalinidad (LC-CNT) por medio del estudio numérico de la dispersión de fonones. La estructura de bandas y la densidad de estados de los fonones se obtuvieron por medio de un programa de cómputo (QuantumATK) y considerando CNT de las mismas dimensiones morfológicas. La diferencia en la dispersión de fonones entre los materiales resultó determinante en las propiedades térmicas y mecánicas. A pesar de que la capacidad calorífica es similar en ambos CNT, se observó una diferencia de 1 orden de magnitud para la conductividad térmica. Así mismo, el módulo de Young se calculó en 5.4 MPa para los C-CNT y en 73.6 MPa para los LC-CNT. Estas diferencias se atribuyen a los valores de la velocidad del sonido en los materiales. Por otra parte, los CNT tienen una gran relación de aspecto y por tanto presentan una alta polarización molecular, lo cual lo hace un material atractivo para modular las propiedades mecánicas mediante el efecto de electrostricción. El cambio de la densidad y el módulo de Young se calcularon considerando una fuente de luz con una irradiancia entre 0.1 a 1.0 GW/cm., tomando como base las propiedades ópticas lineales y no-lineales de los CNT de investigaciones previas. Los resultados aproximan las propiedades térmicas y mecánicas de C-CNT y/o LC-CNT analizando los modos fundamentales de vibración atómica.
Palabras clave: Nanotubos de carbono, electrostricción, densidad de estados de fonones, efectos opto-mecánicos.
Keywords: Carbon nanotubes, electrostriction, phonon density of states, opto-mechanical effects
I. Introducción
Los nanotubos de carbono (CNT) han sido tema de estudio desde su descubrimiento ya que poseen propiedades exóticas que son de gran utilidad en la ciencia. Como ejemplo, han sido utilizados en sistemas eléctricos a modo de super capacitores [1], en cátodos de eficiente emisión termiónica [2], en dispositivos de activación magnética [3], en sensores de gases [4], entre otros. Los CNT son hojas de grafeno enrolladas sobre un eje, de tal manera que se forma un cilindro hueco. Dependiendo de las capas o paredes que tenga el nanotubo se define de simple, de doble o de múltiple pared. Además, el ángulo quiral con el que se enrolla el grafeno para formar un nanotubo es de gran importancia ya que esto determinará las propiedades electrónicas y mecánicas [5]. Dependiendo de la dirección del vector quiral, los CNT son de tipo sillón, zigzag o quirales, siendo los más comunes los primeros dos. Los CNT de sillón son tipo metálicos, por tanto, tienen buena conductividad eléctrica y logran transportar 1000 veces más corriente para su tamaño que otros conductores. Por su parte, los CNT tipo zigzag y quirales tienen propiedades eléctricas similares a los semiconductores y presentan una brecha prohibida en la estructura de bandas electrónicas [6]. Estos últimos pueden ser utilizados para generar dispositivos optoelectrónicos de rápida conmutación como fotodiodos o fototransistores [7].
Para explicar las propiedades de los CNT es necesario analizar los modos de vibración atómica llamados fonones. En general, las propiedades térmicas en sólidos consisten en contribuciones de los fonones y los electrones, pero en sistemas derivados del grafeno como son los CNT la contribución dominante es debido a fonones [8]. Los fonones son el producto de la vibración atómica dentro de una red cristalina y se observan como ondas acústicas que se propagan en el sólido. Los átomos vibran entorno a su punto de equilibrio y están ligados a un átomo vecino por medio de un potencial; si estas oscilaciones son pequeñas, el sistema se puede modelar por medio de varios cuerpos (masas) unidos por potenciales de ligadura (resortes) y resolverse clásicamente con las leyes de Newton [9]. Para materiales monoatómicos y una estructura cristalina bien definida, las oscilaciones de los átomos ocurren en tres dimensiones con movimientos coherentes, generando así fonones acústicos. Para este tipo de fonones las frecuencias tienden a cero para longitudes de onda largas. De existir más de dos átomos distintos en la red cristalina, se generan movimientos combinados (no-coherentes) entre las distintas masas atómicas que inducen la propagación de fonones ópticos, los cuales tienen una frecuencia distinta de cero en el centro de la zona de Brillouin (punto Γ). No obstante, para sistemas monoatómicos como los CNT existe una componente vibracional fuera del plano de la red, ya sea por la interacción entre las paredes concéntricas o por la curvatura del material, que induce la aparición de fonones ópticos [10].
Por otra parte, los materiales con baja cristalinidad tienden a presentar estados cuánticos localizados [11]. En este caso, los modos de vibración de los fonones en un sistema con desorden estructural tienden a concentrarse en un rango energético menor [12]. Este efecto causa que dos CNT con las mismas dimensiones, pero arreglo atómico distinto tengan diferentes mecanismos de transporte. Por ello, se espera que las propiedades ligadas a la dispersión de fonones difieran para CNT cristalinos (C-CNT) y CNT de baja cristalinidad (LC-CNT). Por ello, en este trabajo de investigación se exploran las propiedades térmicas y mecánicas de CNT con la misma morfología, pero cambiando su distribución atómica. Adicionalmente, se estudian las diferencias en la modulación de las propiedades mecánicas debido al efecto de electrostricción. El campo eléctrico de alta intensidad se consideró al ser asistido por una fuente óptica de alta irradiancia. Con las propiedades de estos materiales bien definidos, se pueden proponer arreglos que contengan una mezcla de C-CNT y LC-CNT para crear sistemas de mayor complejidad y utilizarlos en el diseño de nuevos materiales inteligentes.
II. Metodología
A. Simulación numérica de la estructura de fonones de nanotubos de carbono
La estructura de las bandas de fonones (PBS) y la densidad de estados de fonones (PDOS) de C-CNT y de LC-CNT se simuló por medio de la plataforma QuantumATK© [13]. Para modelar la dinámica atómica en los nanotubos se utilizaron los siguientes parámetros constantes: tolerancia a la fuerza 0.001eV/Å, tolerancia al error de tensión 0.0001 eV/Å3, y presión atmosférica isotrópica [14]. Los potenciales de enlace utilizados para los cálculos de interacción atómica se obtuvieron mediante un modelo basado en un potencial de muchos cuerpos, disponible en el programa de cómputo [15]. Las dimensiones de los CNT considerados fueron 7.0 nm de diámetro externo, 0.24 nm de espesor de pared y 100 nm de altura. Los C-CNT son de doble pared y los LC-CNT tienen una pared intermedia y se desordenó aleatoriamente la estructura para simular un material amorfo. Las estructuras estudiadas se muestran en la Fig. 1, los cuales son de tipo zigzag con una quiralidad (m,0). En la vista transversal se observa el contraste de la cristalinidad y del desorden estructural. Los LC-CNT se trataron de mantener con una configuración cercana a lo ya antes estudiado experimentalmente [16]. La dispersión de fonones se estudió particularmente entre las zonas de Brillouin Γ y Z, lo cual arroja la componente sobre el eje longitudinal del nanotubo, por lo tanto, las propiedades se calcularán sobre dicho eje.

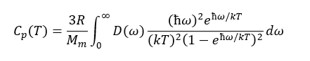
B. Cálculo de las propiedades térmicas
dispersión
El cálculo de las propiedades térmicas en C-CNT y LC-CNT se realizó por medio del análisis de la dispersión de la función de PDOS. La capacidad calorífica (Cp) dependiente de la temperatura se calculó con la siguiente relación [17]:
(1)Donde R es la constante de los gases, Mm es la masa molar, D(ω) es la función de PDOS de los modos vibracionales, ħ es la constante de Plack, k es la constan de Boltzmann y ω es la frecuencia de vibración que está dada por la energía E=hω. La función D(ω) debe de estar normalizada ∫D(ω)dω=1.
Derivado de la ecuación de transporte de Boltzmann, se puede calcular la conductividad térmica por la siguiente relación[18]:
(2)donde v es la velocidad del sonido, es la frecuencia de Debye, n es la densidad atómica y τ es el tiempo de relajación. Este tiempo depende de los procesos de esparcimiento de fonones dentro del cristal.
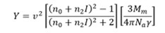
C. Cálculo de las propiedades mecánicas
A partir de la dispersión de fonones, se obtienen propiedades mecánicas como el módulo de Young (Y), el cual depende de la velocidad del sonido (v) y la densidad másica (ρ) por medio de la siguiente ecuación [19]:
(3)La velocidad del sonido en un sólido se determina por la pendiente de la relación de dispersión de un fonón acústico para valores pequeños del vector de onda o longitudes de onda largas (cercano al punto Γ). Para esta condición, la relación de dispersión es lineal y la velocidad del sonido se vuelve independiente de la frecuencia del fonón. De este efecto se desprende que longitudes de onda largas, como las ondas sonoras, se propagan eficientemente en los sólidos.
Adicionalmente, un sólido con una alta polarizabilidad molecular (γ) como lo son los CNT, tiende a sufrir un cambio instantáneo en las propiedades mecánicas debido al efecto de electrostricción. Derivado de la relación de Lorentz–Lorenz y de la Eq. (3) se deduce el valor del módulo de Young debido a una alta irradiancia óptica (I) [19]:
(4)Donde: n0 es el índice de refracción lineal, n2 es el índice de refracción no-lineal, y Na es el número de Avogadro.
III. Resultados
La PBS de los CNT considerados para la simulación numérica es la mostrada en la Fig. 2. En la simulación el C-CNT contiene un número de átomos de 696 por celda unitaria y el LC-CNT un número de átomos de 979 por celda unitaria. La Fig. 2(a) muestra la estructura de bandas de los C-CNT, mientras que la Fig. 2(b) muestra la de los LC-CNT. Se observa que los C-CNT muestran una dispersión más cercana a un material cristalino, en donde las bandas de fonones acústicas y ópticas son claramente divididas cercanos a 200 meV. Asimismo, los LC-CNT muestran una tendencia de las bandas a localizarse en un intervalo de energía menor (0 – 250 meV). Este efecto puede ser mejor observado en la función de PDOS mostrada en la Fig. 2(c) en donde los C-CNT tienen una distribución de estados de fonones más discreto con bandas intermedias entre 57 meV, 120 meV y 252 meV y con una banda prohibida entre 184 meV y 198 meV. Por otro lado, los LC-CNT presentan una localización de estados sin existir una transición de banda prohibida. Este efecto es consistente con la literatura en donde los estados cuánticos tienden a ser más localizados en sistemas con un mayor desorden estructural [12]. Debido a que los mecanismos de transporte en estos materiales son mayormente asistidos por fonones, se resalta la gran diferencia que existe entre ambos nanotubos. Adicionalmente, en los insertos de la Fig. 2(c) se muestran las primeras 100 bandas de la PBS. Este acercamiento permite visualizar el cambio de la energía en función de vector de onda, lo cual es un indicio de la velocidad de propagación del sonido en la red cristalina. La velocidad del sonido se determina cercano al punto Γ, y los resultados numéricos obtenidos son 2,528 m/s y 7,864 m/s para C-CNT y LC-CNT, respectivamente.

Para poder calcular las propiedades térmicas y mecánicas de los CNT se consultaron parámetros establecidos en la literatura y otros se determinaron. La Tabla 1muestra las propiedades necesarias para realizar los cálculos indicados [19], [20], [21]. El módulo de Young se determinó utilizando la Eq. (3)y la polarizabilidad molecular se obtuvo utilizando la Eq. (4), considerando I=0 W/m2. Los demás resultados se obtuvieron del programa de cómputo utilizado en la simulación molecular.

Una vez analizado el esparcimiento de fonones dentro de las estructuras carbonáceas de estudio, se calculan las propiedades térmicas en función de la temperatura. La Fig. 3(a) muestra el gráfico de la capacidad calorífica, la cual se calculó usando la Eq. (1). A pesar de que esta variable depende exclusivamente de la PDOS, las funciones tanto del material cristalino como el amorfo se comportan similares en todo el rango de temperatura. Este efecto se debe a que el área bajo la curva de la densidad de estados es similar en ambos materiales: 3.013×10-6 para C-CNT y 2.95×10-6 para LC-CNT. Por su parte, la conductividad térmica presentada en la Fig. 3(b) muestra una gran diferencia entre los nanotubos. Esta diferencia se atribuye a que este parámetro depende del límite superior de la integral de la Eq. (2) por medio de la frecuencia de Debye y esta magnitud es 3.5 veces mayor en LC-CNT que en C-CNT. Un resultado inmediato a partir de la capacidad calorífica y la conductividad térmica es la difusividad térmica, la cual sigue la relación αdiff=λp/(ρCp). La Fig. 3(c) muestra el gráfico de la difusividad térmica en función de la temperatura. Esta magnitud indica la velocidad de propagación de una onda térmica por unidad de superficie. Claramente los LC-CNT tienen una mayor difusión ya que depende directamente de la conductividad térmica. Un valor alto de esta propiedad puede ser una ventaja para un proceso dinámico, ya que, a mayor difusividad térmica la constante de tiempo se reduce y un cuerpo adquiere el equilibrio térmico más rápido. Por otra parte, también puede ser una desventaja si se requiere almacenar por más tiempo el calor, para ello se necesitaría una difusividad térmica menor.

Adicionalmente, la Fig. 3(c) muestra una estimación de la conductividad eléctrica de los dos CNT estudiados. Esta propiedad se obtuvo por medio de la ley de Wiedemann-Franz con la siguiente ecuación [22]:
(5)donde L=2.44×10-8 WΩK-2 es el número de Lorenz [22]. Esta relación se deriva de asumir que la conductividad eléctrica y térmica se determinan por el mismo camino libre medio (mean free path en inglés) por colisiones de los electrones conductores con la matriz sólida. Esto es una idealidad ya que en general, los caminos libres medios por conducción térmica y eléctrica suelen ser distintos y la ley de Wiedemann-Franz no es estrictamente valida. Aun así, esta ley es más aproximada para temperaturas elevadas (T >200 K), por ello la Fig. 3(c) solo muestra el comportamiento de la conductividad eléctrica para valores de temperatura mayores a 300 K.
Por otra parte, las propiedades optomecánicas de los CNT al ser sometidos a una alta irradiancia se calculan por medio de la Eq. (4). Se espera que estos materiales cambien su densidad másica por medio del efecto de electrostricción y por ende su módulo de Young. Para lograr un considerable cambio en las propiedades mecánicas se necesita de una alta irradiancia, comparable al inverso del índice de refracción no-lineal, el cual se ha calculado en estos materiales alrededor de -1.1×10-15 m2/W [19]. Por tanto, la Fig. 4 (a) y 4 (b) muestran el cambio en el módulo de Young y de la densidad másica en función de una irradiancia desde 0.1 GW/cm2 hasta 1 GW/cm2. Esta magnitud se puede lograr utilizando un láser pulsado (nanosegundos o picosegundos) de alta energía concentrándolo por medio de lentes en el material de análisis [23]. De los gráficos se observa un comportamiento lineal de ambas propiedades en el rango escogido. No obstante, al aumentar la irradiancia, la función matemática indica un comportamiento no-lineal para valores mayores de irradiancia. Debido a que sobrepasar estos límites de irradiancia implicaría depositar mucha energía en el material, éste deberá soportarlo sin sufrir ablación u oxidación, procesos que alteran estructuralmente a los materiales. Por su alta absorción óptica, los CNT aumentan su temperatura ante un haz pulsado, esto puede generar un proceso de ablación para irradiancias muy elevadas, es por eso que es recomendable utilizar haces pulsados de picosegundos para acortar la propagación del haz sobre la muestra, manteniendo el campo eléctrico con gran magnitud. Adicionalmente, para explorar las propiedades opto-mecánicas y fototérmicas de CNT, un láser en el rango del infrarrojo cercano será una mejor opción para poder excitar adecuadamente los fonones y no generar transiciones electrónicas. Con las funciones definidas en el trabajo, se logró controlar las propiedades mecánicas de ambos CNT por medio de una fuente de luz óptica de alta intensidad. Estos efectos dan pie a la realización de dispositivos de rápida conmutación con base en una combinación de C-CNT y LC-CNT para su implementación en actuadores lineales.

IV. Conclusiones
Se determinó numéricamente la dispersión de fonones en C-CNT y LC-CNT con configuración quiral de zigzag, 7.0 nm de diámetro externo y un ancho de pared de 0.24 nm. La PDOS tiende a ser más localizada para los nanotubos con un desorden estructural mayor. A partir de los estados de vibración se lograron determinar las propiedades térmicas y mecánicas de ambos CNT. La capacidad calorífica mostró un comportamiento similar para los dos CNT estudiados ya que el área bajo la curva de la PDOS es prácticamente la misma. La conductividad térmica por su parte mostró una diferencia de 1 orden de magnitud, siendo la mayor para los LC-CNT. Asimismo, el módulo de Young también es mayor para los LC-CNT ya que esta magnitud, así como la conductividad térmica, dependen de la velocidad del sonido en la red cristalina. La red amorfa de los LC-CNT permite propagar más rápido los fonones ya que existe un mayor esparcimiento por colisiones y hace que las ondas mecánicas sean eficientemente propagadas. Adicionalmente, se estimó el cambio de las propiedades mecánicas por medio del efecto de electrostricción; ambos CNT mostraron una dependencia lineal negativa del módulo de Young y de la densidad másica en un rango de 0.1 – 1 GW/cm2. Un arreglo de C-CNT, LC-CNT o una combinación de ambos puede ser considerado para desarrollar actuadores opto-mecánicos lineales.
Referencias
[1] Z. Yang, J. Tian, Z. Yin, C. Cui, W. Quian, F. Wei, “Carbon nanotube- and graphene-based nanomaterials and applications in high-voltage supercapacitor: A review,” Carbon, vol. 141, pp. 467-480, 2019, doi: https://doi.org/10.1016/j.carbon.2018.10.010
[2] Z. Li, B. Bai, C. Li, Q. Dai, “Efficient photo-thermionic emission from carbon nanotube arrays,” Carbon, vol. 96, pp. 641-646, 2016, doi: https://doi.org/10.1016/j.carbon.2015.09.074
[3] J. García-Merino, E. Jímenez-Marín, C. Mercado-Zúñiga, M. Trejo-Valdez, J. Vargas-García, C. Torres-Torres, “Quantum and bistable magneto-conductive signatures in multiwall carbon nanotubes decorated with bimetallic Ni and Pt nanoparticles driven by phonons,” OSA Continuum, vol. 2, no. 4, pp. 1285-1295, 2019, doi: https://doi.org/10.1364/OSAC.2.001285
[4] T. Han, A. Nag, S. Mukhopadhyay, Y. Xu, “Carbon nanotubes and its gas-sensing applications: A review,” Sens. Actuators, A, vol. 291, pp. 107-143, 2019, doi: https://doi.org/10.1016/j.sna.2019.03.053
[5] G. Cao, X. Chen, “The effects of chirality and boundary conditions on the mechanical properties of single-walled carbon nanotubes,” Int. J. Solids Struct., vol. 44, no. 44, pp. 5447-5465, 2007, doi: https://doi.org/10.1016/j.ijsolstr.2007.01.005
[6] J. Liang, Y. Wang, Y. Huang, Y. Ma, Z. Liu, J. Cai, C. Zhang, H. Gao, Y. Chen, “Electromagnetic interference shielding of graphene/epoxy composites,” Carbon, vol. 47, pp. 922-925, 2009, doi: https://doi.org/10.1016/j.carbon.2008.12.038
[7] K. Bergemann, F. Léonard, “Giga-gain at room temperature in functionalized carbon nanotube phototransistors based on a nonequilibrium mechanism,” ACS Nano, vol. 14, no. 8, pp. 10421–10427, 2020, doi: https://doi.org/10.1021/acsnano.0c04296
[8] J. Hone, “Phonons and Thermal Properties of Carbon Nanotubes,” in Carbon Nanotubes. Topics in Applied Physics, Berlin: Springer, 2001, pp. 273-286, doi: https://doi.org/10.1007/3-540-39947-X_11
[9] F. Vasko, O. Raichev, Quantum kinetic theory and applications: Electrons, photons, phonons, New York, USA: Springer, 2005, doi: https://doi.org/10.1007/0-387-28041-3
[10] S. Piscanec, M. Lazzeri, F. Mauri, A. Ferrari, “Optical phonons of graphene and nanotubes,” Eur. Phys. J. Special Topics, vol. 148, p. 159–170, 2007, doi: https://doi.org/10.1140/epjst/e2007-00236-2
[11] N. F. Mott, “ Conduction in non-crystalline materials,” Philos. Mag., vol. 19, pp. 835-852, 1969, doi: https://doi.org/10.1080/14786436908216338
[12] S. Mu, R. Olsen, B. Dutta, L. Lindsay, G. Samolyuk, T. Berlijn, E. Specht, J. Jin, H. Bei, T. Hickel, B. Larson, G. Stocks, “Unfolding the complexity of phonon quasi-particle physics in disordered materials,” npj Comput. Mater., vol. 6, no.4, 2020, doi: https://doi.org/10.1038/s41524-020-0271-3
[13] S. Smidstrup, T. Markussen, P. Vancraeyveld, J. Wellendorff, J. Schneider, T. Gunst, B. Verstichel, D. Stradi, P. Khomyakov, U. Vej-Hansen, “QuantumATK: An integrated platform of electronic and atomic-scale modelling tools,” J. Phys.: Condens. Matter, vol. 32, no. 015901, 2020, doi: https://doi.org/10.1088/1361-648X/ab4007
[14] J. Schneider, J. Hamaekers, S. T. Chill, S. Smidstrup, J. Bulin, R. Thesen, A. Blom, K. Stokbro, “ATK-ForceField: a new generation molecular dynamics software package,” Modelling Simul. Mater. Sci. Eng., vol. 25, no. 085007, 2017, doi: https://doi.org/10.1088/1361-651X/aa8ff0
[15] J. Tersoff, “Modeling solid-state chemistry: Interatomic potentials for multicomponent systems,” Phys. Rev. B, vol. 39, pp. 5566-5568, 1989, doi: https://doi.org/10.1103/PhysRevB.39.5566
[16] J. García-Merino, L. Fernández-Izquierdo, R. Villarroel, S. Hevia, “Photo-thermionic emission and photocurrent dynamics in low crystallinity carbon nanotubes,” J. Materiomics, vol. 7, no. 2, pp. 271-280, 2021, doi: https://doi.org/10.1016/j.jmat.2020.10.002
[17] J.P. Hague, “Determining the phonon density of states from specific heat measurements via maximum entropy methods,” J. Phys.: Condens. Matter., vol. 17, pp. 2397-2405, 2005.
[18] T. M. Tritt, Thermal conductivity: Theory, properties and applications, New York, USA: Kluwer Academic / Plenum Publishers, 2004.
[19] C. Torres-Torres, C. Mercado-Zúñiga, C. Martínez-González, H. Martínez-Gutiérrez, N. Rebollo, M. Trejo-Valdez, J. Vargas-García, R. Torres-Martínez, “Optical Kerr effect exhibited by carbon nanotubes and carbon/metal nanohybrid materials,” Physica E, vol. 73, pp. 156-162, 2015, doi: https://doi.org/10.1016/j.physe.2015.05.035
[20] O. Dyatlova, C. Koehler, P. Vogel, E. Malic, R. Jain, K. Tvrdy, M. Strano, A. Knorr, U. Woggon, “Relaxation dynamics of carbon nanotubes of enriched chiralities,” Phys. Rev. B, vol. 90, no. 155402, 2014, doi: https://doi.org/10.1103/PhysRevB.90.155402
[21] K. Gharbavi, H. Badehian, “Optical spectra of zigzag carbon nanotubes,” Optik, vol. 127, no. 17, pp. 6952-6960, 2016, doi: https://doi.org/10.1016/j.ijleo.2016.05.034
[22] P. Slade, Electrical contacts: principles and applications, New York, USA: Marcel Dekker, Inc, 1999.
[23] A. Brandao-Silva, R. Lima, C. Fantini, A. Jesus-Silva, M. Alencar, J. Hickmann, R. Jain, M. Strano, E. Fonseca, “Near infrared nonlinear refractive index dispersion of metallic and semiconducting single-wall carbon nanotube colloids,” Carbon, vol. 77, pp. 939-946, 2014, doi: https://doi.org/10.1016/j.carbon.2014.06.008