Recepción: 14/05/2021
Aprobación: 30/08/2021
Resumen: Nanofibras de celulosa extraídas a partir de rastrojo de piña y raquis de palma africana, fueron sometidas a funcionalización con ácido cólico. La nanocelulosa se caracterizó por espectroscopia infrarroja, microscopía electrónica de barrido y ángulo de contacto. Posteriormente se evaluó mediante análisis estadísticos, la influencia de dicha funcionalización en la adsorción del cromo de una disolución de Cr2(SO4)3. De lo anterior se determinó que existe una mayor adsorción del metal si se utilizan nanofibras sin funcionalizar extraídas a partir de rastrojo de piña, mientras que para las fibras extraídas a partir de raquis de palma africana la funcionalización con ácido cólico genera mejores cargas de adsorción. Finalmente se realizaron curvas de adsorción y se acoplaron a 3 modelos de isotermas de adsorción, de las cuales se establece que el modelo de Sips describe de mejor manera el comportamiento de los datos experimentales, con cargas máximas de 8,605 mg Cr/g NCF (nanocelulosa fibrillar) para la nanocelulosa sin funcionalizar extraída a partir de rastrojo de piña y 5,638 mg Cr/g NCF para la nanocelulosa funcionalizada extraída a partir de raquis de palma africana.
Palabras clave: adsorción, cromo, funcionalización, nanocelulosa fibrilar.
Abstract: Cellulose nanofibers extracted from pineapple stubble and African palm rachis were subjected to functionalization with cholic acid. The nanocellulose was characterized by infrared spectroscopy, scanning electron microscopy, and contact angle. Subsequently, the influence of functionalized nanocellulose and non-functionalized nanocellulose, on the chromium adsorption of a Cr2(SO4)3. solution was evaluated by statistical analysis. It was determined that greater adsorption charges are obtained if non-functionalized nanofibers extracted from pineapple stubble are used, while for fibers extracted from African palm rachis, functionalization with cholic acid generates better adsorption charges. Finally, adsorption curves were made and coupled to 3 models of adsorption isotherms. It was established that the Sips model better describes the behavior of the experimental data, with a maximum charge of 8.605 mg Cr/g FNC (fibrillar nanocellulose) for the Non-functionalized nanocellulose extracted from pineapple stubble and a maximum charge of 5.638 mg Cr/g FNC for functionalized nanocellulose extracted from African palm rachis.
Keywords: adsorption, chromium, functionalization, fibrillary nanocellulose.
I. Introducción
Gran cantidad de investigaciones buscan perfeccionar y descubrir nuevas técnicas que produzcan nanoestructuras. Las nanopartículas se están utilizando en varias industrias y se han expandido en diferentes ramas de la ciencia como en la electrónica [1], magnética [2], optoelectrónica [3], biomedicina [4], aplicaciones energéticas [5], catalíticas [6] y de materiales [7]. Dentro de los campos de estudio en los que se ha expandido la nanocelulosa, es posible encontrar la producción de hidrogeles con aplicaciones en biomedicina, así como la utilización de nanocelulosa como inhibidor de emulsiones. Pero se ha desarrollado con mayor fuerza en el área de tratamiento de aguas para la eliminación de bacterias [8], colorantes [9], materia inorgánica [10] y otros contaminantes.
La implementación de dicho nanomaterial como adsorbente ha sido estudiada tanto como en nanocristales de celulosa, así como en nanofibras de celulosa de procedencia vegetal y bacteriana [11] [12]. Diversas investigaciones han planteado la utilización de los compuestos de nanocelulosa en la adsorción de algunos metales como cobre o níquel [13], plomo [14], cobalto [15] y hasta algunos iones de fosfato o nitrato [11].
La captación de algunos iones metálicos, ha sido atribuida principalmente a la presencia de grupos OH en la estructura de su cadena polimérica [16]. Sin embargo, no solo permite la adsorción de iones metálicos como el cromo, también le brinda a la celulosa las propiedades reactivas de los alcoholes lo que permite que se pueda generar una funcionalización de la nanocelulosa con el fin de mejorar su capacidad adsortiva. Y es precisamente la reactividad de dichos grupos funcionales lo que ha provocado que las investigaciones se hayan enrumbado por el camino de la funcionalización de su estructura, con el fin de maximizar la capacidad de adsorción del nanomaterial [17][18][19].
Se ha demostrado que la modificación de la nanocelulosa produce afinidad hacia iones de ciertos metales en específico, generando mayor eficiencia en la adsorción de algunos metales en comparación con otros [20]. La implementación de nanocelulosa para la adsorción de cromo de diferentes valencias proveniente de diversas aguas residuales ha sido también estudiado por otros autores. La funcionalización de nanocelulosa microfibrilar con hidroxiapatita calcificada para la adsorción de Cr(VI) [21], la funcionalización de nanofibras de celulosa con amonio cuaternario para la adsorción de Cr(VI) [22], así como la utilización de aminas para funcionalizar nanocristales de celulosa en la adsorción de Cr(III) y Cr(VI) [23]. Estas son algunas de las investigaciones que se han efectuado respecto a la funcionalización de la nanocelulosa y la adsorción de cromo.
En el Costa Rica existe gran cantidad de fuentes de celulosa. Los cultivos de piña y palma africana, son 2 de los principales 5 cultivos a nivel nacional en lo que a territorio de siembra respecta. En los últimos años dichos cultivos han aumentado llegando a las 45 000 y 76 910 ha de cultivo de piña y palma africana, respectivamente [24]. Lo anterior ha generado consigo un aumento de los desechos de rastrojo de piña y raquis de palma africana, los cuales se han contabilizado, en cerca de 1,3 millones de toneladas y 55 000 toneladas, respectivamente [25]. Dichos desechos generalmente no poseen tratamiento, lo cual implica la pérdida de gran cantidad de material lignocelulósico, el cual puede ser empleado de otras investigaciones como la producción de nanocelulosa.
Es por ello que el desarrollo de dicho proyecto busca no solo la incorporación de un nuevo método de producción de la nanocelulosa implementando desechos agroindustriales, sino que, persigue la idea de elaborar nuevos sistemas de tratamiento de aguas duras que permitan la recuperación de los contaminantes y su posterior aprovechamiento o tratamiento.
II. Metodología
A. OBTENCIÓN DE NANOCELULOSA
Se extrajeron fibras de celulosa a partir de 2 fuentes de biomasa: Rastrojo de piña y Raquis de palma africana. La biomasa se secó, molió y tamizó con una malla de 0,5 mm de diámetro de poro.
Se realizó una degradación básica para ambas biomasas por separado, con NaOH al 2% y una proporción de 50 mL de reactivo por cada gramo de biomasa. Se llevó a un sistema de autoclave hasta 136 kPa durante 30 minutos, tras los cuales se realizaron lavados con agua e hipoclorito de sodio.
Para el caso del raquis de palma africana, se generó una degradación ácida con HOAc al 10%, posterior a la degradación básica. Se implementaron 50 mL de reactivo por cada gramo de fibras y se introdujo en una autoclave a 136 kPa por 60 minutos tras los cuales se realizaron lavados con agua.
Posteriormente, las fibras obtenidas a partir de ambas fuentes de biomasa por separado se dispersaron en agua aproximadamente a 2,5 % y se sometió a ruptura en un ultrasónico de alta potencia a una frecuencia de 60 Hz y un período de 15 minutos.
B. FUNCIONALIZACIÓN DE NANOCELULOSA
Para la funcionalización, se utilizó ácido cólico como reactivo funcionalizante en una relación 1:0,7 de nanocelulosa: ácido cólico, utilizando metanol como medio de disolución. La funcionalización se realizó a temperatura ambiente en una plantilla de agitación durante 2 horas tras las cuales se dejó en reposo durante 24 horas. Se centrifugó la nanocelulosa funcionalizada durante un periodo de 6 minutos a 10000 rpm y se hicieron lavados con metanol para eliminar el ácido cólico remanente. Posteriormente, se volvió a dispersar la nanocelulosa funcionalizada en agua y se centrifugó durante 6 minutos a 10000 rpm hasta obtener un gel de nanocelulosa.
C. CARACTERIZACIÓN MICROSCÓPICA Y ESPECTROSCÓPICA
1) Espectroscopia Infrarroja (FTIR)
Para obtener las bandas de los grupos funcionales asociados a los componentes de la fibra, así como ausencia y presencia de lignina se utilizó un equipo Perkin Elmer modelo Frontier FT-IR-ATR, se realizó un escaneo por muestra de 4000 cm-1 a 450 cm-1 sin supresión de atmósfera.
2) Análisis termogravimétrico (ATG)
Se utilizó un equipo ATG, marca TA Instruments, modelo Q5000, con atmósfera inerte utilizando una rampa de calentamiento de 5°C/min desde 25°C hasta 600°C para determinar el porcentaje de nanocelulosa funcionalizada.
3) Microscopía electrónica de barrido (MEB)
Se empleó un microscopio electrónico de barrido HITACHI modelo S3700-N para determinar cambios morfológicos según el tratamiento por medio de micrografías a las fibras.
D. CURVAS DE ADSORCIÓN
1) Análisis estadístico en el proceso de adsorción
Se estudió la influencia de la funcionalización, la agitación y el pH de la disolución de Cr2(SO4)3. Para ello se realizó un diseño factorial 23 para la nanocelulosa obtenida a partir del rastrojo de piña y otro diseño factorial 23 para la nanocelulosa obtenida a partir del raquis de palma africana. Los factores se estudiaron bajo los niveles observados en la Tabla 1.

Para el sistema de adsorción se colocó en beaker de 25 mL, 5 mL de la disolución de Cr2(SO4)3 y 5 mL de la dispersión de nanocelulosa. Por otra parte, las corridas que requerían de agitación se colocaron en una plantilla de agitación a 300 rpm y se mantuvieron en agitación por 1 hora.
Una vez transcurrido el tiempo de adsorción establecido, se centrifugó cada una de las disoluciones de cromo tratadas con nanocelulosa a 10000 rpm por 6 minutos, se tomaron 3 muestras de 0,5 mL de la disolución tratada y se colocaron en microtubos de 2 mL. A cada microtubo se le agregó 0,5 mL de disolución EDTA (ácido etilendiaminotetraacético) 0,0199 mol/L y 0,5 mL de disolución patrón de Cr 200 mg/L. Se sellaron los microtubos y se llevaron a baño de agua a 100 °C durante una hora y luego se dejaron enfriar hasta temperatura ambiente. Se determinó la absorbancia de la muestra a una longitud de onda de 545 nm. La concentración de la disolución después de la adsorción se determinó a partir de curva de calibración, donde se obtuvo de forma indirecta la cantidad de cromo adsorbido por la nanocelulosa, así como la razón de cromo adsorbido entre la cantidad de adsorbente utilizado (mg Cr/g NC).
2) Curvas de adsorción
Las curas de adsorción se efectuaron con base en los resultados del diseño estadístico previo. Para las pruebas de adsorción se colocó en beakers de 25 mL, 5 mL de la disolución de Cr2(SO4)3 a diferentes concentraciones y 5 mL de la dispersión de nanocelulosa.
Una vez transcurrido el tiempo de adsorción establecido, se centrifugó cada una de las disoluciones de cromo tratadas con nanocelulosa a 10000 rpm por 6 minutos, se tomaron 3 muestras de 0,5 mL de la disolución tratada y se efectuó la quelación con EDTA, tal y como se describió con anterioridad. La concentración de la disolución después de la adsorción se determinó a partir de curva de calibración.
III.Resultados y discusión
A. CARACTERIZACIÓN DE LAS FIBRAS
1) Espectroscopia Infrarroja (FTIR)
En la Fig. 1 se pueden observar los espectros característicos de las celulosas antes del proceso de funcionalización. En dichos espectros se divisa la presencia de bandas características de holocelulosa, como el pico fuerte y amplio alrededor de los 3300 cm-1, el cual es un estiramiento asociado con la vibración del enlace de hidrógeno de los grupos hidroxilo en holocelulosa; así como el pico a 1030 cm-1 característico del enlace simple C-O, vibración de estiramiento que pertenece a los polisacáridos en la celulosa [26]. Por otra parte, en el intervalo entre los 2000 cm-1 a los 1200 cm-1, se pueden encontrar bandas demarcadas en azul y verde, que son características de la presencia de holocelulosa y lignina, respectivamente [27]. En ambos espectros se puede notar como a las longitudes de onda características de holocelulosa (azules), los IR presentan bandas que indican la presencia de dicho material, mientras que, a las longitudes de onda demarcadas en verde, no se presentan bandas importantes. Lo anterior demuestra que el material con el que se trabaja está compuesto principalmente por materia holocelulósico, el cual es el material de interés.

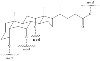
La adsorción de iones por parte de la nanocelulosa se ha atribuido principalmente a la presencia de grupos OH en la estructura de celulosa lo que genera una capa parcialmente electronegativa en la superficie de su estructura y permite la adsorción de cationes metálicos [28]. A partir de lo anterior, se consideró la funcionalización de la nanocelulosa con ácido cólico, el cual, posee una estructura rica en grupos OH, como se observa en la Fig. 2, estos grupos pueden servir no solo como sitios activos para la adsorción de cationes metálicos, también como sitios de enlace con las cadenas poliméricas de celulosa.

El estudio del espectro IR del ácido cólico permite identificar las bandas características de los principales grupos funcionales de dicho reactivo y así poder hacer una comparación con el espectro de las nanocelulosas funcionalizadas. Dicho espectro se caracteriza principalmente por la presencia de picos causados por los grupos OH en el intervalo de los 3583-3022 cm-1, 3 picos de intensidad media en el intervalo de 3000-2800 cm-1 a causa de los enlaces C-H, una banda intensa cerca de 1710 cm-1 causada por la presencia de enlaces C=O del ácido cólico y una serie de bandas a bajas longitudes de onda causados por la presencia de grupos metil y metileno [29].

En la Fig. 3, se observa la espectroscopia infrarroja de un patrón de ácido cólico. En ella se muestran 3 picos característicos de la presencia de grupos OH en el ácido cólico a 3521 cm-1, 3315 cm-1 y 3180 cm-1. Por otra parte, los picos a 2960 cm-1, 2920 cm-1 y 2870 cm-1 se pueden atribuir a los enlaces C-H en el ácido cólico. Y finalmente se puede observar un pico intenso a 1713 cm-1 característico de los enlaces C=O. Por otra parte, para el caso de las nanofibras de celulosa funcionalizadas con ácido cólico, se obtiene el infrarrojo de trasformada de Fourier de la Fig. 4, donde se puede observar cómo las bandas características de la nanocelulosa se ven opacadas por las señales del ácido cólico. Lo anterior se constata gracias a la presencia de las bandas características de los grupos OH, así como de los enlaces C=O y C-H del ácido cólico vistas previamente.

2) Análisis termogravimétrico
La materia vegetal y sobre todo la celulosa, se caracteriza por su afinidad al agua, por lo que es un excelente adsorbente de la misma. Dentro del ensayo termo gravimétrico, el agua presente en la muestra se suele evaporar en el rango de los 32°C y hasta los 115°C [30]. Otras investigaciones consideran un rango más amplio que toma en consideración el agua ocluida en la muestra, por lo cual se extiende hasta los 221°C [31]. Lo que ambas tienen en común es que establecen la temperatura final de pérdida de agua en un rango en donde la curva de la derivada del peso con respecto a la temperatura presenta su punto mínimo. Es decir, donde la pérdida de masa es casi nula.
Al analizar las gráficas de pérdida de masa con respecto al tiempo de las nanocelulosas extraídas a partir de rastrojo de piña, se observó que la tasa mínima de pérdida de masa entre el rango de los 100°C y los 221°C, se da a los 175°C, lo que representa cerca del 3,27% y de 7,41% de humedad para las nanofibras extraídas a partir de rastrojo de piña antes y después de la funcionalización, respectivamente.
Por otra parte, la temperatura de degradación de los polímeros de holocelulosa presentes se han establecido según algunas investigaciones entre los 220°C y los 490°C [32][33]. En el caso de las biomasas estudiadas en la presente investigación, se establece que el porcentaje de holocelulosa en base húmeda de las muestras son de 75,27% y 82,66% para las nanofibras de celulosa extraídas a partir de rastrojo antes y después de la funcionalización, respectivamente. Dicha diferencia en la pérdida de masa entre este intervalo de temperatura se puede evidenciar en la Fig. 5.

Al analizar las gráficas de pérdida de masa con respecto al tiempo de las nanocelulosas extraídas a partir de raquis de palma africana, se observa que la tasa de pérdida de humedad es cerca del 6,03% y de 8,38% para las nanofibras extraídas a partir de raquis de palma africana antes y después de la funcionalización, respectivamente. Además, el porcentaje de holocelulosa en las muestras son de 72,97% y 84,83% para las nanocelulosas antes y después de la funcionalización, respectivamente. Dicha diferencia en la pérdida de masa entre los 220 °C y los 490 °C se puede evidenciar en la Fig. 6.

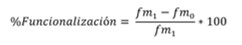
Como se explicó con antelación, los termogramas aplicados a las diferentes fibras vegetales se centran principalmente en la identificación de holocelulosa presente en la muestra. Lo anterior debido a que tanto la celulosa como la hemicelulosa presentan intervalos de degradación similares, por lo que solamente es posible cuantificar holocelulosa. Por otra parte, el ácido cólico (reactivo funcionalizante) también posee un intervalo de degradación similar al de la holocelulosa. Estudios termográficos del ácido cólico apuntan a que el rango de temperaturas específico de degradación de dicho reactivo se encuentra entre los 220°C y los 420°C [29] [34]. Por lo cual no se puede identificar la presencia de ácido cólico por sí sola, pero si es posible cuantificar la presencia de holocelulosa + ácido cólico.
(1)A partir de dicha ecuación y con base en los datos de la Tabla 2, se calculó el porcentaje de funcionalización de las fibras de nanocelulosa, que aparece en la Tabla 3. Como se puede observar en dicha tabla, el porcentaje de funcionalización de las fibras de nanocelulosa extraídas a partir de rastrojo de piña es más del doble en comparación con la otra fuente de biomasa. Ambas biomasas fueron sometidas a degradación y exposición de las fibras, mediante procesos de bajo insumo y bajo requerimiento energético. Por otra parte, la naturaleza de ambas fuentes de biomasa les brinda propiedades diferentes. El raquis de palma africana posee mayor rigidez y dureza en comparación con el rastrojo de piña, lo cual genera que este último tenga una exposición más favorable de las fibras de celulosa, mientras que el raquis de palma africana, al ser más rígido, presenta mayor resistencia a la exposición de las fibras con el tratamiento empleado. Lo anterior se infiere como una de las razones por las cuales los porcentajes de funcionalización varían, ya que la exposición de las fibras de celulosa es un factor importante para que existan regiones dentro de la matriz de celulosa, donde el ácido cólico pueda acoplarse y generar la funcionalización.


3) Microscopía electrónica de barrido
El proceso de funcionalización de las fibras de celulosa, a pesar de mejorar los sitios de adsorción en el material, puede generar cambios en la distribución de las fibras. Durante el proceso de funcionalización, la naturaleza del material funcionalizante puede generar que las nanofibras de celulosa se acoplen entre sí, pudiendo llegar a generar aglomeraciones del material que pueden llegar a afectar el proceso de adsorción.
En la Fig. 7, se puede observar cómo las nanofibras de celulosa sin funcionalizar se distribuyen de forma tal que su macroestructura es de largas microfibras sueltas. Es decir, la distribución del nanomaterial no presentó patrones de enlazamiento de las fibras o de aglomeración entre las mismas. Por otro lado, se puede comprobar que una vez funcionalizadas las fibras de celulosa, no se presentan cambios en dicha distribución. Es decir, el nanomaterial mantuvo su estructura de nanofibras libres sin acoplamiento específico o aglomeración entre ellas.
El mismo análisis se efectúa para las imágenes de la Fig. 8, donde las nanofibras antes y después de la funcionalización no presentan aglomeración o enlace entre las fibras.


4) Ángulo de contacto
Es importante comprender algunos comportamientos y características físicas de los materiales de adsorción con el fin de establecer las condiciones óptimas en las cuales se va a ensayar y evaluar un proceso de adsorción. La celulosa es un material que debido a su polaridad posee una elevada afinidad al agua. Sin embargo, algunas de las diferentes propiedades que tienen los materiales pueden llegar a cambiar cuando estos son llevados a nivel nanométrico. Algunas características como la rigidez, adsorción, la tensión, así como la polaridad superficial puede ser una de ellas.
En la Fig. 9 se pueden observan los ensayos realizados para determinar el ángulo de contacto entre la nanocelulosa y los 3 líquidos seleccionados. El ángulo de contacto obtenido en cada uno de dichos ensayos permitió determinar los valores de tensión superficial asociados a la nanocelulosa, dichos valores se pueden encontrar tabulados en la Tabla 4.


A partir del estudio del ángulo de contacto entre la superficie sólida de la nanocelulosa y los diferentes líquidos, se obtuvieron los componentes de dispersividad y polares de las nanofibras de celulosa estudiadas. Con dichos valores es posible efectuar no solo un análisis cuantitativo de la tensión superficial o el factor de cohesión del material, también es posible obtener conclusiones cualitativas del material como lo es la polaridad superficial [35].
La relación entre el componente polar y la energía superficial total ( /) permite determinar la polaridad superficial de la nanocelulosa. Como se observa en la Tabla 4, los valores de polaridad superficial son menores a 0,5 lo que permite inferir el comportamiento no polar de las nanocelulosas [36]. Finalmente, los valores obtenidos de tensión superficial de las nanocelulosas son similares en magnitud, tal y como se puede observar en el Tabla 4, por lo que es posible inferir que el nivel de polaridad del material se desliga del tipo de fuente de celulosa del que procede.
También se realizaron ensayos de ángulo de contacto para las nanocelulosas funcionalizadas con ácido cólico, sin embargo, no resultaron ser ensayos de análisis cuantitativo, debido a que las diferentes gotas de líquidos de distintas polaridades fueron absorbidas por la superficie de cada una de las nanocelulosas funcionalizadas. Lo anterior permite inferir que la funcionalización genera un cambio parcial en la polaridad de la nanocelulosa, generando un material anfifilico, lo cual ocasiona que esta tenga un espectro más amplio de polaridad. Esto ocasiona que pueden existir secciones con mayor afinidad a los líquidos polares y otras más afines a los líquidos no polares.
A partir de lo anterior es que se decide efectuar un análisis de adsorción implementando nanocelulosa en dispersión y no como una membrana filtrante. Esto debido a que por las propiedades apolares de la nanocelulosa sin funcionalizar, la interacción solido-líquido se vería afectada. Dicha afectación generaría que la comparación de la efectividad de adsorción entre la nanocelulosa sin funcionalizar y funcionalizada, se vea alterada a causa de las condiciones de análisis.
B. ANÁLISIS ESTADÍSTICO PARA EL SISTEMA DE ADSORCIÓN
1. Adsorción con nanocelulosa obtenida a partir de rastrojo de piña
Del diseño factorial, se determinó que el tipo de nanocelulosa utilizada como adsorbente, así como el nivel de pH de la disolución son factores que influyen de forma significativa en la adsorción de cromo. Dicho análisis se obtiene a partir del estudio del diagrama de Pareto que se presenta en la Fig. 10, en donde se analizan los factores que intervienen en la adsorción de cromo implementando nanocelulosa extraída a partir de rastrojo de piña. La interacción entre dichos factores también es significativa por lo que el estudio de dicha interacción es de sumo interés para poder comprender bajo qué condiciones se deben realizar las adsorciones.
Debido a que el estudio de las interacciones entre los factores es de mayor importancia que el estudio de los factores por separado cuando estos son significativos, es que se estudia el gráfico de la interacción significativa en vez de los efectos por separado.

Si se analiza la Fig. 11, es posible observar cómo para la interacción entre el tipo de nanocelulosa y el pH, la adsorción se ve favorecida de forma significativa a pH con nivel alto (pH=4,85) y un nivel bajo de tipo de nanocelulosa (nanocelulosa sin funcionalizar).
Por otra parte, el factor “C” (agitación) no resultó significativo en el proceso de adsorción. Lo anterior permite que las condiciones de agitación sean elegidas de forma conveniente por lo que se establece un nivel bajo del factor “C”, ya que no implica la utilización de equipo adicional (sistema de agitación). Finalmente, según el análisis tanto estadístico como de la información aportada por el mismo, se elige un sistema de adsorción de la disolución de Cr2(SO4)3 a un pH de 4,85, implementando nanocelulosa sin funcionalizar extraída a partir de rastrojo de piña y en un medio sin agitación en donde la nanocelulosa se mantenga en suspensión.

2. Adsorción con nanocelulosa obtenida a partir de raquis de palma africana.
Al estudiar los resultados obtenidos para el diseño factorial, se obtuvo el diagrama de Pareto de la Fig. 12, de donde se puede observar cómo el sistema de adsorción con nanocelulosa obtenida a partir de raquis de palma africana ve alterada su tasa de adsorción con la variación de los factores “A” y “B”. Es decir que el pH y el tipo de nanocelulosa utilizada son factores que afectan el proceso de adsorción de cromo. Sin embargo, en esta ocasión la interacción entre estos factores no es significativa por lo que se realiza el estudio de los factores por separado.

Si se observa la Fig. 13, tanto el nivel alto de pH (pH=4,85) así como el nivel alto del tipo de nanocelulosa (Nanocelulosa funcionalizada) favorecen de forma significativa el proceso de adsorción, por lo que se establecen dichos niveles para realizar la adsorción de cromo.

Por otro lado, el factor “C” (agitación) no resultó significativo por lo que se decide implementar el sistema en reposo para realizar las curvas de adsorción, ya que no implica la utilización de equipo adicional (sistema de agitación) por tiempo prolongado. Finalmente, según el análisis tanto estadístico como de la información aportada por el mismo, se elige un sistema de adsorción de la disolución de Cr2(SO4)3 a un pH de 4,85, que implemente nanocelulosa extraída a partir de raquis de palma africana, funcionalizada con ácido cólico y en un medio sin agitación en donde la nanocelulosa se mantenga en suspensión.
C. ISOTERMAS DE ADSORCIÓN
Las curvas de adsorción se efectuaron según las condiciones establecidas a partir del diseño estadístico. Los diferentes datos de equilibrio de adsorción obtenidos fueron graficados y sometidos a ajuste de los modelos de Langmuir, Freundlich y Sips.
Los modelos de Freundlich y Langmuir, son de los principales modelos utilizados para describir de forma teórica diversos procesos de adsorción. El modelo de Sips por su parte, es un modelo empírico de uso muy común en la determinación del comportamiento de adsorción de metales pesados implementando nanocelulosa como adsorbente [37][38][39]. Dicho modelo es una combinación entre el modelo de Langmuir (Ecuación (2)) y el modelo de Freundlich (Ecuación (3)).
(2)
(3)En la Tabla 5 se puede observar el valor de las diferentes constantes obtenidas para el sistema de adsorción de cromo (III) utilizando nanocelulosa extraída a partir de rastrojo de piña. En dicho cuadro se puede observar cómo los datos de equilibrio de adsorción obtenidos experimentalmente se ajustan de una mejor manera a la Isoterma de Sips, seguido por el ajuste de la Isoterma de Freundlich. Lo anterior se asevera gracias al valor del coeficiente de correlación que aparece en dicha tabla. Por su parte si se analiza la Tabla 5, se puede observar cómo el comportamiento de mejor ajuste es el mismo para la nanocelulosa extraída a partir de raquis de palma africana y funcionalizada con ácido cólico.
El modelo de Sips, al ser un modelo derivado de otros 2 modelos, toma ciertas propiedades de los mismos y con sigo es capaz de predecir ciertas características del adsorbente y de la interacción entre este y el adsortivo como lo hacen los modelos de Freundlich y Langmuir. En el caso de la Isoterma de Langmuir, este modelo asume que las adsorciones se efectúan en una superficie de capa homogénea, pero la mayoría de los nanoadsorbentes son de superficie heterogénea [40]. Dicho lo anterior, cobra sentido el hecho de que la isoterma de Langmuir no se ajuste tan bien como lo hacen otros modelos, tal y como se observa en las Tablas 5 y 6.
Por otro lado, la constante “n” del modelo de Sips al igual que la constante “n” del modelo de Freundlich, describe la afinidad entre el adsorbente y el adsortivo en donde los valores entre 1 y 10 describen los procesos con mayor afinidad. Sin embargo, en el modelo de Sips, a diferencia del modelo de Freundlich, también describe la heterogeneidad de la matriz de forma tal que entre más elevado es dicho valor, más heterogéneo es el adsorbente y cuando este toma valor de 1, la ecuación de Sips se transforma en la Ecuación de Langmuir y describe el comportamiento de un adsorbente de capa homogénea [41]. Dicho comportamiento se puede observar al analizar la Ecuación del modelo de Sips.
(4)


Se puede observar que los valores de la constante n para el modelo de Sips es mayor en el caso de las adsorciones realizadas con nanocelulosa extraída a partir de raquis de palma africana que para la nanocelulosa extraída a partir de rastrojo de piña. Lo anterior se podría acreditar precisamente a la diferencia de heterogeneidad de las nanocelulosas evaluadas, debido a que la nanocelulosa de raquis de palma africana que se utilizó en el proceso de adsorción se encontraba funcionalizada con ácido cólico, lo que puede generar una mayor heterogeneidad en la superficie del nanoadsorbente.
Al observar la Fig. 14 y Fig. 15, se puede notar el acoplamiento entre el modelo seleccionado y los valores de equilibrio encontrados en la práctica. En ambos casos se obtuvieron de forma experimental los valores de carga máxima, los cuales fueron de 8,602 mg/g en el caso de la nanocelulosa de rastrojo de piña y 5,630 mg/g para la nanocelulosa funcionalizada con ácido cólico, extraída a partir de raquis de palma africana. Ambos datos por encima de 2,88 mg/g, el cual es el valor de carga de adsorción máxima obtenido por [23], donde implementa nanocelulosa funcionalizada para la adsorción de Cr(III). Dichos valores también superan la carga máxima de adsorción de Cr(VI) reportado por otras investigaciones [21][22]. Lo anterior permite demostrar que la nanocelulosa tanto funcionalizada como sin funcionalizar, es efectiva en el tratamiento de las aguas residuales del proceso de curtido de cuero, por lo que se podría implementar como una etapa terciaria del tren de tratamiento de las aguas residuales.


IV. Conclusiones
Con el presente artículo se evidencia que el ácido cólico puede funcionar como reactivo funcionalizante en las nanofibras de celulosa, además se observa, que dicho nanomaterial funcionalizado, es capaz de adsorber iones de cromo (III). Gracias a esta investigación se obtiene información valiosa de cómo diferentes parámetros como la naturaleza de la biomasa utilizada, el pretratamiento al que fue sometida y el porcentaje de funcionalización, interfieren en la adsorción.
Se determina que el pretratamiento de las fibras puede influir en el porcentaje de funcionalización del nanomaterial, que para esta investigación fue de 12,85 % y 4,92% para las fibras extraídas a partir de rastrojo de piña y raquis de palma africana, respectivamente.
Por otro lado, se logra identificar que la funcionalización genera un cambio en las características polares del nanomaterial, en donde el ácido cólico contribuye en la formación de una superficie anfifílica del material seco. Lo anterior mejora la interacción entre el agua y la nanocelulosa funcionalizada, por lo que amplía la aplicabilidad de dicho material a nivel investigativo, ya que brinda propiedades diferentes a las de la nanocelulosa sin funcionalizar.
De igual forma, se establece que gracias a las propiedades de defloculación que posee la nanocelulosa, existe una elevada superficie de contacto entre el adsorbente y el medio de dispersión del ion metálico, durante todo el ensayo de adsorción, lo cual genera que la agitación no tenga efecto significativo sobre la afectividad de la adsorción y por ende pueda ser despreciable.
Dentro del estudio de la adsorción se ha logrado establecer que el grado de funcionalización influye en las capacidades de adsorción del material, ocasionando que la funcionalización con ácido cólico no genere valor agregado en el proceso de retención de iones metálicos.
Se logra comprobar que el modelo de Sips genera un mejor modelaje de las isotermas de adsorción, tanto para el nanomaterial funcionalizado, como sin funcionalizar. Es decir, que con dicho modelo es posible describir las isotermas de adsorción implementando nanocelulosa cristalina, como lo hacen otras investigaciones, y nanofibras de celulosa como se presenta en esta investigación.
En general, se obtiene un nuevo nanomaterial funcionalizado, cuya efectividad en el proceso de adsorción permite abrir la posibilidad de probar dicho material en la adsorción de otros iones metálicos, cuyas propiedades y cargas iónicas pueden afectar la taza de adsorción y saturación.
Referencias
[1] C. Cummins y M. Morris, “Using block copolymers as infiltration sites for development of future nanoelectronic devices: Achievements, barriers, and opportunities,” Microelectronic Engineering, vol. 195, pp. 74-85, 2018.
[2] D. D. Dixit, A. Pattamatta, “Effect of uniform external magnetic-field on natural convection heat transfer in a cubical cavity filled with magnetic nano-dispersion,” International Journal of Heat and Mass Transfer, vol. 146, January, 2020.
[3] X. Zhang, D. Meng y Z. Tang, “Preparation of radial ZnSe-CdS nano-heterojunctions through atomic layer deposition method and their optoelectronic applications,” Journal of Alloys and Compounds, vol. 777, pp. 102-108, 2019.
[4] M. S. Amjad, N. Sadiq, H. Qureshi, G. Fareed y S. Sabir, “Nano particles: An emerging tool in biomedicine,” Asian Pacific Journal of Tropical Disease, vol. 5, pp. 767-771, 2015.
[5] J. Francis y P. A. Michael, “Investigation of micro/nano motors based on renewable energy sources,” Materials Today: Proceedings, 2019.
[6] X. Yan, C. Yi, Y. Wang y W. Cao, “Multi-catalysis of nano-zinc oxide for bisphenol A degradation in a dielectric barrier discharge plasma system: Effect and mechanism,” Separation and Purification Technology, vol. 231, January 2020.
[7] C. M. Hussain, Handbook of Nanomaterials for Industrial Applications, Elsevier, 2018.
[8] M. Maliha, M. Herdman, R. Brammananth y M. McDonald, “Bismuth phosphinate incorporated nanocellulose sheets with antimicrobial and barrier properties for packaging applications,” Journal of Cleaner Production, 2019.
[9] J. Luo, K. Huang, X. Zhou y Y. Xu, “Hybrid films based on holistic celery nanocellulose and lignin/hemicellulose with enhanced mechanical properties and dye removal,” International Journal of Biological Macromolecules, vol. 147, pp. 699-705 2020.
[10] Q. Zhang, L. Zhang, W. Wu y H. Xiao, “Methods and applications of nanocellulose loaded with inorganic nanomaterials: A review,” Carbohydrate Polymers, vol. 229, 2020.
[11] S. Hokkanen, E. Repo, L. Westholm, S. Lou, T. Sainio y M. Silanpaa, “Adsorption of Ni2+, Cd2+, PO3- and NO3- from aqueous solutions by nanostructured microfibrillated cellulose modified with carbonated hydroxyapatite,” Chem. Eng. J., vol. 252, pp. 64-74, 2014.
[12] N. Najib y C. Christodoulatos, “Removal of arsenic using functionalized cellulose nanofibrils from aqueous solutions,” Journal of Hazardous Materials, vol. 367, pp. 256-266, 2019.
[13] K. Xie, L. Jing, W. Zhao y Y. Zhang, “Adsorption removal of Cu2+ and Ni2+ from waste water using nano-cellulose hybrids containing reactive polyhedral oligomeric silsesquioxanes,” J. Appl. Polym. Sci., vol. 122, pp. 2864-2868, 2011.
[14] X. Yu, S. Tong, M. Ge, L. Wu, J. Zuo, C. Cao y W. Song, “Adsorption of heavy metal ions from aqueous solution by carboxylated cellulose nanocrystals,” J. Appl. Polym. Sci., vol. 25, nº 5, pp. 933 - 943, 2013.
[15] T. Anirudhan, J. Deepa y J. Christa, “Nanocellulose/nanobentonite composite anchored with multi-carboxyl functional groups as an adsorbent for the effective removal of Cobalt(II) from nuclear industry wastewater samples,” J. Colloid Interface Sci., vol. 467, pp. 307-320, 2016.
[16] S. Kamel, “Nanotechnology and its applications in lignocellulosic composites, a mini review,” Polym lett, vol. 1, nº 9, pp. 546–575, 2007.
[17] G. Cui, M. L. a. Y. Chen, W. Zhang y J. Zhao, “Synthesis of a ferric hydroxide-coated cellulose nanofiber hybrid for effective removal of phosphate from wastewater,” Carbohydrate Polymers, pp. 40-47, 2016.
[18] S. Tural, M. Ece y B. Tural, “Synthesis of novel magnetic nano-sorbent functionalized with N-methyl-D-glucamine by click chemistry and removal of boron with magnetic separation method,” Ecotoxicol. Environ. Saf., vol. 162, pp. 245-252, 2018.
[19] B. Huang, Y. Liu, S. B. Lic y G. Zeng, “Effect of Cu (II) ions on the enhancement of tetracycline adsorption by Fe.O.@SiO.-Chitosan/Graphene oxide nanocomposite,” Carbohydr. Polym., vol. 157, pp. 576-585, 2016.
[20] P. Liu, P. F. Borrell, M. Božič y V. Kokol, “Nanocelluloses and their phosphorylated derivatives for selective adsorption of Ag., Cu2+ and Fe3+ from industrial effluents,” Journal of Hazardous Materials, vol. 294, pp. 177-185, 2015.
[21] S. Hokkanen, A. Bhatnagar, E. Repo, S. Lou y M. Sillanpää, “Calcium hydroxyapatite microfibrillated cellulose composite as a potential adsorbent for the removal of Cr (VI) from aqueous solution,” Chemical Engineering Journal, vol. 283, pp. 445-452, 2016.
[22] X. He, L. Cheng, Y. Wang, J. Zhao, W. Zhang y C. Lu, “Aerogels from quarternary ammonium-functionalized cellulose nanofibers for rapid removal of Cr(VI) from water.,” Carbohydr. Polym., vol. 111, pp. 683–687, 2014.
[23] K. Singh, J. Arora, T. Sinha y S. Srivastava, “Functionalization of nanocrystalline cellulose for decontamination of Cr (III) and Cr (IV) from aqueous system: computational modelling approach.,” Clean Technol. Environ. Policy, vol. 16, pp. 1179–1191, 2014.
[24] S. M. Ramírez, “Boletín Estadístico Agropecuario,” Secretaría Ejecutiva de Planificación Sectorial Agropecuaria, San José, Costa Rica, 2019.
[25] P. B. Picado, “Universidad de Costa Rica,” CICA. http://cica.ucr.ac.cr/?p=5925 (accesed March, 2019)
[26] S. Amroune, A. Bezazi, A. Belaadi, C. Zhu, F. Scarpa y S. Rahatekar, “Tensile mechanical properties and surface chemical sensitivity of technical fibres from date palm fruit branches (Phoenix dactylifera L.). Composites Part A,” Applied Science and Manufacturing, pp. 98-106, 2014.
[27] R. B. Saravanakumar y A. Kumaravel, “Characterization of a novel natural cellulosic fiber from Prosopis juliflora bark,” Carbohydrate Polymers, pp. 1928-1933, 2013
[28] A. Kardam, K. R. Raj, S. Srivastava y M. M. Srivastava, “Nanocellulose fibers for biosorption of cadmium, nickel, and lead ions from aqueous solution,” Clean Techn Environ Policy, vol. 16, pp. 385–393, 2014.
[29] L. M. Suta, G. V. a. A. Ledeti y T. Vlase, “Solid-State Thermal Behaviour of Cholic Acid,” Rev. Chim., vol. 67, nº 2, pp. 329-331, 2016.
[30] A. Ahmad, H. Ahmad y A.-K. Khalifa, “Characterization of treated date palm tree fiber as composite,” Composites: Part B, vol. 40, pp. 601-606, 2009.
[31] A. Martina, M. A. Martins, O. d. Silva y L. Mattoso, “Studies on the thermal properties of sisal fiber and its constituents,” Thermochimica Acta, vol. 506, pp. 14-19, 2010.
[32] V. Fiore, T. Scalici y A. Valenza, “Characterization of a new natural fiber from Arundo donax L. as potential reinforcement of polymer composites,” Carbohydrate Polymers, vol. 106, pp. 77-83, 2014.
[33] R. Baskaran, A. Kumaravel, T. Nagarajan, P. Sudhakar y S. Saravanakumar, “Characterization of a novel natural cellulosic fiber from Prosopis juliflora bark,” Carbohydrate Polymers, vol. 92, pp. 1928-1933, 2013.
[34] N. Shopova y T. Milkova, “Thermochemical decomposition of cholic acid and its derivatives,” Thermochimica Acta, vol. 255, pp. 211-220, 1995.
[35] J. C. V. Oss y K. M. Chaudhury, “Interfacial Lifshitz-van der Waals and Polar Interactions in Macroscopic Systems,” Dow Corning Corporation, 1988.
[36] S. Dos-Santos y D. Goncalves, “Cambios en la mojabilidad en superficies de maderas tratadas térmicamente: Angulo de contacto y energía libre superficial,” Maderas, Cienc. tecnol., vol. 18, nº 2, 2016.
[37] S. Hokkanen, E. Repo y M. Sillanpää, “Removal of heavy metals from aqueous solutions by succinic anhydride modified mercerized nanocellulose,” Chem. Eng. J., vol. 213, pp. 40-47, 2013.
[38] L. Jin, Q. Sun, Q. Xu y Y. Xu, “Adsorptive removal of anionic dyes from aqueous solutions using microgel based on nanocellulose and polyvinylamine,” Bioresour. Technol., vol. 197, pp. 348-355, 2015.
[39] T. Anirudhan y F. Shainy, “Adsorption behavior of 2-mercaptobenzamide modified itaconic acid-grafted-magnetite nanocellulose composite for cadmium(II) from aqueous solutions,” J. Ind. Eng. Chem., vol. 32, pp. 157-166, 2015.
[40] K. Yang, X. Wang, L. Zhu y B. Xing, “Competitive Sorption of Pyrene, Phenanthrene, and Naphthalene on Multiwalled Carbon Nanotubes,” Environ. Sci. Technol, vol. 40, nº 18, pp. 5804–5810, 2006.
[41] J. N. Putro, A. Kurniawan, S. Ismadji y Y.-H. Ju, “Nanocellulose based biosorbents for wastewater treatment: Study of isotherm, kinetic, thermodynamic and reusability,” Environmental Nanotechnology, Monitoring & Management, vol. 8, pp. 134-149, 2017.