Nuevo arreglo experimental de la técnica columna de longitud cero para la separación de olefinas y parafinas en tamices moleculares
New configuration of the zero-length column technique to determine the diffusion coefficients and isotherms of pure components and mixtures in molecular sieves
Nuevo arreglo experimental de la técnica columna de longitud cero para la separación de olefinas y parafinas en tamices moleculares
Científica, vol. 26, núm. 1, pp. 1-12, 2022
Instituto Politécnico Nacional
Recepción: 27/09/2021
Aprobación: 10/12/2021
Resumen: Se desarrolló una nueva configuración de la técnica columna de longitud cero (ZLC), que permite utilizar las diferentes variantes de cromatografía para determinar de forma rápida los coeficientes de difusión e isotermas de componentes puros y mezclas en tamices moleculares. El innovador diseño permite realizar todos los estudios en una sola muestra facilitando el uso de los parámetros en modelos teóricos o simulaciones moleculares. Una de las características clave del nuevo sistema es que es posible llevar a cabo el proceso de adsorción y separación de olefinas y parafinas mediante el uso de 5 a 15 mg de adsorbente. Por medio de dos detectores de ionización de llama es posible determinar la composición a la salida de ambas columnas y estudiar los perfiles de desorción. A través de dos válvulas de 4 y 6 vías que se comunican con dos pares de controladores de flujo másico, se diseñó una configuración para mediciones cinéticas y al equilibrio. Mediante la ayuda del software LabVIEW y las tarjetas DAQ se gestionó todo el proceso experimental. La nueva configuración de ZLC se aplicó para estudiar la adsorción y separación de CH. y C.H. en la zeolita 5A, con los cuales se validó la nueva configuración experimental.
Palabras clave: columna de longitud cero, difusión, separación de hidrocarburos.
Abstract: A new configuration of the zero-length column (ZLC) technique was developed, which allows the use of different chromatography variants to quickly determine the diffusion coefficients and isotherms of pure components and mixtures in molecular sieves. The innovative design allows all studies to be performed on a single sample, facilitating the use of the parameters in theoretical models or molecular simulations. One of the key features of the new system is that it is possible to carry out the adsorption and separation process of olefins and paraffin using 5 to 15 mg of the adsorbent. By means of two flame ionization detectors, it is possible to determine the composition at the outlet of both columns and to study the desorption profiles. Through two 4- and 6-way valves communicating with two pairs of mass flow controllers, a configuration for kinetic and equilibrium measurements was designed. With the help of LabVIEW software and DAQ cards, the whole experimental process was managed. The new ZLC setup was applied to study the adsorption and separation of CH. and C.H. on zeolite 5A, with which the new experimental setup was validated.
Keywords: zero-length column, diffusion, hydrocarbon separation.
I. Introducción
Los procesos de separación de mezclas gaseosas se encuentran entre las operaciones más importantes en la industria petroquímica [1]. Para obtener componentes de alta pureza, la tecnología de separación más avanzada es la destilación criogénica [2]. Sin embargo, este proceso consume grandes cantidades de energía y requiere altos costos de inversión [3], [4]. Se han propuesto otros métodos de separación que son menos agresivos al medio ambiente, fáciles de implementar y con bajos costos de operación [5], [6]. Una de estas alternativas es la separación adsortiva, que se basa en materiales porosos, en forma de tamices moleculares o como soporte de especies con interacciones específicas con los adsorbatos [7], los cuales han mostrado un enorme potencial en la separación de olefinas y parafinas [8].
En principio, la separación adsortiva se puede conseguir basándose en diferencias tanto en las interacciones adsorbato-adsorbente, (selectividad de equilibrio) como en la razón de adsorción (selectividad cinética). En consecuencia, es necesario el estudio y selección de nuevos tamices moleculares en función de su selectividad. Existe un gran número de técnicas analíticas que permiten determinar experimentalmente las características de los tamices, las más sobresalientes son los volumétricos y gravimétricos [9]. En general, dichas técnicas son precisas, pero siguen siendo costosas ya que requieren de un mayor tiempo de prueba y, en consecuencia, de una mayor cantidad de muestra para su estudio [10].
Una de las técnicas que posee la mejor relación costo/precisión y que permite realizar un mayor número de experimentos por unidad de tiempo es la cromatografía en columna de longitud cero (ZLC) [11], [12]. En esta investigación se propuso el desarrollo de una nueva instalación semiautomatizada que permite estudiar el equilibrio y la cinética de adsorción de mezclas de interés mediante tamices moleculares. Una de las características de esta nueva instalación es que es posible estudiar los procesos de difusión y las isotermas de adsorción de componentes puros y mezclas en una sola medición y sin necesidad de utilizar equipos muy sofisticados. Por otro lado, el uso de pequeñas cantidades de adsorbente (2 a 15 mg) facilita el desarrollo y prueba de nuevos adsorbentes a menor costo, lo que es una pieza clave de la nueva instalación experimental (ieZLC).
En este trabajo se presenta la implementación de la ieZLC (hardware y software) y se estudiará el proceso de separación de metano y etano, que son los componentes principales del gas natural [13]. El gas natural es un combustible fósil y su composición es muy variable, ya que su composición depende de la fuente de yacimiento. Generalmente está compuesto de metano CH4 (30-90%) y otros hidrocarburos ligeros, como etano y propano, así como de otros hidrocarburos más pesados [14]. La importancia de la separación de etano contenido en el gas natural se debe a que el etano es una materia prima importante para la industria petroquímica, a partir de ella se obtiene productos como el etileno y otros derivados [15]. Por otra parte, la extracción de etano es importante para controlar el punto de rocío y el índice de Woobe del gas natural, propiedades que son importantes para su transporte en gasoductos [16].
II. Materiales y métodos para operar la ieZLC
A. Hardware de la ieZLC
Las isotermas de adsorción y los coeficientes de difusión en este trabajo se llevaron a cabo mediante el sistema semiautomático que se muestra en la Fig. 1. El componente principal de la nueva instalación ieZLC es la columna de longitud cero (véase Fig.3), la cual se alimenta con la composición de un gas puro (adsorbato), o con la mezcla de diferentes gases y con un gas portador (helio). Esta alimentación se lleva a cabo a través de una válvula selectora de 4 vías (FSV-4) de flujo estándar, que funciona mediante dos posiciones y es operable hasta 250ºC [17]. El control de los flujos que se entregan a la válvula se realiza por medio de controladores de flujo másico (MFC), modelo Z-500 de la compañía Horiba [18].
Para garantizar condiciones isotérmicas durante el proceso experimental, la ZLC y la válvula FSV-4 son ubicadas dentro del horno del cromatógrafo de gases (modelo GC-8A, Shimadzu), el cual es operable a una temperatura máxima de 400ºC. La obtención de las curvas de desorción para gases puros y, en consecuencia, el coeficiente de difusión y las isotermas de adsorción, se obtienen por medio de un detector de ionización de llama (FID-1), el cual monitorea una corriente de salida del orden de 10-12 A. Esta corriente es originada por los iones producidos por la pirolización de los gases a la salida de la ZLC. Para llevar a cabo la adsorción se debe primero desgasificar el adsorbente, posteriormente este se equilibra con el gas de prueba. Una vez que se alcanza el equilibrio, en el momento cero de la desorción el flujo de entrada se cambia a gas de purga. Para obtener la curva virgen de desorción es necesario monitorear la composición a la salida del detector FID-1 hasta cierto tiempo definido en la ieZLC.

En el diseño tradicional de ZLC un espectrómetro de masas es conectado a la salida de un detector (FID-1), de esta forma se determinan las composiciones de los gases y se obtienen las isotermas de mezclas. En este nuevo diseño, para conocer la composición del efluente, se reemplazó el espectrómetro de masas por una columna de separación semicapilar (SSC) ubicada dentro del Horno-GC y conectada a un segundo detector (FID-2). Para ello, se utilizó una válvula de 6 vías con dos posiciones (FSV-6). En la posición A de la FSV-6, parte del efluente de la ZLC carga un bucle y luego en la posición B se descarga el bucle en la columna de separación SSC. Una vez que la corriente de gas efluente pasa por la columna de separación, se suministra una corriente de gas portador inerte, el cual se introduce mediante un lazo cerrado de tubería (véase Fig. 1).
El horno cuenta con una etapa de acondicionamiento de señal que consiste en un amplificador de alta impedancia con ganancia seleccionable (G = 1, 101, 102, 103 y 104) y desplazamiento de nivel. Sin embargo, esta etapa dedica a un solo detector. Así que, para obtener la señal de ambos detectores al mismo tiempo, se incorporó una segunda etapa de acondicionamiento y de esta forma fue posible determinar tanto los coeficientes de difusión como las isotermas para componentes puros y mezclas.
Para optimizar todo el proceso experimental, se propuso el uso de dispositivos electromecánicos (MFC y las FSV), que se pueden configurar/monitorear vía remota a través de señales de voltaje analógicas y digitales, respectivamente. En consecuencia, se ha propuesto utilizar una tarjeta de adquisición de datos (DAQ) USB-6212 de la empresa National Instruments, que cuenta con entradas/salidas analógicas y digitales para la manipulación y monitoreo del conjunto de dispositivos y detectores electromecánicos. La manipulación de la tarjeta DAQ se lleva a cabo por medio de una interfaz gráfica de usuario desarrollada en LabVIEW, simultáneamente se gestiona el proceso experimental y el análisis/cálculo de los parámetros a partir del modelo matemático que se ha incorporado en la misma aplicación.
B. Modelo matemático para el análisis de experimentos en la ieZLC
El modelo matemático utilizado para describir el sistema ZLC se basa en la segunda ley de difusión de Fick, que describe el balance de masa en partículas esféricas [19]. Además, también se considera el balance de masa del componente adsorbente en la fase fluida. Estos dos balances de masa deben resolverse simultáneamente para derivar la curva de desorción. En este modelo, se asume que el sistema está en condiciones isotérmicas, las partículas son esféricas y la columna ZLC es una celda bien mezclada [11]. Ecuación de solución analítica para el sistema ZLC:
(1)donde son dados por las raíces de
(2)
(3)En estas ecuaciones, C es la concentración en cualquier tiempo t, C0 es la concentración inicial, F es el caudal de purga, Vs es el volumen sólido, K es la constante adimensional de la ley de Henry, Dc el coeficiente de difusión y R es el radio de las partículas (L y β son los parámetros adimensionales). L representa la relación entre el tiempo de difusión y el tiempo de desorción convectiva [20]. Este parámetro nos permite entender si el sistema está controlado por equilibrio (valores pequeños de L, L < 1), o cinéticamente (valores grandes de L, L > 10) [21].
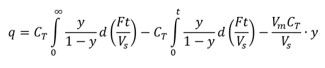
Para sistemas no lineales o componentes fuertemente adsorbidos, en condiciones de equilibrio, cada punto de la curva de desorción es un punto de equilibrio en la isoterma [20], [21]. La expresión resultante para la cantidad adsorbida total viene dada por:
(4)donde F es el caudal del gas portador, y es la fracción molar de sorbato en la fase gaseosa, y CT es la concentración total en la fase gaseosa.
C. Software de la ieZLC
La interfaz gráfica de usuario desarrollada en el ambiente de programación gráfica de LabVIEW en conjunto con la tarjeta DAQ, ambos de National Instruments, fue diseñada para gestionar todo el proceso experimental de la ieZLC, desde la configuración de los parámetros de medición hasta el cómputo de las curvas y parámetros de difusión e isotermas de adsorción. En la Fig. 2 se muestra la interfaz gráfica de usuario desarrollada para la ieZLC.

Las secciones que conforman el panel frontal de la interfaz gráfica de usuario y las funciones que desempeña internamente el software son:
1) Selección de materiales: se define el tamiz molecular, los gases de estudio y el gas portador (He).
2) a) Selección de la rutina de adsorción: para gases puros o mezclas, b) Configuración de la rutina de los flujos másicos: activación, equilibrio y proceso de desorción c) Configuración de las presiones: se controla la presión de los gases puros, mezclas y del gas portador, y d) Configuración de la temperatura del Horno-GC.
3) Especificación de ruta de almacenamiento de parámetros de medición y de las mediciones de los detectores FID.
4) Selección de la rutina de trabajo: a) Proceso de activación del tamiz molecular, b) Proceso de equilibrio del adsorbente y c) Proceso de desorción de forma continua o por un determinado tiempo.
5) Adquisición y almacenamiento de la señal del detector FID: adquisición en tiempo real de los datos de las curvas vírgenes y almacenamiento de datos.
6) Cómputo y almacenamiento: cálculo y almacenamiento de los parámetros de adsorción (curvas de desorción, coeficientes de difusión e isotermas).
D. Procedimiento experimental
Para los experimentos de adsorción y difusión en la ieZLC se empleó como tamiz molecular una muestra de zeolita 5A que se obtuvo de Sigma-Aldrich (número CAS 69912-79-4), con fórmula molecular:
CanNa12-2n[(AlO2)12(SiO2)12]·xH2O.
La columna ZLC consta de una unión Swagelok de 1/8 de pulgada (véase Fig. 3). En el que se empaqueta una pequeña cantidad de tamiz molecular, de entre 2 a 15 mg, entre dos discos sinterizados de malla de 100 µm.

Para validar el correcto funcionamiento del sistema ieZLC propuesto, se determinaron las isotermas de adsorción y los coeficientes de difusión de metano (Infra, pureza ultra alta) y etano (Infra, pureza 99: 99%) en zeolita 5A a 298K y 308K, los resultados obtenidos se compararon con los reportados en la literatura. Es importante destacar que esta instalación experimental permite realizar todos los experimentos necesarios sin cambiar de tamiz molecular (zeolita 5A), lo que reduce considerablemente el tiempo de medición ya que se evitan los procesos de desgasificación.
Una vez que se coloca la columna ZLC dentro del Horno-GC, se lleva a cabo la activación del tamiz molecular, desde temperatura ambiente hasta la temperatura de desgasificación, con una velocidad de rampa de 1°C/min, y se activa el tamiz molecular durante 12 h, a un flujo de 5 cm3/min de Helio 6.0 (Praxair, Ultra alta Pureza). Es importante aclarar que este proceso debe realizarse en cada una de las mediciones y cuando se cambien las condiciones experimentales.
Después de la activación, la temperatura del horno se reduce a la temperatura de prueba. Durante el experimento, una pequeña muestra del adsorbente se equilibra con una alimentación conocida de metano o etano según sea el caso (Infra, pureza 99.99%), diluida en una corriente de gas portador inerte (10% CH4 y C2H6 en helio) durante 1 h. En el momento cero, el flujo de entrada se cambia a corriente de helio puro (velocidad de flujo de 10 cm3/min) y la concentración del efluente se monitorea con el detector FID-1. Se utilizó hidrógeno (Infra, pureza 99,99%) y aire (Infra, aire extra seco) para encender el detector.
III. Análisis de resultados
A partir de los datos adquiridos con la tarjeta DAQ provenientes del detector FID-1 se obtuvieron las curvas de desorción del metano y etano a 298 K y 308 K, las cuales se muestran en la Fig. 4 y laFig. 5, respectivamente. De acuerdo con las curvas de desorción, se observa que el metano y etano tienden a difundirse más rápido por los poros de la zeolita a medida que la temperatura aumenta. En la Fig. 4 se observa que la desorción del metano es un proceso más cinético que la desorción del etano (Fig. 5). Esto puede atribuirse al hecho que el metano es una molécula esférica y su diámetro cinético (3.8Å) es más pequeño que el etano (4.4Å) [22]. Los parámetros obtenidos a partir de las curvas de desorción y el software de la ieZLC se resumen en la Tabla 1. Los resultados obtenidos muestran una buena concordancia con los valores reportados de difusividad para parafinas y moléculas pequeñas de gas (1010 m2/s a 10-14 m2/s) en la zeolita 5A [23], [24]. Estos resultados validan el correcto funcionamiento de la nueva instalación de la ieZLC. Las magnitudes de difusividad de etano indican un proceso de transferencia de masa más lenta que la de metano, esto podría deberse a la menor apertura de los poros de la zeolita o a que la velocidad de difusión se vuelve aparentemente más lenta con el aumento del número de carbonos y el aumento del diámetro cinético, lo que provoca que las moléculas tengan menos grados de libertad en sus rotaciones [24].



Las isotermas de adsorción de CH4, C2H6 en zeolita 5A (véase Fig. 6 y Fig. 7) se obtuvieron a partir de las curvas de desorción y la ecuación 4 del modelo matemático de ZLC, el cual está incorporado en el software de la ieZLC. Para ambos gases las isotermas mostraron un comportamiento tipo Langmuir. Se observó que la capacidad de adsorción disminuye a medida que la temperatura aumenta. Tanto a 298 K como a 308 K, la carga de equilibrio de etano es más alta que la de metano, esto podría deberse a una mayor polarización de las moléculas de etano y a las interacciones más fuertes con la naturaleza polar de la zeolita 5A. La cantidad adsorbida (q) de metano y etano obtenidos en este trabajo mediante la técnica de ZLC coincide con los resultados reportados en la literatura [25], [26], [27]. Sin embargo, las pequeñas discrepancias pueden deberse a los diferentes métodos de síntesis para obtener la zeolita 5A, estos cambios pueden ocasionar diferentes distribuciones de tamaño de partículas y composición de defectos de red. A su vez, pequeños cambios en la relación de los cationes (Na+ y Ca2+) dentro del mismo tipo de tamiz molecular podrían producir un rendimiento de adsorción diferente al informado [28], [29]. En este trabajo se hizo un ajuste a las isotermas de adsorción con el modelo Langmuir-Freundlich. La tabla II compila las constantes de adsorción de los modelos de isotermas experimentales y del modelo teórico. Los parámetros de isoterma se estimaron utilizando el algoritmo de mínimos cuadrados no lineales implementado en el programa OriginPro Versión 8.6 32 Bit. Está claro que este modelo de isoterma de Langmuir-Freundlich se ajustó bastante bien a los datos de equilibrio tanto para etano como para etileno (R2 alto).



A. Adsorción binaria
Para la determinación de las isotermas de mezclas fue necesario conocer la composición de la corriente del efluente. Para lograrlo se integró en la ieZLC una válvula de 6 vías y una columna de separación. En el momento cero, los flujos se cambiaron a He puro, y las fracciones molares de ambos componentes en la corriente del efluente se controlaron continuamente para producir las curvas de desorción. Mediante el FID-1 fue posible obtener la curva de desorción de la mezcla y mediante el FID-2 se logró seguir la composición de los componentes. En la Fig. 8A se observa la isoterma de mezcla, y en la Fig. 8B se muestra el cromatograma para metano y etano. Con base en los resultados obtenidos (Fig.8C y Fig. 8D) se observa que la zeolita 5A puede llegar a ser selectiva para el etano. Esto podría deberse a una ligera polarizabilidad de las moléculas de etano respecto a las de metano. Así mismo, la diferente afinidad por el adsorbente puede atribuirse a las interacciones de polaridad inducidas con el catión divalente (Ca2+) en la superficie de la zeolita [22], [30]. Con la información obtenida, es necesario estudiar otros tamices moleculares, ya que para un proceso de separación por adsorción esta selectividad de equilibrio puede llegar a no ser la más apropiada.

IV. Conclusiones
Los resultados obtenidos en esta nueva instalación experimental validan su implementación y, por otra parte, demuestran que el nuevo modelo de ZLC incorporado en ella permite determinar en una sola medición y con una mínima cantidad de adsorbente los coeficientes de difusión y las isotermas de adsorción. Por lo que la nueva instalación tiene varias ventajas sobre los sistemas tradicionales como el gravimétrico y volumétrico. Por otro lado, mediante la interfaz gráfica de usuario es posible configurar y monitorear en tiempo real el experimento a través de señales de voltaje analógicas y digitales. Al mismo tiempo es posible calcular las isotermas y coeficientes de difusión sin necesidad de un tratamiento posterior de los datos. Estas ventajas permiten también controlar vía remota el experimento y llevar a cabo varias corridas de mediciones en una sola muestra, lo que reduce considerablemente el tiempo de medición. El método ZLC se puede extender fácilmente a la medición de equilibrios de adsorción binarios. En particular, proporciona una forma sencilla de determinar el factor de separación en función de la carga y de medir la isoterma parcial de un componente en la atmósfera del otro.
Agradecimientos
Los autores de este trabajo agradecen el apoyo financiero brindado por la DGAPA-UNAM a través del proyecto PAPIIT IG100618 y al Consejo Nacional de Ciencia y Tecnología (CONACyT) por el apoyo brindado. Así también se agradece al Instituto de Investigaciones en Materiales (IIM-UNAM) por el uso de sus instalaciones.
Referencias
[1] Industrial Tecnologies Program, Hybrid separations/distillation technology: Research opportunities for energy and emissions reduction, 2005 (Study conducted for the U.S. Department of Energy by the University of Texas at Austin, the Oak Ridge National Laboratory, and the American Institute of Chemical Engineers).
[2] K. Othmer, Encyclopedia of Chemical Technology, 5. ed., John Wiley & Sons Inc, 2010.
[3] A. Dabrowski, “Adsorption: from theory to practice”, Advances in Colloid and Interface Science, vol. 93, pp. 135–224, Oct. 2001, doi: https://doi.org/10.1016/S0001-8686(00)00082-8
[4] a) Z. R. Herm, E. D. Bloch, J. R. Long, “Hydrocarbon Separations in Metal–Organic Frameworks”, Chem. Mater, vol, 26, pp. 323, Nov. 2014. b) Z. Bao, G. Chang, H. Xing, R. Krishna, Q. Ren, B. Chen, “Potential of microporous metal–organic frameworks for separation of hydrocarbon mixtures”, Energy Environ. Sci., vol. 9, pp. 3612, 2016.
[5] W. Liang, Y. Wu, H. Xiao, J. Xiao, Y. Li, Z. Li, “Alternatives to Cryogenic Distillation: Advanced Porous Materials in Adsorptive Light Olefin/Paraffin Separations”, AIChE J.,vol. 64, pp. 3390, Apr. 2018, doi: https://doi.org/10.1002/smll.201900058
[6] Lin, J. Y., “Molecular sieves for gas separation”, Science, vol. 353, pp. 121-122, Jul. 2016, doi: https://doi.org/10.1126/science.aag2267
[7] P. J. Bereciartua, Á. Cantín, A. Corma, J. L. Jordá, M. Palomino, F. Rey, S. Valencia, E. W. Corcoran, P. Kortunov, P. I. Ravikovitch, A. Burton, C. Yoon, Y. Wang, C. Paur, J. Guzman, A. R. Bishop, G. L. Casty, “Control of zeolite framework flexibility and pore topology for separation of ethane and ethylene“, Science, vol. 358, pp. 1068, Nov. 2017
[8] a) R. Schoellner, U. Mueller, “Influence of Mono- and Bivalent Cations in 4A-Zeolites on the Adsorptive Separation of Ethene and Propene from Crack-Gases”, Adsorpt. Sci. Technol., vol. 3, pp. 167, Sep. 1986. b) V. R. Choudhary, S. Mayadevi, A. P. Singh, “Sorption isotherms of methane, ethane, ethene and carbon dioxide on NaX, NaY and Na-mordenite zeolites”, J. Chem. Soc., vol. 91, pp. 2935, 1935.
[9] A. Dabrowski, Adsorption: from theory to practice. Advances in Colloid and Interface Science, 93, pp. 135–224, 2001.
[10] a) Z. R. Herm, E. D. Bloch, J. R. Long, Chem. Mater. 2014, 26, 323; b) Z. Bao, G. Chang, H. Xing, R. Krishna, Q. Ren, B. Chen, Energy Environ. Sci. 2016, ., 3612; c) D. Banerjee, J. Liu, P. K. Thallapally, Comment. Inorg. Chem. 2015, 35, 18.
[11] M. Eic, D. M. Ruthven, “A new experimental technique for measurement of intracrystalline diffusivity”, Zeolites, vol. 8, pp. 40–45, Jan. 1988, doi: https://doi.org/10.1016/S0144-2449(88)80028-9
[12] D. M. Ruthven, S. Brandani, M. Eic. “Measurement of diffusion in microporous solids by macroscopic methods”. In Molecular Sieves - Science and Technology, vol. 7, pp. 45–84, Dec. 2005.
[13] BP Statistical, “Review of World Energy”, https://www.bp.com/es_es/spain/home/noticias/notas-de-prensa/bp-statistical-review-2019.html, (accesed Feb. 23, 2019).
[14] C. A. Scholes, G. W. Stevens, and S. E. Kentish, "Membrane gas separation applications in natural gas processing," Fuel, vol. 96, pp. 15-28, Jun 2012. [Online]. Available: https://doi.org/10.1016/j.fuel.2011.12.074
[15] Hydrocarbon processing, “Petrochemical Processes”, http://libros.organica1a.org/OPS1/petroquimica/Procesos_petroquimicos10b.pdf, (accesed Mar. 23, 2020).
[16] J. Campbell, Gas Conditioning and Processing. Vol. 1: The Basic Principles. Ed. Campbell Petroleum Series. USA, 2001, pp. 1-43.
[17] V. Valco, “valve applications”, https://www.vici.com/, (accesed Jul. 5, 2018).
[18] Horiba, “Mass flow controler”, https://www.horiba.com/en_en/ (accesed Jul. 5, 2018).
[19] J. Crank, The Mathematics of Diffusion, London, Inglaterra, Oxford University Press, 2003.
[20] F. Brandani, D. M. Ruthven, C. G. Coe. “Measurement of adsorption equilibrium by the zero length column (zlc) technique part 1: Single component systems”, Ind. Eng. Chem. Res., vol. 42, no. 7, pp. 1451–1461, Mar. 2003, doi: https://doi.org/10.1021/ie020573f
[21] H. Wang, S. Brandani, G. Lin, X. Hu., “Flowrate correction for the determination of isotherms and darken thermodynamic factors from zero length column (ZLC) experiments”, Adsorption, vol. 17, pp. 687–694, Aug. 2011, doi: https://doi.org/10.1007/s10450-011-9364-0
[22] S. l. Semenova , “Polymer membranes for hydrocarbo separation and removal”, Journal of Membrane Science, vol. 231, pp. 189-207, Mar. 2004.
[23] D.M. Ruthven, Principles of Adsorption & Adsorption Processes, Canada., John Wiley & sons, 1984.
[24] J. Karger, D.M. Ruthven, Diffusion in Zeolites and Other Microporous Solids, New York, E.U., Willey Interscience:, 1992.
[25] Mofarahi, M.; Salehi, S. M. Pure and binary adsorption isotherms of ethylene and ethane on zeolite 5A. Adsorption 2012, 19, 101–110.
[26] L. Garcı́a, Y. Poveda, M. Khadivi, G. Rodríguez, O. Görke, E. Esche, H. Godini, G. Wozny, A. Orjuela., “Synthesis and Granulation of a 5A Zeolite-Based Molecular Sieve and Adsorption Equilibrium of the Oxidative Coupling of Methane Gases”. Journal of Chemical & Engineering Data, vol. 62, no. 4, pp.1550–1557, Mar. 2017, doi: https://doi.org/10.1021/acs.jced.7b00061
[27] Mofarahi, M.; Salehi, S. M. Pure and binary adsorption isotherms of ethylene and ethane on zeolite 5A. Adsorption 2012, 19, 101–110.
[28] C.G. Coe, et al., “Chabazite for gas separation” in Gas Separation Technology, Amsterdam, Elsevier, 1990, pp. 149-159.
[29] M. Ruthven, “Diffusion in type a zeolites: New insights from old data”, Microporous and Mesoporous Materials, vol. 162, pp. 69–79, Nov. 2012, doi: https://doi.org/10.1016/j.micromeso.2011.12.025
[30] L. Garcı́a, Y. Poveda, M. Khadivi, G. Rodríguez, O. Görke, E. Esche, H. Godini, G. Wozny, A. Orjuela., “Synthesis and Granulation of a 5A Zeolite-Based Molecular Sieve and Adsorption Equilibrium of the Oxidative Coupling of Methane Gases”. Journal of Chemical & Engineering Data, vol. 62, no. 4, pp.1550–1557, Mar. 2017, doi: https://doi.org/10.1021/acs.jced.7b00061