Implementation of the risk triad algorithm to determine the probability of failure in pipelines: case of external corrosion
Implementación del modelo tríada de riesgos, para determinar la probabilidad de falla en ductos: caso corrosión externa
Implementation of the risk triad algorithm to determine the probability of failure in pipelines: case of external corrosion
Científica, vol. 26, núm. 1, pp. 1-18, 2022
Instituto Politécnico Nacional
Recepción: 18/11/2021
Aprobación: 27/01/2022
Abstract: This paper describes and discusses a case of application in the hydrocarbon transportation industry of the so-called risk triad probabilistic model discussed by Kent Muhlbauer (or Quantitative Risk Reference Model algorithm), to establish the probability of failure (PoF) of a pipeline event, in particular the external corrosion threat. The model uses probabilistic mathematics to combine the variables and capture both individual impacts and the accumulation of minor effects through OR and AND logic gates. The use of these logic gates in risk models represents a distinct improvement over older methods, as it provides a better representation of how the parameters that materialize a threat behave. In this model, the variables affecting the PoF are grouped in three groups or elements, exposure, mitigation and resistance, which are a function of the threat or potential damage mechanism to which the asset under study is subject. After obtaining the PoF value, it is contrasted with the numerical values associated with the probability of failure in Table 4.2 of API RP 581, it is crossed with the CoF results and thus a risk ranking is obtained that allows optimizing resources by applying them to the highest risk assets. The results are presented after applying them to the external corrosion threat.
Keywords: pipeline risk analysis, probability of failure, external corrosion.
Resumen: En este documento se describe y se trata un caso de aplicación en la industria de transporte de hidrocarburos por ductos del denominado algoritmo probabilístico de la tríada de riesgos discutido por Kent Muhlbauer (o algoritmo del Modelo de Referencia de Riesgo Cuantitativo), para establecer la probabilidad de falla (PoF) de un evento, en particular de la amenaza corrosión externa. El modelo utiliza matemática probabilística para combinar las variables y capturar tanto los impactos individuales como la acumulación de efectos menores, a través de las compuertas lógicas OR y AND. El uso de estas compuertas lógicas en modelos de riesgos representa una mejora evidente sobre la mayoría de los métodos más antiguos, ya que permite obtener una mejor representación de la forma en que se comportan los parámetros que materializan una amenaza. En este modelo, las variables que afectan la PoF se agrupan en tres categorías o elementos: exposición, mitigación y resistencia, que se representan en función de la amenaza o mecanismo de daño potencial al cual está sujeto el activo en estudio. Luego de obtener el valor de PoF, este se contrasta con los valores numéricos asociados con la probabilidad de falla en la Tabla 4.2 de API RP 581, se cruza con los resultados de CoF y de este modo se obtiene un ranking de riesgo que permite optimizar los recursos al aplicarlos a los activos de mayor riesgo. Se presentan los resultados luego de aplicarlos a la amenaza corrosión externa.
Palabras clave: análisis de riesgo en ductos, probabilidad de falla, corrosión externa.
I. Introduction
Pipeline and production facility integrity management regulations and standards require a risk analysis to comprehensively assess the internal and external factors affecting the assets (pipelines and production facilities) and the severity of their consequences, which allows determining the level of risk as a basis for maintenance work. Since maintenance budgets may be limited by economic constraints, operating companies must decide how to best allocate available resources. Optimal resource allocation involves identifying high-risk segments and determining integrity maintenance activities for those segments that will lead to the greatest reduction in overall operational risk, in which a risk management is critical.
Risk management provides strategies, processes, resources and tools to monitor, recognize, and address a risk event. Pipeline standards and regulations increasingly require operating companies to use risk management to ensure pipeline safety [1]. In general, risk management includes risk assessment (risk analysis and risk evaluation) and risk control, as shown in Figure 1 [2].
Risk analysis process considers the following activities:
- System definition.
- Collection, review and integration of information.
- Identification of hazards that may become significant threats to the integrity of the pipeline (hazard and threat susceptibility).
- Determination of the frequency or probability of occurrence (PoF) of an event due to such hazards.
- Determination of the severity of the potential consequences (CoF) of such an event to the population, business, environment, and reputation.
- Estimation risk, calculated as R = PoF x CoF, and represents it in levels or through a matrix or a risk plot.
Risk evaluation consists of comparing the level of risk obtained against the acceptance criteria established by the Company. Risk control involves carrying out prevention, mitigation and monitoring activities focused on risk reduction.
Based on the results of the risk analysis, the risk level per asset or segment is obtained, reflecting the differences in risk due to the changes and damage/threat mechanisms to which the assets are exposed, which allows prioritizing the equipment that requires attention.
This paper describes the Quantitative Risk Reference Model algorithm (called risk triad algorithm) to determine the PoF on pipelines. The risk calculation algorithm will be illustrated through two examples and a detailed case study on the PoF to which three segments of a pipeline are exposed to external corrosion threat. Subsequently, the cost of a potential consequence will be assumed, and the risk obtained will be calculated (R = PoF X CoF) and ranked, following the API RP 581 references [3].

II. Pipeline risk analysis
Among the different methods or models that meet the objectives to determine pipeline risk analysis, the following are included [2]:
- Qualitative: mainly uses expert judgment, primary maintenance and operation information; wide evaluation ranges, where PoF and CoF estimates are expressed separately, and their combinations are presented in a two-dimensional matrix of discrete risk categories.
- Semi-quantitative: also known as indexing approach (weighting) or risk score methods, in which the factors influencing PoF and CoF are assigned values or categories, which are then mathematically combined, to risk ranking of the assets.
- Quantitative: corresponds to probabilistic methods of risk analysis, where logical models of event trees and fault trees are implemented; in which the PoF and CoF are quantitatively estimated and then mathematically combined. It requires more detailed, precise, and accurate information.
Most pipeline operating companies use qualitative or semi-quantitative risk assessments, where risk is characterized (or classified) but not quantified. The Quantitative Risk Reference Model algorithm (called risk triad algorithm) let to calculate the PoF on pipelines. The principal elements of the risk analysis shown in Figure 1 are detailed below, with special emphasis on the algorithm for calculating the PoF for the external corrosion hazard.
A. System definition
This part of the risk analysis is concerned with specifying which asset the study will apply to. The system can be a pipeline or the process piping system within an industrial plant. The type of system is also related to the type of information to be collected.
B. Gathering, reviewing, and integrating information
Relevant information is collected to identify hazards, threats and critical locations, for example, high consequence areas (HCA). The information is collected by means of field trips with specialized personnel and equipment and adequate planning. The minimum information required includes:
- Pipeline characteristics.
- Design and construction data.
- Process flow diagrams.
- Environment characteristics.
- Operating data.
- Inspection, monitoring, repair, and maintenance records.
- Change management histories.
- Specific studies such as HAZOP (Hazard and Operability Analysis), RCM (Reliability Centred Maintenance), geotechnical diagnostics.
- Other.
The precision and accuracy of the input data for the risk assessment has a direct influence on its results, especially in relation to the accuracy of the results obtained. It is recommended that the information be uploaded and stored in a geo-referenced digital database and/or a geographic information system, which allows the results of the risk analysis to be easily visualized.
C. Segmentation
Segmentation refers to the identification of similar characteristics that allow a system to be divided into parts or components with the same expectation of deterioration. It can be segmented by parameters associated with the asset or with the environment, as shown in Table 1.

D. Hazards and threats identification
Once the information has been collected, reviewed, and integrated, the hazards that can evolve and become threats to the integrity of the pipeline are identified. The threats that can affect pipeline integrity are grouped into twelve (12) categories, classified according to NTC 5901 [4], API 1160 [5], and ASME B31.8S [6]. A general classification according to their time-dependence of threats to pipeline integrity is shown in Table 2.
Among the methods used to perform the identification are:
- Structured methods, such as operational hazard studies (HAZOP) and failure mode and effects analysis (FMEA).
- Comparative methods, such as checklists, hazard indices, and reviews of in-house or industry failure histories.
- Methods that provide a logical path, such as fault tree analysis.
E. Probability of failure (PoF) determination
Overview. The PoF model discussed in this paper corresponds to a new way that establishes relationships among failures inducing factors, their corresponding failures times and failure phenomena by understanding the physical process leading to the failure mechanism. This was introduced by Kent Muhlbauer on pipelines, called the risk triad or Quantitative Risk Reference Model algorithm, as shown on the left side of Figure 2, in which the variables that affect the PoF are classified in three factors: exposure factor, mitigation factor and resistance factor measured or estimated in verifiable and commonly used units of measurement [7], [8], [9], [10].
![General Risk Model discussed in this paper. Adapted from [8], [9].](../61472342002_gf3.png)
- Exposure (attack) factor: refers to the type and unmitigated aggressiveness of each process that can precipitate failure (the component is taken to be completely unprotected and highly vulnerable to failure). It is expressed in units of "events per time and distance", i.e., events/km-year or events/mile-year. In other words, an exposure event is an event that, in the absence of mitigation and resistance, will result in a failure. To estimate exposure, the component is taken to be completely unprotected and highly vulnerable to a failure.
- Mitigation factor (defense): refers to the type and effectiveness of each mitigation measure designed to block or reduce an exposure. It is measured in units of percentage (%).
- Resistance factor: refers to the measure or estimate of the system's ability to absorb damage without failure. In other words, it is the ability of the system to resist failure in the presence of the failure mechanism. It is measured in units of percent (%).
Mitigation and resistance are measured in units of %, which represents "fraction of damage or failure scenarios avoided". For example, a mitigation effectiveness of 90% means that 9 of the next 10 exposures will not result in damage. A resistance of 60% means that 40% of the following damage scenarios will result in failure, 60% will not.
This model uses the same data as the qualitative and semi-quantitative approaches to help with continuity and keep conversion costs down but uses them in a different way. The modifications to the main algorithm consist of simple, straightforward changes to the categorization of variables and the mathematics used to combine them to calculate risk scores. The new algorithms are easily set up and run-in spreadsheets or a desktop database, i.e., no specialized software is needed.
Among the advantages of this algorithm are it allows differentiation between absolute exposure to a hazard, mitigation effectiveness and system resistance, which leads directly to better risk management decisions; it eliminates the need to reweight variables; and it allows greater flexibility to present results in absolute (probabilistic) or relative terms, depending on the user's needs. However, the new assessments are more verifiable and defensible, as they are based on absolute rather than relative terms, although it requires investing some time and energy in establishing the new assessment model with legitimate values for the systems being assessed [7], [8], [9], [10].
Table 3 summarizes the units used in the model for time-independent hazards such as third-party damage and those associated with weather and external forces.

Table 4 summarizes the units used in the model for time-dependent hazards such as internal corrosion and external corrosion, specifically mils per year (mpy), where mils is one thousandth of an inch. The mpy values lead to an estimate of Time To Failure (TTF), define as the time period before failure would occur, under the wall loss and available strength assumptions. In other words, TTF is the time before the pipeline fails given the pipe wall thickness and the rate of wall loss from corrosion mechanisms.

Logic gates. The algorithm uses the tree structure for estimating the PoF from the probabilities of the underlying basic event, through OR and AND Gates to connect an output event with the associated input events, where the collective effect of the components failures could lead to a system failure. OR and AND Gates are logical symbols that represent events that can be defined by one or more lower level events. The use of these logic gates in risk models represents a distinct improvement over older methods, as it allows for a better representation of how the parameters that materialize a hazard behave.
OR gates. OR gates imply independent events which are additive (note: two events are independent if the knowledge that one occurred does not affect the chance the other occurs). The OR gate function calculates the probability of any of one (or more) of the inputs events could case the output event occur.
According to statistical theory [11], [12], [13], if E1, E2 and En be independent events, the probabilities of those events are P1, P2 and Pn. Since the probability that event E1 happens is P1, then the probability that it does not happen is 1 - P1. Similarly, the probability of non-happening of event E2 is 1 − P2, and the probability of non-happening of event En is 1 − Pn.
Now, the probability of non-happening of any of the events is: (1 − P1)(1 − P2) ... (1 − Pn).
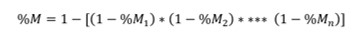
Thus, if there are i input events, each assigned with a probability of occurrence Pi, then the probability POR that any i events’ occurring is given by [9], [11]:
(1)The OR gate is used for calculating the overall mitigation effectiveness from several mitigation measures. This function captures the idea that probability rises due to the effect of either a single factor with a high influence or the accumulation of factors with lesser influences (or any combination), as follows:
(2)The OR gate is also used for calculating the overall resistance from several resistance factors, as follows.
(3)Mi and Ribeing each of the mitigation and resistance factors contemplated in the model that implies dependent events. Each Mi is effective in a certain percentage to prevent failures in the studied pipe segment, reflecting its potential impact on risk reduction.
AND Gates. The use of the AND gate implies dependent events that must be combined by multiplication, where any sub variable can have a huge influence. For instance, when all events in a series happen and there is dependence among the events, then the result is the product of all probabilities. The probability of failure in this case is calculated as follows [9], [10]:
(4)F. PoF calculation for time-independent threats
Reducing the probability of failure occurs by reducing the exposure to the hazard through mitigation or reducing the probability of failure through resistance. To evaluate PoF from time-independent failure a mechanism, those that appear random and do not worsen with time, then it is considers that PoF is modulated by the mitigation effectiveness and resistance factors, as follows:
(5)In other way, having good mitigation effectiveness and adequate resistance reduces asset exposure, which implies that PoF is reduced.
Example 1. For third party threat, an exposure factor of 0,2 events/km-year was found, i.e., one event every five years, on a given pipeline segment. Applying several mitigation actions, a total mitigation of 95% was obtained.
The mitigation factors can be the one call system (M1 = 20%), the Right-of-Way surveillance (M2 = 20%), the protective measures (M3 = 60%), and the depth of cover (M4 = 80%). Then, the total

Similarly, a total resistance of 75% was obtained. The resistance factor can be due to API Grade Pipe Specification (R1) and diameter/thickness ratio (R2) of the pipe, among others selected by each company. What is the PoF?
Situation data are:
- Exposure = 0,2 events/km-year,
- %Mitigation = 0,95,
- %Resistance = 0,75.
Applying equation (5) we obtain:

Thus, the PoF is 0,0025 failures (event) per km-year or 2,5 x 10-3 failures per km-year.
G. PoF calculation for time-dependent threats
To describe the PoF behavior for time-dependent hazards, such as internal and external corrosion, the PoF model with the shortest time to failure (TTF) is used to consider the time degradation. Failures behaviors refer to the observations changes of states which occur during the failure process and are characterized by recording Time To Failure of the component. TTF defines the time when the system no longer meets its design specifications (the time a component is expected to fail).
The TTF is proportional to the resistance (the greater the resistance, the longer the life of the asset) and is inversely proportional to the exposure level modulated by the resulting mitigation (the lower mitigated exposure, the longer life of the asset), as shown below:
(6)In a conservative approximation, and considering constant failure rate, TTF can be taken as the inverse of the PoF [13],thus
(7)Example 2. Assume a pipeline of 0,25 in nominal thickness. It has been determined that soil corrosivity creates an external corrosion exposure of 4,0 mpy. Two mitigation systems are considered: one the coating with a mitigation effectiveness of 70% and second the cathodic protection system with a mitigation effectiveness of 80%.
For external corrosion, the resistance factor considered is the remaining wall thickness. Wall thickness measurements were made and, considering the inherent uncertainty of the measurement, an effective wall thickness (t) of 0,220 in, (i.e. t = 220 mils) was obtained. Determine the PoF for external corrosion threat.
Situation data are:
- Exposure = 4,0 mpy
- Coating mitigation (M1) = 0,70
- Cathodic protection mitigation (M2) = 0,80
- Resistance = 0,220 in = 220 mils
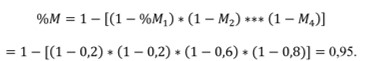
Calculations: the total percent mitigation (%M) is:

Now, applying the equation (6) and (7):


H. Consequence of failure (CoF) determination
To determine the CoF, the guidelines of API RP 581 are followed (as shown on the right side of Figure 2), expressing the consequence results in USD$/event. Based on this, the risk is expressed in USD$/km - year.
I. Ranking risk
To qualify the risks results obtained (R = PoF x CoF), the methodology of numerical values associated with the probability and consequence of failure considered in the recommended practice API RP 581, shown in Table 5, is followed, specifically in its “Table 2: Numerical Values Associated with PoF and Financial-based CoF Categories”. The results of the Examples 1 and 2 indicates that PoF in the Very High and High category respectively.
Note: Each Company may select the corresponding ranges.
![NUMERICAL VALUES ASSOCIATED WITH POF, COF AND RISK QUALIFICATION (adapted from API RP 581 [3]).](../61472342002_gt6.png)
III. Pipeline application: PoF for external corrosion threat
In a survey of recent studies reported in the literature, external corrosion pitting is found to account for approximately 70% of the failures occurring in oil and gas transportation systems in Europe from the early 1970s to the mid-2000s [14], [15]. In the USA between 2002 and 2008 according to reports from the OPS (the Office of Pipeline Safety), pitting corrosion caused 79% of total incidents in oil and gas transportation systems, making it one of the most relevant threats to manage.
A. Methodology
To implement the Quantitative Risk Reference Model algorithm to calculate the PoF for a real case, a natural gas pipeline transportation operator was taken. The algorithm was applied to determine the PoF for the external corrosion threat. The effective wall thickness (t) was taken from the Example 2 (t = 220 mils).
Several risks workshops were held with the participation of personnel from operations, maintenance and mainly from mechanical integrity management of the asset. In the workshops, the generalities of the risk triad model were shown and then they began to discuss which variables formed the exposure factor, which the mitigation factor and which the resistance factor, based on a previous experience in semi-quantitative PoF algorithm. The mitigation percentages were established by consensus among the participants.
B. Results and Discussion
Exposure factor. Since external corrosion is a time-dependent threat, the exposure factor is expressed in mpy. If corrosion rate data by ILI inspection or other technique are available, these values will be used as the exposure factor. Other exposure factors, such as type of soil and electrical interference, will also be considered.
The ranges and criteria for exposure and mitigation factors are based on those provided by the National Association of Corrosion Engineers (NACE) in their standards, handbooks, and articles. As a second option, we used articles or academic texts recognized in the industry.
Each operator is able to select the weight for corrosiveness; i.e., it can be 1 to 5 mpy or 1 to 10 mpy. Normally, this is done based on the corrosion trend behavior. Corrosiveness degree should be selected based on the industry's best practices, such as AMPP - NACE (Association for Materials Protection and Performance - National Association Corrosion Engineer) or API (American Petroleum Institute) standards.
When there are four options to the exposure factor category, the one with the least impact is assigned 1 mpy, the next 3 mpy, the next 4 mpy, and the one with the greatest impact 5 mpy. For example, in the case of soil aggressiveness based on chloride concentration, there are four ranges, as shown in Table 6.

If there were only three choices, then the smallest is assigned 1 mpy, the next 3 mpy and the largest 5 mpy, as used here.
Three exposure factors were taken in this document, analyzed through nine parameters, as evidenced in Table 7. The first exposure factor is the pitting corrosion rate, the second is the soil corrosivity, and the third is the electrical interference.
The pitting corrosion is obtained from inspection tool, as In Line Inspections (ILI) and using the NACE SP0775-13 (Table 2: Qualitative Categorization of Carbon Steel Corrosion Rates for Oil Production Systems) to classify the corrosion growth rate. The soil corrosivity is described by the type of soil [17]; the presence of pollutants, chlorides and sulfates [16]; the soil resistivity [16]; the REDOX potential [18], and the presence of sulfate-reducing bacteria (BSR) [19].
The third exposure factor refers to alternating current (AC interference) electric interference and is obtained from electric interference studies under NACE SP0177-2019 standard (Mitigation of Alternating Current and Lightning Effects on Metallic Structures and Corrosion Control Systems).
Three segments with the following characteristics were taken for the assessment: S1 with a high exposure, S2 with an intermediate exposure and S3 with a low exposure (Table 7). If all factors are weighted with a value of 1, the minimum total exposure would be 9 (as shown for the segment S3) and if all are weighted with a value of 5, the maximum total would be 45 (as shown for the segment S1), according to the results of the risk analysis workshops.

Then, the minimum value obtained is 9 mpy and the maximum value is 45 mpy. These values must be adjusted to the initially selected scale (1- 5 mpy), according to Table 8.

Mitigation factor. The mitigation factors are related to the coating, the cathodic protection system, the inspections performed on the coating (type and frequency) and the remaining indications (coating and pipe) after repairs (Table 9).
The mitigation percentage was determined according to expert judgment and the operator´s experience, as follow:
- A high percentage of mitigation was taken for S1.
- the worst percentage of mitigation was taken for S2 and,
- An intermediate percentage of mitigation was taken for S3 giving credit to the coating system and compliance with NACE Cathodic Protection criteria.
The mitigation factors taken into account are coating type (FBE or coal tar); coating age; NACE Cathodic Protection compliance; DCVG inspections and repair program.

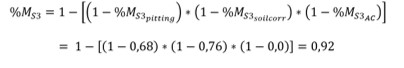
The %M per segment was performed according to equation (3), based on the mitigation factors that, in the expert's opinion, apply to each exposure factor category (Table 10).
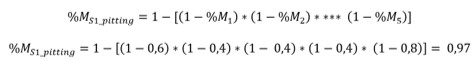
For example, to mitigate the pitting corrosion (the first exposure factor), all mitigation measures apply. Then, for segment S1, the total mitigation percentage obtained is:

For soil corrosivity applied M1 and M2 mitigations, then:

For S3 segment, we obtain:

When the mitigation percentage is less than zero, or takes negative values, as for S2 segment, indicates that there is no active mitigation, therefore a value of zero is taken.
To obtain the total mitigation for each segment, an OR logic gate is applied for the exposure factor category that applies. For example, for segment 3, we have:


Comparing S1 and S2 mitigation results, it can be seen then that complying with the DCVG inspection and coating repair program is very important to ensure the integrity of the pipeline, in order to obtain a high percentage of mitigation, which is in line with the experience of most companies to control the external corrosion threat.
The mitigation percentage (M3 factor) for the cathodic protection system was taken according to compliance with NACE SP0169 criteria, as shown in Table 11.

For the mitigation factor related to the results of the DCVG technique, the criteria in Table 12 are followed [20].

Resistance factor. The resistance factor in this case corresponds to the minimum remaining wall thickness. For all segments under study, are taken 220 mils. Thus, PoF is finally calculated according to equation (7), which for each of the segments studied.
For S1 segment, we have:

In summary, although there is a large exposure, the mitigation measures are effective and therefore the PoF is low.
For S2 segment, we have:

For S3 segment, we have:

According to API RP 581 categories, S1 (which, although it has a high exposure, also has a high percentage of mitigation,) is in category 1 (PoF Low); S2 (the worst mitigation percentage) is in category 4 (PoF High), and S3 is in category 3 (PoF medium).
If the potential consequence of failure have a cost of USD$1’010,000/event (Consequence Category D, according to API RP 581 criteria, Table 5), then the risk (R = PoF * CoF) determined for each segment obtained is shown in Table 13.

We can show the results in a balance risk matrix as shown in Figure 3.

IV. Conclusions
The implementation of the risk triad algorithm has been carried out to calculate the probability of failure due to the threat of external corrosion in pipelines. The variables considered in a previous indexing model were taken as a starting point, but with a novel approach.
The algorithm allows performing a probabilistic analysis, offering less uncertainty in the results. The use of OR and AND logic gates allow considering the interdependence or independence of the variables among them, which helps to avoid masking their contributions.
The algorithm allows the Company to determine the PoF for different combinations of exposure, mitigation and resistance scenarios, contributing to timely and informed decision making
References
[1] Department of Transportation, U.S. Government Printing Office, 49 Code of Federal Regulations Part 195, Washington DC, 2011.
[2] Oil & Gas Pipeline Systems, CSA Z662, 2019.
[3] Risk Based Inspection Methodology, API Recommended Practice 581, 2020.
[4] Gestión de integridad de sistemas de tubería para transporte de líquidos peligrosos, Norma Técnica Colombiana NTC 5901, 2012.
[5] Managing System Integrity for Hazardous Liquid Pipelines, API Recommended Practice 1160, 2019.
[6] Managing System Integrity of Gas Pipelines, ASME B31.8S, 2018.
[7] W. K. Muhlbauer, Pipeline risk assessment: The Definitive Approach and Its Role in Risk Management. Houston: Clarion Technical Publishers, 2015.
[8] E. Hendren, S. Gosse, K. Muhlbauer, L3 - Quantitative Risk Reference Model For Pipelines, Littleton: American Innovation, 2008.
[9] W. K. Muhlbauer, D. Johnson, E. Hendren, S. Gosse, “A L3 Gas Reference Modeleration of Pipeline Risk Algorithms IPC06-10178,” in Proceedings of International Pipeline Conference, 25-29 September 2006, Calgary, Alberta, Canada.
[10] W. K. Muhlbauer. Pipeline risk management manual: ideas, techniques, and resources, third edition. Burlington, MA, USA: Elsevier, 2004.
[11] B. Illowsky, S. Dean, Introductory Statistics. OpenStax - Rice University, 2018.
[12] D. Calar, K. Goebel, P. Sandborn, U. Kumar. Prognostics and Remaining Useful Life (RUL) Estimation: Predicting with Confidence. Boca Raton, London, New York: CRC Press, 2021.
[13] C. M. Tan, T. N. Goh – Editors, Theory and Practice of Quality and Reliability Engineering in Asia Industry, Springer Nature, 2017.
[14] European Gas Pipeline Incident Data Group, “Gas Pipeline Incidents,” in 11th EGIG-report 1970-2019, Doc. number VA 20.0432, 2021.
[15] Environmental Science for European Refining, “Performance of European cross-country oil pipelines, Statistical summary of reported spillages in 2019 and since 1971,” Report No. 4/21, CONCAWE, Brussels, 2021.
[16] National Association of Corrosion Engineers, Robert Baboian, R. S. Treseder, NACE Corrosion Engineer`s Reference Book. Third Edition, Houston: NACE International, 2002.
[17] Methods of test for soils for civil engineering purposes Part 3: Chemical and electro-chemical test, BS 1377-3, 2018.
[18] R. L. Starkey, K. M. Wight, “Anaerobic Corrosion of Iron in Soil,” Soil Science, vol. 62, no. 4, pp. 341, Oct. 1946.
[19] H. M. Herro, "MIC Myths - Does Pitting Cause MIC," presented at the CORROSION 98, San Diego, California, Mar. 1998.
[20] J. Álvarez, E. Ruggiero, A. Rodríguez, “Definición de un criterio para la priorización de indicaciones CIPS-DCVG en el marco de la implementación de un proceso ECDA,” presentado en el 2º Congreso de Integridad en instalaciones en el Upstream y Downstream de Petróleo y Gas, Perú, 2014.