Resumen: En los sistemas mecánicos se debe observar la importancia de la correcta aplicación de los criterios de diseño para evitar fallas relacionadas con la fatiga, deformaciones no deseadas y desgaste que afectan en la precisión de sus desplazamientos. Por esta razón, hoy en día el desarrollo de dispositivos mecánicos basados en mecanismos flexibles está teniendo un área de oportunidad. En el presente trabajo hace referencia a los diferentes métodos y técnicas (principalmente los basados en la optimización topológica) para abordar la complejidad inherente al desarrollo de mecanismos flexibles, por lo que se presenta una revisión y análisis del estado de arte de los diferentes métodos que existen en el diseño de los mecanismos flexibles, que permita identificar sus limitantes para el diseño en alguna aplicación de la ingeniería.
Palabras clave: mecanismos flexibles, optimización topológica, elementos finitos, SIMP, BESO.
Abstract: In mechanical systems, the importance of the correct application of design criteria must be observed in order to avoid failures related to fatigue, undesired deformations and wear that affect the precision of their displacements. For this reason, nowadays the development of mechanical devices based on compliant mechanisms is having an area of opportunity. This paper refers to the different methods and techniques (mainly those based on topological optimization) to address the inherent complexity of the development of complaint mechanisms, so it presents a review and analysis of the state of the art of the different methods that exist in the design of complaint mechanisms, to identify their limitations for the design in any engineering application.
Keywords: compliant mechanisms, topological optimization, finite elements, SIMP, BESO.
Revisión y análisis del estado de arte de los mecanismos flexibles: métodos de diseño y sus apliacciones
State of the art review and analysis for compliant mechanisms: design methods and applications
Recepción: 08/10/2021
Aprobación: 17/12/2021
La mayoría de los sistemas mecánicos están conformados por mecanismos que son elementos móviles que interaccionan entre sí para crear un movimiento específico, capaces de transmitir movimiento y fuerza. Los mecanismos “clásicos” o también denominados rígidos, al estar compuestos por elementos que se consideran infinitamente rígidos y juntas que interaccionan entre sí, requieren de un constante mantenimiento y lubricación en los puntos de contacto entre los elementos que lo conforman, con el fin de reducir el desgaste, ruido, incremento de temperatura, disipación no deseada de energía, entre otros fenómenos relacionados con la fricción, sin olvidar los problemas de contaminación y suciedad que conlleva el uso de lubricantes.
El constante desarrollo de nuevos materiales con mejores propiedades mecánicas da apertura a la mejora y optimización de sistemas mecánicos. Una solución prometedora para el reemplazo de los mecanismos rígidos, en sistemas donde se requiere una reducción del mantenimiento, limpieza, y disminución del número de componentes que lo conforman, son los denominados mecanismos flexibles.
Un mecanismo flexible son estructuras elásticas de una sola pieza que entrega un movimiento deseado cuando es sometido a una deformación elástica a diferencia de sus contrapartes rígidas. Tradicionalmente, los ingenieros han diseñado artefactos para que sean fuertes y rígidos, mientras que los diseños en la naturaleza son fuertes, pero no necesariamente rígidos. Al diseñar un mecanismo flexible el ingeniero busca aprovechar la elasticidad para proporcionar la función deseada eligiendo cuidadosamente la forma y el material [1].
Los mecanismos flexibles ofrecen características convincentes que los hacen valiosos para su aplicación en el diseño de productos y sistemas. El incremento de características como la alta precisión, bajo peso, compactación, baja fricción (o nula), reducción en los costos de ensamblaje, posibilidad de fabricación en masa y la capacidad de miniaturización representan algunas de sus ventajas [2].
Debido a las ventajas que estos mecanismos ofrecen, trabajos como el de Sigmund [3] han desarrollado métodos que permitan optimizar el diseño de micromecanismos, el método se basa en técnicas de optimización topológica de un dominio continuo y este encuentra la topología óptima del mecanismo dentro de dicho dominio de diseño, con base en una posición y dirección dadas de las fuerzas de entrada y salida.
La miniaturización de estos mecanismos es una de las características que se ha buscado aprovechar en el diseño de MEMS (MicroElectroMechanical Systems); Ramírez [4], en su tesis, presenta el diseño de un MEMS aplicando mecanismos flexibles y métodos computacionales como el Método de los Elementos Finitos (MEF) y el Método de Optimización Topológica (MOT) obteniendo diseños en 3D de estos microsistemas.
En el área de la biomecatrónica, Lan y Wang [5] diseñaron unas pinzas, aplicando una estructura flexible, que permite ajustar la fuerza de sujeción de estas y mantenerla constante, esto para manipulación de tejidos en cirugías mínimamente invasivas (MIS).
Varios autores, [6], [7], [8] han estudiado la viabilidad del uso de estos sistemas en diferentes áreas de la ingeniería y propuestos métodos para su diseño, los cuales presentan un gran reto para los ingenieros e investigadores debido a la complejidad del tema y de la solución de las ecuaciones que los rigen.
Sin embargo, en las últimas décadas nuestros conocimientos han avanzado. Hemos desarrollado nuevos materiales, aumentado nuestra capacidad de cálculo para diseñar dispositivos más sofisticados. Al mismo tiempo, la sociedad ha desarrollado nuevas necesidades que no pueden satisfacerse fácilmente con los mecanismos tradicionales. Esto significa que existe una mayor capacidad para crear mecanismos flexibles y una mayor motivación para hacerlo [2]. A continuación, se presenta una revisión y análisis del estado de arte de los diferentes métodos que existen para el diseño de mecanismos flexibles e identifican sus principales limitantes para el desarrollo de aplicaciones en la ingeniería.
Para el desarrollo de la presente investigación y con el objetivo de identificar los métodos de diseño de mecanismos flexibles más utilizados en su desarrollo se implementó la siguiente metodología:
1. Identificación las ventajas y desventajas que estos presentan.
2. Consideraciones para el diseño de mecanismos flexibles.
3. Métodos de diseño, clasificación y subclasificaciones.
4. Métodos de optimización topológica (MOT).
5. Aplicaciones.
6. Se dan conclusiones.
A continuación, se presentan los resultados obtenidos de la revisión bibliográfica y análisis del estado de arte.
Los mecanismos flexibles son dispositivos mecánicos que logran su movimiento a través de la deformación, donde la fuente de su movimiento puede ser diversa. De hecho, la fuente puede ser mecánica (cargas de fuerza), eléctrica (voltajes o corrientes), térmica (cambios en la temperatura), entre otras [9]. Un ejemplo de mecanismos flexibles se presenta en la Fig. 1.
Debido a su composición monolítica una de las principales ventajas que resalta en este tipo de mecanismos es la integración de funciones en un número mínimo de partes y a diferencia de sus contrapartes rígidas (mecanismos rígidos) unos de las principales limitantes es la aplicación de fuerzas pequeñas (véase Tabla 1).
Como podemos observar estas estructuras presentan cualidades que los mecanismos rígidos no, como la posibilidad de fabricación en serie que permitiría una reducción de costos a altos volúmenes de producción (véase Fig. 2).
En el apartado anterior se presentaron un gran número de ventajas que los mecanismos flexibles poseen sobre sus contrapartes rígidas. Howell [2] recomienda tener una cuidadosa consideración al momento de diseñar un mecanismo flexible en tres importantes áreas: el fallo a la fatiga, alcanzar grandes deformaciones y mantener la rigidez fuera del eje. A continuación, se describen cada una de las tres áreas.
Una de las principales preocupaciones el momento de diseñar un mecanismo flexible es el fallo a la fatiga, en este tipo de estructuras se pueden producir fallos por cargas a tensión, compresión, torsión o flexión, pero la flexión, y a veces la torsión, llegan a ser las cargas dominantes en el sistema. En la flexión, la vida a la fatiga estará estrechamente correlacionada con el esfuerzo máximo que es una función de la deflexión y del momento de inercia de la viga. Dado que la flexión es lo que el diseñador trata de conseguir, el medio para reducir la tensión y aumentar la vida a la fatiga es reducir el momento de inercia adecuado. Esto se hace generalmente haciendo la viga "más delgada" [2].
Para los nuevos diseñadores de mecanismos flexibles les es difícil visualizar que los dispositivos sean capaces de lograr grandes deformaciones en sus elementos sin fallar. Sin embargo, muchos dispositivos cotidianos (tapa del shampoo o de la pasta dental) logran grandes deformaciones sin fallar. Para un nuevo diseñador es útil pensar en tres formas básicas de lograr grandes deflexiones en configuraciones comunes de mecanismo flexibles [2]:
- Reducir el momento de inercia de un elemento en flexión (o el momento polar de inercia para torsión).
- Aumentar la longitud del elemento en flexión o torsión para incrementar proporcionalmente su deformación.
- Si los elementos individuales no pueden alcanzar en la práctica las deflexiones deseadas, el diseñador puede optar por disponer los elementos deflectores en serie, requiriendo así menos deflexión de un miembro individual.
Para los mecanismos flexibles el movimiento no ocurre en las articulaciones, que son los puntos de unión de los elementos rígidos en los mecanismos rígidos, este se produce porque se permite que los elementos del sistema se desvíen por efecto de la aplicación de una carga y así puedan lograr el comportamiento deseado. Howell [2] recomienda cuidar la relación de rigidez entre un eje no deseado (posición incorrecta) y el eje deseado (posición correcta), si se logra una relación alta se asegurará la posición deseada en el mecanismo y por lo contrario si esta es baja el elemento será más propenso a desviar su dirección a posiciones no deseadas.
Para los diseñadores o investigadores que tienen poca experiencia en el campo de los mecanismos flexibles, encontrar un punto de partida desde el cual guiarse para el análisis, diseño y optimización de estos sistemas mecánicos ha sido uno de los principales problemas. Gallego [11], a partir de su investigación, clasifica los métodos de diseño de mecanismos flexibles en tres grandes enfoques; los basados en la cinemática (kinematic approach), los basados en bloques de construcción (building blocks approach) y el enfoque basado en la optimización estructural (structural optimization), véase Fig. 3. Debido a la complejidad que representa el diseño de mecanismos flexibles, es necesario del uso de técnicas avanzadas de optimización o diseño automático como lo es el MOT. Existen dos grandes abordajes para el MOT en el diseño de mecanismos flexibles, el primero se conoce como optimización discreta (ground structures) y el segundo se conoce como optimización continua. En el primer abordaje se utilizan elementos estructurales tipo viga, armadura o barra, donde se establece a priori una conectividad, mientras que la optimización determina que barras permanecen y cuáles no. En el abordaje continuo se tiene una distribución continua de material, que luego es dividida usando una discretización por elementos finitos; mientras tanto, la optimización topológica determina cuáles elementos permanecen en la topología óptima y cuáles no. Este segundo abordaje es el más comúnmente utilizado en la literatura y por ello se han desarrollado varias estrategias [9]. Thomas [12] describe cinco métodos para el desarrollo de los mecanismos flexibles resaltando sus aplicaciones y limitaciones (véase Tabla 2).

A continuación, se presentan dos de los métodos más utilizados en el diseño de los mecanismos flexibles dentro del enfoque de optimización continua o también conocido como estructura continua (continuum structure).
Este método parte de un dominio inicial el cual es discretizado en subdominios, aplicando el MEF, donde cada subdominio es una representación matemática de las micro o macroestructuras que componen el total del dominio. La idea básica detrás del uso de estructuras continuas es comenzar con un dominio de diseño que está lleno de elementos mientras que gradualmente, durante la optimización, se eliminan aquellos elementos que no se utilizan efectivamente, de modo que al final, sólo quedan los elementos esenciales para lograr los requisitos de diseño, véase Fig. 4, el método ESO (Evolution Structural Optimization) es representativo de este enfoque [11], [13].
Normalmente, cuando se realiza una optimización de la topología, se desea que las variables de diseño expresen la existencia o inexistencia de un elemento en el dominio de diseño. Esto se hace asumiendo un valor de 1, el elemento existe, o 0, el elemento se elimina del dominio. Cuando el algoritmo de optimización se basa en gradientes cuyas variables pueden oscilar en el intervalo [0, 1], surge un problema, el algoritmo no puede tratar con variables booleanas. El método SIMP (Solid Isotropic Material with Penalization Method) ayuda a superar este problema penalizando las variables de diseño, por lo que los valores intermedios pueden ser asumidos como 0 o 1 [11].
Inicialmente el método SIMP fue propuesto por Bendsoe [14] y Rozvany [15], el método SIMP predice una distribución óptima del material dentro de un espacio de diseño determinado, para casos de carga determinados, condiciones de contorno, restricciones de fabricación y requisitos de rendimiento [16].
Según Bendsoe [17]: "la optimización de la forma en su configuración más general debe consistir en una determinación para cada punto del espacio, independientemente de que haya material en ese punto o no". El enfoque tradicional para la optimización de topología es la individualización de un dominio en una rejilla de elementos finitos denominados microestructuras sólidas isotrópicas. Cada elemento se rellena con material para regiones que requieren material, o se vacía de material para regiones donde se puede eliminar material (que representa vacíos) [16]. La distribución de densidad del material dentro de un dominio de diseño, r, es discreta y a cada elemento se le asigna un valor binario:
- = 1 donde se requiere material (negro).
- = 0 donde se elimina material (blanco).
La introducción de una función de distribución de densidad relativa continua evita la naturaleza binaria, on-off del problema. Para cada elemento, la densidad relativa asignada puede variar entre un valor mínimo y 1, lo que permite la asignación de densidades intermedias para elementos (caracterizados como elementos porosos): es el valor de densidad relativa mínimo permitido para elementos vacíos que son mayores que cero. Este valor de densidad asegura la estabilidad numérica del análisis de elementos finitos, véase Fig. 5[16].
Dado que la densidad relativa del material puede variar continuamente, el módulo de Young del material en cada elemento también puede variar continuamente. Para cada elemento, la relación entre el factor de densidad relativa del material re y el módulo de elasticidad de Young del modelo de material isotrópico asignado E0 se calcula mediante la ley de potencia:
(1)

El factor de penalización p disminuye la contribución de elementos con densidades intermedias (elementos grises) a la rigidez total. Los experimentos numéricos indican que es adecuado un valor de factor de penalización de p = 3 (véase Fig. 6) [16].

Debido al proceso de reducción de la densidad de los elementos dentro del dominio del diseño el módulo de Young de cada elemento es afectado, este proceso influye directamente en la rigidez de cada elemento del dominio y en la matriz de rigidez global del dominio de diseño. El método SIMP modula la rigidez global del dominio con la ecuación (2) [16]:
(2)Donde Ke es la matriz de rigidez del elemento, es la densidad relativa mínima, es la densidad relativa del elemento, p es el factor de penalización y N es el número de elementos que conforman el dominio de diseño.
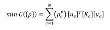
Para lograr definir el término del proceso de optimización es necesario una función objetivo, dicha función permitirá al método determinar el momento en el que ha cumplido con la tarea. Una de las funciones más utilizadas es la de maximizar la rigidez general del dominio o minimizar su cumplimiento bajo una determinada cantidad de eliminación de masa sobre el dominio.
El algoritmo de optimización, ecuación (3), mediante un proceso iterativo, busca resolver las densidades de los elementos (que son las variables de diseño de optimización) que minimizan el cumplimiento global de la estructura [16].
(3)Donde ue es el vector de desplazamiento nodal del elemento, Ke es la rigidez del elemento e, y el vector {} contiene las densidades relativas de los elementos.
Las ecuaciones (4), (5) y (6) permiten al proceso satisfacer las restricciones de masa, equilibrio global y restricción funcionales requeridas [16]:
(4)Donde ve es el volumen del elemento y Mobjetivo es la masa objetivo en la optimización.
(5)Donde K{} es la matriz de rigidez global en función del vector densidades relativas, {u} es el vector de desplazamiento y {F} es el vector de fuerzas externas.
(6)La fórmula anterior contiene restricciones de respuesta de diseño, como límites de tensiones, desplazamientos, frecuencias propias, etc.
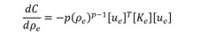
Durante cada iteración, el algoritmo de optimización realiza un análisis de sensibilidad para evaluar el impacto que tiene la variación de las densidades del material en la función objetivo para maximizar la rigidez, ecuación (7).
(7)Durante un análisis de sensibilidad, los elementos ponderados con factores de baja densidad de material eventualmente pierden su importancia estructural y se eliminan durante las iteraciones posteriores. Si calcula la sensibilidad para cada elemento de forma independiente y no considera la conectividad entre los elementos, esto puede llevar a la discontinuidad del material y a que los volúmenes se desconecten de la geometría principal. Esto se conoce como efecto de tablero de ajedrez [16].
La optimización estructural evolutiva (ESO) y su versión posterior ESO bidireccional (BESO) se han aplicado con éxito a problemas de distribución de materiales óptimos para estructuras continuas. Sin embargo, los métodos ESO / BESO existentes se limitan a la optimización de la topología de una función objetivo, como el cumplimiento medio de una única restricción, por ejemplo, el volumen estructural. El método funciona como se ilustra en la Fig. 7[9].
El método BESO puede ser resumido como sigue [9]:
- Paso 1. El dominio diseño se discretiza utilizando el MEF y se definen condiciones de frontera y carga.
- Paso 2. Se definen los objetivos a cumplir.
- Paso 3. Se procede al análisis y solución de los elementos finitos.
- Paso 4. Se realiza el análisis de sensibilidad (derivadas de la función objetivo y de restricciones).
- Paso 5. Se utiliza un filtro para prevenir algunas inestabilidades numéricas, como conexión de elementos en un solo nodo.
- Paso 6. Se verifican dos criterios de convergencia (volumen deseado, no hay cambios significativos en el diseño).
El objetivo en el diseño de los mecanismos flexibles mediante el método de la optimización topológica es maximizar un desplazamiento de salida bajo unas condiciones de carga de entrada. Lo anterior se puede lograr mediante una función de ventaja geométrica, ecuación (9), definida como la relación entre el desplazamiento de salida y de entrada. Adicionalmente también se podría considerar una función que tome en cuenta la rigidez (compliance) de la estructura con el fin de obtener geometrías que no sean muy débiles. Para considerar estos dos objetivos en una sola función se considera la ecuación (8)[9], [19].
(8)
(9)Donde xe la variable de diseño definida para cada elemento finito, que puede tomar valores xe = 1 de (sólido) y xe = 0 (vacío). El número total de elementos en la malla es N; V* es una fracción del volumen total del dominio de diseño original; Ve es el volumen del elemento e; uout es el desplazamiento para maximizar de en un grado de libertad (GDL) en un punto de la estructura; mientras que uin es el desplazamiento causado por la fuerza externamente aplicada Fin en la estructura, véase Fig. 8[9], [19].

Por último, K y U son la matriz de rigidez y el vector de desplazamientos nodales obtenidos al resolver el sistema lineal de ecuaciones que surge del análisis de elemento finito [9], [19].
(10)Como se indicó anteriormente, el análisis de sensibilidad es equivalente a encontrar las derivadas de la función objetivo y las restricciones respecto a las variables de diseño, lo cual es necesario para el optimizador actualizar el valor de las variables de diseño a cada iteración [9].
El Grupo de Investigación de Mecanismos Flexibles de BYU (CMR) conformado por estudiantes y profesores comparten, a través su página web, los resultados de sus investigaciones en el tema de mecanismos flexibles. Sus diseños han impactado en áreas como la Biomecánica, Robótica, Aeroespacial, como se muestra en la Fig. 9[20].
En la Fig. 10 se observa una serie de mecanismo flexibles con aplicaciones en el área de la medicina [2].

Dichos sistemas representan una amplia variedad de oportunidades para el desarrollo de nuevas aplicaciones en áreas de la ingeniería tales como como la biomecánica, un ejemplo de ello es el trabajo realizado por Peter [22], en el cual presenta el diseño de una prótesis de dedo a partir de una estructura monolítica, aplicando el método de cuerpo pseudo-rígido, este sistema permite grandes deformaciones y la sujeción de objetos ligeros (véase Fig. 11).
Los mecanismos flexibles son sistemas que se están aplicando en muchas áreas de la ingeniería y que al momento se siguen buscando nuevas áreas de oportunidad para su aplicación, especialmente en sistemas donde se busca la eliminación de las desventajas que sus contrapartes rígidas tienen.

Los mecanismos flexibles son dispositivos mecánicos que, gracias a los avances en el desarrollo de nuevos materiales, sus ventajas y características morfológicas, representan una gran oportunidad en la optimización de sistemas mecánicos ya existentes, por tal motivo se realizó la presente investigación y de la cual se obtienen las siguientes conclusiones:
- Las ventajas mecánicas que presentan estos dispositivos, como la eliminación de la lubricación, miniaturización, exactitud, entre otras, han permitido su aplicación en áreas de la medicina.
- La selección del método de diseño a implementar depende principalmente de los niveles de deflexión y la complejidad del mecanismo requerido.
- Dentro de los métodos de diseños que existen, el MOT presenta ventajas frente a los otros métodos mencionados en el presente trabajo gracias a que dicho método hace uso de los elementos finitos.
- Para la aplicación de los métodos SIMP y BESO, es de gran importancia la correcta definición y aplicación de las funciones objetivo y las ecuaciones de sensibilidad, esto para evitar desconexiones de los elementos en el dominio de diseño “efecto de tablero de ajedrez”.
- La correcta aplicación de los criterios de diseño recomendados por Howell [2] evitarán una falla prematura en el mecanismo por fatiga y obtener las deformaciones deseadas en el sistema.
- El estudio de los mecanismos flexibles sigue siendo una gran área de oportunidad dentro de la ingeniería e investigación. El constante desarrollo de los equipos de cómputo representa una gran ventaja para el uso de modelos y técnicas computacionales tales como el MOT y el MEF en el diseño de estos dispositivos.





