El movimiento sublunar
Sublunary Movement
El movimiento sublunar
Científica, vol. 26, núm. 2, pp. 1-11, 2022
Instituto Politécnico Nacional
Recepción: 07/07/2022
Aprobación: 23/09/2022
Resumen: Existen distintas formas de resolver problemas de movimiento, a saber, de manera newtoniana, lagrangiana, hamiltoniana, métodos poderosos en la solución de cualquier problema relativo al movimiento y sus posibles causas. En el caso actual se presenta el empleo de la Variable Compleja que resulta ser otro planteamiento para la solución de problemas de aplicación, ergo, muestra otra forma en el procedimiento para resolver problemas de la mecánica. Las aplicaciones de la variable compleja son de gran envergadura en diferentes áreas de la ingeniería. En este artículo se analiza el problema de la órbita de un satélite artificial alrededor de la tierra, cuya solución involucra la definición de números complejos, y a partir de él, se llega a los conceptos de velocidad y aceleración complejas, para con ellos establecer las ecuaciones complejas para la descripción del movimiento.
Palabras clave: variable compleja, mecánica celeste, satélite artificial, órbitas.
Abstract: There are different ways to solve motion problems, namely, Newtonian, Lagrangian, Hamiltonian, powerful methods in solving any problem related to motion and its possible causes. In the current case, the use of the Complex Variable is presented, which turns out to be another approach for solving application problems, ergo, it shows another way in the procedure to solve mechanical problems. The applications of the complex variable are of great importance in different areas of engineering, in this article the problem of the orbit of an artificial satellite around the earth is analyzed, whose solution involves the definition of complex numbers, and from it, the concepts of complex speed and acceleration are reached, in order to establish the complex equations for the description of the movement.
Keywords: complex variable, celestial mechanics, artificial satellites, orbits.
I. Introducción
A la memoria de Luis RF
El estudio del movimiento de los planetas siempre ha causado impresión en la mayoría de las personas que gustan de observar el cielo nocturno, de ello surgen preguntas cuyas respuestas propician avances importantes en la ciencia. El atrevimiento del hombre por realizar el sueño de volar permitió el diseño y construcción de medios que lo llevan no solo a ello, además, tener la oportunidad de salir de su morada, la Tierra.
Es mucho el camino recorrido y mencionar los pormenores seria prolijo, lo que no se debe soslayar son aquellas ramas de la ciencia que interviene directamente, de manera particular la matemática, la física y en esta última, específicamente la mecánica. Así, desde Newton hasta nuestros días, pasando lista por grandes matemáticos y físicos como Poincaré, quienes desarrollaron la mecánica celeste, que dieron lugar a lo cotidiano.
Para observar con detenimiento el planeta, se han desarrollado otras áreas del conocimiento; la tecnología cubre esta parte mediante satélites que orbitan el planeta, arrojando infinidad de datos e imágenes. La sencillez con que se mencionó orbitar no refleja su complejidad, habrá que considerar toda la información requerida. Así, se describen una serie de cálculos para determinar una de las partes esenciales de la puesta en órbita de un satélite artificial, es decir, colocar un artefacto a determinada altura. La mecánica celeste da cuenta de los cálculos requeridos para realizar la proeza de subir al cielo.
Se expone a continuación una serie de cálculos en lenguaje matemático distinto al habitual en mecánica, y vale para manifestar la sorpresa con el que muchos pensadores lo hubiesen visto con asombro, por lo que se espera ser claro y preciso, pues es una meta planteada.
Variable Compleja [1], [5], [8]
La teoría de funciones de variable compleja surgió en relación con el problema de resolución de ecuaciones algebraicas, y se ha desarrollado y relacionado con otras ramas de la matemática. Arrojó luz sobre clases de funciones del análisis, de la mecánica y la física matemática; las funciones analíticas tuvieron interpretaciones físicas en campos como hidrodinámica y electrostática, proporcionando métodos para la solución de sus problemas.
En este artículo se pretende dar una idea de la naturaleza variada de sus problemas, y se espera que dé al lector, el carácter y significado de la teoría de la variable compleja.
Ahora bien, en física, una órbita es la trayectoria que describe un objeto alrededor de otro mientras se encuentre bajo la influencia de una fuerza como la gravitacional. En este contexto, se define un satélite, como un objeto que orbita alrededor de otro, llamado principal o planetario. Los satélites artificiales son artefactos enviados al espacio en naves que los colocan a determinada altura, que orbitan alrededor de lunas y planetas [2], [3], [7].
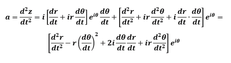
De acuerdo con lo anterior y con la intención de contextualizar en lenguaje matemático referido, se hace uso de variable compleja para definir el movimiento, pues facilita los cálculos. Todo número complejo z se puede representar como . Si z(t), r(t),(t)son funciones del tiempo t, se tiene:
Sea el desplazamiento complejo, entonces, la velocidad compleja es:
(1)Y la aceleración compleja:
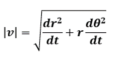
(2)Ahora la rapidez, es decir, la magnitud de la velocidad está dada por:
(3)Puesto que
Observaciones [1]:
1. En análisis vectorial, se tiene que si e1 y e2 representan los vectores unitarios ortogonales en los sentidos positivos de los ejes x e y, es posible escribir la fórmula como . Al derivar se obtienen fórmulas equivalentes a las ecuaciones (1) y (2), aunque más complicadas. A medida que la ciencia se desarrolla, ingenieros, físicos y matemáticos aprenden que muchos problemas se simplifican usando exponenciales complejas.
2. Los números complejos siguen las mismas leyes que las cantidades vectoriales encontradas en mecánica y física. Esta es una razón para pensar que los números complejos no son solo generalizaciones formales, se usan para representar magnitudes físicas reales. Esto es importante en la solución de problemas de física-matemática.
Con el esquema anterior, se tienen las condiciones para plantear y resolver el problema de las orbitas de satélites artificiales, esto es, determinar su ecuación diferencial en forma compleja.
II. Ecuación de órbitas de satélites en forma compleja [2], [5], [7]
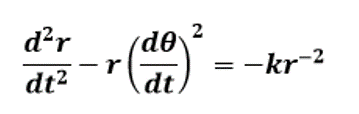
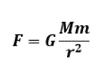
Supóngase que z=z(t), , son el desplazamiento, la velocidad y la aceleración respectivamente, de un satélite cuya masa es m, con relación a un cuerpo que tiene una masa M, localizada en el origen. Además, las fuerzas que actúan sobre el satélite son la de atracción gravitacional de Newton y la fuerza central del inverso cuadrado. La primera:
(4)que informa sobre la atracción entre dos cuerpos de masas M y m. La segunda:
(5)que informa la atracción del origen, al satélite. Esta fuerza produce orbitas cerradas y estables. En ambos casos se refiere a fuerzas conservativas, es decir, no dependen del tiempo y su rotacional es nulo.
En las ecuaciones anteriores se tiene que, r es la distancia que separa a sus centros, k es una constante y G es la constante de gravitación universal. La fuerza tiene una magnitud krm-2 = GMmr-2. Cuando r es el radio R de la tierra, la magnitud de la fuerza es el peso mg del satélite, así que mg = k(m/R2) y k = gR2 siendo g la aceleración de la gravedad.
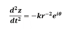
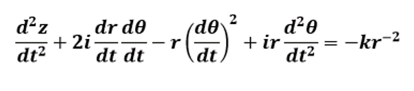
Usando la segunda ley de Newton (F=ma) se tiene que la aceleración es:
(6)Con esta última y la ecuación (2) se llega a:
(7)Es la ecuación diferencial de movimiento del satélite.
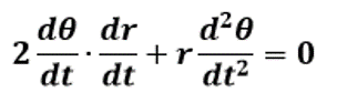
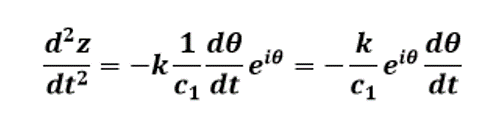
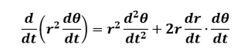
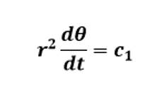
Se puede obtener información de ella, para lo que se pueden igualar las partes correspondientes, obsérvese detenidamente:


Multiplicando la segunda ecuación por r, se tiene:
(8)Por lo que para alguna constante real
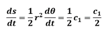
(9)Esta es un enunciado analítico que corresponde a una de las leyes de Kepler (1571-1630), donde se afirma que un satélite se mueve siguiendo una órbita tal que, el vector que va desde el cuerpo central hasta el satélite barre regiones de áreas iguales en intervalos iguales de tiempo. En efecto, véase la Figura 1.

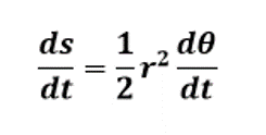
El área del sector circular es , esto es:
(10)Ahora comparando con la ecuación (7) se ve que el cambio en el área es una constante y de ahí el resultado.
Observación.

Se conoce como velocidad areolar, y se entiende como el área recorrida por unidad de tiempo de manera constante.
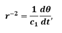
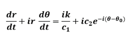
Considérese el caso en el que c1 > 0 significa que el satélite gira en sentido positivo; usando la ecuación (7) para cancelar la variable r de la ecuación (4) de donde:

Que sustituida en

Se llega a:

Es decir;
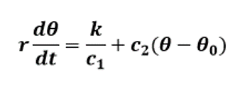
(11)Que, por integración conduce a:
(12)Donde c2 y son constantes reales y c2> 0. Existen varias maneras de combinar las fórmulas anteriores y obtener otras. Por ejemplo, se pueden igualar los segundos miembros de (1) y (9) multiplicando el resultado por, y obtener:

Es decir
(13)Igualando las partes correspondientes se llega a las dos ecuaciones:
(14)
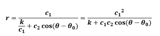
(15)Multiplicando (12) por r y recordando que se tiene:

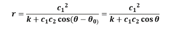
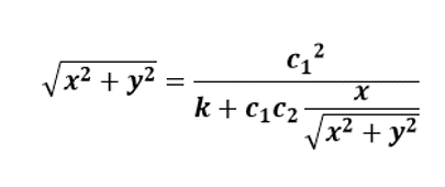
Despejando a r:
(16)Según la velocidad y la posición del satélite en un instante particular, por ejemplo t=0 la órbita del satélite es toda o parte de la gráfica de esta ecuación ordinaria en coordenadas polares. Supóngase para simplificar que los ejes están orientados en tal forma que. Se puede escribir esta ecuación en la forma:
(17)Donde > 0 y
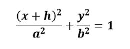
Cuando E=0, la órbita es una circunferencia. En efecto, de la ecuación (17) se tiene que r=A, es decir, x2 + y2 = A2.
Cuando E>0, la gráfica de (17) es aquella en la que los puntos P (véase Figura 2), con coordenadas rectangulares x,y y coordenadas polares tales que x<A/E y OP=E.PD, donde OP es la distancia r desde el origen a P y PD es la distancia, de P a la recta x=A/E.
Así pues, cuando E>0 la gráfica de (17) es una cónica de excentricidad E, estando uno de los focos en el origen y la línea recta x=A/E como directriz.

La cónica es una elipse si 0<E<1; una parábola E=1 cuando y una rama de la hipérbola cuando E>1.
Algunas de las fórmulas citadas son útiles para diversos propósitos. Por ejemplo, si se conocen los valores numéricos de las constantes c1, c2 y en (10) y (14), y si además se saben los valores de y r para cierto tiempo t0, entonces usando computadoras se pueden emplear (10) y (14) para encontrar aproximaciones numéricas de y r en tiempos posteriores. Se requieren de estos métodos, porque, excepto, en los casos en que las órbitas son una circunferencia o una parábola, y r no son funciones elementales de t.
III. Leyes de Kepler en forma compleja [2], [6], [8]
Un poco de historia. Antes de la época de Newton, Kepler descubrió sus famosas leyes valiéndose para ello de notables observaciones de los planetas (satélites del sol), que habían sido hechas por Tycho Brahe (1546-1601).
Leyes de Kepler
La primera Ley de Kepler dice:
“Las órbitas de los planetas son elipses con el sol, en uno de sus focos”.
La segunda Ley de Kepler dice:
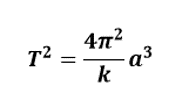
“Los cuadrados de los periodos son proporcionales a los cubos de las distancias medias”.
Así, Newton conocía las fórmulas:
(18)A partir de ellas, Newton dedujo la ley de los inversos cuadrados que describe las fuerzas que ejerce el sol sobre sus satélites. El resultado condujo al nacimiento de su Ley de la Gravitación Universal.
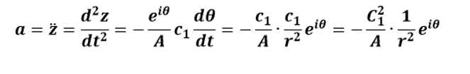
La tarea es indagar como Newton pudo extraer información a partir de la ecuación (18) en caso de que hubiera tenido conocimiento de exponenciales complejas. Sea, z también se puede expresar así, y como, se tiene que:
(19)Derivando respecto a t:

Pero se sabe que;, también por tanto:

Es decir:
(20)Volviendo a derivar respecto a t se llega:
(21)Se puede entender de esta ecuación, que el satélite se acelera hacia el origen y su magnitud es inversamente proporcional al cuadrado de la distancia del origen al satélite. Se dice que Newton retrasó su publicación de su teoría de atracción (o de la gravitación) 20 años en vista de que no le satisfizo completamente, hasta que fue capaz de demostrar el hecho siguiente:
Dos esferas radialmente homogéneas en el sentido de que las densidades en ellas dependen solamente de las distancias a sus centros, se atraen como si sus masas totales estuvieran agrupadas en sus centros.
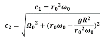
Usando k=gR2, , y; se pueden determinar c1, c2 y en el instante t=0, con , r=r0, y.
En efecto , y , , ,por tanto:

Y en el caso de que , se determina a partir de las fórmulas:

En caso de que c2=0, la órbita es una circunferencia, y es no sólo inaplicable sino también indeterminado. La órbita será una circunferencia, si y solo si y y.
Caso particular.
Encontrar el tiempo en minutos necesarios para que un satélite complete un circuito cerrado siguiendo una órbita circular (o casi circular) de 480 km por encima de la superficie de la tierra.
Solución. Se sabe que despejando a :
(22)Tomando g = 9.81 m/s2, R = 64 X 105m y r0 = 688 X 104m se tiene w0 = 1.1 X 10-3 lo que equivale a 910 rad/s o sea 5700 rev/s completa, a lo que es lo mismo: 95 rev/s. El primer satélite lanzado por el hombre, en 1957, el Sputnik soviético, completó un circuito de su órbita elíptica, casi circular en 96 minutos.
IV. Tercera Ley de Kepler en forma compleja [4], [6], [8]
Ahora la propuesta es deducir la tercera ley de Kepler, que proporciona el periodo T de un satélite cuya órbita es una elipse. Supóngase que 0 < c1c2 < k y que el sistema coordenado se encuentra orientado de tal forma que = 0 para deducir que en efecto se trata de una elipse.
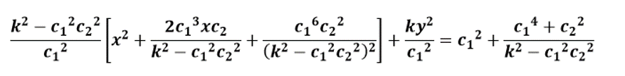
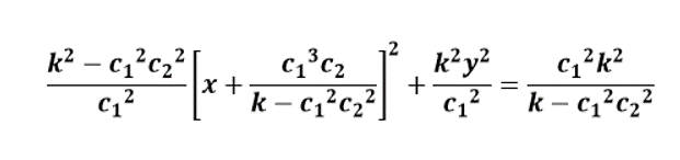
Usando la ecuación (16):

la ecuación se encuentra en coordenadas polares y al sustituir:

De aquí que mediante algunos pasos algebraicos:

Es decir:

Que se reduce a:

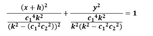
Donde , tomando y la ecuación se reduce sencillamente a
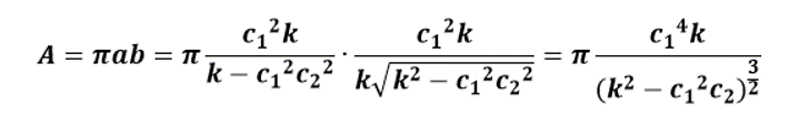
(23)Que corresponde a la ecuación de una elipse. Ahora

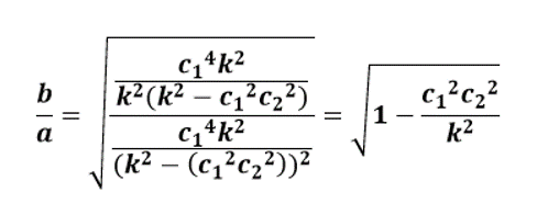
Como se ha supuesto que 0<c1c2<k, significa que 0<b<a así pues a es la longitud del semieje mayor, en tanto que es la longitud del semieje menor.
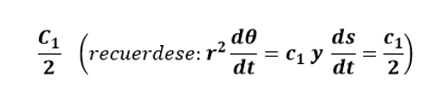
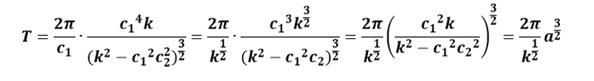
Por último, la Tercera Ley de Kepler. Se sabe que el área de una elipse es así pues:
(24)Como el radio vector del origen al satélite barre un área a velocidad constante

El número T es unidades de tiempo que emplea el satélite para completar una revolución de la órbita elíptica deberá ser T=2A/c1; así pues:

Finalmente se llega al resultado deseado:
(25)La constante k sólo depende de la masa del cuerpo y de las unidades empleadas.
V. Conclusiones
1. Este enfoque en el análisis representa un reto interesante en la comunidad estudiantil de nivel superior, pues es clara la aplicación de la variable compleja, como otra forma de solución de problemas.
2. Se expresaron algunas ecuaciones históricamente conocidas en mecánica en una forma distinta, a través de la variable compleja; para lograrlo hubo necesidad de recurrir a esta área de la matemática poco usada en este tipo de problemas, sin embargo, la belleza y potencia del método simplifica las expresiones y facilita su cálculo.
3. La introducción de funciones complejas es conveniente cuando se integran funciones, se resuelven ecuaciones diferenciales y otras. Como se observó, la notación compleja es conveniente en la formulación matemática de proposiciones físicas, por ejemplo, lo aquí expuesto, de ingeniería eléctrica-electrónica, etc.
4. La idea de realizar este tipo de cambios para la obtención de otras representaciones sugiere hacer un análisis con otros métodos que darán nueva información acerca de la solución a diversos problemas.
Referencias
[1] J. E. Marsden, M. Hoffman, Análisis básico de variable compleja, México: Trillas, 1996.
[2] W. F. Riley, L. Sturges, Ingeniería mecánica dinámica, México: Reverté, 1996.
[3] A. Markushevich, Números complejos y representaciones Conformes, 2ª ed., Moscú: MIR. 1984.
[4] R. Fuster, I. Giménez, Variable compleja y ecuaciones diferenciales, México: Reverté, 1995.
[5] E. A. Grove, G. Ladas, Introduction to Complex Variables, Boston: Houghton Mifflin, 1974.
[6] H. Goldstein, Mecánica clásica, Barcelona, España: Reverté, 1987.
[7] W. Hauser, Introducción a los principios de mecánica, México: UTEHA, 1966.
[8] J. B. Conway, Funciones de una variable compleja, Nueva York: Springer, 2000.