Análisis de sistema de potemcia para computadora de vuelo de un nanosatélite CubeSat utilizando COTS
Analysis of Power System for Flight Computer of a CubeSat Nanosatellite
Análisis de sistema de potemcia para computadora de vuelo de un nanosatélite CubeSat utilizando COTS
Científica, vol. 27, núm. 2, pp. 1-12, 2023
Instituto Politécnico Nacional
Recepción: 14/02/2023
Aprobación: 31/05/2023
Resumen:
Los dispositivos CubeSats se concibieron con uno de los objetivos de proporcionar a los estudiantes experiencias en el diseño, construcción y pruebas aeroespaciales a escalas reducidas. Debido a esto, los CubeSats poseen ventajas competitivas en comparación con otros satélites; enfatizando el costo, flexibilidad y uso de productos comerciales listos para utilizar (COTS). Asimismo, la placa de potencia de estos dispositivos juega un papel crucial en el sistema de energía, ya que se encarga de distribuir la energía eléctrica para cada uno de los componentes del satélite, de manera segura y eficiente. No obstante, el uso de electrónicos no diseñados para misiones espaciales suele comprometer el rendimiento y confiabilidad de nuestro dispositivo. Por tanto, el análisis de la placa PCB es de suma importancia para garantizar el correcto funcionamiento del CubeSat, salvaguardando su integridad y los subsistemas dependientes. Este documento plantea el análisis de una placa de potencia para la computadora de vuelo, empleando sistemas redundantes, de control y registro de fallos, así como el uso de componentes COTS para su implementación, adaptación y alcance en cualquier entorno industrial, educativo y comercial; con la finalidad de redituar mayormente el funcionamiento del dispositivo.
Palabras clave: nanosatélite, telecomunicaciones, subsistema de potencia, COTS, CubeSat.
Abstract:
CubeSats devices were conceived with the goal of providing students with experiences in small-scale aerospace design, construction, and testing. Because of this, CubeSats have competitive advantages compared to other satellites; emphasizing the cost, flexibility, and use of commercial off-the-shelf (COTS) products. Likewise, the power board of these devices plays a crucial role in the power system, since it is responsible for distributing electrical power to each of the satellite components, safely and efficiently. However, the use of electronics not designed for space missions often compromises the performance and reliability of our device. Therefore, the analysis of the PCB board is of the utmost importance to guarantee the correct operation of the CubeSat, safeguarding its integrity and the dependent subsystems. This document proposes the analysis of a power board for the flight computer, using redundant, control and fault recording systems, as well as the use of COTS components for its implementation, adaptation and scope in any industrial, educational and commercial environment; in order to improve the performance of the device.
Keywords: nanosatellite, telecommunications, power subsystem, COTS, CubeSat.
I. Introducción
Los circuitos impresos son ahora un elemento extremadamente importante en cualquier sector, estos se utilizan principalmente para crear una conexión entre componentes electrónicos como resistencias, sistemas integrados y conectores [1]. Hoy en día, la estandarización de la electrónica ha llevado al uso exitoso de estas placas debido a sus grandes funcionalidades [2], [3]; sin embargo, el comportamiento de las resistencias mecánicas, dinámicas y el comportamiento vibratorio, no han sido estudiados y difundidos ampliamente. Por ende, las placas de circuito impreso tienden a fallar por aspectos de esta índole, seleccionando distintas propiedades físicas, eléctricas y térmicas en función de la aplicación y su eficiencia durante el desarrollo de pruebas de control.
Entre los circuitos impresos estandarizados más utilizados en este campo, se encuentran la placa base y la placa de batería PyCubed. Esta plataforma de código abierto, totalmente programable en lenguaje Python, se utiliza para nanosatélites CubeSat de 1U, permitiendo comunicarse con los diversos subsistemas del CubeSat, como el sistema de energía, las radios y los sensores, y realizar tareas como telemetría, comando y control. El concepto de diseño modular de la placa de circuito impreso (PCB) PyCubed permite al diseñador mantener flexibilidad en el diseño y, al mismo tiempo, tener un diseño de hardware y software seguro dentro del entorno de GitHub, simplificando el principio para el desarrollo de estos dispositivos [4], [5].
Si bien estos modelos comerciales poseen ventajas de mercado competitivas en cuanto al costo de armado y diseño de software libre, la parte estructural de la placa muestra deficiencias ante comportamientos vibratorios. Para abordar las deficiencias generadas entre el modelo experimental y el modelo numérico, algunos autores proponen una caracterización mecánica completa (dinámica y estática) de la placa desprovista de componentes. Sin embargo, estos valores no son considerados suficientes para comprender el panorama completo del funcionamiento experimental, pues no consideran los aportes internos de la PCB ni los componentes, realizando simulaciones numéricas que difieren considerablemente de la realidad [6].
Por lo tanto, este artículo abordará la creación, modelado e implementación de una placa PCB para el sistema de energía eléctrica (EPS, por sus siglas en inglés) para un CubeSat, considerando las normativas aplicables para el trazado de rutas y la colocación de componentes reglamentados para la regulación de potencia.
II. Hardware en contexto
A. CubeSat basados en Arduino
Arduino se basa en una serie de microcontroladores, que son pequeños dispositivos electrónicos programables. Estos microcontroladores están conectados a una placa de desarrollo, que a su vez se conecta a una computadora a través de un cable USB. El usuario puede escribir y cargar programas en el microcontrolador utilizando un entorno de desarrollo integrado (IDE) de Arduino o utilizando editores de código compatibles.
El Arduino y la electrónica asociada son útiles para la automatización de una amplia gama de proyectos [7], la popularidad de esta plataforma de hardware libre y de código abierto se debe a su facilidad de uso y accesibilidad para personas sin conocimientos previos.
Este producto COTS de código abierto, tiene una aplicación potencial para nanosatélites construidos por estudiantes, aficionados e investigadores [8], un popular microcontrolador programable en C/C++ a través del puerto USB.
Dentro de algunos prototipos de CubeSat implementados en Arduino podemos encontrar el ArduSat [9], en referencia a los tres CubeSats de una unidad que se lanzaron en 2013 y 2014. Estos dispositivos albergaban cámaras y sensores IMU para medir y transmitir la orientación con base en el campo magnético de la Tierra, aceleración lineal de un objeto en los 3 ejes y rotación angular de un objeto; así como sensores de presión, temperatura y luminosidad [10]. Los ArduSats abrieron un panorama más completo de las aplicaciones de los microcontroladores COTS de código abierto, demostrando que si bien, Arduino es apto para proyectos básicos principiantes se puede extrapolar a proyectos avanzados.
En el contexto de CubeSats educativos, la popularidad del dispositivo Arduino y sus licencias de hardware y software abierto permiten que exista una gran cantidad de recursos (ejemplos, tutoriales, proyectos básicos) disponibles en Internet, lo que lo hace aún más flexible para personas que incursionan recientemente dentro del desarrollo de proyectos de ingeniería.
Los productos COTS si bien, mantienen bajo el costo y flexibilidad de los CubeSats, comprometen la fiabilidad y rendimiento del dispositivo al no ser componentes diseñados específicamente para utilizarlos dentro de la rama espacial. Por tanto, es necesario someter nuestro CubeSat a diversas pruebas que corroboren el funcionamiento correcto de los sensores y los componentes electrónicos.
B. CubeSat basado en microcontroladores
Los microcontroladores son un componente fundamental en los CubeSats, ya que proporcionan la capacidad de controlar y monitorear diferentes aspectos del satélite. Los microcontroladores se utilizan para controlar los sistemas de propulsión, la orientación y la posición del satélite, así como recopilar y transmitir datos a la Tierra.
Existen muchos microcontroladores diferentes disponibles para uso en CubeSat, y la elección del microcontrolador adecuado dependerá de las necesidades específicas del proyecto. Algunos de los microcontroladores más comunes utilizados en CubeSat incluyen el AVR de Atmel, el PIC de Microchip y el MSP430 de Texas Instruments.
En diversas ocasiones, se utiliza más de un microcontrolador por placa, asegurando la recopilación de datos y autonomía de cada una de ellas, uno configurado como el PIC principal y otro PIC de reinicio habilitado como perro guardián [11].
III. Estructuras del sistema de potencia
Un sistema de potencia de CubeSat es un conjunto de componentes y dispositivos que se utilizan para proporcionar energía eléctrica al CubeSat, sus sistemas y equipos. Los sistemas de potencia de CubeSat deben ser muy compactos y ligeros para cumplir con los requisitos de tamaño y peso de los CubeSat, y deben ser capaces de proporcionar energía suficiente para alimentar el CubeSat durante su operación.
El Sol, al ser la principal fuente de energía en el espacio, es aprovechado en medida por el uso de paneles fotovoltaicos en colaboración con baterías de alta eficiencia para proporcionar energía continua al sistema. Asimismo, los sistemas de potencia de CubeSat suelen incluir fuentes de energía de respaldo, como baterías, o sistemas de energía a gas, dispositivos de control y distribución de energía, como reguladores de voltaje y circuitos de protección [12]. También pueden incluir dispositivos de almacenamiento de energía secundarios, como capacitores o baterías adicionales, que se utilizan para proporcionar energía de respaldo en caso de fallas en la alimentación principal [13].
El sistema de energía eléctrica EPS es el responsable de gestionar la generación, almacenamiento, regulación y distribución de la energía eléctrica dentro del satélite [14].
En el sistema de potencia se pueden encontrar diferentes arquitecturas o estructuras, tales como la estructura TDE (DET, por sus siglas en inglés), regulación de control y potencia (PPT, Peak Power Tracking) y la TED (Transmisión Directa de Energía), se muestra en la Fig. 1.

Es notorio que en esta arquitectura se reducen las pérdidas de potencia, al permitir el flujo de energía de manera directa. No obstante, sería necesario que todos los compontentes trabajaran bajo el mismo voltaje, limitando el uso de componentes con mayor o menor consumo.
Para ello (véase Fig. 2), se hace uso de la arquitectura PPT en conjunto con el MPPT (Maximum Power Peak Tracking), obteniendo así la máxima potencia entre el balance de voltaje e intensidad de forma para la máxima eficiencia del sistema y teniendo un mayor control en la regulación de potencia.

IV. Estados del sistema
Aplicando metodologías de diseño de bajo consumo, se ha optado por la incorporación de circuitos de conmutación tipo MOSFET N Low Side, los cuales regulen el polo GND de alimentación de los dispositivos, permitiendo así reducir la energía del sistema cuando los dispositivos no sean parte de los dispositivos activos en el estado de operación correspondiente [15].
En la Fig. 3, se muestran los estados y principales estados de operación estimados para el control del sistema.

Se propone la utilización de un sistema basado en un microcontrolador de bajo consumo, entre las opciones se propone la utilización de un microcontrolador de la familia PIC24JG o un microcontrolador de la familia ESP32, partiendo de los conceptos de los sistemas embebidos, se realizará la creación de protocolos fácilmente incorporables en lenguaje C, lo que permite una escalabilidad del proyecto para futuras mejoras.
A fines prácticos del diseño, se manejara el microcontrolador ESP32 debido a ser un microcontrolador con 3 modos de bajo consumo, tener periféricos integrados de reloj en tiempo real (Real Time Clock Calendar RTCC) y contar de igual forma con periféricos de control de caída en su alimentación VLD, periféricos de fácil escritura de memoria ROM (Parallel Master-Port), 12 pines de lectura analógica, pines de comunicación digital, capacidad de implementación de un sistema de tipo RTOS, así como presentar un sistema de interrupciones por prioridades. Cabe mencionar, que este conjunto de periféricos especiales se encuentra también dentro de la familia STM32L, sin embargo, se utilizará el microcontrolador mencionado a razón de ser un microcontrolador de 32 bits con certificación de Hardware tipo B [16].
V. Potencia
Para cada uno de estos estados se identificaron dispositivos principales que se encuentran en estado activo. A partir de la hoja de datos de cada dispositivo, se realizó la comparación energética de cada estado para determinar la demanda energética máxima nominal del sistema.
Extrapolando la información de la hoja de datos correspondiente para cada estado, podemos determinar que el estado con mayor demanda energética corresponderá estado de regulación de potencia.
Se destaca que en el modo de reposo la unidad de mayor consumo de corriente es el oscilador de tipo MEMS, el cual es un doble oscilador, uno secundario de 32.768 kHz y el oscilador rápido de 24 MHz. Si bien, la demanda de corriente mencionada corresponde a ambos osciladores activados, el microcontrolador solo requiere el uso del oscilador secundario en modo de reposo, por lo que se requiere medir el comportamiento del oscilador para determinar la corriente real demandada.
A. Paneles solares
Las celdas solares convencionales convierten la energía solar en energía eléctrica por el efecto fotovoltaico existente en la unión semiconductor-semiconductor. El semiconductor más utilizado en este tipo de celdas es el Si monocristalino que realiza dos procesos simultáneamente: absorción de luz y separación de carga fotogenerada. Estos paneles están fabricados a partir de cristales de silicio puro, que se cortan y pulen para formar células solares individuales y requieren un equipo de producción sofisticado para controlar la calidad del material, lo que aumenta el costo en comparación con una celda policristalina [17].
Los paneles solares monocristalinos tienen una eficiencia de conversión de luz a energía típicamente entre el 15% y el 20%, mientras que los paneles policristalinos tienen una eficiencia de conversión típicamente entre el 10% y el 15%, lo que significa que pueden generar más energía eléctrica por unidad de área [18]. Asimismo, estos paneles son más resistentes a la degradación por el tiempo y a la exposición con el medio ambiente; tienen un rendimiento mejorado en condiciones de baja luz en áreas con menor luz solar disponible y una mayor eficiencia en temperaturas altas, por lo cual, son una opción más eficiente y duradera para generar energía eléctrica a largo plazo.
No obstante, con la finalidad de continuar con el objetivo de los componentes listos para usar (COTS), se seleccionaron unas celdas policristalinas de silicio (véase Fig. 4).

No obstante, la eficiencia en la captación de energía solar depende de la posición en la que se encuentre el CubeSat [19]. Por lo tanto, se colocarán cuatro paneles solares en paralelo, colocados en los costados de la estructura del CubeSat, asegurando de esta manera que cargue en cada una de las posiciones y aumentando la potencia final en MPP.
Se observan las características principales del panel solar seleccionado (véase Tabla 1), así como los cálculos finales correspondientes para la intensidad, voltaje y potencia (véase Tabla 2).

Por lo tanto,

B. Batería
Las baterías para CubeSat son pequeñas, livianas y diseñadas para proporcionar energía a los sistemas y la carga útil del satélite. Estas baterías suelen ser de iones de litio (Li-ion) o de polímero de litio (Li-poly), ya que ofrecen una alta densidad de energía y una larga vida útil. El tipo y tamaño de la batería utilizada dependerá de los requisitos de energía específicos del satélite y su misión, así como sus costos operativos y de lanzamiento, ya que operarán en un entorno hostil y durante un período prolongado [20].
Partiendo de los principios de energía se calculó una demanda energética aproximada.

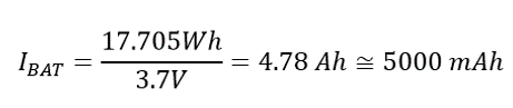
Se espera que en uso activo el dispositivo pueda realizar el reconocimiento en un periodo máximo de 1 hora disponiendo únicamente de la batería.
Se propone un sistema de batería de 3.7 V para evitar las perdidas energéticas por regulación externa y una carga energética de 5000 mAh.

Se calcula el tiempo aproximado de duración del sistema en modo activo, únicamente los correspondientes dispositivos reguladores de voltaje, sensores y elementos de comunicación satelital.

Se propone entonces como fuente de alimentación del sistema. un circuito de alimentación basado en baterías de LiPo de 3.7 V a 5000 mAh, debido a su relación de energía específica, su recta de carga, así como la naturaleza de su recta de descarga, puesto que presentan una mayor robustez en su uso, permitiendo que el dispositivo pueda operar durante mayor tiempo sin necesidad de cambiar la batería por otra continuamente [21].
Las baterías LiPo son una fuente de alimentación habitual para aplicaciones de usos considerables de corriente y de valores de voltaje estándar. Presenta una gran cantidad variedad de empaquetados y valores nominales en el mercado, asegurando tener una opción económica que cumpla con la demanda energética del sistema.
Se observa la relación de descarga de cada tipo de batería, siendo la Li-ion de las más eficientes (véase Fig. 5).
![Relación de descarga en relación con energía especifica de distintos tipos de celda [21].](../61482706003_gf16.png)
Asimismo, se observa la curva de descarga correspondiente para el tipo de batería seleccionada (véase Fig. 6).
![Recta de descargas de baterías de tipo LiOn y de tipo LiPo [22].](../61482706003_gf10.png)
Se muestra el comportamiento de la batería en función de la temperatura de contacto, observando que la batería tiene un comportamiento de descarga exponencial en cada aumento constante de temperatura, por lo cual, es necesario mantener un buen sistema de enfriamiento (véase Fig. 7).
![Recta de descarga por temperatura [23].](../61482706003_gf11.png)
C. Redundancia para mayor confiabilidad
Una práctica común para la confiabilidad en sistemas espaciales es aplicar redundancia a subsistemas críticos, como el caso de la EPS. Cuando se aplica redundancia a las unidades completas del subsistema y sus componentes, es posible utilizar conexiones cruzadas entre ellos utilizando interfaces eléctricas redundantes [24]. Para este caso en particular, se aplicaron redundancias en los reguladores primarios de voltaje correspondientes a 5V y 3.3V, asegurando correctamente el funcionamiento clave en caso de falla de algún sistema no secundario.
VI. Envío de datos
La recopilación del conjunto de datos EPS se realizó utilizando una antena XBee S2C PRO que lee los datos del puerto serial a 1 Hz, correspondientes al sensor ADC para la batería del satélite e indicadores de conexión de componentes. Una vez que los datos se envían de los satélites a la estación terrestre, esta lo muestra en pantalla y genera un archivo .CSV cómo respaldo de información (véase Fig. 8).

VII. Simulación del sistema
Con la finalidad de comprobar el funcionamiento lógico del circuito, así como la asignación de pines correspondientes para cada entrada y salida de los componentes; se realizó una simulación de este dentro de la plataforma Wokwi, contemplando el microcontrolador seleccionado y adaptando el modelo a los elementos existentes dentro de la plataforma. De esta manera, se comprobó que la lógica de misión asignada correspondía a lo solicitado, del mismo modo, los pines colocados, así como el voltaje asignado para los componentes se fijaron correctamente (véase Fig. 9).

VIII. Resultados y discusión
El resultado de la placa de potencia para computadora de vuelo CubeSat muestra redundancia en los sistemas de regulación de corriente seleccionados, así como lógica de misión para la conexión de celdas solares, estado de la batería mediante un ADC y conectividad entre placas, lo que la hace independiente y completamente autónoma [24] (véase Fig. 10).

IX. Conclusiones
El uso de nanosatélites y sistemas remotos se ha vuelto de suma importancia con el pasar del tiempo. Asimismo, la implementación de sistemas versátiles se vuelve cada vez más vital para el desarrollo de nuevos modelos de uso común. Si bien, los CubeSat abren las puertas a países en vías de desarrollo, es necesario poder gestionar y asignar componentes accesibles para cada ambiente industrial, comercial y educativo.
La forma de implementación y diseño dependerá de las características y misión específica del satélite, sin embargo, es necesario seguir al pie de la letra las normativas que regulan el proceso de manufactura del mismo, así como las pruebas necesarias para garantizar su correcto funcionamiento.
El código abierto está reduciendo la barrera de la educación y el acceso a la tecnología en general, como el uso de Arduino o dispositivos STM para proyectos a grandes y pequeñas escalas. Este también podría ser el caso de la tecnología espacial. El CubeSat parece ser una oportunidad ideal para demostrar la versatilidad y aplicación de los componentes de listos para utilizar (COTS).
Sin embargo, el próximo gran paso en la exploración espacial no se logrará a través de la competencia pública y privada de este sector, sino más bien mediante un esfuerzo colaborativo de personas alrededor del mundo, empleando el espíritu del software y hardware libre.
Agradecimiento
Los autores agradecen el apoyo al proyecto con registro 20221341 en el Programa Especial de Consolidación de la Secretaria de Investigación y Posgrado del Instituto Politécnico Nacional
Referencias
[1] C. Robertson, Printed Circuit Board Designer's Reference Basics, New Jersey, United States of America: Pearson Education, 2003.
[2] J. Straub et al., “CubeSats and Small Satellites”, International Journal of Aerospace Engineering, vol. 2019, doi: https://doi.org/10.1155/2019/9451673
[3] J. Straub et al., “OpenOrbiter: A Low-Cost, Educational Prototype CubeSat Mission Architecture”, Machines, vol. 1, no. 1, 2013, pp. 132, doi: https://doi.org/10.3390/mach1010001
[4] G. Morettini, A. Staffa, E. Mancini, M. Dionigi, F. Cianetti, C. Braccesi, “Simplified Fe modeling of the PyCubed PCB complete with components for CubeSat missions”, Journal of Space Safety Engineering, vol. 9, no. 3, 2022, pp. 328-340, doi: https://doi.org/10.1016/j.jsse.2022.06.004.
[5] PyCubed, “What is a PyCubed”, 2023, https://pycubed.org/.
[6] BsC. Güvenç, C. C., BsC. Topcu B., and Ph.D. Tola C., "Mechanical Design And Finite Element Analysis Of A 3 Unit Cubesat Structure", International Scientific Journal, vol. 12, no. 5, 2018, pp. 193-196, available: https://stumejournals.com/journals/mtm/2018/5/193.
[7] Joshua M. Pearce, “Economic savings for scientific free and open source technology: A review”, HardwareX, vol. 8, 2020, doi: https://doi.org/10.1016/j.ohx.2020.e00139.
[8] S. Antunes, Bulding a Space-Ready General Base Picosatellite for Any Mission, Gravenstein Highway North, United States of America: O'Reilly, 2012.
[9] Small Spacecraft Technology State of the Art, NASA/TP–2015–216648/REV1, National Aeronautics and Space Administration, USA, Dec. 2015, available: https://www.nasa.gov/sites/default/files/atoms/files/small_spacecraft_technology_state_of_the_art_2015_tagged.pdf.
[10] Kenjiro S. Lay, Lingqi Li, Masataka Okutsu, High altitude balloon testing of Arduino and environmental sensors for CubeSat prototype, HardwareX, vol. 12, 2022, doi: https://doi.org/10.1016/j.ohx.2022.e00329.
[11] A. Jara, P. Lepcha, S. Kim, H. Masui, T. Yamauchi, G. Maeda, M. Cho, On-orbit electrical power system dataset of 1U CubeSat constellation, Data in Brief, vol. 45, 2022, doi: https://doi.org/10.1016/j.dib.2022.108697.
[12] Aung, H., Soon, J. J., Goh, S. T., Lew, J. M., & Low, K.-S. (2020). Battery Management System With State-of-Charge and Opportunistic State-of-Health for a Miniaturized Satellite. IEEE Transactions on Aerospace and Electronic Systems, vol. 56, no. 4, doi: https://doi.org/10.1109/TAES.2019.2958161
[13] Ian F. Akyildiz, Josep M. Jornet, Shuai Nie, A new CubeSat design with reconfigurable multi-band radios for dynamic spectrum satellite communication networks, Ad Hoc Networks, Volume 86, 2019, pp. 166-178, doi: https://doi.org/10.1016/j.adhoc.2018.12.004.
[14] Gonzalez-llorente, J. Análisis de la Capacidad de Almacenamiento de las Baterías para un Satélite CubeSat 3U., 2016
[15] Semiconductor Components Industries, “Using MOSFETs in Load Switch Applications . AND9093”,LLC,2014. AND9093/D, available: https://www.onsemi.cn/PowerSolutions/document/AND9093-D.PDF.
[16] Microchip Technology Inc., 2020, 16-Bit General Purpose Microcontrollers with 256-Kbyte Flash and 16-Kbyte RAM in Low Pin Count Packages, available: https://ww1.microchip.com/downloads/en/DeviceDoc/ESP32-Family-Data-Sheet-DS30010118E.pdf
[17] Alfredo Olea, Georgina Ponce, P.J Sebastian, Electron transfer via organic dyes for solar conversion, Solar Energy Materials and Solar Cells, Volume 59, Issues 1–2, 1999, pp. 137-143, doi: https://doi.org/10.1016/S0927-0248(99)00038-0.
[18] Nelly Maria Rosas-Laverde, Alina Pruna, Jesus Cembrero, Javier Orozco-Messana, Francisco Javier Manjón, Performance of graphene oxide-modified electrodeposited ZnO/Cu2O heterojunction solar cells, Boletín de la Sociedad Española de Cerámica y Vidrio, Volume 58, Issue 6, 2019, pp. 263-273, doi: https://doi.org/10.1016/j.bsecv.2019.06.002
[19] Lía Hidalgo de los Santos, “Analysis of the failure modes of the energy management system of a Cubesat”, INTEC, available: https://repositoriobiblioteca.intec.edu.do/handle/123456789/5683?show=full
[20] Aloysius F. Hepp, Prashant N. Kumta, Oleg I. Velikokhatnyi, Ryne P. Raffaelle, “Silicon Anode Systems for Lithium-Ion Batteries”, Elsevier, 2022, pp. 457-508, doi: https://doi.org/10.1016/B978-0-12-819660-1.00011-6.
[21] Dan Hold, "Battery Charging Fundamentals, Battery Basics, Discharge Rate ," Microchip University,. 18 de Jul. de 2022, available: https://mu.microchip.com/battery-charging-fundamentals/617408
[22] DAN HOLD, "BATTERY CHARGING FUNDAMENTALS, Battery Chemistries, Li-Ion," Microchip University,. 18 de Jul. de 2022, available: https://mu.microchip.com/battery-charging-fundamentals/617418
[23] DAN HOLD, "BATTERY CHARGING FUNDAMENTALS, Charging Waveforms,Li-Ion ," Microchip University,. 18 de Jul. de 2022, available: https://mu.microchip.com/battery-charging-fundamentals/617443
[24] J. Bouwmeester, A. Menicucci, E.K.A. Gill, “Improving CubeSat reliability: Subsystem redundancy or improved testing?”, Reliability Engineering & System Safety, Volume 220, 2022, doi: https://doi.org/10.1016/j.ress.2021.108288.
Información adicional
redalyc-journal-id: 614