Modelo de reconfiguración óptima de la transmisión
Optimum Transmission Reconfiguration Model
Modelo de reconfiguración óptima de la transmisión
Científica, vol. 27, núm. 2, pp. 1-18, 2023
Instituto Politécnico Nacional
Recepción: 05/02/2023
Aprobación: 24/05/2023
Resumen: En este trabajo se presenta el problema de la reconfiguración óptima de la red de transmisión. Se muestra la forma en la que se construye el modelo matemático que se usa para resolver la problemática, haciendo una extensión del tradicional modelo de flujos óptimos, adicionando variables binarias para describir la conexión y desconexión de líneas de transmisión (tema principal de la reconfiguración óptima). Se utiliza un sistema pequeño de tres nodos para ejemplificar a detalle la construcción del modelo para luego extenderlo en la solución de un sistema de prueba de 14 nodos y otro más de 41 nodos (sur de Brasil) vía una implementación en AMPL usando CPLEX. Se muestran las diferencias económicas de usar un modelo de reconfiguración óptima contra la solución tradicional de flujos óptimos, traducidas en una reducción en el costo total de operación de cada sistema.
Palabras clave: flujos óptimos de potencia, reconfiguración óptima de la transmisión, programación lineal entera−mixta.
Abstract: In this work the problem of the optimal reconfiguration of the transmission network is presented. The way in which the mathematical model used to solve the problem is built is shown, making an extension of the traditional model of optimal power flows, adding binary variables to describe the connection and disconnection of transmission lines (main topic of optimal reconfiguration). A small system of three nodes is used to exemplify in detail the construction of the model to later extend it in the solution of a test system of 14 nodes and another one of 41 nodes (south of Brazil) via an implementation in AMPL using CPLEX. The economic differences of using an optimal reconfiguration model against the traditional solution of optimal power flows are shown with a reduction in the total cost of operation of each system.
Keywords: optimal power flows, optimal transmission switching, mixed-integer linear programming.
I. Introducción
La redundancia presente de forma general en las redes de transmisión eléctrica ha sido una constante en el mundo con la finalidad de garantizar la confiabilidad de los sistemas eléctricos ante los peores escenarios de contingencias. Al ser esta la naturaleza de los sistemas de transmisión, los elementos que lo constituyen (líneas y transformadores) podrían no ser requeridos en determinados períodos de operación, causando una ineficiencia económica considerable en el despacho de generación.
De esta manera, el definir qué topología es mejor para un determinado período de tiempo es una tarea importante en la operación en tiempo real de los sistemas de potencia. El análisis clásico de Flujos Óptimos de Potencia (FOP) termina quedándose corto ante esta problemática, ya que aquí se considera a la red eléctrica como un elemento completamente estático y en donde se conoce a priori qué líneas están en servicio o no. Es decir, en el análisis de los FOP se busca optimizar el despacho económico de la generación sujeto a las restricciones físicas de la red de transmisión y un conjunto de variables de control [1]. La Reconfiguración Óptima de la Transmisión (ROT) proporciona una alternativa en la que a corto plazo o durante la operación en tiempo real busca encontrar la mejor configuración de la red para un período específico [2], permitiendo que la conexión y/o desconexión de elementos de transmisión se realice dentro del proceso de solución de despacho, modificando así la topología de la red de acuerdo con las condiciones de operación [3].
Las investigaciones sobre la ROT demuestran que un sistema de transmisión flexible tiene diversos beneficios
técnico-económicos [4]. Entre otros aspectos, la ROT ha demostrado ser de utilidad para mejorar los perfiles de tensión principalmente en periodos de demanda mínima, aumentar la capacidad de transmisión, e incluso mejorar la confiabilidad del sistema, esto incluye a los esquemas de acción remedial [8], [9],[10], [11], [12]. Además, se presume el potencial para reducir los costos operativos asociados con el uso de los recursos de transmisión y generación [4], [13], [14], [15], esto último se demuestra en el presente artículo. Así mismo, de forma inicial se busca mostrar la base teórica y validación del modelo ROT.
Para una segunda entrega, se mostrará la aplicación del modelo ROT a la red troncal del Valle de México, perteneciente a la CFE Transmisión, donde se puntualizan los beneficios descritos, para la reconfiguración de la red.
II. Motivación del problema de Reconfiguración Óptima de la Transmisión
El despacho de generación depende en gran medida de la topología de la red, ya que un cambio en la impedancia de un elemento de transmisión o bien un cambio en la configuración de la red, hará que la energía que fluye en cada línea se redistribuya, y se observe un cambio en el despacho de generación factibles [4].
En algunas ocasiones, las restricciones en el sistema de transmisión hacen que una configuración de despacho con un mejor desempeño económico no sea factible, de modo que, si se pudiera contar con un sistema de transmisión flexible, sería posible identificar los elementos de transmisión que obstaculizan dicha configuración y realizar las correcciones que permitan la entrada de unidades de generación económicamente más viables, que hasta antes de la reconfiguración eran irrealizables. Matemáticamente esto se traduce en una expansión del conjunto factible de solución (CFS) y, en términos económicos, esto puede resultar en una reducción del costo total de operación cuando se resuelve el problema de FOP.
A. Motivación geométrica (expansión del CFS)
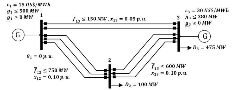
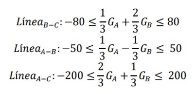
Considere el sistema de tres nodos de la figura 1, con las impedancias de todas las líneas iguales (ZAB = ZBC = ZAC), los límites de transmisión |LAB|≤ 50, |LBC|≤ 80, y |LAC|≤ 200, suponiendo que no se restringe el despacho de potencia de los generadores y que todas las líneas se encuentran conectadas [3],[4]. Considerando el despacho GA y GB (orden de mérito), las restricciones de la red y el cálculo del flujo en las líneas, se tiene el sistema de desigualdades (1), que se representan en la figura 2 como un CFS.
(1)
![Sistema de 3 nodos [12].](../61482706009_gf2.png)

Si ahora se desconecta la línea LAB que es la de menor capacidad de transmisión y se definen nuevas restricciones de transmisión para el sistema, el conjunto de ellas queda [4]:
(2)Graficando este sistema de desigualdades (2), se observa que el CFS se forma con los vértices mostrados en la figura 3.

Si ahora se comparan los dos conjuntos factibles de solución, es decir, todas las líneas conectadas vs el caso en el que se desconecta la línea LAB, se puede observar la expansión del CFS, tal y como se muestra en la figura 4.

B. Motivación económica (Reducción del costo total de operación)
Con la finalidad de observar el impacto económico de la reconfiguración de la topología en la red, se considerará una formulación simplificada de FOP con un modelo de CD para la red [1], [2], [3], [4]:
(3)Sujeto a:
(4)
(5)
(6)
(7)
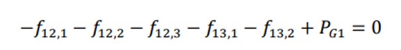
(8)Donde: υ es la función objetivo (costo de operación del sistema), cn es el costo de generación en el nodo n, PGn es la potencia generada en el nodo n, θnes el ángulo de fase de la tensión en el nodo, PDn es la potencia demanda en el nodo n, ΩGes el conjunto de unidades de generación, ΩL es el conjunto de enlaces formado por una o más líneas de transmisión, ΩB es el conjunto de nodos (barras), fnm es el flujo de potencia en el enlace que interconecta los nodos n y m, f ̅nm es el flujo máximo de potencia en una línea del enlace n-m, xnm, es la reactancia de una línea de transmisión en un enlace y k ̅nm es el número de líneas existentes en el enlace.
Utilizando el sistema de 3 nodos de la figura 1, y resolviendo el modelo para el caso en el que todas las líneas se encuentran conectadas, se obtiene la solución que se muestra en la tabla 1. Observe que, la limitada capacidad de transmisión de las líneas LAB y LBC hace necesario despachar (3) - (8) la unidad GC[4].
En este caso, el costo mínimo total de operación es de 20,000 USD/h, y se da en el vértice (180,30) es decir, GA = 180 MW y GB = 30 MW, con el complemento de GC = 40 MW tal y como se muestra en la figura 5, en donde se muestra además la distribución de los flujos.
![FOP en CD del Sistema de 3 nodos [12].](../61482706009_gf6.png)
Por su parte, la tabla 2 muestra la solución de FOP para el caso en el que se desconecta la línea LAB. Note que en este caso el costo total de operación disminuye de 20,000 USD/h a 15,000 USD/h, debido a la reconfiguración por la desconexión de LAB. La solución óptima de este último problema se ubica en el vértice (200,50), y corresponde al despacho de GA= 200 MW y GB =50 MW [4]. Nótese además cómo la unidad más cara, GC, no es despachada antes este cambio de topología.
III. Dinámica del Reconfiguración Óptima de la Transmisión
En la sección anterior se mostró cómo se puede mejorar el costo total de operación del sistema eléctrico tras retirar de servicio aquellas líneas ineficientes, o con un mínimo uso, que sólo serían empleadas en condiciones particulares o estrictamente necesarias [2], [3], [4], [5]. En esta sección se mostrará el desarrollo de un modelo que permita realizar lo anterior dentro de una misma formulación, mostrando los cambios que debe tener el modelo clásico de FOP mostrados en el conjunto (3) - (8).
C. Formulación matemática
La formulación matemática tradicional del problema de la ROT se puede escribir como una extensión del problema de FOP [2], [3], [5], en donde ahora, se considera por separado cada una de las líneas de transmisión de un enlace, es decir, la ecuación de balance de potencia (4) se escribe ahora como:
(8a)en donde fmn,y, es la variable que representa el flujo de energía en la línea ‘𝑦’ del enlace mn. Nótese que se han modelado todas las inyecciones y extracciones de potencia para cada nodo. Es decir, la inyección de la generación conectada al nodo n, más la suma de las inyecciones que se tiene desde otros nodos hacia el nodo n a través de líneas de transmisión, menos la extracción debida a todas las cargas conectadas al nodo n menos los envíos desde ese nodo n hacia cualquier otro nodo m deben estar equilibrados [4].
Como en una rama puede haber una o más líneas, el flujo de energía total en un enlace se puede calcular como:
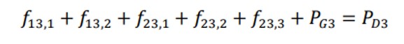
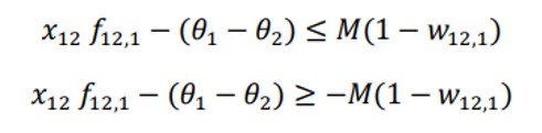
(8b)Otro cambio más para el nuevo modelo es el equivalente de la LVK en cada enlace del sistema (5), que ahora se escribe como una desigualdad:
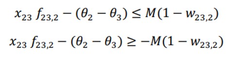
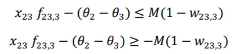
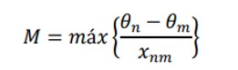
(9)donde wnmes una variable de decisión binaria {0,1}, e indica si la línea ‘y’ del enlace nm está conectada al sistema, es decir, wnm,y= 1 si la línea del enlace nm está conectada y wnm,y = 0 en caso contrario [2],[3], [4]. M es el flujo máximo de potencia presente en el sistema de transmisión (7), que se expresa como:
(9a)La restricción (9) representa la aplicación de la LVK en cada enlace del sistema, a diferencia del modelo de FOP en CD esta restricción se transforma en una desigualdad, debido a que si la línea está desconectada wnm,y = 0, la restricción no está activa, y la diferencia de ángulo θn-θm debe estar limitada por el parámetro M; la adecuada elección de este parámetro impactará en la cantidad de líneas abiertas en la reconfiguración de la red [2], [4]. Por otro lado, si la línea está conectada al sistema wnm,y=1, entonces la LVK debe cumplirse.
Trabajando el valor absoluto de (9) se tiene:
(9b)Es decir,
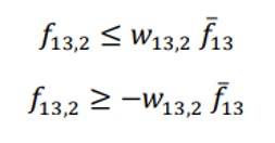
(9c)Por su parte, los límites en los flujos se escriben como:
(9d)Procediendo de la misma manera que con (9), esta expresión se reescribe como:
(9e)Además, se debe considerar:
(9f)Finalmente, el modelo resultante de la ROT queda [4]:
(10)Sujeto a:
(11)
(12)
(13)
(14)
(15)
(16)
(17)D. Ejemplo de modelado
Se mostrará la forma en la que se construye el modelo (10) - (17) de la ROT, usando el sistema de 3 nodos de la figura 6, con una potencia base de 100 MW y n=1 como nodo de referencia [6]. El desarrollo de las expresiones aquí mostradas y otros detalles más se pueden consultar en [4].
![Sistema de prueba de 3 nodos [6].](../61482706009_gf7.png)
Conjuntos. Nodos de generación: ΩG = {1,3}
Función objetivo: Como en los nodos 1 y 3 existe una unidad de generación, la expresión (10) queda:

Restricciones de igualdad. El conjunto de ecuaciones (11) correspondientes a la LCK (Balance de potencia) se desarrolla como sigue:
Enlaces: ΩL= {(1,2),(1,3),(2,3)}
Nodos: ΩB = {1,2,3}
Número de líneas por enlace es: k ̅12 = 3, k ̅13 = 2 y k ̅23 = 3.
Para el nodo n = 1: Se tienen los enlaces (1,2) y (1,3). Asumiendo que ambos enlaces envían flujo de potencia a la red (extracciones de flujo):

Para el nodo n=2. Se tienen los enlaces (1,2) y (2,3). Asumiendo que el primer enlace inyecta flujo al nodo 2 y que el segundo enlace envía flujo a la red:

Para el nodo n=3. Se tienen los enlaces (1,3) y (2,3). Asumiendo que ambos enlaces inyectan flujo al nodo:

Ángulo de referencia. Se asigna n = 1, de modo que la restricción (16) queda: θ1 = 0.
Restricciones de desigualdad.
a) Las restricciones (12), correspondientes al equivalente de la LVK:
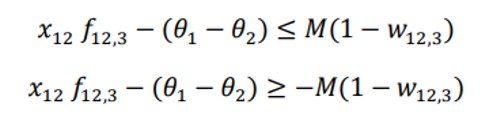
Para el enlace ΩL = (1,2), se tiene n = 1 y m = 2, k ̅12 = 3.
Para la línea y = 1 de este enlace (1,2), se tiene:

Para la línea y = 2 de este enlace (1,2), se tiene:

Para la línea y=3 de este enlace (1,2), se tiene:

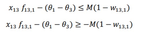
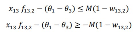
Para el enlace ΩL = (1,3), se tiene n = 1 y m = 3, k ̅13 = 2.
Para la línea y = 1 de este enlace (1,3), se tiene:

Para la línea y=2 de este enlace (1,3), se tiene:

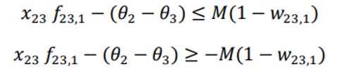
Enlace ΩL = (2,3) se tiene n = 2 y m = 3, k ̅23 = 3.
Para la línea y = 1 de este enlace (2,3), se tiene:

Para la línea y=2 de este enlace (2,3), se tiene:

Para la línea y=3 de este enlace (2,3), se tiene:

b) El conjunto de desigualdades (13), correspondiente a las restricciones de flujo de energía en cada línea:
Para el enlace ΩL= (1,2), se tiene n = 1 y m = 2, k ̅12=3.
Para la línea y = 1 de este enlace (1,2), se tiene:

Para la línea y=2 de este enlace (1,2), se tiene:

Para la línea y=3 de este enlace (1,2), se tiene:

Para el enlace ΩL = (1,3), se tiene n = 1 y m = 3, k ̅13 = 2.
Para la línea y = 1 de este enlace (1,3), se tiene:

Para la línea y=2 de este enlace (1,3), se tiene:

Para la línea y=1 de este enlace (2,3), se tiene:

Para la línea y=2 de este enlace (2,3), se tiene:

Para la línea y=3 de este enlace (2,3), se tiene:

c) El conjunto de desigualdades (14), correspondiente a las restricciones a las restricciones complementarias sobre la desconexión secuencial de líneas:
Para el enlace ΩL = (1,2), se tiene n = 1 y m = 2, k ̅12 = 3, aquí y = 2,...,k ̅nm.
Para la línea y = 2: w12,2 ≤ w12,1 ∈{0,1}. Para la línea y = 3: w12,3 ≤ w12,2 ;∈{0,1}.
Para el enlace ΩL = (1,3), se tiene n = 1 y m = 3, k ̅13 = 2, aquí y = 2,...,k ̅nm.
Para la línea y=2: w_13,2≤w_13,1 ;∈{0,1}.
Para el enlace ΩL = (2,3) se tiene n = 2 y m = 3, k ̅23 = 3, aquí y = 2,...,k ̅nm.
Para la línea y = 2: w23,2 ≤ w23,1 ;∈{0,1}. Para la línea y = 3: w23,3 ≤ w23,2 ;∈{0,1}
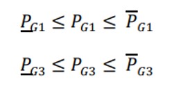
d) Los límites mínimos y máximos de generación del conjunto de desigualdades (17), quedan:

Además de elegir un valor de M, si el caso lo requiere, es importante el realizar las siguientes adecuaciones:
Obtener la susceptancia para cada línea βnm = 1/xnm.
Cambiar las susceptancias de las líneas de valores por unidad (p.u.) a valores reales.
Así, con los datos del sistema y considerando un valor M = 30, el modelo (10) - (17) quedaría [4]:

(18)IV. Sistemas de prueba y resultados
El modelo de la ROT se aplicó a tres sistemas de prueba: básico de 3 nodos, 14 nodos y 41 nodos (sur de Brasil), cuyas características y resultados de la implementación se detallan en esta sección [4], [6], [17].
A. Sistema de 3 nodos [6]
Este sistema cuenta con 2 generadores con una capacidad de generación total de 880 MW, 3 enlaces de los cuales, uno se compone de 2 líneas y los otros dos de 3 líneas, y 2 cargas ubicadas en el nodo 2 y 3 con una demanda total de 575 MW (figura 6).
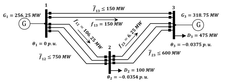
La figura 7 muestra el resultado del análisis clásico de FOP implementando el modelo (3) - (8), con el que se obtiene un costo de operación de 13,406.25 𝑈𝑆$/ℎ.
![Operación con ROT: Sistema de 3 nodos [6].](../61482706009_gf8.png)
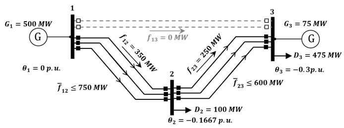
Por otro lado, en la figura 8 se muestran los resultados del mismo sistema de 3 nodos, pero implementando el modelo de la ROT dado por (10) - (17) en donde se obtiene un costo total de operación de 9,750.00 𝑈𝑆$/ℎ, es decir, menor que con el modelo de FOP.
![Operación con ROT: Sistema de 3 nodos [6].](../61482706009_gf9.png)
Nótese que con este modelo se desconectan las dos líneas del enlace (1,3), dejando conectados únicamente los corredores (1,2) y (2,3). Sin embargo, esto es posible porque los enlaces restantes contienen tres líneas cada uno. Es importante notar que, para este sistema y a pesar de esta desconexión, se satisface la LVK y la confiabilidad no se ve afectada, lo cual resulta en una paradoja [6], ya que el sistema continuará operando dentro de los límites establecidos ante la ocurrencia de una contingencia 𝑁–1, que provoque la salida o desconexión de una línea adicional perteneciente a los enlaces (1,2) o (2,3). Estos fenómenos pueden cambiar drásticamente cuando se trata del estudio de FOP, por ejemplo, si ocurriera una falla en alguna línea del enlace (1,3), no es posible encontrar un punto de operación factible del sistema con este estudio tradicional.
B. Sistema de 14 nodos [17]
Sistema con 5 generadores con una capacidad total de 772.4 MW, 20 líneas y 11 cargas con una demanda total de 259 MW; para este problema, se incrementó en 1,6 veces la demanda del sistema, es decir la demanda del sistema es de 414.4 MW. Los resultados obtenidos se resumen en la tabla 3, mientras que en la figura 9 se muestra la operación del sistema.
C. Sistema de 41 nodos (sur de Brasil) [6]
Sistema con una capacidad de generación total de 10,545 MW, 55 enlaces con 78 líneas de transmisión y una demanda total de 6,880 MW. Los resultados obtenidos se resumen en la tabla 4, mientras que en la figura 10 se muestra la operación del sistema.
![Operación con ROT: Sistema de 41 nodos (sur de Brasil) [6].](../61482706009_gf11.png)
Finalmente, para observar de mejor forma los resultados y ventajas de la implementación del modelo ROT, en la tabla 5 se presenta un resumen comparativo de los cotos de operación total obtenidos en cada uno de los sistemas de prueba. También, se realiza una comparación del número de líneas desconectadas cuando el parámetro M cambia.
V. Conclusiones
Se ha modelado y resuelto el problema de la Reconfiguración Óptima de la Transmisión para tres sistemas de prueba de diferentes dimensiones (3, 14 y 41 nodos). De acuerdo con la tabla 5, se puede observar que en cada uno de los modelos se logra obtener un costo total de generación menor comparado con el obtenido con el análisis de Flujos Óptimos de Potencia, obteniéndose así una alternativa eficiente desde el punto de vista económico para la planeación de la operación de los sistemas de potencia.
El parámetro es un elemento importante en el modelo, ya que éste puede dictar una secuencia y un número distinto de desconexiones, aunque resulte en un mismo costo de operación. Esto cobra relevancia ante escenarios reales, al dar una opción a los operadores del sistema para tomar las mejores decisiones, beneficiándose de la experiencia y datos extras con los que pueden contar.
Referencias
[1] J. Zhu, Optimization of Power System Operation, USA: John Wiley & Sons, 2015.
[2] K. W. Hedman, R. P. O’Neill, E. B. Fisher, S. S. Oren, «Optimal transmission switching—sensitivity analysis and extensions», IEEE Trans. Power Syst., vol. 23, no. 3, pp. 1469-1479, 2008.
[3] K. W. Hedman, R. P. Neill, E. B. Fisher, “Smart grid application of Optimal Transmission Switching”, INFORMS Annual Meeting, Washington DC, 2008.
[4] O. Tovar Barragán, “Modelo de reconfiguración óptima de la red aplicado a la zona metropolitana del área de control central”. Tesis de Maestría en Ingeniería, Benemérita Universidad Autónoma de Puebla, Ciudad de Puebla, México, 2021.
[5] K. W. Hedman, R. P. O’Neill, E. B. Fisher, S. S. Oren, “Optimal transmission switching with contingency analysis”. Power Systems, IEEE Transactions, vol. 24, no. 3, pp.1577-1586, Aug. 2009.
[6] M. Flores, L. H. Macedo, R. Romero, “Alternative mathematical models for the optimal transmission switching problema”, IEEE Syst. J., vol. 15, no. 1, pp. 1245-1255, 2021.
[7] R. Bacher, H. Glavitsch, “Loss reduction by network switching”, Power Systems, IEEE Transactions, vol. 3, no. 2, pp. 447-454, 1988.
[8] S. Fliscounakis, F. Zaoui, G. Simeant, R. Gonzalez, “Topology influence on loss reduction as a mixed integer linear programming problem”, en 2007 IEEE Lausanne Power Tech, 2007.
[9] G. Granelli, M. Montagna, F. Zanellini, P. Bresesti, R. Vailati, M. Innorta, "Optimal network reconfiguration for congestion management by deterministic and genetic algorithms", Electric Power Systems Research, vol. 76, no. 6-7, pp. 549-556, Apr. 2006.
[10] K. W. Hedman, R. P. O’Neill, E. B. Fisher, S. S. Oren, “Optimal transmission switching with contingency analysis”. Power Systems, IEEE Transactions, vol. 24, no. 3, pp.1577-1586, Aug. 2009.
[11] K. W. Hedman, R. P. O’Neill, E. B. Fisher, S. S. Oren, “Optimal transmission switching – sensitivity analysis and extensions”, Power Systems, IEEE Transactions, vol. 23, no. 3, pp. 1469-1479, Aug. 2008.
[12] E. B. Fisher, K. W. Hedman, R. P. O’Neill, M. C. Ferris, S. S. Oren, “Optimal transmission switching in electric network for improve economic operations,” INFRADAY Conference, 2008.
[13] K. W. Hedman, S. S. Oren, R. P. O’Neill, “Optimal transmisión switching: when economic efficiency and financial transmission rights markets collide”, Economic of Energy Markets Conference, Toulouse, France, 2010.
[14] R. P. O'Neill, R. Baldick, U. Helman, M. H. Rothkopf, W. Stewart, "Dispatchable transmission in RTO markets" Power Systems, IEEE Transactions, vol. 20, no. 1, pp. 171-179, Feb. 2005.
[15] W. Shao, V. Vittal, "Corrective switching algorithm for relieving overloads and voltaje violations", Power Systems, IEEE Transactions, vol. 20, no. 4, pp. 1877-1885, Nov. 2005.
[16] O. Tovar Barragán, “Programación de la generación en un sistema hidrotérmico usando optimización lineal”. Tesis de Licenciatura, Ingeniería Eléctrica, Instituto Politécnico Nacional, Ciudad de México, México, 2011.
[17] M. Jabarnejad, “Approximate optimal transmission switching”, Electric Power Syst. Res., vol. 161, pp. 1-7, 2018.
Información adicional
redalyc-journal-id: 614