Artículos científicos
Diagrama de manejo de densidad para renovales de Nothofagus glauca (Phil.) Krasser en Chile
Stand density management diagram for Nothofagus glaucea [Phil.] Krasser second growth forests in Chile
Diagrama de manejo de densidad para renovales de Nothofagus glauca (Phil.) Krasser en Chile
Madera y bosques, vol. 24, núm. 1, e2411440, 2018
Instituto de Ecología A.C.
Recepción: 27 Octubre 2016
Aprobación: 31 Agosto 2017
Financiamiento
Fuente: Fondo de Investigación del Bosque Nativo
Nº de contrato: 044/2011
Resumen: Los diagramas de manejo de densidad describen gráficamente la relación tamaño-densidad y son una herramienta que facilita la planificación y el monitoreo de intervenciones silvícolas. A pesar de la importancia de esta información, no se conocen diagramas para Nothofagus glauca, árbol endémico de Chile central, considerado como especie representativa de los bosques mediterráneos del género Nothofagus. En este estudio se utilizaron 200 parcelas temporales, establecidas en el área de distribución de la especie, para obtener el modelo tamaño-densidad. Este modelo fue posteriormente modificado para obtener curvas de densidad máxima y para construir diagramas de manejo de densidad. Los resultados obtenidos sugieren para su aplicación, curvas de referencia de 55% (línea de inicio del auto aclareo, raleo) y 35% (línea del límite inferior de ocupación del sitio).
Palabras clave: aclareos, autoaclareo, densidad relativa, diagrama de manejo de densidad (DMD), Nothofagus, relación tamaño-densidad.
Abstract: The density management diagrams describe graphically the size-density relationship, which is a tool that facilitates the planning and monitoring of silvicultural interventions. Despite the importance of this information, no diagrams for N. glauca, an endemic tree of central Chile, which is considered as a representative species of the mediterranean forests of Nothofagus genus, are known. A total of 200 temporary plots were used to obtain the size-density model, established in the distribution area of the species. This model was then modified to obtain maximum density curves and build density management diagrams. The obtained results suggest for its application, reference curves of 55% (beginning of self-thinning) and 35% (load site capacity inferior limit).
Keywords: thinnings, self-thinning, relative density, density management diagram (DMD), Nothofagus, size-density relationship.
Introducción
La especie Nothofagus glauca (Phil.) Krasser es un árbol endémico de Chile central, considerada representativa de los bosques mediterráneos del género Nothofagus. Presenta distribución discontinua entre la Cordillera de la Costa y la de Los Andes, desde la provincia del Cachapoal (región de O'Higgins) hasta la provincia del Biobío (región del Biobío) (Hechenleitner et al., 2005). El límite sur se encuentra ubicado 0,5 km al noreste del poblado de Quilleco, en el límite oriente de Llano Central en la provincia de Biobío (Baeza, López y Kottirsch, 2001). En la Cordillera de Los Andes se presenta en grandes masas boscosas que se localizan hasta los 1200 m snm, desde la precordillera de Molina (región del Maule) hasta las proximidades de San Fabián de Alico (región del Biobío) (Rodríguez, Matthei y Quezada, 1983). En la Cordillera de la Costa, ocupa altitudes entre 150 m y 800 m snm, cerca de Quile, provincia de Ñuble, localidad cercana a Cobquecura (Baeza et al., 2001).
La deforestación de las tierras con fines agrícolas y la explotación maderera constituyeron las principales causas de la disminución del bosque nativo (Donoso y Lara, 1995). También ha influido la mayor demanda de leña y el aumento de los incendios forestales (Altmann, 2013).
La superficie total de bosque nativo dominado por N. glauca es reducida. A mediados de la década de los setenta su superficie era alrededor de 900 000 ha (Urzúa, 1975), disminuyendo a fines de la década de los noventa a 188 323 ha (tipo forestal roble-hualo) (Corporación Nacional Forestal [Conaf], Comisión Nacional del Medio Ambiente [Conama] y Banco Internacional de Reconstrucción y Fomento [BIRF], 1999). Esto llevó a clasificar a la especie en la categoría “vulnerable” (Hechenleitner et al.,2005), aunque en la actualidad tiene la categoría de “casi amenazada” (Conama, 2016), debido entre otros aspectos, al aumento de su superficie que alcanza a 220 456 ha (Conaf y Conama, 2016).
El concepto de densidad en el ámbito forestal se relaciona con el grado de ocupación del espacio disponible para que los árboles crezcan; así, existirán rodales en densidad normal, sobredensos y subdensos (Husch, Miller y Beers, 1993). La densidad es una variable del rodal que permite predecir algunos atributos como la forma de los árboles, su tasa de crecimiento y mortalidad, constituyendo el mejor indicador de la integridad ecosistémica de un bosque o rodal (Müller-Using, Rodríguez y Gajardo, 2013).
Modificar la densidad de rodal, a través de intervenciones de aclareo (raleo), implica reconocer que (Müller-Using et al., 2013): i) altas densidades reducen el crecimiento de los árboles individuales; en tanto que a muy bajas densidades el rodal subutiliza los recursos del sitio, ii) la competencia afecta la distribución de los recursos del sitio, entre árboles individuales de la misma especie o entre especies, por lo cual, conociendo sus exigencias y la disponibilidad de los recursos del sitio para las distintas especies, puede ajustarse la densidad del rodal para mejorar el balance entre la demanda y oferta de los recursos del sitio y iii) la productividad no solo depende de la cantidad de volumen producido para un tiempo dado, sino también de la conformación de los productos y el valor que les da el mercado.
La relación entre el tamaño de los árboles y la densidad de rodal fue descrita por Reineke (1933) mediante una función lineal a escala logarítmica, la cual se considera independiente de la edad del rodal y de la calidad del sitio en que crece, siendo por ello aplicables en diversas condiciones ambientales; aunque Zeide (1987)) señala que la relación puede ser afectada por la edad y la calidad de sitio. El modelo tamaño-densidad propuesto por Reineke (1933) corresponde a la relación lineal entre el logaritmo del número de árboles y el logaritmo del diámetro cuadrático [1], cuya versión no linealizada se indica en [2]:
Donde:
N= número de árboles por hectáreaDCM= diámetro cuadrático medio del rodal (cm)a, b= parámetros a estimarEl conocimiento de la relación tamaño-densidad de un rodal permite la comparación entre su desarrollo actual y el desarrollo que tendría al aplicar objetivos de manejo especificados previamente (Rogers, 1983). Utilizando como base la relación tamaño-densidad, se han construido los denominados diagramas de manejo de la densidad (DMD) que describen gráficamente la relación existente entre el número de árboles por hectárea, el área basal y el diámetro cuadrático medio, e incluyen una serie de curvas de referencia para diversos niveles de ocupación del sitio (Gingrich, 1967; Nyland, 2002; Gezan, Ortega y Andenmatten, 2007; Navarro, Herrera, Drake y Donoso, 2011).
La curva de referencia densidad máxima representa la relación teórica que describe la trayectoria seguida por el número de árboles de aquellos rodales que se encuentran en completa ocupación del sitio, es decir, el nivel máximo de competencia y, por ende, es frecuentemente utilizada como indicador del límite superior de carga del rodal (Gezan et al., 2007). De allí que los DMD sean considerados como una herramienta que facilita la adecuada planificación y monitoreo de intervenciones silvícolas, maximizando la utilización del sitio mediante un control adecuado de los niveles de competencia del rodal (Gezan et al., 2007; Shaw y Long, 2007; Navarro et al., 2011), aunque también han sido utilizados para estimar niveles de densidad que limiten deslizamientos (Vacchiano, Motta, Long y Shaw, 2008) y la estabilidad de rodal ante eventos climáticos (Castedo-Dorado, Crecente-Campo, Álvarez-Álvarez y Barrio-Anta, 2009).
Los DMD se componen de dos relaciones lineales básicas (Chauchard, Sbrancia, González, Maresca, Rabino y Mazzuchelli, 2001): i) límite de referencia superior o densidad máxima promedio y ii) límite de referencia inferior o de inicio de competencia. El límite de referencia superior representaría la densidad máxima promedio que puede alcanzar el rodal, en el cual el crecimiento del mismo solo puede ocurrir a expensas de la muerte de una proporción de sus individuos (también llamada línea de inicio de auto aclareo, línea B). La línea de referencia inferior está indicando un límite en la relación tamaño-densidad del rodal, por encima del cual los individuos empiezan a competir, por lo que también es llamado límite de inicio de la competencia (línea C).
En Chile se han publicado DMD para Nothofagus obliqua - N. alpina - N. dombeyi (Gezan et al., 2007), Drimys winteri (Donoso, Soto y Bertín, 2007; Navarro et al., 2011) y N. obliqua (Müller-Using et al., 2013). Sin embargo, no se conoce de DMD para N. glauca.
Objetivos
(a) Construir diagramas de manejo de densidad para N. glauca y (b) proponer niveles de ocupación de sitio referenciales para la planificación de aclareos en rodales coetáneos de la especie.
Materiales y métodos
Área de estudio
El área de estudio comprendió bosques de la especie N. glauca ubicados en la Cordillera de la Costa entre los 34º 53’ y 36º 00’ S; y en la Cordillera de Los Andes entre los 35º 29’ y 36º 35’ S. La zona costera presenta clima mediterráneo con variaciones debido al aumento de la latitud y la altitud (Novoa y Villaseca, 1989). Posee inviernos suaves, con estación seca de más de siete meses.
Los suelos son de textura franca de color pardo oscuro en la superficie y textura franco limosa, muy sueltos en seco, permeables, de buen drenaje y estructuras favorables para el desarrollo de las raíces. La zona andina cuenta con un clima mediterráneo temperado de veranos muy calurosos y secos (cinco meses) (Novoa y Villaseca, 1989).
Las heladas son frecuentes e intensas durante el periodo de abril a noviembre. Los suelos están constituidos por rocas graníticas cubiertas de conglomerados volcánicos que originan los suelos conocidos como trumaos, de perfil profundo, textura franco arenosa muy fina, ligeramente plásticos y adhesivos en húmedo. Su topografía es de lomajes ondulados con pendientes diversas, disectados por numerosos ríos, esteros y quebradas con cursos de agua intermitentes que fluyen hacia la depresión intermedia.
Fuente de información
Los datos utilizados provienen de 208 parcelas temporales establecidas en 2013, de superficie entre 200 m2 y 500 m2. De estas parcelas algunas fueron eliminadas del análisis debido a que no se encontraban en niveles altos de ocupación de sitio; las que corresponden a observaciones alejadas dos o más veces la desviación típica de la media.
El análisis se realizó con un total de 200 parcelas (Tabla 1). En cada parcela se realizaron mediciones de diámetro normal (dn) a una altura de 1,3 m: diámetro a la altura del pecho (dap) de todos los árboles con dn > 5 cm, altura a una muestra de cinco árboles por parcela (seleccionados según la distribución diamétrica de la parcela) y determinación de la edad del árbol de diámetro cuadrático medio (DCM) mediante la obtención de un tarugo (gusano) de crecimiento. Todas las parcelas fueron establecidas en bosques donde la especie N. glauca representaba al menos 70% del área basal (AB) y apariencia de ocupación completa del sitio.

Modelo de tamaño-densidad
Para poblaciones que presentan mortalidad debido a la competencia entre individuos producto de la alta densidad, existe una relación entre el tamaño promedio y el número de individuos que es fácil de modelar y relativamente estable bajo diversas situaciones (Gezan et al., 2007). A partir de los diámetros cuadráticos medios (DCM) y su respectiva densidad (N), se realizó un ajuste usando la expresión linealizada de la relación tamaño-densidad descrita por Reineke (1933) [1]. La determinación de los parámetros y elaboración de gráficos fue realizada con el programa StatSoft versión 6 (StatSoft, 2001).
Curva de densidad máxima
El ajuste del modelo [2] determinó la línea de regresión que corresponde al promedio de las observaciones, observándose un grupo de datos que representa la máxima relación tamaño-densidad. Para obtener la línea de regresión de la máxima relación tamaño-densidad, se incrementó la magnitud del intercepto a de la función en 1,96 desviaciones estándar del error del modelo (amax) (Wittwer, Lynch y Huebschnann, 1998; Gezan et al., 2007). De esta manera, asintóticamente solo existe 2,5% de probabilidad de encontrar parcelas que sobrepasen esta curva de densidad máxima (Gezan et al., 2007). El número de árboles máximo (Nmax ) se representa [3]:
Curva de área basal máxima
La curva de área basal máxima (ABmax ) corresponde a la curva de máxima ocupación del sitio que es expresada en términos de área basal a partir del número de árboles por hectárea y se define como [4] (Gezan et al., 2007; Müller-Using et al., 2013). A partir de ella se obtuvieron las demás curvas para los diferentes niveles de ocupación de sitio.
Construcción de diagramas de manejo de densidad
Una vez determinada la curva de área basal máxima (ABmax ), se determinaron líneas que son proporciones del nivel de densidad máximo del sitio. Para esto, se modificó la ecuación [3] multiplicándola por una constante p que varía entre 0 y 1. Además, como referencia se incluyeron rectas para indicar los diferentes diámetros cuadráticos.
Límites de referencia de ocupación de sitio
Para determinar el inicio de auto aclareo (línea B) y el límite inferior de ocupación de sitio (línea C) de N. glauca, se utilizó el modelo [3] y la información de diámetro cuadrático medio y densidad de 16 rodales intervenidos, antes y después de las claras, que corresponden a registros del Proyecto Conaf - GTZ (Aguilera y Benavides, 2005). Se obtuvo, para cada uno de los 16 rodales, la ocupación de sitio (niveles B y C) como la proporción (%) entre la densidad registrada y la máxima densidad de ocupación del sitio (según modelo), antes y después de las claras. Los niveles de ocupación parciales de cada rodal fueron promediados para obtener los niveles generales de B y C.
Validación del diagrama
Para validar el diagrama se comparó la cobertura de copas, estimada según foto hemisférica, con el nivel ocupación de sitio que entrega el diagrama, utilizando información de 17 parcelas con diferente grado de intervención que estableció CONAF, como parte de un estudio de modelos de gestión de N. glauca, entre los años 1994 y 1999. Las parcelas se localizan en los predios Tercera Montaña (36º 13’ 10” S - 71º 29’ 39” O) y Digua (36º 17’ 34” S - 71º 24’ 59” O) en las comunas de Longaví y Parral, respectivamente, en la región del Maule. Las fotografías se realizaron utilizando cámara Nikon 5100 y lente “ojo de pez” siguiendo el procedimiento descrito por Promis y Cruz (2009). El procesamiento de las fotografías se realizó con el software Gap Light Analyzer (GLA), Version 2.0 (Frazer, Canham y Lertzman, 1999). En cada punto donde se obtuvieron las fotografías se realizó una parcela circular de 250 m2 en la cual se midió el DN a la totalidad de los árboles para obtener el DCM.
Resultados
Ajuste del modelo y construcción del diagrama de densidad
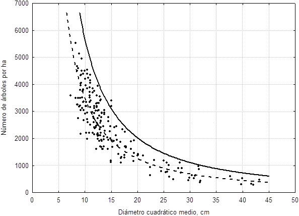
La estimación de los parámetros del modelo linealizado de Reineke (1933) se presenta en la Tabla 2. El ajuste del modelo presentó coeficiente de determinación (R2) de 0,845 y error estándar de 0,2463. En la representación gráfica se aprecia la distribución de los datos, la línea promedio y la línea de la máxima relación tamaño-densidad (Fig. 1). De esta manera el modelo se expresa como:
La línea que representó la máxima relación tamaño-densidad correspondió a:
![Ajuste del modelo de Reineke (1933) entre el número de árboles por hectárea y el diámetro cuadrático medio. Línea punteada: densidad promedio (ecuación [5]). Línea continua: densidad máxima (ecuación [6]).](../1405-0471-mb-24-01-e2411440-gf1.png)

Los límites de referencia de ocupación de sitio, resultado del análisis de la información obtenida desde rodales intervenidos, documentados por Conaf y el Proyecto Conaf-GTZ (Aguilera y Benavides, 2005), señalan que el nivel medio de ocupación antes de la intervención fue de 55% (± 11,4%) y post-intervención de 36% (± 9,9%). De acuerdo con esto, se determinó utilizar 55% como nivel de ocupación de sitio cuando se inicia auto aclareo (línea B) y 35% como límite inferior de ocupación de sitio (línea C).
La relación tamaño-densidad obtenida (Fig. 2) es aplicable a renovales de N. glauca que presentan DCMs que van desde los 7 cm hasta los 43 cm y densidades entre 280 árboles ha-1 y 5533 árboles ha-1, dado que en este universo se encuentran gran parte de las unidades muestrales usadas en el estudio.

En la Figura 3 se compara la relación tamaño-densidad de este estudio con otros documentados en la literatura. Como se ha indicado antes, no hay estudios con la especie N. glauca, por lo tanto, la comparación se realizó con relaciones documentadas de otras especies del género Nothofagus.

Validación del diagrama
La determinación del nivel de ocupación de sitio en 17 parcelas de N. glauca indica que con el método de fotografías hemisféricas se alcanza el valor medio de 48,67% mientras que con el diagrama de densidad obtenido en este estudio alcanza 52,17% (Tabla 3).

Densidad y área basal máxima según nivel de ocupación
Utilizando la relación tamaño-densidad obtenida y considerando los niveles de ocupación determinados, se calcularon los valores de densidad y área basal máxima, al inicio del auto aclareo y límite inferior de ocupación de sitio (Tabla 4).

Discusión
El ajuste del modelo tamaño-densidad para N. glauca presenta una pendiente de -1,487, valor que es similar al obtenido para tres diferentes especies del género Nothofagus (-1,411) (Gezan et al., 2007), aunque menor que para una mezcla de Nothofagus (-1,693) (Chauchard et al., 2001) y para N. obliqua (-1,933) (Müller-Using et al., 2013). Reineke (1933) determinó una pendiente de -1,605 en rodales coetáneos, monoespecíficos, no intervenidos de densidad completa, señalando que el valor es independiente de la edad y del sitio y que cambia entre especies.
Otros autores señalan que la pendiente es un parámetro específico para cada especie y que debe ser estimado a partir de los datos (Del Río, Montero y Bravo, 2001). Respecto del sitio, investigaciones posteriores a la realizada por Reineke (1933) presentan evidencia que el valor que obtuvo puede variar según sitio (Perry, 1984; Zeide, 1987; Pretzsch, 2002; Müller-Using et al., 2013), condicionando la relación tamaño-densidad, lo que explicaría las diferencias de pendiente entre estudios. El modelo para mezcla de Nothofagus (Chauchard et al., 2001) está basado en mediciones de renovales adultos ubicados en sitios sobre los 600 msnm en la provincia de Neuquén (Argentina), que presentan diámetros cuadráticos superiores a los encontrados en Chile (Chauchard et al., 2001; Gezan et al., 2007), lo que explicaría el mayor valor de su pendiente. También hay evidencia que en sitios de menor crecimiento se presentan pendientes más pronunciadas (más negativas), situación que se encuentra presente en el modelo tamaño-densidad obtenido en la región del Biobío para N. obliqua (Müller-Using et al., 2013).
En este estudio la ocupación de sitio conocida como línea de auto aclareo (línea B) y línea inferior de ocupación de sitio (línea C) corresponde a 55% y 35%, respectivamente. Estos niveles de ocupación se diferencian de los intervalos utilizados por diferentes autores para especies del género Nothofagus, que indican que para tres especies del género (N. obliqua, N. alpina, N. domeyi) es de 60% y 40% para la línea de auto aclareo y la línea inferior de ocupación, respectivamente (Gezan et al., 2007; Müller-Using et al., 2013).
Los niveles de ocupación de sitio pueden estimarse a partir de experimentos de aclareo en parcelas permanentes, registrándose el momento cuando empieza a producirse mortalidad inducida por la competencia (Gezan et al., 2007), también puede estimarse con base en cobertura de copa, ya sea utilizando relaciones entre diámetro del fuste y diámetro de copa de los árboles (Chauchard et al., 2001) o fotografía hemisférica (este estudio).
La realización de aclareos permite incrementar el diámetro remanente y aprovechar los rollizos de diámetro menor obtenidos, para uso como leña y carbón. Intervenciones de aclareo de 50% del área basal en parcelas experimentales de N. glauca ubicadas en la precordillera de la región del Maule permitió el incremento en diámetro de los árboles durante los 10 años posteriores al aclareo de 0,48 cm año-1 en sitios de calidad media (González, 2015), es decir, 1 cm de incremento en diámetro implica esperar dos años.
El número de aclareos está condicionado por el tamaño de los árboles a obtener, que se define de acuerdo con las variables DCM y densidad (rodal meta) (Navarro y Pinares, 2013). Para alcanzar el rodal meta se determina el límite superior e inferior de ocupación de sitio con el objetivo de evitar la mortalidad relacionada a la densidad, mantener la copa viva con buen vigor y evitar la caída por viento (Navarro y Pinares, 2013).
De acuerdo con el diagrama (Fig. 2), para 35% de ocupación de sitio (línea inferior de ocupación, línea C) y DCM de 10 cm implica una densidad de 1987 árboles ha-1 y un área basal de 15,6 m2 ha-1. Teniendo presente que las intervenciones de aclareo deben realizarse buscando que la ocupación de sitio fluctúe entre la línea inferior de ocupación y la línea de auto aclareo (Long, 1985; Newton, 1997; Gezan et al., 2007; Navarro et al., 2011; Müller-Using et al., 2013), el rodal se desarrollará desde 35 % de ocupación de sitio con la misma densidad (1987 árboles ha-1) hasta lograr la ocupación de 55% (línea de auto aclareo) donde alcanzará DCM de 13,55 cm y área basal de 28,26 m2 ha-1. Esto ocurre luego de esperar 7,4 años. De esta manera y posterior a sucesivos aclareos (siempre realizados entre las líneas de ocupación 35% y 55%) es posible esperar DCM de 45,7 cm con cuatro aclareos una densidad de 326 árboles ha-1 y un área basal de 53,46 m2 ha-1, después de 74,4 años de la primera intervención.
La extracción promedio de intervención de aclareo es de 36% del área basal, no muy diferente a lo indicado por Conaf en las Normas de Manejo para renovales de roble, raulí y coigüe, donde se señala una extracción máxima del área basal de 35% y 40% para renovales de coigüe y roble-raulí, respectivamente (Lara, Donoso, Donoso, Núñez y Cavieres, 1998). Hay que tener presente que la respuesta de los rodales a intervenciones de aclareo decrece con su edad (Espinosa, García y Valeria, 1994) y aumenta con la productividad del sitio (Toro, 2004). De allí que es deseable aplicar una intensidad de intervención mayor a edades tempranas y aclareos más suaves en rodales de edades mayores. También influye el tipo de aclareo a realizar; los aclareos por lo bajo incrementan el diámetro medio del rodal, en cambio, los aclareos sistemáticos lo mantienen (Smith, 1986).
La maximización de la productividad de un bosque no es el único objetivo del desarrollo y la aplicación de los diagramas de manejo de la densidad. Se conoce que densidades menores a 30% favorecen el desarrollo del sotobosque y la regeneración natural, especialmente en bosques en los cuales se busca incrementar la diversidad; y que niveles superiores a 60% permiten mantener un mejor control de especies arbustivas (Rogers, 1983). El desarrollo de otras aplicaciones como el manejo de la densidad para el hábitat de la vida silvestre, susceptibilidad de los rodales a daños por enfermedades y plagas, manejo de estructuras de bosques con resistencia al viento y aumento de la diversidad en los rodales, son desafíos de corto plazo para el uso sostenible del bosque nativo en Chile (Navarro y Pinares, 2013).
Conclusiones
El diagrama de manejo de la densidad constituye una herramienta útil y práctica que permite la planificación y control de distintas alternativas de regímenes de manejo. En este estudio se construyó y aplicó un diagrama de manejo en renovales de N. glauca para establecer la oportunidad e intensidad de las cortas intermedias y finales. Con base en el diagrama de densidad construido, se proponen niveles de ocupación de sitio que permiten intervenciones silvícolas sostenibles.
Reconocimientos
Los autores agradecen el valioso aporte de los Ingenieros Forestales Cynthia Labraña y Jorge Green. También a la empresa Arauco y a la Corporación Nacional Forestal (Conaf), región del Maule, por las facilidades otorgadas en la recopilación de información; y al Fondo de Investigación del Bosque Nativo (FIBN) por apoyar financieramente el Proyecto FIBN 044/2011 “Desarrollo y aplicación de herramientas de manejo de densidad, para el uso sustentable de renovales de Nothofagus glauca”.
Referencias
Altmann, S. (2013). Crown condition, water availability, insect damage and landscape features: are they important to the Chilean tree Nothofagus glauca (Nothofagaceae) in the context of climate change? Australian Journal of Botany, 61(5), 394-403. doi:10.1071/BT13015
Aguilera, M., & Benavides, G. (2005). Recopilación de experiencias silvícolas en el bosque nativo maulino. Santiago, Chile: Conaf.
Baeza, C., López, P., & Kottirsch, G. (2001). La presencia de Senecio gilliesii Hook. et Arn. y Nothofagus glauca (Phil.) Krasser, en la Región del Biobío, Chile. Noticiario Mensual del Museo Nacional de Historia Natural, 344, 7-8.
Castedo-Dorado, F., Crecente-Campo, F., Álvarez-Álvarez, P., & Barrio-Anta, M. (2009). Development of a stand density management diagram for radiata pine stands including assessment of stand stability. Forestry, 82(1), 1-16. doi:10.1093/forestry/cpm032
Corporación Nacional Forestal [Conaf], Comisión Nacional del Medio Ambiente [Conama] y Banco Internacional de Reconstrucción y Fomento [BIRF]. (1999). Catastro y evaluación de los recursos vegetacionales nativos de Chile. Santiago, Chile: Conaf .
Corporación Nacional Forestal [Conaf], & Comisión Nacional del Medio Ambiente [Conama]. (2016). Actualización del catastro de los recursos vegetacionales de Chile. Santiago, Chile: Conaf .
Comisión Nacional del Medio Ambiente [Conama]. (2016). Lista de especies de Chile según estado de conservación. Recuperado de http://www.mma.gob.cl/clasificacionespecies
Chauchard, L., Sbrancia, R., González, M., Maresca, L., Rabino, A., & Mazzuchelli, M. (2001). Aplicación de leyes fundamentales de la densidad a bosques de Nothofagus: II. Línea de inicio de competencia y diagramas de manejo de la densidad. Bosque, 22, 3-10.
Del Río, M., Montero, G., & Bravo, F. (2001). Analysis of diameter-density relationship and self-thinning in non-thinned even-aged scots pine stands. Forest Ecology and Management, 142, 79-87. doi:10.1016/S0378-1127(00)00341-8
Donoso, C., & Lara, A. (1995). Utilización de los bosques nativos de Chile: Pasado, presente y futuro (2da ed.). Santiago, Chile: Universitaria.
Donoso, P., Soto, D., & Bertín, R. (2007). Size-density relationships in Drimys winteri secondary forests of the Chiloe Island, Chile: Effects of physiography and species composition. Forest Ecology and Management , 239, 120-127. doi:10.1016/j.foreco.2006.11.015
Espinosa, M., García, J., & Valeria, O. (1994). Efecto de intensidades diferentes de raleo en el crecimiento de un rodal de pino radiata. Bosque, 15(1), 55-65. doi:10.4206/bosque.1994.v15n1-07
Frazer, G. W., Canham, C. D., & Lertzman, K.P. (1999). Gap Light Analyzer (GLA), Version 2.0: Users manual and program documentation. Nueva York, Estados Unidos: Institute of Ecosystem Studies.
Gezan, S., Ortega, A., & Andenmatten, E. (2007). Diagramas de manejo de densidad para renovales de roble, raulí, coigüe en Chile. Bosque, 28(2), 97-105. doi:10.4067/S0717-92002007000200002
Gingrich, S. (1967). Measuring and evaluating stocking and stand density in upland hardwood forests in the Central States. Forest Science, 13(1), 38-53.
González, P. (2015). Respuesta de Nothofagus glauca a distintas intensidades de raleo. Tesis de licenciatura, Universidad de Concepción, Concepción, Chile.
Hechenleitner, P., Gardner, M., Thomas, P., Echeverría, C., Escobar, B., Brownless, P., & Martínez, C. (2005). Plantas amenazadas del Centro-Sur de Chile. Distribución, conservación y propagación (1a ed.). Valdivia, Chile: Universidad Austral de Chile - Real Jardín Botánico de Edimburgo.
Husch, B., Miller, C., & Beers, T. (1993). Forest Mensuration (3a ed.). Florida, Estados Unidos: Krieger Publishing.
Lara, A., Donoso, C., Donoso, P., Núñez, P., & Cavieres, A. (1998). Normas de manejo para raleo de renovales del tipo forestal roble-raulí-coigüe. Santiago, Chile: Universitaria .
Long, J. N. (1985). A practical approach to density management. Forestry Chronicle, 61, 23-27. doi:10.5558/tfc61023-1
Müller-Using, B., Rodríguez, R., & Gajardo, P. (2013). Desarrollo de una guía de manejo de la densidad en bosques de segundo crecimiento de roble (Nothofagus obliqua) en la Región del Biobío. Bosque, 34(2), 201-209. doi:10.4067/S0717-92002013000200009
Navarro, C., Herrera, M., Drake, F., & Donoso, P. (2011). Diagrama de manejo de densidad y su aplicación a raleo en bosques de segundo crecimiento de Drimys winteri en el sur de Chile. Bosque, 32(2), 175-186. doi:10.4067/S0717-92002011000200008
Navarro, C., & Pinares, J. (2013). Diagramas de manejo de la densidad: una herramienta de gestión silvícola. Valdivia, Chile: Marisa Cuneo.
Novoa, R., & Villaseca, S. (1989). Mapa Agroclimático de Chile. Santiago, Chile: Instituto de Investigaciones Agropecuarias - Ministerio de Agricultura.
Newton, P.F. (1997). Stand density management diagrams: reviews of their development and utility in stand-level management planning. Forest Ecology and Management , 98, 251-265. doi:10.1016/S0378-1127(97)00086-8
Nyland, R. (2002). Silviculture. Concepts and Applications. Nueva York, Estados Unidos: McGraw-Hill.
Perry, D. A. (1984). A model of physiological and allometric factors in the self-thinning curve. Journal of Theoretical Biology, 106, 383-401.
Pretzsch, H. (2002). A unified law of spatial allometry for woody and herbaceous plants. Plant Biology, 4, 159-166. doi:10.1055/s-2002-25732
Promis, A., & Cruz, G. (2009). Fotografías hemisféricas: un método para estimar estructuras del dosel arbóreo e iluminación en el interior del bosque. Revista Bosque Nativo, 44, 12-15.
Reineke, L. H. (1933). Perfecting a stand-density index for even-aged forests. Journal of Agricultural Research, 46, 627-638.
Rodríguez, R., Matthei, O., & Quezada, M. (1983). Flora arbórea de Chile. Concepción, Chile: Universidad de Concepción.
Rogers, R. (1983). Guides for thinning shortleaf pine. Atlanta, Estados Unidos: U.S. Department of Agriculture - Forest Service.
Shaw, J., & Long, J. (2007). Density management diagram for Longleaf Pine stands with aplication to Red-Cockaded Woodpecker habitat. Southern Journal of Applied Forestry, 31(1), 28-38.
Smith, D. (1986). The practice of silviculture (8a ed.). Nueva York, Estados Unidos: John Wiley and Sons.
StatSoft. (2001). STATISTICA (data analysis software system) (6a ed.). Oklahoma, Estados Unidos: StatSoft.
Toro, J. (2004). Alternativas silvícolas para aumentar la rentabilidad de las plantaciones forestales. Bosque, 25(2), 101-113. doi:10.4067/S0717-92002004000200010
Urzúa, A. (1975). Cambio de estructura en el bosque de Nothofagus glauca (Phil) Krasser. Tesis de pregrado, Universidad de Chile, Santiago, Chile.
Vacchiano, G., Motta, R., Long, J., & Shaw, J. (2008). A density management diagram for Scots pine (Pinus sylvestris L.): A tool for assessing the forest’s protective effect. Forest Ecology and Management , 255, 2542-2554. doi:10.1016/j.foreco.2008.01.015
Wittwer, R., Lynch, T., & Huebschnann, M. (1998). Stand density index for shortleaf pine (Pinus echinata Mill.) natural stands. Asheville, Estados Unidos: U.S. Department of Agriculture - Forest Service.
Zeide, B. (1987). Analysis of the 3/2 power law of self-thinning. Forest Science, 33(2), 517-537.
Notas de autor
* Autor de correspondencia. fmunoz@udec.cl